Services on Demand
Journal
Article
Indicators
-
Cited by SciELO -
Access statistics
Related links
-
Cited by Google -
Similars in
SciELO -
Similars in Google
Share
Cuadernos de Administración
Print version ISSN 0120-3592
Cuad. Adm. vol.20 no.33 Bogotá Jan./June 2007
* Este artículo se inscribe dentro de la línea de investigación denominada distancias culturales y su impacto en los negocios, financiada por el Departamento de Administración de la Facultad de Economía y Negocios de la Universidad de Chile. Los autores desean agradecer a los árbitros de la revista, cuyos aportes ayudaron a mejorar este artículo. El artículo se recibió el 06-02-2007 y se aprobó el 01-06-2007.
** MSc in Business, University of Kansas, Estados Unidos, 1984; ingeniero comercial y contador auditor, Universidad de Chile, Chile, 1980. Actualmente es director del Departamento de Administración y profesor asistente en Marketing e Investigación de Mercados de la Facultad de Economía y Negocios de la Universidad de Chile. Santiago de Chile, Chile. Correo electrónico phidalgo@unegocios.cl.
*** PhD in Business Administration, University of Georgia, Estados Unidos; ingeniero comercial, Universidad de Chile, Chile. Profesor asistente en Marketing e Investigación de Mercados, Departamento de Administración, Facultad de Economía y Negocios, Universidad de Chile. Santiago de Chile, Chile. Correo electrónico: emanzur@unegocios.cl.
**** PhD in Business Administration, University of Georgia, Estados Unidos; ingeniero comercial, Universidad de Chile, Chile. Actualmente es decano de la Facultad de Economía y Empresa de la Universidad Diego Portales, Chile y profesor de Marketing del Departamento de Administración de la Facultad de Economía y Negocios de la Universidad de Chile. Santiago de Chile, Chile. Correo electrónico: sergio.olavarrieta@udp.cl o solavar@unegocios.cl.
***** MSc en Finanzas, Universidad de Chile, Chile, 2007; ingeniero comercial, Universidad de Chile, Chile, 2004. Ayudante instructor del Departamento de Administración, Facultad de Economía y Negocios, Universidad de Chile. Santiago de Chile, Chile. Correo electrónico: pfarias@fen.uchile.cl.
RESUMEN
Hace algunos años, el proyecto GLOBE midió nueve dimensiones culturales en diez países latinoamericanos: Argentina, Bolivia, Brasil, Colombia, Costa Rica, Ecuador, El Salvador, Guatemala, México y Venezuela. Pese a su valiosa contribución, el proyecto GLOBE no proporcionó una medida agregada de distancias culturales entre países, que permitiera inspeccionar directamente las distancias culturales entre países. Con el objetivo de superar esta dificultad, en este artículo se utiliza la metodología sugerida por Kogut y Singh (1988) para cuantificar distancias culturales. Consecutivamente, se usa un escalamiento multidimensional (EMD) para representar de forma gráfica (i. e., en mapas) las distancias culturalescalculadas entre estos diez países. Luego, con el objetivo de interpretar los ejes de los mapas obtenidos a través de los EMD, se realiza para cada una de las nueve dimensiones culturales una regresión lineal utilizando la metodología sugerida por Fernández et al. (2003). Finalmente, con base en las limitaciones del estudio, se proponen algunas líneas de investigación en el futuro.
Palabras clave: distancias culturales, cultura nacional, dimensiones culturales, Latinoamérica, escalamiento multidimensional.
ABSTRACT
Some years ago, the GLOBE Project measured nine cultural dimensions in ten Latin American Countries: Argentina, Bolivia, Brazil, Colombia, Costa Rica, Ecuador, El Salvador, Guatemala, Mexico, and Venezuela. In spite of its valuable contribution, the GLOBE Project did not provide an aggregated measure for the cultural distances between countries, which would enable directly inspecting the cultural distances between countries. To overcome that limitation, this paper uses the methodology proposed by Kogut and Singh (1988) for quantifying cultural distances. Consecutively, multi-di-mensional escalation (MDE) is used to graphically represent (i. e., in maps) the cultural distances calculated between the ten countries. Then, for the purpose of interpreting the axes of the maps obtained using the MDEs, a linear regression is made using the methodology suggested by Fernández et al. (2003) for each one of the nine cultural dimensions. Finally, based on the limitations of the study, some future lines of research are proposed.
Key words: Cultural distances, national culture, cultural dimensions, Latin America, multi-dimensional escalation.
Introducción
Es posible argumentar que los países que presentan valores, rituales, héroes, símbolos y prácticas en común pueden desarrollar mejores relaciones que aquellos países con una mayor distancia cultural (Morgan y Hunt, 1994). Dado que habitualmente los países presentan distancias culturales entre sí, una organización debe considerar dichas diferencias y llevar a cabo un ajuste a la realidad de la cultura con la cual desea interactuar.
