Services on Demand
Journal
Article
Indicators
-
Cited by SciELO -
Access statistics
Related links
-
Cited by Google -
Similars in
SciELO -
Similars in Google
Share
Boletín de Ciencias de la Tierra
Print version ISSN 0120-3630
Bol. cienc. tierra no.30 Medellín July/Dec. 2011
DETECCIÓN DEL PIE DEL TALUD CONTINENTAL SOBRE UN MODELO DIGITAL BATIMÉTRICO. PLATAFORMA CONTINENTAL EXTENDIDA DE CUBA. GOLFO DE MÉXICO
DETECTION OF THE CONTINENTAL FOOT OF SLOPE FROM A DIGITAL BATHIMETRIC MODEL. CONTINENTAL SHELF EXTENDED OF CUBA. GULF OF MEXICO
OSVALDO RODRÍGUEZ MORÁN
Dr. Investigador Titular del Centro de Investigaciones del Petróleo (Ceinpet). Miembro de la Comisión Estatal del Límite Exterior de la Plataforma Continental (2009). Churruca, No.481, e/ Vía Blanca y Washington, El Cerro. La Habana. ormoran@ceinpet.cupet.cu
Recibido para evaluación: 17 de Agosto de 2011 / Aceptación: 30 de Octubre de 2011 / Recibida versión final: 9 de Noviembre de 2011
RESUMEN
La Presentación de la República de Cuba ante la Comisión de Límites de la Plataforma Continental, establece la delimitación de la plataforma continental de Cuba más allá de las 200 millas marinas en el Golfo de México en correspondencia con lo establecido en la Convención de las Naciones Unidas sobre el Derecho del Mar. La República de Cuba demuestra la extensión natural de su plataforma continental más allá de las 200 millas marinas solo en la alta mar de la parte oriental del Golfo de México, delimitada por las zonas económicas exclusivas de la República de Cuba (Cuba), los Estados Unidos Mexicanos (México) y los Estados Unidos de América (Estados Unidos). Las fronteras marítimas de los referidos Estados en el polígono oriental del Golfo de México no han sido delineadas hasta el momento. La detección del Pie de Talud Continental (FOS), es un objetivo primordial para llevar a cabo la Presentación por la parte cubana. La detección del Pie de Talud debe manifestarse en la aplicación consecuentemente de una serie de transformaciones matemáticas (filtros bidimensionales) al Modelo Digital Batimétrico (MDB) en la zona de interés. En este trabajo se presenta la aplicación de estas transformaciones matemáticas al MDB y se evalúa la regularidad de sus resultados, por esta vía, se pudo determinar la posición espacial del Pie de Talud en la plataforma Continental de Cuba. Finalmente, se presentan las coordenadas de dos fronteras, cuyo espacio limitado entre ellas, determinará la existencia de la posición espacial del Pie de Talud de la Plataforma Continental.
Palabras clave: Derechos del mar, plataforma continental, golfo de méxico, modelo digital batimétrico,pie talud, transformaciones matemáticas.
ABSTRACT
The Republic of Cuba formalizes this submission to the Commission on the Limits of Continental Shelf with the aim for demonstrating the natural extension of its continental shelf beyond 200 nautical miles in the Gulf of Mexico, according to what is established by the United Nations Convention on the Law of the Sea. The Republic of Cuba demonstrates the natural extension of its continental shelf beyond 200 nautical miles only in the high seas area in Eastern Gulf of Mexico (hereinafter Eastern Sector of the Gulf of Mexico or Eastern Sector), defined by the external limits of the economic exclusive zones of the Republic of Cuba (Cuba), the United Mexican States (Mexico) and the United States of America (United States). In the Eastern Sector of the Gulf of Mexico, the maritime boundaries of the above mentioned countries have not been delimited up to the present time. The detection of the Continental Foot of Slope (FOS) is a primordial objective to carry out the Presentation for the Cuban staff. The detection of the Continental Foot of Slope should show consequently in the application from a series of mathematical transformations (bi-dimensional filters) to the Bathymetric Digital Model (BDM) in the area of interest. This paper shows the application from these mathematical transformations to BDM and the regularity of its results is evaluated, by this way was gotten the space position of the Continental Foot of Slope in the Continental Shelf of Cuba. Finally, the coordinates of two frontiers are shown, whose limited space among them, will determine the existence of the space position of the Foot of slope of the Continental Shelf.
Key word: Law of the sea, continental shelf, gulf of mexico, bathymetric digital model, Foot of slope, mathematical transformations.
1. INTRODUCCION
La Presentación ante la Comisión de Límites de la Plataforma Continental por parte de la República de Cuba, establece la delimitación de la plataforma continental más allá de las 200 millas marinas en el Golfo de México, esto es así, por lo establecido en la Convención de las Naciones Unidas sobre el Derecho del Mar. La República de Cuba demostró la extensión natural de su plataforma continental más allá de las 200 millas marinas solo en la alta mar de la parte oriental del Golfo de México, delimitada por las zonas económicas exclusivas de la República de Cuba (Cuba), los Estados Unidos Mexicanos (México) y los Estados Unidos de América (Estados Unidos). Las fronteras marítimas de los Estados anteriormente señalados, en el polígono oriental del Golfo de México, no han sido delineadas hasta el momento. El objetivo fundamental de este trabajo es describir y evaluar los resultados de aplicar diferentes transformaciones matemáticas a un Modelo Digital Batimétrico dirigidas a determinar la posición del Pié del Talud en la región de su base, en el sector noroeste de la plataforma del territorio de la República de Cuba, a partir del Modelo Digital Batimétrico (MDB), estimado para el lugar, con un Error Medio Cuadrático (EMC) estimado de 3.3% (Rodríguez-Morán, O., 2009).
1.2. Área de Estudio y Modelo
El Modelo Digital Batimétrico utilizado proviene de cuatro fuentes de datos (Comisión Estatal del Límite Exterior de la Plataforma Continental, 2009):
1.- Base de datos IHO-DCDB GEODAS.
2.- Atlas Digital de Alta Resolución CARIS Digital Atlas (High-Res Bathymetric Edition).
3.- Carta Batimétrica General Digital (GEBCO: General Bathymetric Chart of the Oceans), Edición del Centenario, 2003.
4.- Altimetría de la base de datos (Smith, W., Sandwell, D., 2000) de la Universidad de California. Son mezcla de puntos tomados con sondas en barcos y altimetría de satélites.
El área de interés fundamental para la determinación del Pie de Talud fue localizada y representada por sus coordenadas en la Tabla I.
Tabla I. Coordenadas de la localización de la zona útil para la detección del Pie de Talud.

