Services on Demand
Journal
Article
Indicators
-
Cited by SciELO -
Access statistics
Related links
-
Cited by Google -
Similars in
SciELO -
Similars in Google
Share
Boletín de Ciencias de la Tierra
Print version ISSN 0120-3630
Bol. cienc. tierra no.21 Medellín July/Dec. 2007
PROPUESTA METODOLÓGICA PARA PRIORIZAR ÁREAS CON AMENAZA POR CAÍDA DE ROCAS EN ENTORNOS URBANOS, COMO BASE PARA EL REORDENAMIENTO URBANO Y LA MITIGACIÓN DEL RIESGO
METHODOLOGICAL SUGGESTION FOR PRIORITY ROCK FALL HAZARD URBAN AREAS, FOR THE LOCAL AUTHORITIES INTEGRATED SET OF URBAN REORGANIZATION MEASURES AIMED AT THE MITIGATION OF THE ROCK FALL RELATED RISK.
ALBEIRO DE JESÚS RENDÓN RIVERA
PhD ingeniero geólogo, Escuela de Geociencias y Medio Ambiente, Facultad de Minas, Universidad Nacional de Colombia-Medellín, arendonr@unalmed.edu.co
RUBEN DARIO VARGAS FRANCO
MSc ingeniero geólogo, R. D. V Geoconsulting.
ALBERTO ARIAS LÓPEZ
MSc ingeniero geólogo, Escuela de Geociencias, Facultad de Ciencias, Universidad Nacional de Colombia-Medellín.
Recibido para evaluación: 11 de Abril de 2007 / Aceptación: 09 de Noviembre de 2007 / Recibida versión final: 12 de Noviembre de 2007
RESUMEN
Este artículo describe una metodología cualitativa, para evaluar un índice de riesgo físico por caída de rocas a escala detallada (1:1000). Se realiza una cartografía detallada de las áreas de salida de bloques, depósitos de talud y geomorfología. Los depósitos de talud son indicadores de la frecuencia y distribución espacial del fenómeno de caída de rocas y su relación con las áreas fuente, donde se hizo una detallada clasificación de los bloques potencialmente inestables. El resultado final es la definición de los "corredores de tránsito" y su correspondiente clasificación en las categorías bajo, medio o alto índice de amenaza.
El índice de amenaza es estimado según una función lineal de variables principales cuyos resultados numéricos (índices) se agrupan en tres categorías: alto, medio y bajo. Posteriormente se evalúa para cada corredor de tránsito un índice de vulnerabilidad física representado por el número de personas y viviendas. Finalmente, el índice de riesgo para cada corredor de transito se determina mediante el cruce en una matriz de índice de amenaza Vs índice de vulnerabilidad. Los resultados son utilizados para la priorización de los corredores de tránsito en la ejecución del proyecto para la prevención y mitigación del riesgo por caída de rocas en el cerro El Picacho de la ciudad de Medellín - Colombia
Palabras clave: Caída de Rocas, Riesgo Caída de Rocas, Reordenamiento Urbano, Medellín, Colombia.
ABSTRACT
This paper describes a qualitative methodology for the assessment of rock fall physical risk index at large-scale (1:1000). Through a detailed geologic and geomorphological survey both rock fall deposits and rock fall sources are identified and mapped. Analysis of the rock fall deposits give indications over the temporal frequency and spatial distribution of the phenomenon and point out the most active areas. Rock fall sources are meticulously studied and individual rock blocks are classified based on its potential instability. The final product is a definition of the rocks transit corridors and their corresponding classification, concerning the rock fall hazard index, using the heuristically defined categories of low, moderate and high hazard.
Hazard index is estimated as lineal function of main variables, whose values (numeric indexes) are ground together in three categories: high, moderate, and low. Physical vulnerability index to each transit corridor is assessed based on the number of people and dwellings. Finally, physical risk index to every transit corridor is obtained crossing hazard index and vulnerability index data. The risk assessment results allowed the local authorities to carry out an integrated set of urban reorganization measures aimed at the mitigation of the rock fall related risk.
Key Words: Rock Fall, Rock Fall Risk index, urban reorganization, Medellín, Colombia.
