Services on Demand
Journal
Article
Indicators
-
Cited by SciELO -
Access statistics
Related links
-
Cited by Google -
Similars in
SciELO -
Similars in Google
Share
Boletín de Ciencias de la Tierra
Print version ISSN 0120-3630
Bol. cienc. tierra no.20 Medellín Jan./June 2007
ESTUDIO DE ALGUNOS ELEMENTOS TRAZA EN LA CUENCA CESAR RANCHERIA, COLOMBIA.
STUDY OF SOME TRACE ELEMENTS of the cesar rancheria basin , .
WILMAR MORALES YEPES1 INES CARMONA LOPEZ2
1. Maestría en Ingeniería de Materiales y Procesos. Universidad Nacional de Colombia, Sede Medellín. Facultad de Minas.
2. Profesora Asociada. Universidad Nacional de Colombia, Sede Medellín. Facultad de Minas
icarmona@unalmed.edu.co, wamoraley@unalmed.edu.co
Recibido para evaluación: 11 de Abril de 2007 / Aceptación: 15 de Junio de 2007/ Recibida versión final: 19 de Junio de 2007
RESUMEN
Se determinó la concentración de cinco elementos traza identificados como potencialmente peligrosos a saber: Arsénico, Cadmio, Mercurio, Plomo y Selenio en veintinueve mantos de carbón de la Cuenca Cesar Ranchería, localizada en el extremo nororiental de Colombia. Los elementos traza fueron determinados en el Institute for Combustión Science and Environment Technology, Western Kentucky University, USA. Se encontraron en los carbones bajas concentraciones de mercurio, cadmio y plomo, y concentraciones mayores de arsénico y selenio. Las comparaciones entre las concentraciones promedio de los cinco elementos traza de los carbones analizados con los valores promedio mundiales, de EE UU, la China y la corteza terrestre, muestran que en los carbones de la Cuenca Cesar Ranchería el mercurio, el cadmio el selenio y el plomo se encuentran en concentraciones menores que en los carbones de EEUU y la china, pero en concentraciones por encima (excepto el plomo) de los promedios mundiales y de la corteza terrestre, el arsénico está por debajo del promedio Mundial y de Estados Unidos pero;, presenta promedios mayores con respecto a la China y la corteza terrestre. Los resultados podrían servir para definir las posibilidades de utilización y beneficio de los carbones de la cuenca con el fin de satisfacer la demanda de los mercados nacional e internacional cumpliendo los requerimientos de las legislaciones ambientales internacionales.
PALABRAS CLAVE: Elementos traza, Carbón, Cuenca Cesar Ranchería.
ABSTRACT:
The concentration of five elements considered as potentially dangerous in the world was determined such as: Arsenic, Cadmium, Mercury, Lead and Selenium, for twenty-nine coal seams of the Cesar Ranchería Basin . The trace elements were determined in the Institute for Combustion Science and Environment Technology, Western Kentucky University , . .The concentrations of mercury, cadmium and lead in the analyzed coals were found low meanwhile the concentrations of arsenic and selenium were greater. The elements were compared with the average concentrations of coals from United States and China, with world wide averages and the, terrestrial crust, they showed that in coals of the basin Cesar Ranchería, the mercury, the cadmium, the selenium and the lead have concentrations smaller than coals of U.S.A. and Chinese, but have concentrations greater than (except the lead) those of the world-wide averages and the terrestrial crust. The arsenic was below the World-wide average and of the but it presents greater averages with respect to and the terrestrial crust. The results could serve to define the possibilities of use and benefit of coals of the basin with the purpose of satisfying the demand of the national and international markets according to the requirements of the international environmental legislations.
