Services on Demand
Journal
Article
Indicators
-
Cited by SciELO -
Access statistics
Related links
-
Cited by Google -
Similars in
SciELO -
Similars in Google
Share
Desarrollo y Sociedad
Print version ISSN 0120-3584
Desarro. soc. no.73 Bogotá Jan./June 2014
https://doi.org/10.13043/DYS.73.5
DOI: 10.13043/DYS.73.5
Monetary Policy and Exchange Rate in a Structural VAR for a Small Open Economy
Política monetaria y tasa de cambio en un VAR estructural para una economía pequeña y abierta
Sebastian Gomez-Cardona
Email: sebastiangomez87@gmail.com. An earlier draft of this paper was presented as an extended essay for the MSc in Economics at The London School of Economics and Political Science. The author would like to thank Albert Marcet and Francesco Bogliacino for comments on a preliminary version of this paper. The author also thanks the anonymous referees for providing constructive comments. The usual disclaimer applies. Bogotá, Colombia.
Este artículo fue recibido el 8 de agosto de 2013; revisado el 31 de marzo de 2014 y, finalmente, aceptado el 14 de abril de 2014.
Abstract
The impact of the monetary policy on the exchange rate and other macroeconomic variables is analyzed for the case of Colombia, a small open economy. Block exogeneity restrictions are imposed in a novel way in a structural VAR, including local and foreign variables. The results are robust to various specifications and show a partial solution of the forward discount bias puzzle, i.e. partial evidence of the uncovered interest parity (UIP). This was not the case in previous research with the same methodology for Colombia. It also finds strong evidence in favor of the central bank leaning against the wind and partial evidence of no pass through from exchange rate to inflation.
Key words: Monetary policy, exchange rate, uncovered interest parity, structural VAR, block exogeneity.
JEL classification: E43, E52, E58.
Resumen
Se analiza, para el caso colombiano, el impacto de la política monetaria en la tasa de cambio y otras variables macroeconómicas. Se imponen restricciones de exogeneidad en bloque de una forma novedosa en un VAR estructural que contiene variables tanto locales como extranjeras. Los resultados son robustos a diferentes especificaciones y muestran evidencia en favor de la paridad no cubierta de intereses, lo cual no es el caso para investigaciones previas en Colombia. También se encuentra evidencia que el banco central lleva a cabo políticas monetarias contracíclicas y que no hay pass through de la tasa de cambio a la inflación.
Palabras clave: Política monetaria, tasa de cambio, paridad no cubierta de intereses, VAR estructural, exogeneidad en bloque.
Clasificación JEL: E43, E52, E58.
Introduction
Colombia has not escaped the recent economic shocks. In addition to the world financial crisis of 2008, political tensions with Venezuela -one of its main commercial partners- led to the reduction of exports to that country. Furthermore, at the end of 2008, inflation was around 8%, the highest value since mid 2003. In spite of the commercial troubles, the inflationary pressure led the Colombian Central bank to raise its intervention rate to 10%.
The central bank actions were controversial for the government, private companies and academic circles, who argued that the intervention rate hike was excessive. This kind of controversy makes necessary the analysis of monetary policies and its effects on the rest of the economy. Although it has been widely studied in the United States and other G7 countries, little attention has been given to developing countries such as Colombia. The existing research in this country are the following 3 papers: Echavarria, Vasquez and Villamizar (2008) using GMM, Echavarria, Vasquez and Villamizar (2009b) using a probit and Echavarria, Lopez and Misas (2009a) using a Structural VAR (SVAR). The latter has the limitation of only including foreign variables through interest rate differentials and terms of trade. Besides, it is the only one from the three not finding evidence of the UIP.
SVAR's have been replacing the traditional VAR methodology because they add more structure, they have the capacity to analyze reactions of several variables and their results are independent of the ordering. In the case of exchange rates, the third advantage is seen in its ability to have an effect on other variables and be affected by them within the same period. This allows to address overshooting of exchange rate as predicted by Dornbusch (1976), uncovered interest rate parity (UIP), as well as to investigate whether it is affected by the short term interest rate in the same period of the shock.