1. INTRODUCCIÓN
Entre los años 1990 - 2000 en la ciudad de Medellín, se formula y pone en marcha la primera fase de un programa denominado "Programa Integral de Mejoramiento de Barrios Informales en Medellín -PRIMED-", cuyo objetivo general era "mejorar la calidad de vida de los habitantes de 15 barrios de la ciudad", con una población directamente beneficiada de 30.000 habitantes, a través de cinco componentes de actuación: Promoción y participación comunitaria, prevención y mitigación del riesgo por fenómenos físicos, legalización de la tenencia de la tierra, infraestructura física, mejoramiento y reubicación de vivienda (Municipio de Medellín 1996, Consejería Presidencial para Medellín y su Área Metropolitana et al. 1993).
En este programa cuyo lema era "Construir ciudad con la ciudadanía" convergían para su financiación y ejecución: la comunidad directamente beneficiada, entidades gubernamentales del orden nacional y local, ONGs, universidades, empresa privada y entidades del orden internacional como Naciones Unidas y el Banco de la Vivienda de Alemania -KFW-.
La metodología que se presenta fue diseñada y aplicada en la zona Noroccidental de Medellín una de las áreas de intervención del PRIMED (Figura 1).
Figura 1. Localización de la zona de intervención
Esta zona está conformada por cinco (5) barrios, los cuales crecieron urbanística e informalmente alrededor de la base del cerro El Picacho, configurándose un escenario de riesgo por desprendimientos de rocas, el cuál tuvo que ser diagnosticado y evaluado, para orientar la intervención urbana que allí se pretendía desarrollar.
2. METODOLOGÍA-RESULTADOS
Las caídas de rocas son un fenómeno geomorfológico muy común en los ambientes de montaña, siendo uno de los procesos a través de los cuales evolucionan las vertientes. Las estructuras geológicas (fallas o diaclasas) al afectar a los macizos rocosos, los subdividen en bloques, los cuales dependiendo de las características de las estructuras como: abertura, tipo de relleno, rugosidad, espaciamiento, continuidad, grado de meteorización, circulación de agua, entre otras, serán mayor o menos susceptibles a desprenderse. Finalmente la lluvia, el hielo-deshielo, los sismos ó la actividad antrópica, se convierten en los detonantes de los desprendimientos.
El fenómeno de caída de rocas se convierte cada día más en un factor de amenaza, debido a que las actividades humanas llegan a áreas bajo la influencia de este proceso. En la literatura se pueden encontrar varios autores que han estudiando el fenómeno de caída de rocas, a la luz de los efectos que pueden ocasionar a la infraestructura, entre ellos tenemos: Bieniawski, 1973-1993, Baillifard et al., 2003, Copons et al., 2004, Hoek, 2000, Roullier et al., 1998, entre otros.
Existen en la literatura varias propuestas metodológicas para evaluar la amenaza por caídas de rocas, diferenciándose dos tendencias principales: a) Corominas et al., 2003, Parise, 2002, Hoek, 2000 y Rouiller et al., 1998 se basan en un análisis multicriterio, donde asignan a cada clase de factores un valor ponderado de forma cualitativa, contando cada parámetro con un peso diferente. Se utiliza un Sistema de Información Geográfico para operar con mapas cualitativos y b) Ayala-Carcedo et al., 2003 y Budetta y Santo, 1994, utilizan los modelos conceptuales basados en simulaciones de caída de rocas.