KEY WORDS: Trace elements, Coal, Cesar Ranchería Coal Basin
1. INTRODUCCIÓN
Una de las mayores preocupaciones actuales en el mundo con el uso del carbón es el impacto ambiental generado por algunos elementos traza que, a pesar de encontrarse en muy bajas concentraciones, son muy nocivos, en particular, para la salud humana. Diferentes autores han caracterizado los elementos traza presentes en los carbones de diferentes lugares del mundo y en los residuos generados durante la combustión y otros procesos de conversión; la caracterización de estos elementos en el carbón ofrece oportunidades de contribuir directamente a la prevención de los problemas de contaminación ambiental (Finkelman et al., 2002). Elementos como el arsénico, el mercurio, el selenio, el cadmio y el plomo presentes en el carbón, son considerados de gran preocupación e importancia ambiental y están incluidos en la lista de sustancias identificadas como contaminantes peligrosos del aire del Toxics Release Inventory de los Estados Unidos (Zhang et al., 2004; Swaine, 2000).
Debido a la introducción de legislaciones ambientales estrictas para la utilización del carbón, es importante caracterizar los elementos traza que se presentan en los carbones colombianos, a fin de poder definir las estrategias más convenientes para el mejor aprovechamiento del recurso en función del mercado internacional y los procesos de beneficio de los carbones que presenten condiciones desventajosas, ya sea por medio de mezclas o de limpieza mediante proceso de lavado.
Se conocen dos estudios en los que se reportan mediciones de elementos traza en carbones colombianos. En el primero se determinó el comportamiento del cadmio y el plomo durante la combustión del carbón en las termoeléctricas de Termozipa y Termotasajero, realizando un balance ponderado de los elementos en el carbón con respecto a las cenizas producto de la combustión, Peña et al., 2000. En la Universidad Industrial de Santander se realizó la determinación de elementos a nivel de trazas en muestras de carbón de diferentes regiones del país utilizando espectroscopía de emisión (ICP-AES), Aya-Ramírez, et al, 2000.
En este artículo se reporta el contenido de Arsénico, Cadmio, Mercurio, Plomo y Selenio presentes en 29 muestras de carbón de la cuenca Cesar-Ranchería, de donde proviene más del 90% de las exportaciones de carbón colombiano (Ingeominas, 2004), se relacionan con otros componentes mayores y se establece un comparativo con los contenidos promedios de dichos elementos en carbones de otras partes del mundo.
2. LOCALIZACIÓN Y GEOLOGÍA DE LA CUENCA
La Cuenca Cesar Ranchería está localizada en el extremo nororiental de Colombia, (Figura 1) y comprende la Zona Carbonífera de los departamentos de La Guajira y Cesar consideradas como las mayores exportadoras de carbón térmico, con un 96% del total exportado, y con una producción de aproximadamente 44 millones de toneladas en el 2003, (Ingeominas, 2004).
Los carbones de La Zona Carbonífera La Guajira, se encuentran localizados en la Formación Cerrejón de edad terciaria (Paleoceno) representada por una secuencia de 900 a 1100 m de espesor compuesta predominantemente por lodolitas y arcillolitas y en menor proporción, areniscas cuarzo feldespáticas, delgadas capas de calizas y numerosos mantos de carbón distribuidos de forma regular a lo largo de toda la secuencia estratigráfica.
La Formación Cerrejón con base en la distribución y espesor de los mantos ha sido dividida en tres niveles: Inferior, Medio y Superior.
Los carbones del nivel Superior se clasifican según la norma ASTM como Bituminosos altos en volátiles B y C. Y los carbones de los niveles inferiores como Bituminosos altos en volátiles A.
Figura 1. Ubicación de La Cuenca Cesar Ranchería.
En la Zona Carbonífera Cesar, los carbones se localizan en ProductID="la Formacin Los" w:st="on"> la Formación Los Cuervos de edad Terciaria (Paleoceno Eoceno Temprano). La Formación Los Cuervos en la Zona Carbonífera Cesar se ha dividido en tres conjuntos:
El Conjunto Inferior, constituido por arcillolitas y limolitas, intercaladas con bancos de areniscas, cintas y mantos de carbón.
El Conjunto Medio, constituido por arcillolitas, limolitas, areniscas y hasta 60 mantos de carbón. Este conjunto conforma básicamente el nivel carbonífero productivo.
El Conjunto Superior, compuesto de areniscas cuarzosas intercaladas con limolitas y arcillolitas.