However, there are some puzzles identified in the literature that are not solved by the structure imposed in the SVAR. The most important are: liquidity, price and forward discount puzzles. In regards to the forward discount puzzle (related to the UIP) this paper demonstrates that the inclusion of foreign variables in a SVAR specification can solve the problem for the Colombian case. Although the price puzzle is usually solved by the inclusion of commodity prices, this paper shows that this is not the case for Colombia, since it is a commodity exporter (according to the statistics bureau, in 2010 56.7% of Colombian exports were oil and coal) and because domestic factors have a greater influence in the inflation rate (Otero and Ramirez, 2002).
This paper will focus on the effects of central bank interest rate intervention on exchange rates. Specifically, including foreign variables into a SVAR will solve the forward discount puzzle in the Colombian case. SVAR's have been widely used to analyze the effects of monetary policy on other variables (see Christiano, Eichenbaum and Evans, 1999) through its impulse response functions. When considering a small open economy, such as the Colombian one, it is desirable to impose restrictions on the impact that local variables could have on global ones (block exogeneity). This will be conducted based on the methodology proposed by Cushman and Zha (1997), which not only imposes restrictions on the structural matrix of the SVAR, but on the lags. The novelty introduced in this paper, is the inclusion of a variable that is both a local and foreign, which demands a new set of constraints.
The remainder of the paper is organized as follows. Section I presents a short literature review on methodology and results. Section II presents the data. In Section III the empirical specification used is explained. Results are analyzed in Section IV. Finally, Section V concludes.
I. Literature Review
A. From VAR to SVAR
VAR has been one of the most used methodologies in evaluating the impact of monetary policy on real and nominal variables (for a complete review see Christiano et al., 1999). However, some of the findings are inconsistent with macroeconomic theory due to methodological restrictions or omission of relevant variables. These inconsistencies have been denominated puzzles and can be summarized as follows (for further details see Christiano et al. 1999; Grilli and Roubini, 1996):
Price puzzle: prices increase with a monetary contraction. This is probably due to the fact that monetary authorities have information about a future price increase that is not in the variables included. Sims (1992) proved for G7 countries that the inclusion of commodity prices solved this puzzle for most of them, except France and Japan. Since then, most of the papers include a variable that captures information of future inflation, such as oil price or a commodity price index (Kim and Roubini, 2000; Kim 2003; Sims and Zha, 2006). In the case of small open economies, Cushman and Zha (1997) use a commodity price index for Canada, while Echavarria et al. (2009a) include terms of trade for Colombia.
Liquidity puzzle: when monetary aggregates are used to capture monetary policy decisions, a contractionary shock is often associated with a decrease in short term interest rates (for a detailed discussion see Leeper and Gordon, 1992). Usually this puzzle is solved together with the price puzzle, i.e. including variables such as commodity prices solve both, the price and liquidity puzzle.
Forward discount bias puzzle: if UIP holds, a positive shock of the domestic interest rate relative to the foreign rate (i.e. the difference between local and foreign interest rate increases) should be associated with appreciation of the exchange rate in the first period followed by continuous depreciation. However, Eichenbaum and Evans (1995), Echavarria et al. (2009a) among others, find persistent appreciation of local currency. In small open economies, the omission of a proxy for risk premium might explain this puzzle. In this type of countries, risk (measured by indexes such as EMBI) is very important in the UIP equation (Gagnon and Ihrig (2004) include this variable in a theoretical model).
Sometimes, these puzzles arise because the Choleski decomposition imposes contemporaneous constraints that can be too restrictive. It rules out important relations that might be of interest. Take, for example, exchange and interest rates. In case a Choleski decomposition is used, it would imply either that exchange rate affects contemporaneously interest rate or the other way around, but not both.