Los contrastes que los países presentan en la forma de pensar, actuar y reaccionar de sus integrantes influyen enormemente en las relaciones entre países. Por ejemplo, una organización podría optar por abordar de forma directa a los países con culturas menos distantes y decidir no abordar o delegar a un socio local (e. g., a través de joint venture) la relación con los distintos públicos como proveedores, gobierno y consumidores en los países con culturas más distantes.
En consecuencia, los investigadores y administradores, constantemente, han intentado reconocer y medir las distancias entre las culturas nacionales. Hace algunos años, el proyecto GLOBE (House et al., 1999) midió nueve dimensiones culturales en diez países latinoamericanos: Argentina, Bolivia, Brasil, Colombia, Costa Rica, Ecuador, El Salvador, Guatemala, México y Venezuela. Estas dimensiones culturales buscaron evaluar los aspectos de la cultura que distinguen a un país de otro (Javidan y House, 2001).
Pese a su valiosa contribución, el proyecto GLOBE no cuantificó en una medida agregada las distancias culturales entre estos diez países latinoamericanos. Una medida de este tipo permitiría examinar directamente las distancias culturales entre estos países y analizar su efecto en los negocios, a fin de facilitar futuras investigaciones en el área y de ayudar a los administradores en la toma de decisiones.
Con el objetivo de superar esta dificultad, en este artículo se utilizó la metodología sugerida por Kogut y Singh (1988) para cuantificar las distancias culturales entre estos diez países latinoamericanos. Consecutivamente, se usó la técnica estadística de escalamiento multidimensional (EMD) para representar de forma gráfica (i.e., en ma-pas) las distancias culturales calculadas entre estos diez países. Luego, con el objetivo de interpretar los ejes de los mapas obtenidos a través de los EMD, se realizó para cada una de las nueve dimensiones culturales una regresión lineal utilizando la metodología sugerida por Fernández, Fernández y Vásquez (2003).
El resto del artículo se divide en las siguientes tres secciones: la sección 1 contiene el marco teórico; la sección 2 presenta formalmente la investigación, por medio de la metodología y los resultados, y la sección 3 entrega las conclusiones e implicancias para investigadores y administradores.
1. Marco teórico
1.1 Programación mental
Los programas mentales pueden ser here-dados (transferidos a través de nuestros genes) o pueden ser aprendidos después de nacer. Hofstede (2001) define tres niveles de programación mental: individual (personalidad), colectiva (cultura), universal (naturaleza humana), así como lo muestra el Gráfico 1.

Hofstede (2001) indica que en el nivel individual al menos una parte de la programación debe ser heredada, de lo contrario es difícil explicar diferencias en habilidades y temperamento entre niños de una misma familia y ambiente. En el nivel colectivo, la mayoría de nuestra programación mental es aprendida; Hofstede (2001) lo ejemplifica a través de los estadounidenses, quienes son una multitud de variaciones genéticas, pero muestran una programación mental colectiva que es percibida por los extranjeros. El nivel universal de la programación mental es compartido por todos los seres humanosy se refiere a la naturaleza humana. Ésta es heredada a través de los genes y determina nuestro funcionamiento físico y psicológico básico. La capacidad humana de sentir miedo, furia, amor, placer, enojo, etc. pertenecen a este nivel de programación mental (Hofstede, 1991).
El Gráfico 1 muestra que los individuos de una misma nación pueden presentar distinta programación mental; sin embargo, si se considera la programación mental que se observa con mayor frecuencia en términos estadísticos (e. g., la media de los integrantes de la nación) es posible aproximarse a analizar las distancias culturales entre países, desde la perspectiva de una programación mental colectiva nacional (i. e., cultura nacional).
1.2 Cultura nacional
La cultura es siempre un fenómeno colectivo, debido a que es compartida con personas quienes viven o vivieron en un mismo ambiente social (Hofstede, 1991). La cultura es aprendida, no heredada. Ésta se deriva de un ambiente social, no de los genes. Siguiendo a Hofstede (1991), se define cultura como la programación mental colectiva que distingue a miembros de un grupo o categoría de gente de los de otros.
Hofstede (1991) se refiere a grupo como el conjunto de personas que mantienen contacto unas con otras, y a una categoría de gente a las personas que, sin necesariamente tener contacto entre ellas, tienen algo en común. Por ejemplo, todas las mujeres ejecutivas, los deportistas, los vegetarianos, los colombianos, los mexicanos, los brasileños, los argentinos, etc.