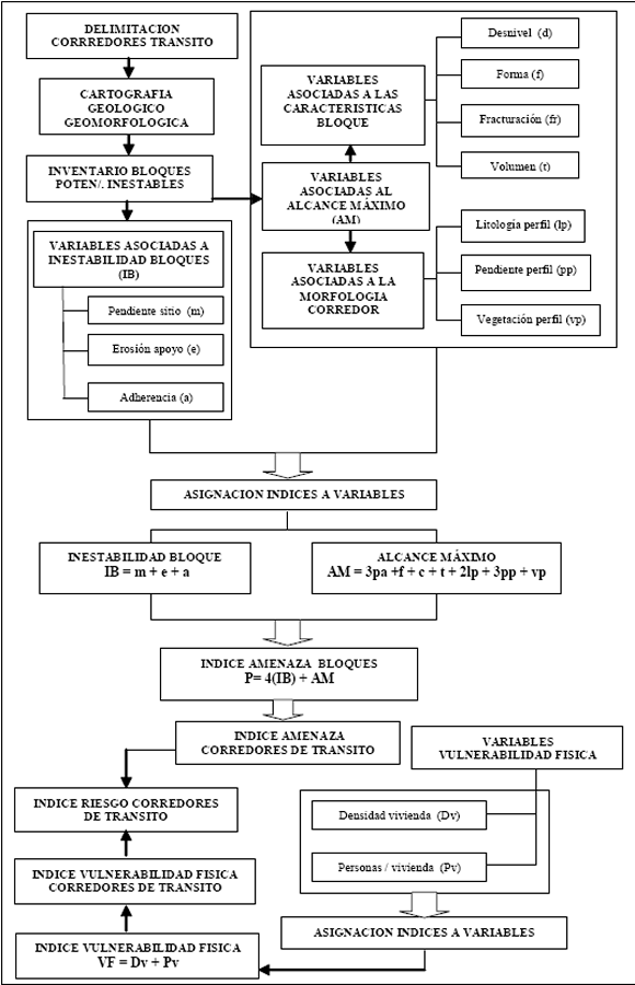
A continuación se presentan los principales elementos de la metodología elaborada y aplicada en la zona de El Picacho Medellín (Figura 2), la cual se inscribe en el primer grupo de metodologías mencionadas anteriormente, cuya unidad de análisis es el corredor de tránsito definido como: una porción de la vertiente claramente delimitable por sus características morfológicas (generalmente coinciden con microcuencas o vaguadas) y donde se observan depósitos de talud como indicadores de caídas recientes (Rendón y Vargas 1997).
Figura 2. Metodología seguida para evaluar el índice de riesgo por caída de rocas.
2.1 Cartografía geológico-geomorfológica detallada
El Picacho es un cerro de altas pendientes que oscilan entre 180 y 80º y con alturas entre 1800-2100 m.s.n.m. Geológicamente está conformado por: a) metagabro (Rendón, 1999; Correa y Materns, 2000) localmente en un estado intermedio de meteorización, con una foliación fina bien marcada, afectada por dos familias principales de diaclasas; b) depósitos de vertiente cubren el 60% del área de estudio, constituidos por bloques de metagabro heterométricos, embebidos en una matriz limo-arcillosa de color oscuro y c) depósitos de talud reciente, que cubren aproximadamente el 20% del área estudiada, reposando generalmente al pie de las zonas escarpadas. Son acumulaciones de bloques frescos de metagabro de tamaño centimetrico a métrico.
Geomorfológicamente las vertientes del cerro El Picacho se pueden dividir en a) vertientes de denudación, correspondientes a aquellas mayores de 450 donde predominan los procesos erosivos representados en desprendimientos en los escarpes de anfibolita y erosión laminar en los depósitos de vertiente; b) vertientes acumulativas con pendientes entre 180 y 450, donde predominan los procesos de acumulación.
La caída de rocas es el proceso geomorfológico activo que se constituye en amenaza para los asentamientos humanos en la base del cerro El Picacho (Figura 3).
Figura 3. Escenario de riesgo en el cerro El Picacho donde se desarrolló y aplicó la metodología.
Los bloques desprendidos son de dos tipos: a) bloques provenientes de los escarpes de anfibolita y b) bloques descubiertos por la erosión laminar de la matriz de los depósitos de vertiente, que se ponen en movimiento por erosión de su apoyo. La frecuencia del fenómeno de desprendimientos es poco conocida y solo se ha observado en los últimos años, cuando ha afectado viviendas muy cercanas a la base del cerro, registrándose uno o dos desprendimientos en un periodo de 3 años.
En esta etapa se delimitan los corredores de tránsito los cuales serán la base para la evaluación y se realiza una cartografía geológico-geomorfológica detallada (1:1000) de los elementos descritos anteriormente: áreas fuente de los desprendimientos, localización de los bloques con posibilidad de desprenderse, indicadores geomorfológicos de caídas recientes, depósitos de talud, usos del suelo y caídas testimoniales (punto de salida, trayectoria y punto de llegada), cuyo resultado se observa en la Figura 4.
Figura 4. Cartografía geológico-geomorfológico del cerro El Picacho.
2.2 Inventario de bloques inestables
Para evaluar la inestabilidad de los bloques con posibilidad de desprenderse identificados en el numeral anterior, se diseñó una ficha geotécnica y se aplicó a cada uno de los bloques la cual contenía la siguiente información: código de identificación del bloque, localización en el mapa, forma, volumen, pendiente en el sitio, erosión apoyo y adherencia (más adelante se definen estas variables) y una calificación cualitativa preliminar de inestabilidad, a criterio del experto (inestable, estable). Con los bloques evaluados como inestables se continúa con el siguiente análisis.