Con base en la evolución Geológica se estableció la existencia de dos pliegues regionales, denominados el sinclinal de La Loma y el sinclinal de La Jagua, limitados por fallas normales e inversas el de La Loma y por fallas normales el de La Jagua, dividiéndose la zona en dos áreas carboníferas: La Loma y La Jagua de Ibiríco.
Los carbones del área de La Loma son bituminosos altos en volátiles C, no aglomerantes. En cuanto que los carbones de la Jagua de Ibiríco son bituminosos altos en volátiles B y no aglomerantes.
3. MATERIALES Y MÉTODOS
Fueron seleccionadas veintinueve muestras, correspondientes a mantos de carbón en explotación, distribuidas en la cuenca de la siguiente manera: once muestras de la Zona Carbonífera Cesar, Área La Jagua de Ibirico, Sector La Jagua, y dieciocho de la Zona Carbonífera La Guajira, Área El Cerrejón Norte (Tabla 1). Las muestras fueron tomadas en los frentes de explotación de las minas, rotuladas siguiendo la nomenclatura de las empresas explotadoras y empacadas cuidadosamente en bolsas plásticas para prevenir su contaminación y oxidación. En el laboratorio, las muestras fueron secadas al aire, cuarteadas y pulverizadas (pasante malla 60 para la realización de los análisis próximos y la determinación del contenido de los elementos traza.
A las muestras se les efectuaron los análisis próximos completos en el Laboratorio de Carbones de la Universidad Nacional de Colombia Sede Medellín, según las normas ASTM: Humedad, D 3173; Cenizas, ASTM D 3174/79; Materia Volátil (M.V.), ASTM D 3175; Carbono Fijo (C.F.), calculado según la ASTM D 3172; Azufre Total, en un Analizador de Azufre LECO SC-132, ASTM 4239 Método C; Poder Calorífico, ASTM D 2015.
Los elementos traza (Hg, Ar, Se, Cd, Pb) fueron determinados en el Institute for Combustión Science and Environment Technology, Western Kentucky University, USA.
El mercurio fue determinado con un Analizador de Mercurio LECO 254 según la norma ASTM D 6277.
El arsénico, el cadmio, el plomo y el selenio fueron determinados con un Analizador LECO Renaissance ICP-MS (espectrómetro de masas con acople inducido de plasma) según la norma ASTM D 6357.
Tabla 1. Muestras analizadas (En orden estratigráfico para cada Zona carbonífera) 
4. RESULTADOS Y DISCUSIÓN
4.1 Resultados para los carbones de la Cuenca
Con base en los resultados de los análisis próximos (Tabla 2) se puede establecer que los carbones de la Zona Carbonífera Cesar, Área la Jagua de Ibiríco contienen porcentajes relativamente bajos de cenizas y altos de azufre comparados con los de la Zona Carbonífera La Guajira, Área Cerrejón Norte, para los cuales el contenido de cenizas aumenta en algunos carbones y el contenido de azufre es un poco más bajo.
Los resultados de la concentración de los elementos traza (Tabla 3) en los carbones de la Zona Carbonífera Cesar muestran que la concentración de mercurio está entre 0.017 ppm y 0.336 ppm, la de arsénico entre 0.32 ppm y 11.67 ppm, la de selenio entre 0.92 ppm y 6.63 ppm, la de cadmio entre 0.13 ppm y 0.91 ppm y la de plomo entre 0.56 ppm y 1.97 ppm.
En los carbones de la Zona Carbonífera La Guajira (Tabla 3) el mercurio se encuentra en concentraciones comprendidas en el rango 0.004 ppm 0.187 ppm, el arsénico entre 0.26 ppm y 23.91 ppm, el selenio entre 0.97 ppm y 5.87 ppm, el cadmio entre 0.02 ppm y 1.41 ppm, y el plomo en el rango 0.30 ppm 2.43 ppm.