Esta definición de cultura se refiere más tangiblemente a fortalecer las características personales comunes y estándares en una sociedad dada (Inkeles y Levinson, 1969; Nakata y Sivakumar, 1996). Debido a que existe una gran variedad de personalidades individuales en cualquier sociedad, la que se observa con mayor frecuencia en términos estadísticos (e. g., la media) ha sido usa-da para aproximarse a la cultura nacional (Clark, 1990; Nakata y Sivakumar, 1996). El término cultura, en este sentido, puede ser aplicado a naciones, organizaciones, ocupaciones, profesiones, grupos religiosos, grupos étnicos, etc. Sin embargo, las manifestaciones de cultura en esos diferentes planos varía de manera considerable (Hofstede, 1991).
El concepto de cultura es aplicable, hablando de forma estricta, más a sociedades que a naciones; sin embargo, muchas naciones históricamente han desarrollado una forma conjunta, aun si ello consiste de grupos y categorías de gente diferentes y aun si estas naciones contienen minorías menos integradas (Hofstede, 1991).
En efecto, si bien los países tienen orientaciones culturales agregadas o promedios, es necesario reconocer la existencia de subculturas en el interior de las naciones. Algunas de estas culturas también podrían ser transversales entre distintos países de la región (e. g., judíos, socialistas, cristianos, militares, médicos). Así es como, dentro de cada país hay grandes diferencias en la forma de pensar, actuar y reaccionar (i. e., en la programación mental) de sus integrantes.
Es posible observar que en el interior de cada país se dan diversas subculturas que bus-can su propia identidad. Estas fuerzas dificultan la integración entre los miembros de la cultura nacional. Sin embargo, dentro de las naciones también hay fuerzas que sí posibilitan la integración nacional: un lenguaje nacional dominante, medios masivos comunes, sistema educacional nacional, ejército nacional, sistema político nacional, representación nacional en eventos deportivos, mercados nacionales de productos y servicios, etc. (Hofstede, 2001).
1.3 Proyecto GLOBE
Iniciado en 1993 por Robert House, el proyecto GLOBE ha involucrado a más de 170 investigadores de 64 países (House et al., 1999). En los 10 países latinoamericanos analizados por el proyecto GLOBE, se entrevistaron a 1.527 gerentes de nivel medio (ni presidentes ni vicepresidentes y dos niveles por encima de los trabajadores) de empresas pertenecientes a las industrias de telecomunicaciones, finanzas y procesamiento de alimentos (Ogliastri et al., 1999).
Los países latinoamericanos analizados y las encuestas cuantitativas efectuadas por país son las siguientes: Argentina (153), Bolivia (99), Brasil (265), Colombia (302), Costa Rica (114), Ecuador (49), El Salvador (25), Guatemala (110), México (260) y Venezuela (150). El proyecto GLOBE midió 9 dimensiones de la cultura nacional y analizó la percepción (se usaron escalas multiítem tipo Likert de 7 puntos) de los encuestados latinoamericanos sobre cómo es su cultura y cómo debería ser su cultura en cada una de las nueve dimensiones culturales.
1.4 Dimensiones culturales sugeridas por el proyecto GLOBE
El proyecto GLOBE, a través de nueve dimensiones culturales, buscó analizar y medir los aspectos de la cultura que distinguen a un país de otro (Javidan y House, 2001). En el Cuadro 1 se muestra la definición y un ítem de ejemplo de la escala multiítem de cada una las dimensiones culturales propuestas por el proyecto GLOBE (House et al., 1999). A continuación se examinan estas nueve dimensiones de la cultura nacional.

1.4.1 Asertividad
Esta dimensión trata de distinguir entre sociedades donde la gente es muy agresiva, afirmativa, dura en sus opiniones, dominante y que recurre a la fuerza física para dirimir sus diferencias, de otras sociedades de comportamientos menos agresivos. El proyecto GLOBE identificó la percepción que tienen
los individuos sobre las características actuales de la sociedad y también el grado en el cual los individuos prefieren que su sociedad sea más o menos asertiva de lo que es (Ogliastri et al., 1999).
Las sociedades con una gran asertividad se inclinan a tener una actitud de “yo puedo hacerlo” y tienden a valorar la competencia, a los fuertes y a los ganadores. En contraste, las sociedades menos asertivas tienden a preferir las relaciones cooperativas. En el proyecto GLOBE, los países que mostraron ser más asertivos fueron España, Estados Unidos, Grecia, Austria y Alemania. A su vez, los países que mostraron ser menos asertivos fueron Suecia, Nueva Zelanda, Suiza, Japón y Kuwait (Javidan y House, 2001).
1.4.2 Colectivismo I (colectivismo en la sociedad)
Esta dimensión refleja el grado en el cual las prácticas de las instituciones apoyan y recompensan la acción colectiva y la distribución colectiva de los recursos (House, Javidan y Dorfman, 2001). Dicho de otra forma, esta dimensión se refiere al grado en el cual una sociedad valora la lealtad al grupo, el compromiso con las normas grupales y actividades colectivas, la cohesión social y la intensa sociabilización por sobre los objetivos personales, la autonomía y la privacidad (Hofstede, 2001; Nakata y Sivakumar, 1996; Triandis, 2004).