El MDB utilizado (Figura 1), consta de una red de datos de celdas homogéneas con las características siguientes: Longitud Máxima = 90°, Longitud Mínima = 83°, Latitud Mínima= 22° y Latitud Máxima= 29°. Los signos negativos son solo representativos para poder invertir los valores de crecimiento y poder graficarlos. Las celdas de la red tienen una amplitud (Ancho x Alto) de 0.005 ° por cada lado del cuadrado.
Figura 1. Zona útil del Modelo Digital Batimétrico (Rodríguez-Morán, O., 2009), para la detección del Pie de Talud (Las coordenadas de los vértices 1, 2, 3 y 4 provienen de la Tabla I).
-
Métodos de transformación geomorfológica: Pendiente Máxima y Disección Vertical.
-
Modelos Matemático de la transformación por la Segunda Derivada (Aplicaciones de filtros): Fórmulas de: M. U. Saguítov, A. K. Malovichko, L. V. Kantoróvich, D. Yu. Pánov, R. Henderson y L. P. Zhógolev (Mirónov, V. S., 1977).
Métodos de transformación geomorfológicos
Pendiente Máxima. El Método de la Pendiente Máxima se basa en el cálculo del gradiente del Plano Cuadrático Mínimo (PCM) ajustado a los 4 puntos de profundidad batimétrica de cada uno de los vértices, que corresponde a cada una de las celdas del MDB (Pereira, O. C. et al., 2004; Rossiter, D. G., et al., 2001) (Figura 2).
Figura 2. Esquema del Plano Cuadrático Mínimo controlado por los 4 puntos batimétricos de cada celda del MDB.
Como la metodología utilizada para determinar el Pie de Talud está establecida mediante el punto de máximo cambio de gradiente, todo contraste entre valores contiguos de Máxima Pendiente y Mínima Pendiente (Bronshtein, I., Semendiaev, K., 1971), reflejaría el objetivo de determinar el Pie de Talud (Figura 3).
Figura 3. Esquema conceptual del Pie de Talud.
2. MATERIALES Y METODOS
Para la determinación del Pie de Talud Continental se aplicaron a los métodos generales siguientes (De Miro, et al., 1983, Davis, 1986, Hubp, 1988, Díaz, et al., 2000):
La ecuación canónica del un plano en el espacio (Bronshtein, I., Semendiaev, K., 1971; Borowski, E. J., Borwein, J. M., 1989; Lehmann, C. H., 1974), viene dada por la siguiente expresión:
A partir de estos coeficientes A y B de las variables x e y, respectivamente, de la ecuación cartesiana del plano, es que se puede calcular su pendiente. No incluimos al coeficiente C' (término independiente), pues la pendiente del plano no depende del intercepto de este con el eje Z (Bronshtein, I., Semendiaev, K., 1971; Borowski, E. J., Borwein, J. M., 1989; Lehmann, C. H., 1974).
Si despejamos z en la expresión [1] se tiene que:
Y obtenemos la ecuación cartesiana del Plano, donde:
Se sabe que el gradiente de una función tridimensional z=f(x,y) viene dado por la expresión (Bronshtein, I., Semendiaev, K., 1971; Borowski, E. J., Borwein, J. M., 1989):
donde:
Es la derivada parcial de la función z=f(x,y) respecto de x, es decir en la dirección del eje X. Por esta razón, se especifica que es en la dirección del vector unitario i.
Es la derivada parcial de la función z=f(x,y) respecto de y, es decir en la dirección del eje Y. Por esta razón, se especifica que es en la dirección del vector unitario j.
El valor modular de ese gradiente viene dado entonces por la expresión (Bronshtein, I., Semendiaev, K., 1971):
La función z=f(x,y) que nos compete, es la función del plano en un espacio tridimensional, por lo tanto, el gradiente de la función del plano [1] respecto a la dirección del eje X es:
Igual para el gradiente de la función del plano [1] respecto a la dirección del eje Y es:
Por lo que, sustituyendo [5] y [6] en [4] tenemos:
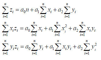
Para obtener los valores de los coeficientes A y B de la ecuación del plano de cada una de las celdas del Modelo Digital Batimétrico, es necesario determinar la función del Plano Cuadrático Mínimo (Spiegel. M. R., 1971) que mejor se ajusta a los 4 valores de profundidad que enmarcan los vértices de cada una de las celdas del MDB.
Para esto supondremos que los 4 valores de profundidad de los vértices de una celda elemental del MDB son las variables Z1, Z2, Z3 y Z4, como se muestra esquemáticamente en la Figura 2. Por lo que tenemos cuatro tríadas de valores a partir de los cuales obtendremos los coeficientes A y B de la ecuación del Plano Cuadrático Mínimo, estas triadas están generalizadas en la Tabla II.
Tabla II. Representación generalizada de las cuatro tríadas de valores de los vértices de una celda elemental del MDB.

