Services on Demand
Journal
Article
Indicators
-
Cited by SciELO -
Access statistics
Related links
-
Cited by Google -
Similars in
SciELO -
Similars in Google
Share
Boletín de Ciencias de la Tierra
Print version ISSN 0120-3630
Bol. cienc. tierra no.38 Medellín July/Dec. 2015
https://doi.org/10.15446/rbct.n38.46053
DOI: http://dx.doi.org/10.15446/rbct.n38.46053
Petrography, geochemistry and age of Cerro Frontino Gabro
Petrografía, geoquímica y edad del Gabro de Cerro Frontino
Gabriel Rodríguez-García & José Gilberto Bermúdez-Cordero
Grupo de Estudios Geológicos Especiales, Servicio Geológico Colombiano, Medellín, Colombia, grodriguez@sgc.gov.co, jbermudez@sgc.gov.co
Received: October 30th, 2014. Received in revised form: April 11th, 2015. Accepted: July 7th, 2015.
This work is licensed under a Creative Commons Attribution-NonCommercial-NoDerivatives 4.0 International License.

Abstract
The Gabro de Cerro Frontino was emplaced in the Cañasgordas Block, located in the Northern Segment of the Colombian Western Cordillera. It corresponds to a pluton composed of at least three magmatic pulses, emplaced during a short period of time. Gabbros and diorites are more common in the unit than clinopiroxenites, monzodiorites and monzonites. These rocks are composed of calcic to intermediate plagioclase, augite-egerine type clinopyroxene and biotite; olivine and flogopite may be present in some mafic rocks and alkali feldspar and quartz may be present in some felsic rocks. Sphene, magnetite and apatite are common accessory minerals. The silica content in the rocks varies between 37.08% and 54.4%, with constant values of MnO (0.1% 0.4%), impoverishment of Fe2O3, MgO, CaO, TiO2 and P2O5 as SiO2 increases, and enrichment of K2O, Na2O and Al2O3 as SiO2 increases. The basic and ultrabasic rocks fall in the sub-alkaline series, the rest of the samples fall in the medium to K-rich calc-alkaline series and in the shoshonitic series. The Gabro de Cerro Frontino corresponds to magmas impoverished on heavy rare earth elements with respect to light rare earth elements, which suggests the contribution of a subduction component in the magma genesis. The LILE (Sr, K, Rb, Pb, Ba) are enriched with respect to the HFSE values that are relatively flat and impoverished; the unit also exhibits a negative anomaly of Nb with respect to Th and Ce, being a magmatic arc the environment of generation. The ages obtained in biotite using the Ar-Ar method fall between 9.87±0.18 Ma and 11.44±0.36 Ma, Middle to upper Miocene (Tortonian-Serravallian), similar to age of other plutons that are part of the Botón Arc.
Keywords: Gabro de Cerro Frontino, Western Cordillera, Botón Arc
Resumen
El Gabro de Cerro Frontino se emplazó dentro del Bloque Cañasgordas, en el Segmento Norte de la Cordillera Occidental de Colombia. Corresponde a un Plutón compuesto al menos por tres pulsos magmáticos, emplazados en un corto periodo de tiempo. En la unidad predominan los gabros y dioritas sobre clinopiroxenitas, monzodioritas y monzonitas. Estas rocas están constituidas por plagioclasa intermedia a cálcica, clinopiroxeno de tipo augita-egirina y biotita; olivino y flogopita pueden aparecer en algunas facies máficas y ultramáficas y feldespato alcalino y cuarzo en las facies félsicas. Como minerales accesorios frecuentes se presentan esfena, magnetita y apatito. El contenido de sílice en las rocas varía entre 37.08% y 54.4%, con valores constantes de MnO (0.1% a 0.4%), empobrecimiento de Fe2O3, MgO, CaO, TiO2 y P2O5 a medida que aumenta el SiO2 y enriquecimiento en Na2O, K2O y Al2O3 con el aumento de SiO2. Las rocas básicas y ultrabásicas grafican en las series subalcalinas, el resto de muestras grafica en el campo de las series calcoalcalinas medias a altas en K y en las series shoshoníticas. El Gabro de Cerro Frontino corresponde a magmas con empobrecimiento de tierras raras pesadas con respecto a las livianas, lo que sugiere la participación de un componente de subducción en la génesis magmática. Los LILE (Sr, K, Rb, Pb, Ba) están enriquecidos respecto a los HFSE que presentan valores relativamente planos y empobrecidos, tiene anomalía negativa de Nb con respecto a Th y Ce, siendo el ambiente de generación un arco magmático. Las edades obtenidas por el método Ar-Ar en biotita están entre 9.87±0.18 Ma y 11.44±0.36 Ma, Mioceno medio a Mioceno superior (Tortoniano-Serravaliano), similar a la edad de otros plutones que hacen parte del Arco de El Botón.
Palabras clave: Gabro de Cerro Frontino, Cordillera Occidental, Arco de El Botón.
1. Introducción
Dentro del proyecto "Cordillera Occidental" adelantado por el INGEOMINAS (2007), se realizaron muestreos litológicos que permitieron definir las características composicionales de algunos cuerpos intrusivos que afloran en el norte de la Cordillera Occidental, entre estos cuerpos se encuentra un plutón nombrado inicialmente Stock de Cerro Frontino (Álvarez y González, 1978) y renombrado por González & Londoño (2001), Monzonita del Cerro Frontino.
Nuevos análisis petrográficos de rocas del Gabro de Cerro Frontino permiten precisar la composición litológica, los tipos de rocas que lo componen, las características microscópicas, macroscópicas y químicas y proponer un nombre en concordancia con la facies litológica predominante; además, se compara con otros plutones de arco de afinidad shoshonítica, que intruyeron en el Mioceno el Bloque Cañasgordas, en el segmento norte de la Cordillera Occidental de Colombia.