Las sociedades individualistas tienden a valorar la autonomía y la libertad individual. Por el contrario, las sociedades colectivistas tienden a valorar la armonía de grupo y la cooperación. Los individuos en estas sociedades están motivados por la satisfacción de los miembros y la cooperación, más que por la autonomía y los logros personales. En el proyecto GLOBE, los países que mostraron ser más colectivistas fueron Dinamarca, Singapur, Japón, Corea del Sur y Suecia. En cambio, los países que mostraron ser más individualistas fueron Grecia, Hungría, Alemania, Argentina e Italia (Javidan y House, 2001).
1.4.3 Colectivismo II (colectivismo en el interior de los grupos)
Esta dimensión trata de identificar la orientación hacia valores colectivos en la relación entre padres e hijos y la importancia de la familia, las organizaciones y los grupos para los individuos (Ogliastri et al., 1999). En culturas con un alto colectivismo en el interior de los grupos, ser un miembro de una familia o de un grupo de amigos es muy importante para la gente. En culturas con un bajo colectivismo en el interior de los grupos, los integrantes de la familia o grupo de amigos no esperan tener un trato especial.
En el proyecto GLOBE, los países que evidenciaron tener un mayor índice en esta dimensión fueron Egipto, China, Marruecos, India e Irán. Por otro lado, los países que mostraron un menor índice en esta dimensión fueron Dinamarca, Suecia, Nueva Zelanda, Holanda y Finlandia (Javidan y House, 2001).
1.4.4 Distancia de poder
La dimensión de distancia de poder se refiere a cómo una sociedad acepta (desea) la distribución desigual de poder en instituciones y organizaciones (De Mooij y Hofstede, 2002; Hodgetts y Luthans, 1993; Hofstede, 2001; Hofstede, Neuijen, Ohayv y Sanders, 1990; Ryan, McFarland, Baron y Page, 1999). Las “instituciones” son los elementos básicos de la sociedad, como la familia, la escuela y la comunidad; entre tanto, las “organizaciones” son los lugares donde las personas trabajan (Hofstede, 1991).
Cuanto más altos los valores en la escala, mayor será el elitismo o la distancia de po-der que se vive (o se quiere vivir) en esa sociedad (Ogliastri et al., 1999). En las culturas con una marcada distancia del poder, los individuos tienden a obedecer a sus superiores y se distingue claramente entre los individuos que tienen y no tienen poder y estatus. En contraste, en las culturas con menor distancia de poder, existe una menor diferenciación entre los que tienen poder y los que no.
En el proyecto GLOBE, entre los países que mostraron tener una mayor distancia de poder están Marruecos, Argentina, Tailandia, España y Rusia. Por otro lado, entre los países que mostraron tener una menor distancia de poder están Dinamarca, Holanda, Sudáfrica, Israel y Costa Rica (Javidan y House, 2001).
1.4.5 Evitar la incertidumbre
Esta dimensión captura el grado en el cual los miembros de la sociedad se sienten incómodos en situaciones no estructuradas (Hofstede, 1980 y 2001). Esta dimensión también puede ser definida como el grado en el cual las personas en un país prefieren situaciones estructuradas sobre situaciones no estructuradas (Hofstede, 1994). Una sociedad orientada a reducir la incertidumbre instruye normas, leyes, regulaciones y controles para reducir la cantidad de incertidumbre (De Mooij y Hofstede, 2002; Hofstede, 2001; Lu, Rose y Blodgett, 1999; Nakata y Sivakumar, 1996; Shane, 1995).
Estas reglas pueden estar escritas, pero también no estarlo y ser impuestas por tradición (Stohl, 1993). En estas culturas, la gente busca situaciones estructuradas y conocer con precisión qué va a ocurrir (Ogliastri et al., 1999; Olavarrieta, Hidalgo, Manzur y Farías, 2006; Ryan et al., 1999; Triandis, 2004), por lo tanto, la predicción de los eventos es muy valorado (Triandis, 2004). En culturas con una alta aversión a la incertidumbre, los individuos tienen una fuerte propensión al orden y la consistencia, así como a las especificaciones claras, las reglas y las leyes para afrontar todo tipo de situaciones.
En contraste, en los países con una baja aversión a la incertidumbre, hay una fuerte tolerancia hacia la ambigüedad y la incertidumbre. La gente no está preocupada de seguir órdenes y procedimientos. En el proyecto GLOBE, los países que destacan por tener una alta aversión a la incertidumbre son Austria, Dinamarca, Alemania, Suecia y Suiza. A su vez, los países que destacan por tener una baja aversión a la incertidumbre son Rusia, Hungría, Bolivia, Grecia y Venezuela (Javidan y House, 2001).