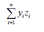
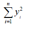
La expresión para la determinación de los coeficientes a0, a1 y a2 de un Plano [2] a partir de un conjunto de n tríadas de valores (xi, yi, zi), viene dada por la solución del Sistema de Ecuaciones Lineales siguiente (Borowski, E. J., Borwein, J. M., 1989; Golovina, L. I., 1974; Kochendörffer, R., 1969; Spiegel. M. R., 1971):
donde
n Es el numero de triadas de valores tridimensionales.
Es la sumatoria de las componentes X de las 4 triadas de valores.
Es la sumatoria de las componentes Y de las 4 triadas de valores.
Es la sumatoria de los cuadrados de las componentes X de las 4 triadas de valores.
Es la sumatoria de los productos de las componentes X y Y de las 4 triadas de valores.
Es la sumatoria de los cuadrados de las componentes Y de las 4 triadas de valores.
Es la sumatoria de las componentes Z de las 4 triadas de valores.
Es la sumatoria de los productos de las componentes X y Z de las 4 triadas de valores.
Es la sumatoria de los productos de las componentes Y y Z de las 4 triadas de valores.
a0 Coeficiente independiente de la ecuación del Plano [2].
a1 Coeficiente de la variable X de la ecuación del Plano [2].
a2 Coeficiente de la variable Y de la ecuación del Plano [2].
Entonces, la expresión [8] puede resolverse como un Sistema de Ecuaciones Lineales de tercer orden (Bronstein, I., Semendiaev, K., 1971; Golovina, L. I., 1974; Kochendörffer, R., 1969) respecto de los coeficientes incógnitas:a0, a1 y a2. De esta forma, se tiene como resultado el cálculo de los valores de los coeficientes a0, a1 y a2, del Plano Cuadrático Mínimo. Así, podremos determinar el gradiente de este plano (Máxima Pendiente) aplicando la expresión [7].
Para cada celda del MDB, tendremos un valor de Pendiente del Plano Cuadrático Mínimo correspondiente a esa celda y de esta forma podremos representar espacialmente la variación de este parámetro en toda nuestra zona de estudio y a partir del criterio del contraste entre la Pendiente Máxima y la Pendiente Mínima que coincidan contiguamente, podrá proponerse la alineación de estos contrastes como una zona de Pie de talud.
Disección Vertical. La Disección Vertical se define como la diferencia entre el valor máximo y el mínimo de altura correspondiente a un área dada (De Miro O. M., et al., 1983; Díaz, N. R., et al., 2000; Hubp, L. J., 1988). Esto hace que pueda utilizarse este criterio para determinar el Pie de Talud mediante el punto de máximo cambio de gradiente. Es decir:
donde
Max
. Es el valor Máximo de los valores de profundidad correspondiente a los vértices de la celda elemental del Modelo Digital Batimétrico.
Min
. Es el valor Mínimo de los valores de profundidad correspondiente a los vértices de la celda elemental del MDB.
A esta diferencia [9] es a lo que llamamos Disección Vertical.
Modelos Matemático de la transformación de la Segunda Derivada.
Las fórmulas de la transformación de la Segunda Derivada utilizadas según sus autores están mostradas en la Tabla III.
Tabla III. Fórmulas de la transformación de la Segunda Derivada y los Coeficientes, según sus autores (Fuente: Mirónov, V. S., 1977).