Se reportan dos nuevas edades adquiridas por el método Ar-Ar, las cuales permiten precisar la edad del intrusivo, obtenidas en una muestra de gabro de la facies básica y en una cornubianita de la aureola de contacto.
2. Marco geológico
Dos bloques conforman el basamento del norte de la Cordillera Occidental: al oriente se presenta el Bloque Cañasgordas conformado por un basamento de corteza oceánica de afinidad T-MORB y posible edad Cretácica Inferior-Jurasica Superior denominado Diabasas de San José de Urama (Rodríguez & Arango, 2012; Rodríguez & Arango, 2013), sobre el cual se depositó una secuencia de sedimentos marinos turbidíticos en el cretácico superior (Formación Penderisco) y fue afectado, en la margen oriental y en la zona de colisión con el basamento continental de la Cordillera Central de Colombia, por magmatismo de arco de edad entre 82 y 115 Ma y afinidad toleítica a calcoalcalina, denominado Arco de Barroso - Sabanalarga (Rodríguez et al, 2012; Rodríguez & Arango, 2012 y Rodríguez & Zapata, 2013) (Fig. 1).
El segundo bloque aflora en la vertiente oeste de la Cordillera Occidental, corresponde al Arco de Chocó-Panamá (Fig. 1), de afinidad calcoalcalina y edad Eoceno inferior; constituido por un plutón central tonalítico (batolitos de Mandé - Acandí) de afinidad calcoalcalina media en K, y rocas vulcano sedimentarias denominadas Complejo Santa Cecilia - La Equis en ambos costados (Fig. 2).
Sobre los dos bloques y en la zona de sutura (Falla Dabeiba - Pueblo Rico), se desarrolló en el Mioceno (Tortoniano - Serravaliano) un arco volcánico plutónico de afinidad shoshonítica, el Arco de El Botón (Zapata & Rodríguez, 2012 y Rodríguez & Zapata, 2012), que intruyó al occidente el Arco Chocó - Panamá y se extendió al oriente hasta la zona de colisión entre el Bloque Cañasgordas y el basamento metamórfico de la Cordillera Central; este arco derramó lavas y piroclastos en las zonas de amalgamación del Bloque Cañasgordas con la Corteza Continental (Andesitas basálticas de El Morito, Rodríguez & Zapata, 2014) y en la zona de amalgamación del Arco Chocó - Panamá con el Bloque Cañasgordas (Basaltos de El Botón, Zapata & Rodríguez, 2012).
Una serie de plutones relacionados al Arco de El Botón intruyeron el Bloque Chocó - Panamá y el Bloque Cañasgordas, entre estos está el Gabro de Cerro Frontino que se emplazó en el Bloque Cañasgordas dentro de sedimentitas de la Formación Penderisco y rocas basálticas de la unidad Diabasas de San José de Urama. Los plutones del Arco de El Botón que intruyen el Bloque Cañasgordas son de sur a norte: la Monzodiorita de Farallones, la Cuarzodiorita de Cerro Plateado, la Monzonita del Páramo de Frontino, la Diorita de San Juan, la Monzodiorita de La Horqueta, la Diorita de Morrogacho y el Gabro de Cerro Frontino (Álvarez y González, 1978; Calle et al., 1980, Calle, 1991, González & Londoño, 2002 c,d,e) (Fig. 2).
1. Materiales y métodos
Se seleccionaron y revisaron 29 muestras con sección delgada, de las cuales 22 corresponden al Gabro del Cerro Frontino y las restantes 7 a la aureola de contacto, se realizó la descripción petrográfica de las muestras colectadas durante el desarrollo del Proyecto Cordillera Occidental, ejecutado en el año 2007 por INGEOMINAS (hoy Servicio Geológico Colombiano). Se reportan 2 nuevas edades realizadas por el método Ar-Ar step heating dating, preparadas en molino no contaminante en malla - 200 en el laboratorio de ActLabs de Canadá y fechadas dentro del mismo proyecto y se compilaron las edades reportadas en trabajos anteriores (Botero, 1975; Leal, 2011); se compara la clasificación petrográfica del Gabro de Cerro Frontino con 58 muestras colectadas en otros plutones del Arco de El Botón que intruyen el Bloque Cañasgordas.
A la totalidad de las muestras se les realizó análisis litogeoquímico de roca total con límite de detección de 0,01 (100 g) ver Tabla 1; análisis para elementos mayores por el método de ataque FUS-ICP (Inductively Coupled Plasma-Optical Emision Spectrometry), y los elementos traza por espectrometría de emisión con plasma ICP-MS (Inductively Coupled Plasma-Mass Spectrometry); análisis realizados por Activation Laboratiories Ltd (ActLabs) en Canadá.
Los diagramas geoquímicos de elementos mayores utilizados permiten la clasificación de las rocas ígneas, la determinación de la serie a la que pertenecen y junto con los elementos traza la identificación del ambiente tectónico.
2. Petrografía
El Gabro de Cerro Frontino está constituido por rocas faneríticas de grano medio a fino de composición gabroide-dioritoide principalmente, con texturas hipidiomórfica a subidiomórfica granular a inequigranular; de color gris oscuro ligeramente moteado de negro (IC85) a gris claro moteado de negro (IC55), negro moteado de gris y blanco moteado de negro; localmente las rocas tienen tonalidades verdes como respuesta a la alteración de los minerales máficos a clorita. El Gabro de Cerro Frontino presenta tres facies magmáticas de acuerdo a las observaciones de campo: una facies inicial máfica - ultramáfica representada por melanogabros y piroxenitas de color gris verdoso, fanerítica de grano medio, la cual se encuentra como gabarros de formas subredondeadas a irregulares elongadas dentro de rocas de composición diorítica - gabroíde a piroxenítica; una segunda facies (que constituye el mayor volumen del cuerpo), representada por gabros y dioritas con variaciones graduales a piroxenitas, de colores grises moteados de negro y blanco, la cual contiene gabarros de piroxenitas y melanogabros y pueden mostrar cambios locales de tamaño de grano y composición; por último, se reconoce una facies magmática tardía de rocas félsicas monzoníticas de color blanco moteado de negro, faneríticas de grano medio a fino que intruye las dos facies anteriores y se presenta en venas irregulares de espesor variable (Fig. 3). Molina & Molina (1984) reconocen diques pegmatíticos cortando gabros y dioritas.