1.4.6 Igualdad de género
Esta dimensión trata de identificar hasta qué punto la gente de un país prefiere minimizar las diferencias de roles y estatus entre hombres y mujeres (Ogliastri et al., 1999). Los países con una mayor igualdad de género tienden a tener a la mujer en un mayor estatus y con un fuerte rol en la toma de decisiones. Estos países tienen un alto porcentaje de mujeres en la fuerza laboral y en cargos de autoridad. Hombres y mujeres en estas culturas tienden a tener niveles similares de educación.
En contraste, en los países con altos grados de desigualdad de género, los hombres tienden a tener un mayor estatus y mayor representación en cargos de autoridad. En el proyecto GLOBE, los países que mostraron tener actualmente una mayor orientación hacia la igualdad de género fueron Suecia, Dinamarca, Eslovenia, Polonia y Hungría. A su vez, los países que mostraron tener una mayor orientación a la desigualdad de género fueron Corea del Sur, Egipto, Marruecos, India y China (Javidan y House, 2001).
1.4.7 Orientación al desempeño
Esta dimensión trata de identificar el grado en el cual las personas están orientadas a la excelencia, al mejoramiento continuo, a obtener desempeño sobresaliente y al logro de resultados (Ogliastri et al., 1999). En los países con una alta orientación al desempeño, el entrenamiento y el desarrollo es altamente valorado. La gente prefiere una comunicación directa y explícita y se inclina a tener un sentido de urgencia.
En contraste, en los países con una baja orientación al desempeño, la gente tiende a poner el relieve en la lealtad y la tradición. En el proyecto GLOBE, entre las culturas que mostraron una mayor orientación al desempeño están Estados Unidos, Taiwan, Nueva Zelanda, Hong Kong y Singapur. Por otra parte, entre las culturas que mostraron tener una menor orientación al desempeño están Rusia, Argentina, Grecia, Venezuela e Italia (Javidan y House, 2001).
1.4.8 Orientación al futuro
Esta dimensión busca analizar si la cultura está orientada hacia el futuro o si los criterios y valores están centrados en el presente o en el pasado (Ogliastri et al., 1999). Los países con una fuerte orientación al futuro están asociados con una mayor propensión a ahorrar para el futuro y aplazar las gratificaciones. Los países con una débil orientación al futuro poseen horizontes de planificación y pensamiento de corto plazo y un mayor énfasis en la gratificación instantánea.
El proyecto GLOBE encontró que los países con mayor orientación al futuro son Dinamarca, Canadá, Holanda, Suiza y Singapur. Por su parte, los países con menor orientación al futuro son Rusia, Argentina, Polonia, Italia y Kuwait (Javidan y House, 2001).
1.4.9 Orientación humana
Esta dimensión intenta determinar el grado en el cual los valores culturales de un país apoyan y recompensan a la gente por ser altruistas, justos, compasivos, amistosos y sensibles con los demás. Los valores altos de la escala indican una orientación más humana, y los valores más bajos de la escala, una orientación menos humana (Ogliastri et al., 1999). En los países con una mayor orientación humana, las relaciones humanas, la simpatía y el apoyo a los demás es altamente valorado.
En contraste, en los países con una menor orientación humana, el poder y las posesiones materiales motivan a la gente. En el proyecto GLOBE, los países que destacan por su orientación humana son Indonesia, Egipto, Malasia, Irlanda y Filipinas. En cambio, los países que destacan por tener una orientación menos humana son Alemania, España, Francia, Singapur y Brasil (Javidan y House, 2001).
El proyecto GLOBE midió estas nueve dimensiones de la cultura nacional usando escalas multiítem, que analizan la descripción de los encuestados latinoamericanos sobre cómo es su cultura (Cuadro 2) y cómo debería ser su cultura (Cuadro 3) en cada una de las nueve dimensiones culturales. Estas últimas, utilizadas en el proyecto GLOBE, mostraron ser unidimensionales, con coeficientes alfa de Cronbach (1951) adecuados y una fuerte capacidad de agregación social (Ogliastri et al., 1999).


2. La investigación
2.1 Distancias culturales
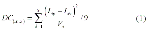
Hace algunos años, Kogut y Singh (1988) desarrollaron un índice de distancia cultural para las dimensiones culturales de Hofstede (1980). Ellos combinaron las dimensiones en una medida agregada de distancias culturales entre países. Esta medida ha sido ampliamente usada en investigaciones académicas (e. g., Agarwal, 1994; Barkema, Bell y Pennings, 1996; Roth y O’Donnel, 1996). Siguiendo la metodología de Kogut y Singh (1988), en este artículo se propone y calcula un índice agregado de distancia cultural entre los diez países latinoamericanos analizados por el proyecto GLOBE.