Although there are papers that have been successful in estimating VAR's for monetary policy, there is no consensus on the ordering. Such is the case of Eichenbaum and Evans (1995), who by including industrial production, consumer price level, the ratio of non-borrowed to total reserves, the difference between US and foreign short-term interest rates, and the real exchange rate, find reactions in line with theory for most of the variables (except exchange rate). Christiano et al. (1999) estimate a larger VAR to identify reactions in line with economic theory. However, in the last few years the use of SVAR has become more common. One of the reasons is that SVAR allows imposing restrictions more coherent with economic theory. The work of Sims and Zha (2006), in an earlier version, increased the popularity of this type of models in monetary economics. For example, in order to analyze how the Bundesbank sets the interest rate, Clarida and Gertler (1997) use 8 variables in a SVAR: industrial production, retail sales, consumer price level, real commodity prices, US federal funds rate, short term interest rate, real money supply and exchange rate. Kim and Roubini (2000), estimate a SVAR for G7 countries. They find empirical findings consistent with a broad set of theoretical models. Kim (2003) estimates a SVAR to analyze the foreign exchange intervention, known as "another monetary policy", in the US economy.
For small open economies, there are two important references considering the aim of this research. Cushman and Zha (1997) estimate an 11 variable SVAR for the Canadian economy. They include Canadian variables as well as US variables. A block exogeneity is imposed, since a small economy like Canada cannot affect US economic variables (for further discussion see Section 4 below). Secondly, Echavarria et al. (2009a) follow Kim (2003) to evaluate the impact of two types of monetary policy (interest rate and foreign exchange intervention) on exchange rates and the rest of economic variables in Colombia, using a SVAR as well.
B. Evidence of Effects on Economic Aggregates
There are some standard results in the literature on the impacts of monetary policy on other variables, despite the change in methodologies and the increasing number of countries where this type of analysis has been applied. A higher interest rate is usually associated with a decrease in output (Gordon and Leeper, 1994), although some papers find only a small effect (Sims and Zha, 2006). The impact of higher interest rates on prices, after the inclusion of commodity prices proposed by Sims (1992), is negative according to theory.
Some other authors analyze the response of the monetary authorities to shocks on other economic variables. Clarida and Gertler (1997) find that the Bundesbank leans against the wind, i.e. it raises interest rates as either inflation (manifested through higher commodity prices, money supply increase or exchange rate depreciation), or output rise over the long run trend. Echavarria et al. (2009a) find similar results for the Colombian Central Bank. The increasing weight central banks have on inflation stabilization explains the decline on the exchange rate pass through on domestic prices (Gagnon and Ihrig, 2004; Smets and Wouters, 2002). This means that depreciations of exchange rates are no longer transmitted to increases on consumer prices.
In particular, a huge literature has been developed in the last years regarding the impacts and responses of exchange rates on monetary policy. Eichenbaum and Evans (1995) was probably one of the first papers to shed light on the empirical relation between these two variables. They find that after a contractionary shock, the exchange rate in the US appreciates not only in the period after the shock but for later periods. This deviates from the UIP and the overshooting implied by Dornbusch (1976). A similar result is found by Echavarria et al. (2009a) for Colombia. According to UIP, a contractionary shock, which increases the differential between local and foreign interest rates, should be offset by expectations of depreciation of the local currency. However, according to these findings the opposite is true: an increase in the differential (which is in favor of investing in local currency) is magnified by an appreciation. This leads to an expected "excess returns" of investing in local currency. On the other hand, estimations as the one presented in this paper find evidence of the UIP: Clarida and Gertler (1997) in Germany, Kim and Roubini (2000) in the US, Cushman and Zha (1997) in Canada, and Echavarria et al. (2008) and Echavarria et al. (2009b) in Colombia. This might indicate that there were some problems with the former, whether in the specification or in the methodology.