2.3 Evaluación del índice de amenaza
La evaluación del índice de amenaza por caída de rocas se realizó según dos componentes básicos: inestabilidad de los bloques (IB) y el alcance máximo (AM), observándose en la Figura 5 un esquema del análisis y las variables involucradas, mientras en la Tabla 1 sus diferentes rangos y respectivos índices.
Figura 5. Bloque diagrama con los elementos de la propuesta metodológica.
Tabla 1. Variables, rangos y calificaciones, para evaluar la amenaza por caída de rocas.

2.3.1 Valoración del componente "Inestabilidad de los Bloques (IB)"
La inestabilidad de los bloques (IB) está conformada por las variables: pendiente en el sitio (m), erosión apoyo (e) y adherencia (a) las cuales se definen en la Tabla 1.
La inestabilidad del bloque (IB) se define como una función de las tres variables antes descritas: IB = m + e + a
2.3.2 Valoración del componente "Alcance Máximo (AM)"
El "Alcance Máximo" está conformado por dos grupos de variables: unas asociadas con las características del bloque y otras relacionadas con la morfología del corredor de tránsito. Dentro del primer grupo encontramos la desnivel (d), forma (f), fracturamiento (fr) y volumen (t). Por su parte en el segundo grupo tenemos: litología del perfil (lp), distribución de pendientes (pp) y distribución de vegetación (vp), las cuales se definen en la Tabla 1, con sus respectivos rangos e índices asignados.
Para calcular el componente "Alcance Máximo (AM)" se tiene la siguiente expresión: AM = 3d + f + fr + t + 2lp + 3 pp + vp
Esta ecuación es construida según las particularidades de la zona de estudio y la experiencia del experto, pro lo tanto si se va ha usar en otra zona, se le pueden hacer variaciones de acuerdo a las particularidades de la zona.
2.3.3 Valoración del índice de amenaza (P)
El índice de amenaza (P) es la combinación de las valoraciones: inestabilidad de los bloques (IB) y alcance máximo (AM) siendo IB la variable crítica y dinámica más importante, planteándose la siguiente expresión para evaluar el índice de amenaza (P):
P = 4(IB) + AM.
El 4 es un factor de ponderación necesario para equilibrar la relación existente entre IB y AM (1:4). Los valores máximo y mínimo de P son 72 y 24 respectivamente, observándose en la Tabla 2 los rangos del índice de amenaza y su clasificación cualitativa.
A cada uno de los bloques evaluados como inestables en el numeral 2.2 se les debe hacer el análisis de amenaza expresado en la Figura 5, al final del cual cada uno de los bloques inestables tendrá una calificación cualitativa de amenaza como la expresada en la Tabla 2.
Una vez se tiene cada uno de los bloques de los corredores de tránsito catalogados dentro de las tres clases establecidas de amenaza: alta, media y baja, se debe proceder a la valoración cualitativa de la amenaza total de cada corredor de tránsito, teniéndose en cuenta el número de bloques catalogados como de amenaza alta.
Tabla 2. Rangos de los valores del índice de amenaza con sus respectivas categorías, para los bloques y los corredores de tránsito. 
La amenaza total para cada uno de los corredores de tránsito, se establece según la relación entre el número total de bloques evaluados como de amenaza alta en la zona estudiada y el número de bloques de amenaza alta evaluados en el corredor de tránsito correspondiente (Tabla 2). Para esta valoración también se mantiene los tres rangos de amenaza que se han venido utilizando: alta, media y baja.
2.3.4 Valoración del índice de vulnerabilidad física
En el análisis de la vulnerabilidad física de los asentamientos ubicados en cada uno de los corredores de tránsito, se siguió la misma línea metodológica empleada para la estimación de la amenaza, estableciéndose unas variables, sus rangos de variación y sus respectivos índices de valoración.
Mediante el trabajo de campo se establecieron las siguientes variables de vulnerabilidad física que inciden significativamente en el riesgo, en cada uno de los corredores de tránsito: densidad de vivienda (Dv) y número de personas por vivienda (Pv). Para la valoración del índice de vulnerabilidad física (VF) se sumaron entre sí las variables: VF= Dv + Pv (Tabla 3).