Este índice se forma a partir del promedio de las desviaciones de los índices (I) entre el país X y el país Y en cada una de las dimensiones (d), corregidas por la varianza
(V) de cada dimensión (Kogut y Singh,1988). Algebraicamente, el índice de distancia cultural entre el país X y el país Y para el proyecto GLOBE (House et al., 1999) de nueve dimensiones culturales es el siguiente (ecuación 1):
Los cuadros 4 y 5 presentan las matrices de distancias culturales calculadas para los diez países latinoamericanos. En el Cuadro 4 se señalan las distancias culturales que los diez países latinoamericanos tienen actualmente (Matriz es), y en el Cuadro 5, las distancias culturales que potencialmente podrían tener estos diez países latinoamericanos (Matriz debería ser).


2.2 Distanciamiento/acercamiento de las culturas nacionales
Las causas de las distancias culturales y los distintos distanciamientos y acercamientos entre las naciones se encuentran arraigadas en la historia. En algunos casos, las explicaciones son posibles. Por ejemplo, diferencias en los niveles de riqueza, diferencias históricas (e .g., períodos de dominación), diferencias geográficas (e. g., diferencias climáticas), diferencias en la estabilidad política y económica entre naciones podrían originar las distancias culturales entre países (Hofstede, 2001). Así mismo, uno podría considerar que pequeñas diferencias culturales hace cientos y miles de años atrás, transferidas de generación en generación, crecieron hasta llegar a las grandes diferencias existentes en la actualidad (Hofstede, 1994).
De la misma forma, el diferencial entre lo que se vive y lo que se desea vivir es un factor de insatisfacción entre los miembros de la cultura, y, por lo tanto, de cambio cultural. Si mantenemos el resto de los facto-res (e. g., económicos, políticos) constantes (i. e., ceteris paribus), la diferencia entre la realidad que vive (es) y la que querría vivir (debería ser) la gente en América Latina podría originar esfuerzos por disminuir ese diferencial, lo cual abriría la posibilidad de constituir una importante tendencia de cam-bios y distanciamientos/acercamientos culturales en el futuro (Ogliastri et al., 1999). Por ejemplo, si la cultura de un país desea tener una mayor igualdad de género, podría acercarse en el futuro a culturas de países más igualitarios respecto a este tema y distanciarse culturalmente de los países me-nos igualitarios en cuanto a género (ceteris paribus).
El Cuadro 6 indica el porcentaje de incremento potencial de la distancia cultural entre los diez países latinoamericanos. Por ejemplo, Brasil con El Salvador presentan un importante potencial de distanciamiento cultural, dado que brasileños y salvadoreños difieren en la cultura nacional que desean tener en el futuro. Por otra parte, las culturas de Brasil y Argentina presentan un potencial acercamiento cultural en los próximos años, debido a que brasileños y argentinos coinciden en la cultura nacional que desean tener. Así mismo, Colombia presenta un potencial distanciamiento cultural con Bolivia, El Salvador, Guatemala y México, y un potencial acercamiento con Argentina, Ecuador y Venezuela.

2.3 Escalamientos multidimensionales (EMD)
Las distancias culturales calculadas entre los diez países latinoamericanos se usaron como variables de entrada (matrices es y debería ser, de los cuadros 4 y 5) y, a partir de ahí, se desarrollaron dos escalamientos multidimensionales (EMD) con el objetivo de graficar en mapas estas distancias culturales. Los valores de las coordenadas de los mapas se presentan en el Cuadro 7.

El Gráfico 2 muestra las actuales distancias culturales encontradas entre los diez países latinoamericanos al usar los datos de la matriz es (véase Cuadro 4). El EMD mostró índices de ajuste aceptables: un estrés de 0,09417 y un R2 de 0,95240 (Hair, Anderson, Tatham y Black., 1999, p. 564). El estrés mide el mal ajuste o la proporción de la varianza de los datos de escala óptima que no explica el EMD. Un estrés del 0,20 o superior es considerado malo; uno de 0,05, bueno, y uno de 0,025, excelente (Malhotra, 2004). El R2 indica la proporción de varianza de los datos de escala óptima que pueden explicarse con el EMD. Se consideran aceptables valores de 0,60 en adelante (Malhotra, 2004).
El Gráfico 3 presenta las distancias culturales potenciales encontradas entre los diez países latinoamericanos luego de utilizar los datos de la matriz debería ser. El EMD mostró índices de ajuste aceptables: un estrés de 0,06359 y un R2 de 0,97679 (Hair et al., 1999). (véase Cuadro 5).

En ambos mapas se puede observar a Colombia como un país cercano a las culturas de Brasil y Argentina, y alejado de culturas como las de Bolivia y Costa Rica. Además, es posible observar un potencial distanciamiento de la cultura brasileña del resto de las culturas latinoamericanas (véanse gráficos 2 y 3).