II. Data
Monthly data from 2001 to 2010 is used. 'Domestic' variables were taken from Colombian statistics databases, Colombian statistics bureau (DANE) and the Colombian Central Bank (CCB), foreign variables come from IMF's International Financial Statistics (IFS) and Federal Reserve Bank (Fed). Domestic variables include 'exc': exchange rate in Colombian Pesos per USD (CCB); 'm3': M3 monetary aggregate in millions of Pesos (CCB); 'P': consumer price index (CCB); and 'y': the index of industrial production (DANE). Foreign variables are 'yUS': index of industrial production in the US (Fed); and 'Wxp': all primary commodity price index (IFS). The variable 'DifR' is the difference between the rate 90 day deposits in Colombia (CCB) and the 3 month treasury bills (Fed). Including each rate separately would increase the coefficients to estimate significantly, loosing degrees of freedom. Following Cushman and Zha (1997), 'm3', 'y' and 'yUS' were seasonally adjusted. All variables are logarithmic except for interest rates (variables are included in levels. According to the Dickey Fuller test all of them are integrated of order one. The estimation of a SVAR with non-stationary variables is supported on the fact they are cointegrated. See Annex 1).
III. Empirical Specification
As explained before, a SVAR with block exogeneity will be estimated. The inclusion of foreign variables in a model for a small open economy implies that local variables cannot affect foreign ones, neither contemporaneously nor in lags. Unlike Cushman and Zha (1997), who only use two types of variables, local and foreign, three are used in this paper. The difference between local and foreign short term interest rates is a 'mixed' variable. Consider a general specification of the reduced form of a SVAR
where y is a m × l vector, A(L) a m × m matrix polynomial in the lag operator, and εt a m × l vector of structural disturbances. Let
The dimensions of yit and εit are mi, I = 1, 2, 3, such that m1 + m2 + m3 = m . Aij(L) has dimension mi × mj. It is assumed that the coefficient matrix of L0, A, is non singular. Note the characteristics of the three type of variables: y1 depends on y2 and y3, however it does not affect y3. This is the block exogeneity condition. The novelty stands in y2. It is different from y1 since it affects y3, and it is different from the latter since it is affected by y1. In this sense, it is a generalization of the model presented by Cushman and Zha (1997).
In the particular case of the model for the Colombian economy, y1 = (m3,P,y,exc), y2 = DifR and y3 = (yUS,Wxp). The contemporaneous restrictions can be represented in the following equation
where A(L) is defined as in (2) and includes the exogeneity assumptions, i.e. coefficients of the first four variables in the last two equations are zero for all lags.
The first row represents a typical equation of demand for money, where the real balances depend on income (output) and interest rate. Thus, demand does not depend on exchange rate, US output nor price of commodities. As Echavarria et al. (2009a) point out, this is similar to the equation estimated by the CCB.
Following Kim (2003) and Echavarria et al. (2009a), prices only depend on output gap (proxy by industrial production) contemporaneously. Price rigidity is the reason to have the rest of the zeros in row two. In the case of y, the paper follows Echavarria et al. (2009a) imposing zero constraints for all the local variables, while departing from Cushman and Zha (1997), letting it depend on foreign production (yUS) and commodity prices (Wxp). Inclusion of yUS is based in the fact that the US is the first commercial partner for Colombia. Wxp is included because most of Colombian exports are commodities. Although the inclusion of these two variables might be debatable, there are enough restrictions (6 over identify the system) to let these parameters remain unconstrained.
The fourth row is the information equation. As is standard in the literature, no restrictions are imposed on it. It assumes that exchange markets react quickly (within one month) to the shocks in other variables in the economy.
There is less theoretical consensus on how to formulate the equation for DifR. It represents money supply. The paper follows Cushman and Zha (1997) in this row. They assume that the difference in short term interest rates depends on the monetary aggregate, the exchange rate and the commodity prices contemporaneously. The zero constraints are based on the information available to the monetary authority within one month. On the one hand, money demand, exchange rate and commodity prices are available within the same month. On the other hand, output (GDP) information is available quarterly, industrial production is published one month later, and inflation is available one or two days after the end of the month. The reason these constraints can be controversial is because central banks have estimations available for these variables within the same month.