Para la Cuenca se tiene que en varios de los carbones el elemento de mayor concentración es el selenio (Figuras 2 y 3), pero en algunos carbones, J10II, K43, S80, S50, P180, es más alta la concentración de arsénico, incluso con valores por encima del máximo valor de selenio encontrado.
En la Zona Carbonífera Cesar, el carbón con mayor contenido de elementos traza es J10II, con una concentración muy alta de arsénico y con el mayor contenido de mercurio (Figura 2). En los mantos, J05, J15, J20, J25I y J25II, el elemento más abundante es el selenio. El manto J30 es el carbón con menor concentración de estos elementos traza, por debajo de 2 ppm en la concentración total (la suma de los cinco elementos).
Tabla 2. Resultados de los análisis próximos para las muestras de la Cuenca Cesar Ranchería
(a): Porcentaje en peso con base en el carbón seco al aire (como se analizan).
(b): H. R.: Humedad Residual.
(c): M. V.: Materia Volátil.
(d): C. F.: Carbono Fijo.
Tabla 3. Resultados de los análisis de elementos traza: mercurio, arsénico, selenio,
cadmio y plomo, para los carbones de la Cuenca Cesar Ranchería.
*: Concentración en partes por millón para cada elemento representado con su símbolo.
Los valores son dados en base como se determinó
Figura 2. Participación de los elementos traza (As, Cd, Hg, Pb y Se) en los carbones de la Zona Carbonífera Cesar.
En la Zona Carbonífera La Guajira los carbones con mayores concentraciones de estos elementos traza son el K43, P180, S80 y S50 (Figura 3) y en cada uno de ellos el arsénico es el elemento con mayor concentración seguido por el selenio, el plomo y el cadmio.
En ambas Zonas Carboníferas, el mercurio se encuentra en los carbones analizados en concentraciones bajas, los carbones correspondientes a las muestras J10II y K43 presentan los valores mas altos de mercurio siendo estos además los carbones que tienen mayores porcentajes de azufre total, por tanto el mercurio en dichos carbones puede relacionarse con el azufre pirítico ya que el mercurio en el carbón se encuentra asociado a la pirita y a otros sulfuros (Goodarzi, 2002; Finkelman,1993).
Figura 3. Participación de los elementos traza (As, Cd, Hg, Pb y Se) en los carbones de la Zona Carbonífera de La Guajira.
4.2 Abundancia de los elementos traza en los carbones de la Cuenca Cesar Ranchería
Los valores promedios de cada elemento en la Zona Carbonífera Cesar y en la Zona Carbonífera La Guajira se comparan con la media aritmética de los mismos elementos en los carbones del mundo, los carbones de Estados Unidos, los carbones bituminosos de la Cuenca Shanxi en China y con la abundancia en la corteza terrestre, (Zhang, et al., 2004) (Figuras 4 y 5).
El mercurio en los carbones de ambas Zonas está por encima del promedio mundial, pero por debajo de los promedios de Estados Unidos y de China (Figura 4). En la Zona Carbonífera del Cesar, el promedio de mercurio supera el de la corteza terrestre.
El cadmio, tiene un promedio en las dos Zonas por encima del promedio mundial y de la abundancia en la corteza terrestre, pero está por debajo del promedio de los carbones de Estados Unidos y de China (Figura 4).
Figura 4. Comparación de las concentraciones promedio de mercurio y cadmio de los carbones de la Jagua y del Cerrejón con las concentraciones promedio de los mismos elementos en carbones de Estados Unidos, carbones bituminosos de China, carbones a nivel mundial y con la abundancia en la corteza terrestre.
Figura 5. Comparación de las concentraciones promedio de arsénico, selenio y plomo de los carbones de la Jagua y del Cerrejón con las concentraciones promedio de los mismos elementos en carbones de Estados Unidos, carbones bituminosos de China, carbones a nivel mundial y con la abundancia en la corteza terrestre.
El promedio de plomo para los carbones de la Cuenca está por debajo de todos los promedios en comparación (Figura 5).
El selenio tiene promedios muy similares a los promedios mundial y de Estados Unidos y menores con respecto al promedio de China (Figura 5). La corteza terrestre tiene un promedio muy bajo de selenio (0.05 ppm).