2.4 Interpretación de los ejes
Posteriormente, para interpretar los dos ejes (i. e., Eje 1 y Eje 2) de cada uno de los mapas obtenidos en los EMD se siguió la metodología sugerida por Fernández et al. (2003), que sugiere hacer regresiones para cada dimensión cultural, es decir, la variable dependiente es el valor del índice (I) de la dimensión cultural (d) para cada país i y las variables independientes son las coordenadas del escalamiento multidimensional (Eje 1, Eje 2) para cada país i (véase ecuación 2).
La condición para una interpretación satisfactoria es que los coeficientes (betas) sean significativos estadísticamente (p-value <0,01) y un R2 de 0,70 es considerado aceptable (Fernández et al., 2003).
Los resultados mostrados en el Cuadro 8 para el EMD es indican con significancia estadística que el Eje 1 se explica principalmente por las dimensiones culturales colectivismo I y distancia de poder y que el Eje 2 se explica principalmente por la dimensión-cultural distancia de poder.

En consecuencia, es posible observar que la actual distancia cultural que presenta Costa Rica y Bolivia del resto de los países latinoamericanos puede ser explicada por la menor distancia de poder que presentan en relación con el resto. Para el EMD debería ser, el Cuadro 9 muestra con significancia estadística que el Eje 1 -se explica principalmente por la orientación al desempeño y la orientación humana y que el Eje 2 se explica principalmente por la orientación humana.

Por lo tanto, es posible observar que los individuos de los países de Argentina, Brasil y Colombia presentan un mayor deseo que el resto de los países latinoamericanos por tener una orientación más humana, lo que llevaría a las culturas de estos países a un potencial distanciamiento cultural del resto de los países latinoamericanos en los próximos años.
Conclusiones
Las distancias culturales producen importantes consecuencias en todas las áreas del desarrollo de los países, que afectan el intercambio comercial, el marketing, los recursos humanos, las estrategias de inversión, etc. (Hofstede, 2001). Por lo tanto, considerar la cuantificación de las distancias culturales proporciona una importante fuente de creación de valor y ventaja competitiva para las organizaciones que consideren esta medida en sus estrategias de negocios.
Este artículo provee a los administradores una valiosa herramienta para una toma de decisiones sensibilizada por las distancias culturales entre países. A su vez, los investigadores reciben una medida agregada de distancia cultural. De hecho, en este trabajo se ha propuesto una metodología para cuantificar y analizar distancias culturales. Futuras investigaciones, utilizando la metodología descrita en este artículo, pueden analizar las distancias culturales entre subculturas y las distancias culturales entre la subcultura y la cultura del país. Por ejemplo, analizar las distancias culturales entre los distintos grupos indígenas y los integrantes de la nación, podría facilitar el desarrollo de políticas de integración de los grupos indígenas de acuerdo con su distancia con la cultura del país y la distancia cultural entre los mismos grupos.
Es de esperar que, en el futuro, tanto investigadores como administradores puedan contar con estudios en los cuales, usando metodologías comparables, incorporen en su análisis un mayor número de países latinoamericanos, de manera tal de poder evaluar la evolución tanto de las dimensiones como de las distancias culturales y su potencial impacto en los diversos ámbitos de la gestión. Similarmente, futuras investigaciones pueden orientarse a analizar si efectivamente la cultura deseada (potencial) por los miembros de la cultura se convierte en realidad.
Del párrafo anterior se desprende que futuras investigaciones pueden orientarse a en-tender el contexto, según cada país, de las distancias culturales con otros países. Esta línea de investigación puede buscar entender el origen y desarrollo de las distancias culturales encontradas en esta investigación, al asociar las distancias encontradas con el contexto o historia de desarrollo de los diez países analizados. Esta línea de investigación ayudaría a comprender las actuales distancias culturales entre los países y ayudaría a pronosticar de manera más certera futuras distancias entre las culturales nacionales.
Finalmente, debido a que las dimensiones culturales se relacionan más con el(los) sentido(s) que con el significado, una de las limitaciones de esta investigación radica en que el método cuantitativo propuesto sólo aborda el significado. En consecuencia, futuras investigaciones pueden abordar los niveles de sentidos de las prácticas culturales y los procesos de subjetivación de los acto-res sociales en cada una de las dimensiones culturales analizadas por el proyecto GLOBE, a fin de complementar los hallazgos encontrados en esta investigación.