Finally, it is assumed that US production does not react to any variable contemporaneously, while commodity prices only react to the US production function. These constraints are in line with the lower-triangularized form imposed by Cushman and Zha (1997) to output, prices, interest rate and commodity prices for the US. It is worth noting that according to the block exogeneity discussed at the beginning of this section, only the lags of DifR, yUS and Wxp have an impact on US output and commodity prices.
Before moving to the results, it is worth noting that 6 restrictions overidentify the system. The p-value associated to the chi squared statistic of overidentifying restrictions was 0.107, not rejecting the restrictions imposed on the system. The SVAR was estimated with 8 lags, chosen according to information statistics and in line with Echavarria et al. (2009a).
IV. Results
This section presents the impulse response functions (IRF's) for some of the relations between the variables in the SVAR. Although the focus of this paper is the impact of the interest rate on the exchange rate, the standard relations presented in the literature will also be discussed. In particular: a) the effects of a monetary contraction, b) the response of the exchange rate, c) the response of interest rates to shocks on other variables, and d) an analysis of the passthrough in the Colombian economy.
A. Effects of Monetary Policy
Figure 1 presents the reaction functions to a positive shock on DifR. Graphs show the response functions (solid line) with the one standard deviation bands (broken lines). According to the top panel, the price and liquidity puzzles were not solved. This is due to two main reasons. The first is that solving these puzzles in the Colombian economy is not trivial. As explained in Section 2, the solution is to include a variable that contains information on future inflation. However, Colombian inflation does not seem to react sensibly to commodity prices. There are other factors that do affect prices in Colombia. For example, in February 2011, the Colombian Central Bank raised the intervention rate by 25bp because of two main factors: floods destroyed many agricultural areas, causing an immediate increase in food prices, and a transportation strike paralyzed many production activities in the country. These kind of unexpected shocks are hard to be summarized to be included in a SVAR estimation. The second reason is the fact that DifR is the difference between short term interest rates, not the intervention rates (although they are highly correlated, and it is a standard practice in the literature to include short term interest rates, not intervention rates). This implies the shock in DifR might include information different to those of monetary policy, causing the puzzles.
The results show that the response of local output to a monetary shock come out as expected, while the response of foreign output is only significant in month 8, although with the direction contrary to theory. A positive shock in DifR is associated either to a higher local interest rate or to a lower foreign interest rate. According to macroeconomic theory, this should lead to a decrease in local output (in the case of local interest rate rising) or a higher foreign output (in case of foreign interest rate decreasing). It is worth noting that there is an impact on local output one month after the shock. In subsequent months response fluctuates around zero. This quick response contrasts with the results in Echavarria et al. (2009a), where output response had ups and downs as well, but was only significant after month 17.
The exchange rate reaction in the first month is not in line with theory. However it does depreciate around month nine as UIP predicts. Echavarria et al. (2009a) find an appreciation up to month 15, which clearly is due to omitting risk in the specification (as they argue) and not including foreign variables as in this paper.
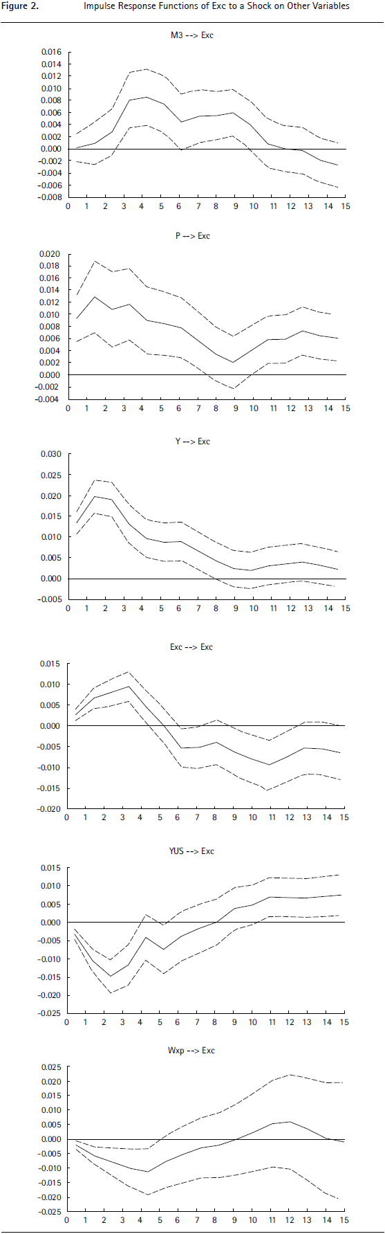
B. Effects on Exchange Rate
The response of exchange rate to shocks on other variables is presented in Figure 2. The responses to local variables: money aggregate, prices and exchange rate are in line with economic theory. Exchange rate depreciates when: prices rise or money increases. This last result is an improvement with respect to Echavarria et al. (2009a). However the response to output is not in line with theory.