De las 22 secciones delgadas analizadas pertenecientes al Gabro de Cerro Frontino, se clasificaron como clinopiroxenitas (5), gabros (9), dioritas (4), monzodioritas (1) y monzonitas (3), predominan las rocas máficas sobre las félsicas. En la Tabla 1 se resume la petrografía de las rocas que conforman el Gabro de Cerro Frontino y en la Fig. 4, 5 se muestran los triángulos de clasificación de Streckeisen (1976) para gabros, rocas ultramáficas y el diagrama QAP.
Al comparar la clasificación petrográfica de las rocas del Gabro de Cerro Frontino con rocas de otros plutones del Arco de El Botón que intruyen el Bloque Cañasgordas (Fig. 4), se observa que la Monzodiorita de Farallones presenta una amplia gama de tipos litológicos y tiene diferencias con los otros plutones del Arco de El Botón en la mineralogía de las rocas félsicas, con mayores contenidos de cuarzo y ausencia en casi todas las rocas de clinopiroxeno; la Diorita de río San Juan presenta plagioclasa y hornblenda como minerales principales con escaso clinopiroxeno, mientras los otros plutones (Diorita de Morrogacho, Monzodiorita de La Horqueta, Stock de Cerro Plateado y Monzonita de Páramo de Frontino) tienen composición y mineralogía similar al Gabro de Cerro Frontino, con presencia de biotita en las facies más básicas y primitivas, el clinopiroxeno está presente en la mayoría de las rocas que conforman estos cuerpos y por sus características ópticas se clasifica como augita-egirina. El cuarzo está ausente o su contenido porcentual es bajo (<5%).
Clinopiroxenitas. Las clinopiroxenitas se presentan como gabarros y como variaciones locales transicionales de la facies diorítica - gabroide, son rocas faneríticas finas a medias con texturas hipidiomórfica a subidiomórfica granular e inequigranular; están constituidas por augita-egirina entre 79% y 86%, algunas con contenidos altos de opacos que pueden alcanzar hasta el 25% (muestra 6940), con cantidades menores de plagioclasa (<6%) y presencia de biotita y flogopita entre 1.2% y 8.4%, que indican que fueron generadas por un magma hidratado rico en K, pueden tener anfíbol uralítico reemplazando los clinopiroxenos en texturas de tipo "cedazo" y olivino (muestra 6940) (Fig. 6, 7). Como minerales accesorios presentan titanita y apatito.
Gabros biotíticos y dioritas. No existe diferencia notable en la mineralogía de los gabros - dioritas y algunas piroxenitas, corresponden a rocas faneríticas de grano fino a medio con texturas hipidiomórficas a subidiomórficas granulares e inequigranulares, constituidas por plagioclasa de tipo andesina para las dioritas y labradorita para los gabros, la diferencia está en el contenido de plagioclasa, clinopiroxeno y biotita; en los gabros la plagioclasa varía entre 31%-60%, mientras en las dioritas de 60% a 75%, el clinopiroxeno es de tipo augita-egirina, siendo en los gabros de 16% a 48% y en las dioritas entre 7% y 22%; el piroxeno se uralitiza a hornblenda y/o actinolita y las dioritas pueden contener hornblenda primaria; la biotita posiblemente es titanífera por su coloración rojiza, en los gabros varía entre 10-26%, en las dioritas está entre 5-10%, algunas alcanzan el 20% (706421); los minerales opacos (magnetita) están presentes en ambos tipos de rocas con mayores contenidos en los gabros; como minerales accesorios presentan apatito y titanita (Fig. 6).
Monzonitas - monzodioritas. Son rocas holocristalinas faneríticas de grano medio (1 a 5 mm) a fino, con textura hipidiomórfica granular a inequigranular, algunas rocas muestran desmezclas pertíticas asociadas al feldespato alcalino y texturas poiquilíticas. Presentan cambios notables en la mineralogía con relación a los gabros y piroxenitas; están constituidas por feldespato alcalino de tipo ortosa que varía entre 7,4% para la monzodiorita, hasta 44,9% en las monzonitas, puede aparecer cuarzo en cantidades menores al 2%; el clinopiroxeno corresponde a augita-egirina (2,8-18,1%); la biotita generalmente es menos rojiza que en los gabros, dioritas y algunas piroxenitas; en las monzonitas la biotita varía entre 6-10% siendo mayor el contenido en la monzodiorita; es frecuente la presencia de hornblenda y como accesorios tiene opacos, apatito, rutilo y esfena (Fig. 6).
La descripción de los minerales se hace para todos los tipos de rocas de las tres facies, con las debidas aclaraciones en la composición de acuerdo a la litología.
La plagioclasa está presente en las tres facies, ocurre en cristales anhedrales a euhedrales de hábito tabular, maclados según albita, albita-Carlsbad, Carlsbad y menos frecuente periclina. En las monzonitas los cristales tienen zonación normal; en los gabros y piroxenitas presenta extinción oscilatoria y pueden estar alterados a saussurita con desarrollo de epidota, clorita y sericita secundarios. La plagioclasa varía de labradorita (An62) en las piroxenitas y gabros hasta andesina cálcica en las dioritas y andesina-labradorita en las monzonitas.
El cuarzo únicamente está presente en las monzonitas y dioritas, se encuentra en cristales anhedrales finos intersticiales entre la plagioclasa y ortosa, generalmente de menor tamaño, con extinción ondulatoria.