Tabla 3. Variables, rangos y calificaciones asignadas, para evaluar la vulnerabilidad

2.3.5 Valoración del índice de riesgo
Para estimar el índice de riesgo en cada uno de los corredores de tránsito, se hizo según la priorización de la cual estableció la relación entre el índice de amenaza y el índice de vulnerabilidad (Tabla 4).
Tabla 4 . Matriz de correlación entre el índice de amenaza y el índice de vulnerabilidad para estimar el índice de riesgo en cada corredor de tránsito.

La valoración del índice de riesgo por caída de rocas asignado a cada uno de los corredores de tránsito (Tabla 5) fue el criterio técnico utilizado, para la priorización de la intervención, para la prevención y mitigación.
Tabla 5. Matriz para la valoración del índice de riesgo por caída de rocas en el cerro El Picacho, para cada corredor de tránsito.

Cuando dos o más corredores de tránsito tienen la misma valoración del índice de riesgo, el orden de la intervención lo establece el número de personas existentes en cada uno de los corredores, siendo de mayor prioridad de intervención aquel con mayor número de personas bajo riesgo.
Finalmente, en la Figura 6 se observa la propuesta de intervención para la prevención y mitigación del riesgo por caída de rocas, adoptada y ejecutada en el cerro El Picacho.
Figura 6. Propuesta de intervención integral para la prevención y mitigación del riesgo por caída de rocas en el cerro El Picacho Medellín-Colombia.
En esta propuesta aparte de la valoración del índice de riesgo como criterio de ordenación de la intervención, también fue importante el análisis geomorfológico detallado para decidir donde establecer las obras de mitigación y la simulación de caída de rocas con datos reales de campo, que nos aportaron información sobre energías de impacto, alturas de rebote y trayectorias de tránsito privilegiadas.
Finalmente, complementario al análisis mostrado para priorizar los corredores de tránsito para la intervención en la prevención y mitigación del riesgo, se seleccionaron los tipos de obras a ejecutar: construcción de muros en gaviones, revegetalización, reubicación de vivienda e intervención integral, se procedió mediante criterios geomorfológicos y experiencia de experto, a delimitar alrededor del cerro unas áreas de alto, medio y bajo riesgo (Figura 6), con el fin de establecer desde el punto técnico, hasta donde podía existir vivienda. Como resultado de este análisis la zona clasificada como Zar se destinó como área de amortiguamiento, por si alguna roca llegaba a superar las barreras instaladas. Aquí se construyó equipamiento deportivo y recreativo y el límite con la zona Zmr se convirtió en un sendero perimetral, que sirviera de referente visual para los habitantes y funcionarios públicos de control.
3. CONCLUSIONES
La metodología propuesta es una herramienta útil en el proceso de toma de decisión para la prevención y mitigación del riesgo por caída de rocas, ya que prioriza a través de una evaluación fácil, las áreas que deben ser intervenidas.
Las características más importantes de la metodología son: (a) Está sustentada sobre un detallado trabajo de campo (1:1000) en el cual se definen las variables fundamentales y sus respectivos rangos de variación, (b) no requiere para el análisis cálculos complicados a nivel estadístico y (c) sus resultados descansan sobre la experiencia del experto.
Estratégicamente, la metodología propuesta lleva incorporado el concepto de considerar las caídas de rocas, como un fenómeno de evolución natural del cerro El Picacho, que seguirá presentándose en la medida que exista material a ser movilizado, independiente o no de la infraestructura física y las personas instaladas en su base. Por lo tanto, se asume como estrategia la coexistencia con el fenómeno y se instalan obstáculos (muros en gaviones y vegetación) al desplazamiento de los bloques, además, de una franja de seguridad adicional, desprovista de elementos vulnerables.
El enfoque metodológico utilizado tiene como componente fundamental el análisis geomorfológico, el cual permite entender la evolución espacio-temporal del fenómeno analizado. Este conocimiento permitió diseñar medidas para la mitigación del riesgo ajustadas a la dinámica natural del proceso geomorfológico estudiado.