The response to a shock in output in the US is as expected. Usually a good performance of this economy increases confidence in emerging markets, appreciating the Colombian peso. The effect is only significant for three months. A shock to Wxp is usually associated with higher US output and a net inflow of dollars (because of higher exports) and thus appreciation of exchange rate.
C. Effects on Monetary Policy
Figure 3 presents the reaction of DifR to a shock in M3, P, Y, Exc, YUS and Wxp. Results are as expected in most of the cases. The results indicate that the Colombian Central Bank leans against the wind, i.e. it increases interest rate as inflation or output increases. The persistent increase when there is a price shock shows the high weight the central bank puts on inflation. The interest rate does not respond to shocks in the exchange rate supporting the claim that the Colombian Central Bank does not use its target rate to influence the exchange rate market, nor the pass-through is a big issue in Colombia.
A positive shock on yUS makes the foreign central bank increase interest rates. A positive shock in Wxp is usually associated with an expansion of world economy, which leads to an increase in both local and foreign interest rates. The negative response of DifR in the first months indicates that the foreign interest rate increases more than the local one.
D. Pass-Through
As pointed out in Section 2, there have been some contributions in the literature on the pass-through of exchange rates on prices. Graphs in Figure 4 indicate the pass-through in Colombia is very small. Wxp has no effect on prices, which can be due to the fact that Colombia is not a net importer of commodities. Exc does not exhibit any effect on prices beyond the first month either. This is due, according to the literature presented, to a high weight of the central bank on inflation stabilization, consistent with the IRF of DifR to P.
E. Robustness Check
In addition to the model presented in the previous section, three more models were estimated. Two of them had the purpose of comparison with the paper of Echavarria et al. (2009a). One includes prices without food instead of the general price index, the other includes terms of trade instead of commodity price index. The third relaxed the assumption that the difference between interest rates was enough to explain exchange rates. Both interest rates, local and foreign, were included as separate variables. Only the most relevant results will be presented here, focusing on the comparison to the base line model.
1. Empirical Specifications
The first model has the baseline specification, changing only the definition of price index. The purpose of changing indexes is twofold: first, to capture better the variables which the Colombian Central Bank uses to decide its intervention rate. Second, to include the type of prices it can expect to influence. These arguments are based on the idea that food prices are mostly driven by supply shocks (such as the floods commented above).
The second model changed commodity prices for terms of trade (TT). It is defined as the ratio of export and import prices. As Echavarria et al. (2009a) argue this is a very important variable for a small open economy. The specification is similar to that presented in Section 4. However, it is worth noting that TT is a local variable, so belongs to the group y1 defined in Section 4. Thus, yUS is only affected by its own lags, i.e. block exogeneity reduces to this variable.
On the contemporaneous relations, it is assumed that output depends on terms of trade. Exchange rate markets respond quickly to all shocks, including those in TT. The CCB can respond on the same period to shocks on TT. Finally, following Echavarria et al. (2009a), in a small open economy TT does not react contemporaneously to any variable.