El feldespato corresponde a ortosa, se presenta en las monzonitas y monzodioritas en cristales anhedrales a subhedrales, algunas veces intersticiales entre los cristales de plagioclasa o poiquilítico con inclusiones de plagioclasa, con frecuencia tiene desmezclas pertíticas a manera de parches y puede estar empolvado por alteración a caolín; presenta inclusiones de apatito, opacos y plagioclasa.
El clinopiroxeno es de tipo augita-egirina (?), se encuentra en las tres facies, en cristales euhedrales y subhedrales de hábito prismático y buen desarrollo de clivaje, de color verde pálido con pleocroísmo débil en tonos de verde y birrefringencia máxima de la parte media del segundo orden, puede estar uralitizado a lo largo de fracturas y clivaje pasando a hornblenda en forma de parches xenomórficos y localmente tiene hábito fibroso, desarrolla textura de panal o cedazo. Algunos cristales tienen borde o corona de uralita, textura poiquilítica con inclusiones de plagioclasa, opacos, esfena, apatito y biotita en escamas retrógradas; presentan maclas dobles y polisintéticas (Fig. 6).
La biotita está presente en las tres facies, es de color marrón rojizo en las piroxenitas, gabros, dioritas y monzodioritas y en las monzonitas es parda con pleocroísmo a amarillo pálido; se presenta en láminas anhedrales a subhedrales, algunas poiquilíticas con inclusiones de feldespatos; también ocurre en láminas más finas asociadas a piroxeno o como producto de alteración de anfíbol; se alteran a clorita y epidota a lo largo de bordes y clivaje, con formación de titanita residual; algunas veces presenta inclusiones de opacos a lo largo de la exfoliación, o se presenta como gotas en los piroxenos y plagioclasa.
El olivino solo se encontró en la muestra IGM-6940 que corresponde a piroxenita; se presenta como cristales anhedrales junto a clinopiroxeno, flogopita y opacos, con contornos irregulares, fractura concoidea y alteración a serpentina e iddingsita a lo largo de fracturas y bordes del mineral (Fig. 7).
La flogopita está restringida a las piroxenitas, se presenta en láminas euhedrales a subhedrales intersticiales entre piroxeno y olivino, con un pleocroísmo marcado X: incoloro a marrón muy pálido, Y=Z: marrón (Fig. 7).
La hornblenda es primaria en las monzonitas y dioritas, y en los gabros y piroxenitas es retrograda; se encuentra en cristales anhedrales de color verde. En las monzonitas la hornblenda tiene inclusiones poiquilíticas de plagioclasa, opacos y esfena, puede estar retrogradada a biotita y alterada a clorita y contiene restos de clinopiroxeno en los núcleos o forma coronas y parches irregulares dentro de cristales de augita-egirina, con desarrollo de texturas moteadas de tipo panal o cedazo.
Los minerales opacos son más abundantes en la facies ultramáfica y máfica que en las monzonitas, se presentan como cristales euhedrales de hábito cúbico (pirita) a subhedrales y anhedrales en formas ovaladas y rómbicas (magnetita); ocurren como inclusiones en piroxeno y biotita, diseminados e intersticiales entre los minerales máficos y algunas veces en los planos de clivaje de la biotita, pueden tener inclusiones de apatitos euhedrales en cortes basales y longitudinales hexagonales (Fig. 6, 7).
Como mineral accesorio presentan apatito y titanita; en algunas monzonitas hay rutilo y opacos (puede identificarse pirita y magnetita).
El Gabro de Cerro Frontino intruye las unidades: Arenitas, limolitas y lodolitas de Urrao, Chert y calizas de Nutibara y Diabasas de San José de Urama (Rodríguez et al, 2010; Rodríguez y Arango, 2012); desarrolla en la zona de contacto cornubianitas en facies piroxeno-cornubianita a albita-epidota-cornubianita, como había sido descrito por Molina y Molina (1984) y González y Londoño (2002); lo que indica que el Gabro de Cerro Frontino intruyó a alta temperatura coincidiendo con el carácter básico y ultrabásico de las rocas que lo constituyen. Algunas rocas de contacto con protolito calcáreo formaron skarn mineralizados, con presencia de granate, wollastonita, diópsido, calcita y espinela (Fig. 8). Molina y Molina (1984) describen escapolita dentro de las cornubianitas.
Se analizaron siete muestras de cornubianita colectadas en la aureola de contacto y en remanentes de la roca encajante dentro del cuerpo (Tabla 2). Macroscópicamente son rocas masivas, afaníticas a faneríticas de grano muy fino, de color blanco, gris verdoso y pardo oscuro dependiendo del protolito. Microscópicamente presentan textura granoblástica a granolepidoblástica, corresponden a cornubianitas de Qtz, metachert, metalodolita, cornubianita de Pl, Hbl con Qtz, cornubianita de Grt, Wo, Cpx y cornubianita de Cpx, Hbl con espinela (Fig. 8).
3. Geoquímica
Los resultados de litogeoquímica del Gabro de Cerro Frontino corresponden al análisis de 17 muestras de roca localizadas en su mayoría en el extremo norte del cuerpo. La Tabla 3 presenta los resultados para óxidos mayores. Según los contenidos de SiO2, siete muestras corresponden a rocas ultrabásicas (<45% de SiO2), 8 muestras son básicas (45 a 52% de SiO2) y 2 son de composición intermedia (52 a 65% de SiO2), destacándose la ausencia de rocas ácidas.