El arsénico en la Cuenca está por debajo de los promedios Mundial y de Estados Unidos, pero el de la Zona de La Guajira está ligeramente por encima del promedio de China (Figura 5). Con respecto a la corteza terrestre, los carbones de la Cuenca presentan promedios mayores.
4.3 Relación de los elementos traza con el contenido de azufre para los carbones de la Cuenca
Diehl, et al., 2004; Gayer, et al., 1999; Ward, et al., 1999, han realizado algunos intentos de correlación entre el contenido de azufre en el carbón y la concentración de los elementos traza objeto del presente estudio. Para cada una de las zonas carboníferas se procedió a buscar la posible relación entre el azufre total y cada uno de los elementos traza.
Figura 6. Gráfico del contenido de arsénico, cadmio, mercurio, plomo y selenio contra el contenido de azufre total para los carbones de la Jagua y del Cerrejón.
Del gráfico de la Figura 6.a. se tiene para los carbones de la Jagua una alta correlación del arsénico, con el azufre total (R2 = 0.86), mientras que para los carbones del Cerrejón la correlación es media (R2 = 0.5744), aunque en ambas zonas el carbón con el mayor contenido de azufre es el que tiene el mayor contenido de arsénico y los carbones con bajos contenidos de azufre son los que tienen menores concentraciones de arsénico.
En la Figura 6.c se observa una correlación media entre el azufre total y el mercurio para los carbones de la Jagua (R2 = 0.6282) y un baja correlación para los carbones del Cerrejón (R2 = 0.4872) .aunque en ambas Zonas los carbones con mas alto contenido de azufre, tienen mayor contenido de mercurio y los de más bajo contenido de azufre, menor contenido de mercurio.
Para el cadmio, el selenio y el plomo no es posible establecer correlaciones con el azufre (Figuras 6.b., 6.d., 6.e.).
Diehl et al., 2004; Davidson y Clarke, 1996 Relacionan el arsénico y el mercurio dada la correlación que existe entre estos elementos con el azufre total. Para cada una de las zonas carboníferas se correlacionan el Hg y el As (Figura 7). Si se observan las tendencias lineales, para los carbones de la Jagua (R2 = 0.6416) la correlación es muy parecida a la existente entre el contenido de azufre y el contenido de mercurio (R2 = 0.6282); igual se presenta para los carbones del Cerrejón donde la tendencia lineal positiva entre el Hg y el As (R2 = 0.5365), no se aleja mucho de la mostrada entre el azufre total y el mercurio Hg (R2 = 0.4872). Las dos tendencias de tipo polinomial que también se ilustran (Figura 7), mejoran la correlación, encontrándose muy alta la tendencia polinomial de orden tres para los carbones de la Jagua (R2 = 0.9301).Esta tendencia corrobora la asociación de dichos elementos con la pirita, ( Finkelman, 1993b).
Figura 7. Gráfico del contenido de mercurio contra el contenido de arsénico para los carbones de la Jagua y el Cerrejón.
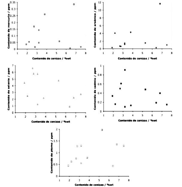
4.4 Relación de los elementos traza con el contenido de cenizas para los carbones de la Cuenca
Song, et al., 2006; Dai, et al., 2005; Vassilev, et al., 2001; Spears y Zheng, 1999, han reportado para carbones de distintas regiones del mundo, la relación existente entre la concentración de varios elementos traza y el contenido de cenizas del carbón.
Figura 8. Relación entre las concentraciones de los elementos traza (mercurio, arsénico, selenio, cadmio y plomo) y el contenido de cenizas para los carbones de la Jagua , Zona Carbonífera Cesar.