La nomenclatura matemática de las fórmulas de la Tabla III significa lo siguiente:
Es el valor de la Segunda Derivada de la función discreta f(r).
Representa el valor de la función en el punto central del filtro.
Representa el promedio de los valores de la función que se encuentran a una distancia
del centro del filtro.
Representa el promedio de los valores de la función que se encuentran a una distancia r del centro del filtro.
Representa el promedio de los valores de la función que se encuentran a una distancia 2r del centro del filtro.
En la Tabla IV se muestra los valores calculados para cada uno de los coeficientes.
Tabla IV. Valores calculados para cada uno de los coeficientes de las fórmulas de la transformación de la Segunda Derivada.

Se establecieron la estrategia de selección de nodos y el cálculo de los filtros para el cálculo digital de la Segunda Derivada para cada uno de los filtros establecidos. En virtud de ser breve, se mostrarán solo, en la Figura 4 y en la Tabla V, la estrategia de selección de los nodos y el cálculo del filtro correspondiente al filtro de M. U. Saguítov.
Figura 4. Esquema de la selección de los nodos correspondientes al filtro de Segunda Derivada de M. U. Saguítov.
Tabla V. Filtro calculado de la Segunda Derivada de M. U. Saguítov.

Como se refirieron los casos anteriores, el procedimiento práctico de la aplicación de los anteriores filtros se realiza mediante la ejecución de la convolución (Alfonso, J. R., 1983), entre el filtro calculado y el MDB. Por ejemplo:
[16]
donde
Valor del resultado de la aplicación del filtro en la fila F y columna C.
Nodo del filtro en la fila i y columna j.
Nodo del MDB en la fila i y columna j.
Finalmente, todo se reduce a una suma de productos, para cada aplicación del filtro sobre el MDB. Una importante propiedad, como índice de verificación en el cálculo de los filtros es que la suma de todos los elementos de la matriz debe resultar cero (Alfonso, J. R., 1983), es decir, para un filtro de rango n x n debe cumplirse que:
[17]
3. RESULTADOS Y DISCUSION
Después del procedimiento de aplicación de la convolución entre cada uno de los filtros diseñados anteriormente y el MDB, se procedió al graficado de cada uno de los mapas. Los mapas resultantes y sus correspondientes figuras fueron: Mapa del valor de Pendiente Máxima del Plano Cuadrático Mínimo (Figura 5),

Figura 5. Mapa del cálculo del valor de Pendiente Máxima (La flecha indica la isolínea que representa el salto del gradiente máximo).
Mapa del cálculo del valor de la Disección Vertical (Figura 6), Mapa resultado de la aplicación del filtro de M. U. Saguítov (Figura 7), Mapa resultado de la aplicación del filtro de A. K. Malovichko (Figura 8), Mapa resultado de la aplicación del filtro de L. V. Kantoróvich (Figura 9), Mapa resultado de la aplicación del filtro de D. Yu. Panov (Figura 10), Mapa resultado de la aplicación del filtro de R. Henderson (Figura 11) y Mapa resultado de la aplicación del filtro de L. P. Zhógolev (Figura 12).