Los contenidos de SiO2 para las rocas del Gabro de Cerro Frontino varían entre 37.08% y 54.4%, con valores constantes de MnO (0.1% a 0.4%), empobrecimiento de Fe2O3, MgO, CaO, TiO2 y P2O5 a medida que aumenta el SiO2 y enriquecimiento en Na2O, K2O y Al2O3 con el aumento de SiO2, como se puede ver en los diagramas de Harker (Fig. 9); presenta fraccionamiento entre las facies ultrabásicas y las facies intermedias del plutón a medida que se diferenció el magma. Los contenidos de MgO para piroxenitas y algunos gabros (706420, 706410, 706422, 706423, 706424, 706425) es del orden de 8.9% a 13.9%, que corresponde a valores similares a los que presentan los basaltos komatiíticos y el resto de gabros presentan altos contenidos de MgO, mientras las monzonitas y monzodioritas tienen valores de MgO menores a 3.6%, mostrando una marcada diferencia entre las tres facies del Gabro de Cerro Frontino, aunque la muestra 95516 presenta valor de 4.6% MgO. El número de Mg es un indicador del grado de diferenciación del magma (#Mg=(100*MgO mol/MgO mol +FeO mol); en rocas ultrabásicas del Gabro de Cerro Frontino con contenidos menores a 45% de SiO2, (clinopiroxenitas y gabros), el #Mg varía entre 66.1 y 44.2, indicando que algunas rocas son primitivas y poco evolucionadas, y podría interpretarse como un plutón desarrollado en sus estados iniciales a partir de un magma ultrabásico; para las facies básicas (SiO2 entre 45% y 52%) el #Mg varía entre 59.37 a 42.88, más diferenciadas y para la facies de monzonita es de 38.71 a 40.79, donde el número magnesiano disminuye proporcionalmente con la evolución del magma (Wilkinson, 1982), mostrando que a medida que las facies evolucionaron disminuyó el #Mg, pero que no hay una correspondencia lineal entre el contenido de SiO2 y el # MgO.
Los diagramas de Harker en general muestran una evolución normal del magma, en algunos gráficos se observa dispersión de valores a medida que aumenta el contenido de SiO2, como ocurre en el diagrama de Al2O3 vs SiO2, y en otros, algunas rocas básicas y menos evolucionadas (piroxenitas) se apartan de la tendencia general de diferenciación como ocurre en los gráficos de P2O5, MgO y CaO vs SiO2 (Fig. 9).
De acuerdo con la clasificación de Cox et al. (1979), hay dos grupos de muestras: las rocas 706420, 706422, 706424, 706427 y 706464 corresponden en su mayoría a gabros y piroxenitas que grafican dentro de las series toleíticas subalcalinas con contenidos bajos de álcalis, el resto de muestras grafica en el campo de las series alcalinas correspondientes a los campos de rocas ultramáficas, gabros, sienodioritas y sienitas con valores altos de K2O y álcalis (Fig. 10); esto sugiere que el magma original de composición básica-ultrabásica fue toleítico, sufrió enriquecimiento en álcalis y evoluciono a un magma alcalino shoshonítico mas diferenciado en las facies finales de magmatismo del Gabro de Cerro Frontino. Es de anotar que resultados similares fueron presentados por Rodríguez y Zapata (2012) para otros plutones del Arco de El Botón, que afloran cerca del Gabro de Cerro Frontino.
En el Diagrama AFM la mayoría de gabros y clinopiroxenitas se proyectan en el campo de la serie toleítica, mientras que las dioritas, monzonitas y monzodioritas en la serie calcoalcalina (Fig. 11A). Para el diagrama de Peccerillo and Taylor (1976), siete (7) muestras no están representadas por tener contenidos de SiO2<45% (ver Tabla 3), las restantes 10 muestras se reparten, dos de ellas (706420 y 706464) en el campo de las series calcoalcalinas altas en K y las 8 restantes en el campo de series shoshoníticas (Fig. 11B).
Los contenidos de Na2O+K2O para las muestras con SiO2<45% varía entre 0.4% y 2.85%, mientras las muestras con SiO2>45% tienen contenidos de álcalis entre 1.26% y 9.69% y para las muestras con SiO2>50% los valores de Na2O+K2O>5%; las rocas ultrabásicas con SiO2<42% tienen contenidos de TiO2>1% y menor o igual a 1% para rocas básicas e intermedias con SiO2>47%. El Al2O3 es variable en la mayoría de muestras, con valores entre 12% y 19.36% para las rocas básicas e intermedias y valores bajos entre 4% y 10 para rocas ultrabásicas y algunos gabros (muestras 706420, 706422, 706424, 706425 y 706426). Álvarez (1983) considera que las rocas plutónicas del Gabro de Cerro Frontino, junto al Plutón del Páramo de Frontino, pertenecen a las series calco - alcalinas de márgenes continentales.
El índice de aluminosidad refleja un carácter metaluminoso (Al2O3<(CaO+Na2O+K2O) para las muestras 706423, 706416, 6907, 706424, 706425, 726426, 706427, 706421, 706464, 706420 y 95516 que en su mayoría corresponden a piroxenitas y gabros; y peraluminoso para las muestras 706415, 70628, 706432, 6946 y 95696 que corresponden a monzodioritas, monzonitas y escasos gabros, indicando que las facies más diferenciadas tienden a ser peraluminosas y las menos diferenciadas metaluminosas.
En Tabla 4 se muestra la composición química de elementos traza y tierras raras. Las rocas del Gabro de Cerro Frontino presentan disminución en los contenidos de Sc, V, Cr, Co, Ni, Zn y Tm a medida que aumenta el SiO2 y aumento de Rb, Sr, Zr, Nb, Mo, Cs, Ba, La, Ce, Ta, Tl, Th y U con el aumento de SiO2.
El diagrama multielemental de tierras raras normalizada a condrito (Nakamura, 1974) (Fig. 12), presenta empobrecimiento de las tierras raras pesadas (HREE) con relación a las tierras raras livianas (LREE) y pendiente negativa con tendencia típica de arco que varía la inclinación dependiendo del contenido de K de las diferentes rocas; además, tiene un comportamiento similar para todas las rocas a excepción de las muestras de piroxenita (706422 y 706424) que tiene un patrón en las (LREE) convexo con valores empobrecidos de La, Ce y Pr con relación a las demás muestras, patrón plano entre Pr, Nd y Sm y pendiente negativa entre Sm y Lu siendo las rocas menos enriquecidas con relación al condrito; con mayor empobrecimiento general de los REE que el resto de rocas.