Para la Zona Carbonífera Cesar no se presenta relación entre los cinco elementos traza y el contenido de cenizas (Figura 8). Song et al., 2006, han reportado correlaciones positivas del selenio y el plomo con el contenido de cenizas, sin embargo para los carbones de la Jagua , no se cumple dicha correlación., para el selenio la correlación tiende a ser negativa y para el plomo se observa una tendencia positiva solo en el rango del contenido de cenizas 1.9% - 5.3%, para el mercurio, el arsénico y el cadmio, la relación con el contenido de cenizas es negativa,
Para los carbones de la Zona Carbonífera La Guajira se presenta una alta correlación positiva entre la concentración de plomo y el contenido de cenizas (R2 = 0.8553). lo que indica la asociación de este elemento con minerales como la galena o algunos silicatos o fosfatos en los cuales el plomo pudo reemplazar el bario, (Goodarzi et al., 1993). El arsénico y el cadmio también presentan tendencia positiva, siendo más clara para el arsénico. El mercurio y el selenio no muestran una relación con el contenido de cenizas.
En conclusión podría plantearse que la concentración de los elementos traza considerados, no siguen una tendencia definida con respecto al contenido de cenizas, porque su ocurrencia esta ligada a especies minerales características y asociaciones orgánicas y no a la materia mineral total representada por las cenizas.
Figura 9. Relación entre las concentraciones de los elementos traza (mercurio, arsénico, selenio, cadmio y plomo) y el contenido de cenizas para los carbones del Cerrejón, Zona Carbonífera de La Guajira.
5. CONCLUSIONES
Fueron determinadas las concentraciones de arsénico, cadmio, mercurio, plomo y selenio para carbones de las Zonas Carboníferas Cesar y La Guajira, pertenecientes a la Cuenca Cesar Ranchería, encontrándose bajas concentraciones de mercurio, cadmio y plomo, y concentraciones mayores de arsénico y selenio.
En la Cuenca Cesar - Ranchería, el elemento que se encuentra en mayor concentración es el selenio, ya que solo en los carbones J10II, K43, S80, S50, P180 el arsénico presenta más alta concentración que este elemento . El mercurio se encuentra en concentraciones bajas, excepto en los carbones correspondientes a las muestras J10II y K43 que presentan los valores mas altos de mercurio siendo además estos los carbones que tienen mayores porcentajes de azufre total.
En la Zona Carbonífera Cesar, el carbón con mayor contenido de elementos traza es J10II, con una concentración muy alta de arsénico y con el mayor contenido de mercurio.. En los mantos, J05, J15, J20, J25I y J25II, el elemento más abundante es el selenio y el manto J30 es el carbón con menor concentración de estos elementos traza, por debajo de 2 ppm en la concentración total
En la Zona Carbonífera de La Guajira los carbones con mayores concentraciones de los elementos traza estudiados son el K43, P180, S80 y S50 (Figura 3) y en cada uno de ellos el arsénico es el elemento con mayor concentración seguido por el selenio, el plomo y el cadmio
Las comparaciones entre las concentraciones promedio de los cinco elementos traza de los carbones analizados con los valores promedio mundiales, de EE UU, la China y la corteza terrestre, muestran que en los carbones de la Cuenca Cesar Ranchería el mercurio, el cadmio el selenio y el plomo se encuentran en concentraciones menores que en los carbones de EEUU y la china, pero en concentraciones por encima de los promedios mundiales y de la corteza terrestre, excepto el plomo cuyo promedio esta por debajo de todos los promedios en comparación. El arsénico está por debajo del promedio Mundial y del de Estados Unidos; con respecto a la corteza terrestre, presenta promedios mayores y en la Zona Carbonífera La Guajira está ligeramente por encima del promedio de la China.
El arsénico y el mercurio son los elementos traza que presentan las mejores correlaciones con el azufre total, lo que indica la estrecha asociación de estos elementos con los minerales del carbón especialmente con la pirita. El plomo por su parte, es el único elemento traza que presenta una alta correlación positiva con el contenido de cenizas, especialmente para los carbones del Cerrejón, lo que indica la asociación de este elemento con los minerales del carbón del grupo de los sulfuros específicamente la galena o algunos silicatos o fosfatos en los cuales el plomo pudo reemplazar el bario.