Finalmente, esta metodología se puede adaptar para ser aplicada a otras áreas, conservándose la filosofía de la delimitación de los corredores de tránsito, la identificación y evaluación de los bloques potencialmente inestables y retomándose e involucrándose nuevas variables asociadas a los bloques, los corredores de tránsito y la vulnerabilidad de acuerdo con las características particulares del área estudiada.
AGRADECIMIENTOS
Los autores agradecen a las dependencias del Municipio de Medellín, al Centro de Investigaciones Ambientales de la Universidad de Antioquia, a INTEGRAL S.A, al PRIMED y a la comunidad.
REFERENCIAS BIBLIOGRÁFICAS
[1] Ayala-Carcedo, et al. 2003. Large scale rockfall susceptibility maps in La Cabrera (Madrid) perfomed with GIS and dynamic analysis at 1:5,000. Natural Hazards and Earth System Sciences, 30. pp. 325-340. [ Links ]
[2] Baillifard, F.; Jaboyedoff, M. y Sartori, M. 2003. Rockfall hazard mapping along a mountainous road in Switzerland using a GIS-based parameter rating approach. Natural Hazards and Earth System Sciences, 3. pp. 431-438. [ Links ]
[3] Bieniawski, Z. T. 1993. Classification of Rock Masses for engineering. The RMR system and future trends. En: J. Hudson (ed.), Comprehensive Rock Engineering, Pergamon. Vol. 3. pp. 553-574. [ Links ]
[4] Bieniawski, Z. T. 1973. Engineering classification of jointed rock masses. Transactions South African Institute of Civil Engineers, 15 (12) pp. 335-344. [ Links ]
[5] Budetta, P. y Santo, A. 1994. Morphostructural evolution and related kinematics of rockfalls in Campania (southern Italy): A case study. Engineering Geology, 36. pp. 197-210. [ Links ]
[6] Consejería Presidencial para Medellín y su Área Metropolitana, Municipio de Medellín y Naciones Unidas. 1993. Programa integral de mejoramiento de barrios subnormales de Medellín - PRIMED - Estudio de factibilidad. 352 P. [ Links ]
[7] Copons, R.; Vilaplana, J.M.; Corominas, J.; Altimir, J. y Amigó, J. 2004. Rockfall risk management in high-density urban areas. The Andorran experience. En: T. Glade, M. Anderson and M. Crozier (Ed). Landslide hazard and risk. John Wiley & Sons Ltd, England, pp. 675-698. [ Links ]
[8] Correa, A. M. y Martens, U. 2000. Caracterización geológica de las anfibolitas de los alrededores de Medellín. Trabajo dirigido de grado, Universidad Nacional de Colombia, Facultad de Minas, 363 P. [ Links ]
[9] Corominas, J.; Copons, R.; Vilaplana, J. M.; Altimir, J. y Amigó, J. 2003. Integrated landslide susceptibility analysis and hazard assessment in the Principality of Andorra. Natural Hazards, 30. pp. 421-435. [ Links ]
[10] Hoek, E. 2000. Analysis of rockfall hazards. En: E. Hoek, Practical rock engineering. Chapter 9, Course notes, Toronto University. pp. 117-136. Disponible en: http://www.Rockeng.utoronto.ca/hoek-corner.htm. [ Links ]
[11] Municipio de Medellín. 1996. PRIMED: Una experiencia exitosa en la intervención urbana. Ed. Multigráficas Ltda., Medellín - Colombia.126 P. [ Links ]
[12] Parise, M. 2002. Landslide hazard zonation of slopes susceptible to rock falls and topples. Natural Hazards and Earth System Sciences, 2. pp. 37-49. [ Links ]
[13] Rendón, A. y Vargas, R. 1997. Evaluación y mitigación del riesgo físico por caída de rocas, en el Cerro El Picacho, zona Noroccidental Medellín. Informe técnico, Programa Integral de Mejoramiento de Barrios Subnormales en Medellín PRIMED -, Alcaldía de Medellín. 118 P. [ Links ]
[14] Rendón, D. 1999. Cartografía y caracterización de las unidades geológicas de la zona urbana de Medellín. Trabajo de grado, Universidad Nacional de Colombia, Facultad de Minas, 200 P. [ Links ]
[15] Rouiller, J.; Jaboyedoff, M.; Marro, Ch.; Philippossian, F. y Mamin, M. 1998. Pentes instables dans le pennique valaisan. Ed. V/d/f, Zürich, 239 P. [ Links ]