The third model includes eight variables (R denotes the Colombian interest rate, while RUS denotes the US interest rate). This implies less degrees of freedom, so error bands should be compared with caution with those of the base line model. The first four equations follow the same explanations as in the first model. The fifth row is the reaction of the monetary policy, which depends contemporaneously on money aggregate, exchange rate and commodity prices, as before, and finally on the US interest rate. This specification is used by Cushman and Zha (1997). RUS and yUS do not depend on any variable contemporaneously, and commodity prices only depend on the US outcome, as in the previous models. It is worth noting that in this model, block exogeneity was also imposed. In particular, none of the first five variables affects, contemporaneously or lagged, the three last variables.
The first two models were estimated with 8 lags. The third, because of the number of variables, included only four lags. The p-values for the test on over identifying restrictions were 0.101, 0.197 and 0.183 respectively.
2. Effect of Monetary Policy on Exchange Rate
In the baseline model, the exchange rate depreciated in the first period and 9 months later. The response in the first period is not in line with UIP theory. Impulse response functions of the exchange rate to interest rate for the new models are presented in Figure 5. For model 4 the reaction of exchange rate to local interest rate is presented, since it does not include the difference between interest rates but the local interest rate by itself.
Model 2 has a positive sign in the first period as well. However, the response is significant from months 1 to 3 and 7 to 10, just as UIP suggests. Reaction is markedly different, compared to the first model, in the first 8 months (after which they behave in the same way). In model 3, exchange rate depreciates in the months 4 to 9 after the monetary shock. Results in model 4 are similar to those of model 1. This allows us to make conclusions about the robustness of the reaction of exchange rate to a shock on monetary policy. The impact in the first period is contrary to theory. As Echavarria et al (2009a) found, exchange rate depreciates when interest rate increases. This result is significant in all models. However all models predict depreciation around 7 months after the monetary shock.
Before moving on to other IRF's, we can analyze the reaction of exchange rate to a shock in the foreign interest rate using Model 4. The IRF is shown in Figure 5. According to UIP, it should depreciate in the first period and appreciate afterwards. The sign is not in line with theory in the first month, although it appreciates from month 12 onwards.
3. Response of Monetary Policy
Most of the impulse response functions in models 2 through 4 were similar to those in model 1. In this and the following subsections, only the differences will be commented. According to Model 1, interest rate did not respond to shocks on commodity prices or exchange rates. The reason for the former might be that difR, not R, was included. Model 4 solves this problem.
For exchange rate, in Model 1 the response of DifR was never significant. However, according to Model 4 R decreases in the same period and increases after month 7. This is consistent with a lean against the wind behavior.
In the case of commodity prices, reaction is significant in Model 4. It takes around 5 months for the CCB to increase interest rate after a positive shock on commodity prices.
4. Pass-Through
Figure 6 shows that according to Model 4, shocks to exchange rate and commodity prices do pass to prices, contrary to Model 1 where there was no evidence of this. These two graphs explain the reaction of monetary policy as well. Since in this model, prices do react to shocks in exchange rate and commodity prices, CCB increases its monetary instrument. In fact, for the former, the effect is significant from period 0, whereas interest rate only reacts from period 7. For Wxp the effect on prices is significant from period 4 and on interest rate only from period 5.
V. Concluding Remarks
Two aspects are new in this paper. First, it includes foreign variables in a SVAR for Colombia. Second, it imposes block exogeneity restrictions in the specification. In doing so, it generalizes Cushman and Zha (1997) because includes local, foreign and local-foreign variables. This required an adjustment in the restrictions imposed.
With the above specification the reaction of the exchange rate to a shock in interest rate is the one predicted by UIP around month 7. This proofs that previous researches did not only lack an equation for risk but also foreign variables in their specifications. Reactions of the interest rate and exchange rate to other variables in the economy are in line with economic theory. Evidence of the pass-through of exchange rate on prices was significant only when short term interest rates were included separately, not as their difference.