Lista de referencias
1. Agarwal, S. (1994). Influence of formalization on role stress. Journal of International Business Studies, 24 (4), 715-740. [ Links ]
2. Barkema, H., Bell, J. and Pennings, J. (1996). Foreign entry, cultural barriers and learning. Strategic Management Journal, 17, 151-166. [ Links ]
3. Clark, T. (1990). International marketing and national character: A review and proposal for an integrative theory. Journal of Marketing, 54, 66-79. [ Links ]
4. Cronbach, L. (1951). Coefficient alpha and the internal structure of tests. Psychometrika, 16, 297-334. [ Links ]
5. De Mooij, M. and Hofstede, G. (2002), Convergence and divergence in consumer behaviour: implications for international retailing. Journal of Retailing, 78, 61-69. [ Links ]
6. Fernández, P., Fernández, C. y Vásquez, J. (2003, enero). Mapas perceptuales: interpretación de ejes del MDS usando regresión. Documento de trabajo presentado en el Sexto Encuentro de Marketing, Santiago de Chile, Chile. [ Links ]
7. Hair, J., Anderson, R., Tatham, R. y Black, W. (1999). Análisis multivariante. Madrid: Prentice Hall. [ Links ]
8. Hodgetts, R. and Luthans, F. (1993). U. S. multinationals' compensation strategies for local management: Cross-cultural implications. Compensation & Benefits Review, 25 (2), 42-48. [ Links ]
9. Hofstede, G. (1980). Culture´s consequences: International differences in work-related values. Beverly Hills: Sage Publications. [ Links ]
10. Cultures and organizations: Software of the mind. New York: McGraw-Hill. (1991). [ Links ]
11. Management scientists are human. Management Science, 40 (1), 4-13. (1994). [ Links ]
12. Culture's consequences: Comparing values, behaviors, institutions, and organizations across nations. Thousand Oaks, CA: Sage Publications. (2001). [ Links ]
13. Neuijen, B., Ohayv, D. and Sanders, G. (1990). Measuring organizational cultures: A qualitative and quantitative study across twenty cases. Administrative Science Quarterly, 35, 286-316. [ Links ]
14. House, R., Javidan, M. y Dorfman, P. (2001). Project GLOBE: An introduction. Applied Psychology, 50 (4), 489-505. [ Links ]
15. House, R., Hanges, P., Ruiz-Quintanilla, S., Dorfman, P., Javidan, M., Dickson, M., Gupta, V. y 170 coautores (1999). Cultural influences on leadership and organizations: Project Globe. En W. Mobley (Ed.), Advances in global leadership (vol. 1). Stamford, CT: JAI Press. [ Links ]
16. Inkeles, A. and Levinson, D. (1969). National character: The study of modal personality and sociocultural systems. En G. Lindzey y E. Aronson (Eds.), The handbook of social psychology (vol. 4, pp. 418-506). Cambridge, MA: Addison-Wesley Publishing Co. [ Links ]
17. Javidan, M. and House, R. (2001). Lessons from Project GLOBE. Organizational Dynamics, 29 (4), 289-305. [ Links ]
18. Kogut, B. and Singh, H. (1988). The effect of national culture on the choice of entry mode. Journal of International Business Studies, 19 (3), 411-433. [ Links ]
19. Lu, L., Rose, G. and Blodgett, J. (1999). The effects of cultural dimensions on ethical decision making in marketing: An exploratory study. Journal of Business Ethics, 18 (1), 91-105. [ Links ]
20. Malhotra, N. (2004). Investigación de mercados: un enfoque aplicado (4a. ed.). México: Prentice Hall. [ Links ]
21. Morgan, R. and Hunt, S. (1994). The commitment-trust theory of relationship marketing. Journal of Marketing, 28, 20-38. [ Links ]
22. Nakata, C. and Sivakumar, K. (1996). National culture and new product development: An integrative review. Journal of Marketing, 60 (1), 61-72. [ Links ]
23. Ogliastri, E., McMillen, C., Altschul, C., Arias, M., De Bustamante, C., Dávila, C., Dorfman, P., Ferreira de la Colleta, M., Fimmen, C., Ickis, J. y Martínez, S. (1999), Cultura y liderazgo organizacional en 10 países de América Latina: el estudio Globe, Revista Latinoamericana de Administración, 22, 29-57. [ Links ]
24. Olavarrieta, S., Hidalgo, P., Manzur, E. y Farías, P. (2006). Riesgo percibido y la actitud hacia las marcas privadas. Revista Latinoamericana de Administración, 37, 73-89. [ Links ]
25. Roth, K. and O'Donnel, S. (1996). Foreign subsidiary compensation strategy: an agency theory perspective. Academy of Management Journal, 39 (3), 678-704. [ Links ]
26. Ryan, A., McFarland, L., Baron, H. and Page, R. (1999). An international look at selection practices: Nation and culture as explanations for variability in practice. Personnel Psychology, 52 (2), 359-391. [ Links ]
27. Shane, S. (1995). Uncertainty avoidance and the preference for innovation championing roles. Journal of International Business Studies, 26 (1), 47-68. [ Links ]
28. Stohl, C. (1993). European managers' interpretations of participation: A semantic network analysis. Human Communication Research, 20, 97-117. [ Links ]
29. Triandis, H. (2004). The many dimensions of culture. Academy of Management Executive, 18, 88-93. [ Links ]