Figura 6. Mapa del cálculo del valor de la Disección Vertical. (La flecha indica la isolínea que representa el salto del gradiente máximo).

Figura 7. Mapa resultado de la aplicación del filtro de M. U. Saguítov. (La flecha indica la isolínea que representa el salto del gradiente máximo).

Figura 8. Mapa resultado de la aplicación del filtro de A. K. Malovichko. Esta aplicación fue desestimada por no ser resolutiva.

Figura 9. Mapa resultado de la aplicación del filtro de L. V. Kantoróvich. (La flecha indica la isolínea que representa el salto del gradiente máximo).

Figura 10. Mapa resultado de la aplicación del filtro de D. Yu. Pánov. (La flecha indica la isolínea que representa el salto del gradiente máximo).
Figura 11. Mapa resultado de la aplicación del filtro de R. Henderson. (La flecha indica la isolínea que representa el salto del gradiente máximo).
Figura 12. Mapa resultado de la aplicación del filtro de L. P. Zhógolev. (La flecha indica la isolínea que representa el salto del gradiente máximo).
De los mapas obtenidos, la mayoría expresan resultados claros, es decir se aprecia un salto brusco en la secuencialidad de las isolíneas en cada uno de los mapas. Los resultados satisfactorios son: la Pendiente Máxima (Figura 5) y la Disección Vertical (Figura 6). Además están los resultados de las aplicaciones de los filtros siguientes: M. U. Saguítov (Figura 7), L. V. Kantoróvich (Figura 9), D. Yu. Panov (Figura 10), R. Henderson (Figura 11) y L. P. Zhógolev (Figura 12).
Los resultados de la aplicación del filtro de A. K. Malovichko (Figura 8), fueron poco resolutivos, por lo que prescindimos de él en el proceso de interpretación.
Se aprecia en la Figura 13, una coincidencia de la mayoría de las interpretaciones de los lineamientos que indican el Pie de Talud en el área de estudio, este no es más que la dirección que indica la isolínea que representa el salto del gradiente máximo (Figura 3). De este grupo de lineamientos (Figura 13), el más alejado es el resultado del filtro de D. Yu. Panov, sin embargo, el resto está congregado por las alineaciones estimadas entre el filtro de M. U. Saguítov y la Disección Vertical.
Figura 13. Resultado de las interpretaciones de las mejores transformaciones matemáticas.
Si desestimamos la información que nos ofrece la interpretación resultante de aplicar el filtro de D. Yu. Pánov, podemos decir que el cúmulo de lineamientos restantes se encuentran todos encerrados en una banda no homogénea, que puede tener de ancho desde 22 hasta 8 kms. Estos lineamientos están acotados por dos de estas interpretaciones. Por el norte, el análisis realizado de la Disección Vertical y por el sur, la interpretación de la aplicación del filtro de M. U. Saguítov (Figura 13).
Las sucesivas coincidencias de los resultados nos indican que por varios filtros aplicados, los resultados son muy semejantes, lo que finalmente, tomaremos el resultado de la interpretación de la aplicación del filtro de M. U. Saguítov por ser el más alejado de la zona de interés (Figura 14). Con esta selección pesimista para la detección del Pié de Talud, estamos asegurando mayor credibilidad al establecer la delimitación de la plataforma continental de Cuba más allá de las 200 millas marinas en el Golfo de México.
Figura 14. Representación esquemática del alineamiento como resultado de aplicar el filtro de M.U. Sagitov.
4. CONCLUSIONES
Se pudo determinar las transformaciones matemáticas que mejor describen (más resolutivas) los lineamientos del que indican el Pie de Talud a partir del Modelo Digital Batimétrico empleado. Se desestimaron los resultados del filtro de K. Malovichko, por lo poco resolutivo, sin embargo, el resto de los filtros ofrecieron una regularidad importante, la cual ayudó en la ubicación espacial del Pié de Talud.