Las altas razones de Ba/Nb (5.5 a 85.5), Sr/Hf (110 a 1827); sugieren la participación de un componente de subducción en la génesis magmática, esto apoyado por valores de La/Yb (2.27 a 13.9) y Sm/Yb (2.11 a 3.49) que a su vez representan la relación LREE /HREE.
En la Fig. 13 se muestra el diagrama multielemental normalizado con relación al NMORB (Sun & Mcdonough, 1989), con anomalía negativa de Th-Nb-Ta-Zr-Ti y picos o enriquecimientos de Ba, K, Pb, Sr que corresponde a una signatura geoquímica típica de magmas originados en ambientes tectónicos relacionados a subducción (Wilson, 1989) y característica de rocas de arco (Best, 2003). Los elementos más móviles (LILE) tienen un patrón más disperso que los inmóviles (HFSE) que muestran una tendencia relativamente plana.
Los elementos traza en las rocas de Gabro de Cerro Frontino fueron normalizados con respecto al N-MORB (manto empobrecido en elementos incompatibles por procesos de fusión parcial). Los LILE, Sr, K, Rb, Pb, Ba están enriquecidos respecto a los HFSE que presentan valores relativamente planos y empobrecidos, hay entonces una razón LILE/HFSE que corresponde a un patrón típico de arco por la presencia de fluidos en la zona de subducción, con anomalía negativa de Nb respecto a Th y Ce que caracteriza las rocas de arco. Además, la discriminación entre arcos toleíticos con respecto a arcos calco alcalinos y arcos calcoalcalinos altos en K según Pearce (1996), es el agotamiento absoluto con relación a N-MORB de Nb, Zr, Ti e Y, que para las piroxenitas y algunos gabros tienen agotamiento de estos elementos con relación al N-MORB y algunos gabros, dioritas y monzonitas los valores son mayores a 1, indicando que las rocas se reparten entre calcoalcalinas y toleíticas.
Al graficar rocas del Gabro de Cerro Frontino en los diagramas de discriminación de ambiente tectónico propuestos por Pearce et al. (1984) y Wood (1980), las muestras se localizan dentro del campo de arco volcánico (Fig. 14), las piroxenitas y algunos gabros caen en el campo de rocas de arcos toleíticos con mayores valores de Hf y menores de Th que la mayoría de gabros, dioritas y monzonitas, las cuales grafican en el campo de los arcos calcoalcalinos.
6. Edad
La edad del Gabro de Cerro Frontino se fundamenta en cuatro dataciones hechas por el método Ar/Ar step heating dating, una de ellas publicada por Rodríguez y Zapata (2012) a partir de una diorita piroxénica la cual arrojó una edad de 10.17±0.41Ma en biotita, otra por K/Ar publicada por Leal (2011) dando como resultado 11.8±0.4 Ma en Bt y las otras dos se reportan en este trabajo, cuyos resultados se resumen en la Tabla 5, las cuales fueron hechas sobre una piroxenita biotítica y sobre una cornubianita de la aureola de contacto.
Una primera observación de las edades obtenidas parece indicar una leve diferencia de cierre entre las facies más primitivas del plutón (piroxenita biotítica) y facies algo más diferenciadas (diorita piroxénica), arrojando edades respectivas de 9.87±0.18 Ma y 11.44±0.36 Ma. La edad obtenida en la aureola de contacto, es un poco más vieja y con un mayor error (12,2±4,6 Ma), podría estar marcando la intrusión inicial del plutón y edad de cierre de la hornblenda metamórfica dentro de la aureola de contacto, aunque duplicados del análisis arrojaron edades plateau de 22.7±3.1 Ma y 20.4±3.4 Ma, no siendo claro el significado de estas edades.
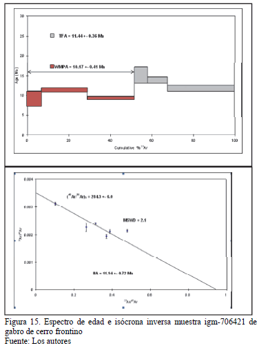
La muestra 706421 que corresponde a la diorita piroxénica presenta un espectro de edad con tres pasos con una meseta de baja temperatura, el cual se caracteriza por el 51,7% de 39Ar, una edad de 10,17±0,41Ma (Fig. 15); la isócronainversa tiene los puntos con tendencia lineal, caracterizada por valor de edad de 11,94±0,72Ma, MSWD: 2.1, dando un resultado similar al reportado por Leal (2011) en una diorita.
Para la muestra 706423 que corresponde a una piroxenita biotítica presenta un buen espectro de edad con tres pasos, con una meseta caracterizada por el 93,8% del valor de 39Ar y una edad de 9,87±0,18Ma. La isócronainversa tiene los puntos con tendencia lineal, caracterizado por valor de edad de 9,88±0,30Ma, MSWD = 1,08 (Fig. 16).
En la Fig. 17 se muestran los espectros de edad arrojados por la muestra 706475 que corresponde a una cornubianita de diópsido y granate de la aureola de contacto del Gabro de Cerro Frontino.
Las edades obtenidas en el Gabro de Cerro Frontino son similares a las arrojadas por otros plutones que hacen parte del Arco de El Botón (Rodríguez y Zapata, 2012). Los contenidos altos de K de estos cuerpos de afinidad shoshonítica, permiten obtener edades por los métodos K/Ar y Ar-Ar confiables y con bajos errores.
7. Conclusiones y discusión
El Gabro de Cerro Frontino está constituido por al menos tres facies magmáticas: una facies primitiva máfica - ultramáfica de melagabros y piroxenitas que se presenta como xenolitos y/o autolitos; una segunda facies básica de gabros y dioritas con variaciones graduales a piroxenitas que conforma el mayor volumen del plutón y por último un evento magmático tardío de monzonitas que intruyen los dos pulsos anteriores.