6. AGRADECIMIENTOS
A la Universidad Nacional de Colombia Proyecto DIME: 20201004602. Al Laboratorio de Carbones de la Universidad Nacional-Sede Medellín y al Doctor Wei Ping Pan del Institute for Combustión Science and Environment Technology.Western Kentucky University USA
7. BIBLIOGRAFIA
Aya, O., et al. 2000. Espectroscopia de emisión (ICP-AES) en carbones de Colombia. Análisis de trazas. Memorias V Congreso Nacional de Ciencia y Tecnología del Carbón. Colombia.335 339. [ Links ]
Dai, S., Ren, D., et al. 2005.Concentration and distribution of elements in Late Permian Coals from western Guizhou Province , . International Journal of Coal Geology, 61 (1), p 119 137. [ Links ]
Davidson, R.M., Clarke, L.B. 1996. Trace elements in coal. Perspectivas. Davidson, (eds.). IEA Coal Research, p 53. [ Links ]
Diehl, S.F., Goldhaber, M.B., et al. 2004. Modes of occurrence of mercury and other trace elements in coals from the warrior field, Black Warrior Basin , Northwestern Alabama . International Journal of Coal Geology, Vol. 59, p 193 - 208. [ Links ]
Finkelman, R.B. 1993. Trace and minor elements in coal. In: Engel, M.H., Macko, S.A., editors: Organic geochemistry. New York : Plenum Press, p 593 607. [ Links ]
Finkelman R.B., Orem W., et al. 2002. Health impacts of coal and coal use: possible solutions. International Journal of Coal Geology, Vol. 50; p 425 - 443. [ Links ]
Gayer, R.A., Rose, M., et al. 1999. Impact of sulphur and trace element geochemistry on the utilization of a marine-influenced coal - case study from the South Wales Variscan foreland basin.International Journal of Coal Geology, Vol. 40, p 151 - 174. [ Links ]
Goodarzi, F. 2002. Mineralogy, elemental composition and modes of occurrence of elements in Canadian feed-coals. Fuel, 81, p 1199 1213. [ Links ]
Goodarzi, F , Swaine D. 1993. Chalcophile elements in western Canadian coals. International Journal of coal Geology; 24 (1/4); 281 292 [ Links ]
Instituto Colombiano de Geología y Minería (INGEOMINAS). 2004. El Carbón Colombiano: Recursos, Reservas y Calidad. República de Colombia Ministerio de Minas y Energía, Bogotá. [ Links ]
Morales, W.A. 2007. Análisis del contenido de elementos de carácter perjudicial en los carbones de la cuenca Cesar Ranchería. Tesis (Maestría en Ingeniería Materiales y Procesos). Universidad Nacional de Colombia sede Medellín. [ Links ]
Peña, M et, al. 2000. Estudio de Cadmio y plomo en carbones empleados en termoeléctrica Memorias V Congreso Nacional de Ciencia y Tecnología del Carbón. Colombia . 99 102. [ Links ]
Song, D., Qin, Y., et al., 2007. Concentration and distribution of trace elements in some coals from Northern China . International Journal of Coal Geology, 69 (3), p 179 - 191. [ Links ]
Spears, D.A., Zheng, Y.1999. Geochemistry and origin of elements in some coals. International Journal of Coal Geology, 38 (3), p 161 179. [ Links ]
Swaine D.J. 2000. Why Trace Elements are important. Fuel Processing Technology, 6566; p 21 33. [ Links ]
Vassilev, S.V., Eskenazy, G.M., et al. 2001. Behaviour of elements and minerals during preparation and combustion of the Pernik coal, . Fuel Processing Technology, 72, 103 129. [ Links ]
Ward, C.R., Spears, D.A., et al. 1999. Mineral matter and trace elements in coals of the Gunnedah Basin, New South Wales, Australia. International Journal of Coal Geology, 40, p 281 308. [ Links ]
Zhang J.Y., Zheng C.G., et al. 2004. Distribution of Potentially Hazardous Trace Elements in Coals from Shanxi Province , . Fuel 83; p 129 - 135. [ Links ]