Se ubicó el Pié de Talud dentro de un ancho de banda espacial entre 22 y 8 kms, entre las alineaciones estimadas por el filtro de M. U. Saguítov y la Disección Vertical. Dentro de este intervalo, se ubican los resultados de las principales interpretaciones del Pie de Talud derivadas de las transformaciones consideradas. Finalmente, se tomó el resultado de la interpretación de la aplicación del filtro de M. U. Saguítov por ser el más alejado de la zona a delimitar, de la plataforma continental de Cuba.
REFERENCIA BIBLIOGRAFICA
[01] Alfonso, J. A. 1983. Matemática Aplicada a la Geofísica. Departamento de Geofísica Civil. Facultad de Ingeniería Civil. Ediciones ENSPES. La Habana, p 500. [ Links ]
[02] Borowski, E. J., Borwein, J. M. 1989. Collins Dictionary. Mathematics. Harper Collins Publishers, p 650. [ Links ]
[03] Bronshtein, I., Semendiaev, K. 1971. Manual de Matemática. Editorial MIR. Moscú, p 696. [ Links ]
[04] Comisión Estatal del Límite Exterior de la Plataforma Continental. 2009. Plataforma continental en el Polígono Oriental del Golfo de México. República de Cuba. CD de la Presentación de la Información cubana a la CLPC 30/abril/2009. [ Links ]
[05] Davis, J.C. 1986. Statistics and data analysis in geology. John Willey and Sons. Inc. New York, p 550. [ Links ]
[06] De Miro O. M., Domingo-Morato, M. 1983. Breviario de Geomorfología. Editorial Oikos-Tau, p 141. [ Links ]
[07] Díaz, N. R., Valdés, E. M., Zubiaur, K. Ch. 2000. Utilización de Técnicas Automatizadas para el estudio Geólogo-Geomorfológico de un sector de la provincia de Pinar del Río. Grupo de Estudios Regionales. [ Links ]
[08] Golovina, L. I. 1974. Algebra Lineal y Alguna de sus Aplicaciones. Editorial MIR. Moscú, p 277. [ Links ]
[09] Hubp,L. J. 1988. Elementos de Geomorfología Aplicada (Métodos Cartográficos). Instituto de Geografía. UNAM. [ Links ]
[10] Kochendörffer, R. 1969. Determinantes y Matrices. Editora Ciencia y Técnica. p 156. [ Links ]
[11] Lehmann, C. H. 1974. Geometría Analítica. Editora Revolucionaria. Instituto Cubano del Libro. p 494. [ Links ]
[12] Mirónov, V. S. 1977. Curso de prospección gravimétrica. Editorial Reverté, S. A., p 525. [ Links ]
[13] Pereira, O. C., Limberger, l. 2004, Análisis de la precisión de mapas de pendientes utilizando modelos digitales de terreno. ISSN 0041-8676, Facultad de Ciencias Agrarias y Forestales, UNLP, Argentina. Revista de la Facultad de Agronomía, La Plata 105(2). Disponible: www.agro.unlp.edu.ar/revista/PDF/ Ag105(2)97_103.pdf. [Consultado noviembre del 2008]. [ Links ]
[14] Rodríguez-Morán, O. 2009. Conformación de un Modelo Batimétrico para el Golfo de México a Escala 1:50000. Revista: BOLETIN DE CIENCIAS DE LA TIERRA de la Universidad Nacional Colombia de Medellín. No. 29 de Julio 2011. ISSN 0120 - 3630, pp 87-98. [ Links ]
[15] Rossiter, D. G., Rodríguez, M. F. 2001, Construcción de modelos digitales de terreno para la evaluación de tierras. Venesuelos 2(1):37-44. Disponible: http://www.redpav.Avepagro.org.ve/venesuel/v021/v021a070. html [consultado noviembre 2008]. [ Links ]
[16] Smith, W., Sandwell, D., 2000. Global sea floor topography from satellite altimetry and ship depth soundings. Science, ISSN 0036-8075, Vol. 277, N° 5334, 1997, pps. 1956-1962. Disponible: http://www.sciencemag.org/cgi/content/abstract/277/5334/1956. [ Links ]
[17] Spiegel. M. R. et al. 1971. Teoría y problemas de estadística. Editora Ciencia y Técnica. Instituto Cubano del Libro. La Habana. [ Links ]












[1]
[2]
[3]
[4]
[5]
[6]
[7]
[8]
[9]