El plutón está constituido por clinopiroxenitas, gabros, dioritas, monzodioritas y monzonitas, faneríticas de grano medio a fino, con texturas hipidiomórfica a subidiomórfica granulares a inequigranulares, constituidas por plagioclasa de tipo andesina y labradorita para los gabros y piroxenitas; clinopiroxeno de tipo augita-egirina; biotita, flogopita (en piroxenitas), algunas rocas tienen olivino; el opaco más frecuente es magnetita, como accesorios presentan apatito y titanita las dioritas pueden contener hornblenda primaria. Las monzonitas y monzodioritas presentan feldespato alcalino de tipo ortosa y pequeñas cantidades de cuarzo, además, rutilo como mineral accesorio junto a esfena y apatito. Las características ópticas de los clinopiroxenos en clinopiroxenitas, gabros y dioritas son similares.
El nombre de Monzonita del Cerro Frontino, asignado por González y Londoño (2001), no está acorde con la composición predominante del plutón siendo un cuerpo gabroide, por tal razón se propone llamarlo Gabro de Cerro Frontino.
Las rocas del Gabro de Cerro Frontino tienen contenidos de SiO2 entre 37.08% y 54.4%, con valores constantes de MnO (0.1% a 0.4%), empobrecimiento de Fe2O3, MgO, CaO, TiO2, P2O5 a medida que aumenta el SiO2 y enriquecimiento en Na2O, K2O y Al2O3 con el aumento de SiO2, grafican en el diagrama TAS en dos series: las muestras 706420, 706422, 706424, 706427 y 706464 en la series toleítica subalcalina con contenidos bajos de álcalis, el resto de muestras grafica en el campo de la serie alcalina, gabros, sienodioritas y sienitas, afines a las series calcoalcalina media a alta en K y shoshonítica. Los valores de MgO y el #Mg indican que las rocas ultrabásicas y algunas básicas son primitivas y poco diferenciadas con valores similares en MgO a los basaltos komatiíticos y en general tienen afinidad toleítica, mientras las facies más evolucionadas presentan afinidad calcoalcalina y shoshonítica, sugiriendo la geoquímica de elementos mayores y trazas que el magma que dio origen a las rocas del Gabro de Cerro Frontino evolucionó de toleítico a calcoalcalino hasta shoshonítico, con un marcado enriquecimiento en álcalis, K2O y SiO2 a medida que se diferenció el magma; pero aunque hay rocas poco evolucionadas (clinopiroxenitas y gabros), todas ellas se generaron en un ambiente de arco por encima de la placa subducente, aparentemente algunas de ellas no se enriquecieron en K2O ni en elementos trazas livianos y conservaron la composición primitiva del magma.
Este plutón tiene empobrecimiento de las tierras raras pesadas (HREE) con relación a las tierras raras livianas (LREE); altas razones de Ba/Nb (5.5 a 85.5), Sr/Hf (110 a 1827) que sugieren la participación de un componente de subducción en las génesis magmática. Los LILE (Sr, K, Rb, Pb, Ba) están enriquecidos respecto a los HFSE que presentan valores relativamente planos y empobrecidos, tiene anomalía negativa de Nb con respecto a Th y Ce siendo el ambiente de generación un arco magmático.
Las edades Ar-Ar obtenidas en este plutón están entre 9.87±0.18 Ma y 11.44±0.36 Ma, es decir, Mioceno Medio- superior (Tortoniano-Serravaliano), similar a la edad de otros plutones descritos dentro del Arco de El Botón por Rodríguez y Zapata (2012), con composición mineralógica y química comparable, sugiriendo que hace parte del plutonismo de este arco. Las edades obtenidas en rocas de la aureola de contacto indican una edad de cierre para la hornblenda más antigua que la edad de cierre en biotita de las rocas del Gabro de Cerro Frontino, esto indica que la intrusión del Gabro de Cerro Frontino se dio antes de la edad de cierre del anfíbol en las cornubianas (12,2±4,6 Ma) y que al interior del Gabro la edad de cierre de la biotita es más joven (9.87±0.18 Ma a 11.44±0.36 Ma)
Agradecimientos
Se agradece al Servicio Geológico Colombiano, anterior INGEOMINAS, poseedor de la información utilizada en este trabajo y que suministró los datos de los análisis de petrografía, geoquímica y dataciones obtenidos en los diferentes proyectos de cartografía en la Cordillera Occidental, a la geóloga María Isabel Arango por su colaboración en la elaboración de las figuras. También a los evaluadores anónimos, cuyos comentarios contribuyeron a mejorar el artículo.