Future research should focus on two main aspects. First, introducing risk in the specification which might increase the significance of the reaction of exchange rate to interest rate. Second, to include a variable that captures inflation expectations in Colombia which could solve the liquidity and price puzzles.
References
1. CHRISTIANO, L., EICHENBAUM, M., AND EVANS, C. (1999). "Monetary policy shocks: What have we learned and to what end", in J. B. Taylor and M. Woodford (Eds.), Handbook of Macroeconomics (v. 1A, pp. 65-148). North-Holland: Elsevier. [ Links ]
2. CLARIDA, R., AND GERTLER, M. (1997). "How the bundesbank conducts monetary policy", in Romer, C. D., and D. H., Romer (Eds.), Reducing inflation: Motivation and strategy (pp. 363-412). Chicago and London: University of Chicago Press. [ Links ]
3. CUSHMAN, D., AND ZHA, T. (1997). "Identifying monetary policy in a small open economy under flexible exchange rates". Journal of Monetary Economics, 39:433-448. [ Links ]
4. DORNBUSCH, R. (1976). "Exchange rate expectations and monetary policy" Journal of International Economics, 6:231-244. [ Links ]
5. ECHAVARRIA, J., VASQUEZ, D., AND VILLAMIZAR, M. (2008). Expectativas, tasa de interés y tasa de cambio. Paridad cubierta y no cubierta en Colombia 2000-2007 (Borradores de Economía 486). Banco de la República. [ Links ]
6. ECHAVARRIA, J., LOPEZ, E., AND MISAS, M. (2009a). Intervenciones cambiarias y política monetaria en Colombia (Borradores de Economía 580). Banco de la República. [ Links ]
7. ECHAVARRIA, J., VASQUEZ, D., AND VILLAMIZAR, M. (2009b). Impacto de las intervenciones cambiarias sobre el nivel y la volatilidad de la tasa de cambio en Colombia (Borradores de Economía 561). Banco de la República. [ Links ]
8. EICHENBAUM, M., AND EVANS, C. (1995). "Some empirical evidence on the effects of shocks to monetary policy on exchange rates", Quarterly Journal of Economics, 110:975-1009. [ Links ]
9. GAGNON, J., AND IHRIG, J. (2004). "Monetary policy and exchange rate pass-through", International Journal of Finance and Economics, 9:315-338. [ Links ]
10. GORDON, D., AND LEEPER, E. (1994). "The dynamic impacts of monetary policy: An exercise in tentative identification", The Journal of Political Economy, 102:1228-1247. [ Links ]
11. GRILLI, V., AND ROUBINI, N. (1996). "Liquidity models in open economies: Theory and empirical evidence", European Economic Review, 40:847-859. [ Links ]
12. KIM, S. (2003). "Monetary policy, foreign exchange intervention, and the exchange rate in a unifying framework", Journal of International Economics, 60:355-386. [ Links ]
13. KIM, S., AND ROUBINI, N. (2000). "Exchange rate anomalies in the industrial countries: A solution with a structural VAR approach", Journal of Monetary Economics, 45:561-586. [ Links ]
14. LEEPER, E., AND GORDON, D.B. (1992). "In search of the liquidity effect", Journal of Monetary Economics, 29:341-369. [ Links ]
15. OTERO, J., AND RAMIREZ, M. (2002). On the determinants of the inflation rate in Colombia: a disequilibrium market approach (Borradores de Investigación 19). Universidad del Rosario. [ Links ]
16. SIMS, C. (1992). "Interpreting the macroeconomic time series facts the effects of monetary policy", European Economic Review, 36:975-1011. [ Links ]
17. SIMS, C., AND ZHA, T. (2006). "Does monetary policy generate recessions?", Macroeconomic Dynamics, 10:231-272. [ Links ]
18. SMETS, F., AND WOUTERS, R. (2002). "Openness, imperfect exchange rate pass-through and monetary policy", Journal of Monetary Economics, 49:947-981. [ Links ]
Annex 1. Unit Root Tests