Bibliografía
[1] Álvarez, J., Geología de la Cordillera Central y Occidente Colombiano y petroquímica de los intrusivos granitoides Meso - Cenozoicos. Boletín Geológico Ingeominas, 26 (2): 175 P, 1983. [ Links ]
[2] Álvarez, E. y González, H., Geología y geoquímica del Cuadrángulo I-7 (Urrao). Ingeominas. Informe 1761. Medellín. 347 P., 1978. [ Links ]
[3] Best, M.G., Igneous and metamorphic petrology: Second edition. Oxford Blackwell Science. 729 P., 2003. [ Links ]
[4] Botero, G., Edades radiométricas de algunos plutones colombianos. Revista Minería, 27 (169-179): pp. 8336-8342, 1975. [ Links ]
[5] Cox, K.G., BelL, J.D. and Pankhurst, R.J., The interpretation of igneous rocks. Georgen Allen and Unwin, London. 450 P. 1979. DOI: 10.1007/978-94-017-3373-1 [ Links ]
[6] González, H y Londoño. A., Catálogo de unidades litoestratigráficas de Colombia. Mioceno. Monzogranito del Cerro Frontino (Ngmcf), Departamento de Antioquia, Cordillera Occidental. INGEOMINAS. 11 P., 2002. [ Links ]
[7] Leal, H., Phanerozoic gold metallogeny in the Colombian Andes: A tectonomagmatic approach. Barcelona. 1000 P., 2011. [ Links ]
[8] Molina, C. y Molina, A.,Estudio de la génesis y paragénesis de la mina San Diego el Cerro, Frontino (Antioquia). Tesis, Universidad Nacional de Colombia, Medellín, Colombia. 226 P., 1984. [ Links ]
[9] Nakamura, N., Determination of REE, Ba, Fe, Mg, Na and K in carbonaceous and ordinary chondrites. Geochimica and Cosmochimica Acta, 38, pp. 757-775, 1974. DOI: 10.1016/0016-7037(74)90149-5 [ Links ]
[10] Pearce, J.A., Harris, N.B.W. and Tindle, A.G., Trace element discrimination diagrams for the tectonic interpretation of granitic rocks. Jour. Petrology, 25, pp. 956-983, 1984. DOI: 10.1093/petrology/25.4.956 [ Links ]
[11] Pearce, J.A., A user's guide to basalt discrimination diagrams. En: Wyman, D.A. (ed.) Trace element geochemistry of volcanic rocks: Applications for massive sulphide exploration. Geological Association of Canada, Short Course Notes 12, pp. 79-114, 1996. [ Links ]
[12] Pecerillo, A. and Taylor, S.R., Geochemistry of Eocene Calc-alkaline volcanic rocks from Kastamonir area, Northern Turkey. Contributions to Mineralogy and Petrology, 58, pp. 63-81, 1976. DOI: 10.1007/BF00384745 [ Links ]
[13] Rodríguez, G., Zapata, G. y Gómez, J.F., Geología de la parte oriental de la Plancha 114, Dabeiba. INGEOMINAS. Medellín, 172 P., 2010. [ Links ]
[14] Rodríguez, G. y Arango, M.I., Formación Barroso: Arco volcánico toleítico y Diabasas de San José de Urama; un prisma acrecionario T-MORB en el segmento norte de la Cordillera Occidental de Colombia. VIII Simposio Latinoamericano de Geología Isotópica. 203 P., 2012. [ Links ]
[15] Rodríguez G. y Arango, M.I., Formación Barroso: Arco volcánico toleítico y Diabasas de San José de Urama: Un prisma acrecionario T-MORB en el Segmento Norte de la Cordillera Occidental de Colombia. Boletín de Ciencias de la Tierra, 33, pp. 17-38. 2013 [ Links ]
[16] Rodriguez, G., Arango, M.I. y Bermudez, J.G., Batolito de Sabanalarga, plutonismo de arco en la zona de sutura entre las cortezas oceánica y continental de los Andes del Norte. Boletín de Ciencias de la Tierra, 32, pp. 81-98, 2012. [ Links ]
[17] Rodríguez, G. y Zapata, G., Características del plutonismo Mioceno superior en el segmento norte de la Cordillera Occidental e implicaciones tectónicas en el modelo geológico del noroccidente colombiano. Boletín de Ciencias de la Tierra, 31 pp. 5-22, 2012. [ Links ]
[18] Rodríguez, G. y Zapata, G., Análisis comparativos entre la Formación Barroso y el Complejo Quebradagrande: Un arco volcánico toleítico calcoalcalino, segmentado por el sistema de fallas de Romeral en los Andes del Norte?. Boletín de Ciencias de la Tierra. 33, pp. 39-58, 2013. [ Links ]
[19] Sun, S.S., and McDonough, W.F., Chemical and isotopic systematic of ocean basalts: Implications for mantle composition and processes. In: Saunders, A.D., Norry, M.J. (Eds.), Magmatism in the Ocean Basins. Geological Society of London Special Publication, 42, pp. 313-346, 1989. [ Links ]
[20] Wilson, M., Igneous petrogenesis. Unwin Hyman, London, 1989. DOI: 10.1007/978-1-4020-6788-4 [ Links ]
[21] Zapata, G. y Rodríguez, G., Basalto de El Botón, volcanismo mioceno de afinidad shoshonítica en el noreste de la Cordillera Occidental de Colombia. Boletín de Ciencias de la Tierra, 30 pp. 77-91. 2012. [ Links ]
G. Rodríguez-García, se graduó como Ingeniero Geólogo en 1987 de la Universidad Nacional de Colombia, sede Medellín, Colombia, posteriormente realizó estudios de especialización en la Escuela de Minas de París en 1995 y se especializó en Evaluación Técnico - Económica de Proyectos Mineros, ha trabajado durante 28 años en el Ingeominas hoy Servicio Geológico Colombiano, donde se ha desempeñado como jefe de cartografía de la sede regional del Ibagué, coordinador de proyectos y grupos de trabajo de cartografía regional y exploración y evaluación de yacimientos, y actualmente coordina la sede Medellín y el Grupo de Estudios Geológicos Especiales del Servicio Geológico Colombiano. Ha sido profesor de Geología de Colombia, Geología de Campo I y Geología física en la Universidad EAFIT, desempeño el cargo de Director de Geología del Grupo Argos, tiene más de 70 publicaciones correspondientes a mapas geológicos, memorias y artículos científicos en geología y entomología de Colombia.
J.G. Bermúdez-Cordero, se graduó en 1989 como Geólogo de la Universidad Pedagógica y Tecnológica de Sogamoso-Boyacá, Colombia, se desempeñó como consultor en aguas subterráneas, geofísica y geología desde 1989 hasta el 2009, ocupo el cargo de Gerente general de la Empresa Hidrocol Ltda y Gesprocom Ltda, trabajó como geólogo de exploración de la empresa Coexminas y actualmente labora como profesional especializado en el área de Geociencias Básicas del Servicio Geológico Colombiano. Tiene más de 15 publicaciones en el área de geología regional.


































