Services on Demand
Journal
Article
Indicators
-
Cited by SciELO -
Access statistics
Related links
-
Cited by Google -
Similars in
SciELO -
Similars in Google
Share
Revista Facultad Nacional de Salud Pública
Print version ISSN 0120-386XOn-line version ISSN 2256-3334
Rev. Fac. Nac. Salud Pública vol.23 no.2 Medellín July/Dec. 2005
Identificación y normalización de las competencias en los gerentes de las instituciones prestadoras de servicios de salud
Identification and normalization of competences for health services managers
Libardo Antonio Giraldo G.1 •Lina María Grisales F.2
1 Médico y cirujano, magíster en salud pública, profesor ocasional de la Facultad Nacional de Salud Pública, Universidad de Antioquia. Cibercorreo: lgiraldog@guajiros.udea.edu.co
2 Bacterióloga, especialista en gerencia de laboratorios clínicos, magíster en salud pública. Profesora ocasional de la Escuela de Bacteriología y Laboratorio Clínico. Universidad de Antioquia.
Recibido:27 de mayo de 2005 Aceptado:26 de septiembre de 2005
Resumen
Este estudio presenta la identificación y normalización de las competencias de los gerentes de las instituciones prestadoras de servicios de salud (IPS). Para ello, se conformó un grupo de profesores de la Facultad Nacional de Salud Pública, considerados expertos en gerencia de instituciones prestadoras de servicios de salud por su trayectoria en administración hospitalaria. Estos se reunieron durante 19 sesiones y, por medio del método Delphi y aplicando la metodología del análisis funcional, identificaron trece competencias, de las cuales seis son en el área de representación de la entidad y siete en el área de gestión administrativa. La formalización de estas competencias a través del establecimiento de estándares es lo que se denomina normalización de competencias. Se concluye que el ejercicio de la gerencia debe ser el resultado de la combinación de una serie de evidencias que provienen desde el ser, el saber y el hacer que, al integrarse, constituyen las competencias. Este estudio ofrece la posibilidad de elaborar currículos de formación más integrales para los administradores de servicios de salud. Del mismo modo, ofrece para las instituciones de salud un panorama diferente en cuanto a la gestión del talento humano.
Palabras clave
Gerencia, administración de los servicios de salud, competencia laboral, análisis funcional
Summary
This study shows the identification and standardization of competences for health institutions managers. In order to identify and standardize competences a group of experienced experts in the field of hospital administration as well as health services was formed. They met during 19 sessions and by Delphi Method and applying the functional analysis method identified 13 competences, 6 of which belong to the institution representation area and 7 to management. Formalization of these competences through establishment of standards is denominated normalization of competences. It is concluded that management must be the result of the combination of a series of evidences that come from the being, the knowledge and the doing and that they all integrated constitute the competences. This study offers the possibility to build a more complete formation curriculum for health institutions managers. In the same way it offers a different view dealing with human talent for health services.
Key words
Management, health services administration, laboral competence, functional analysis
Introducción
Los administradores en salud tienen un papel trascendental en el análisis y el desarrollo de los diferentes escenarios en los cuales se desenvuelve la salud pública y su análisis es el insumo básico para la definición de políticas públicas en salud. Por ello, la formación integral del administrador en salud es una responsabilidad social de las instituciones formadoras, de modo que la participación de ellos en las diferentes instancias del sistema de salud dé respuesta efectiva a las necesidades en salud de las comunidades. Administrar los recursos de la salud pública requiere de un administrador particular, que tenga una visión holística de la salud y que aplique adecuadamente la ciencia administrativa —y de la gerencia en particular— en la búsqueda de la eficiencia en el uso de los recursos y, por esta vía, en la mejora de las condiciones de vida de la población.
La universidad debe dirigir esfuerzos no solo a enseñar, como lo ha hecho tradicionalmente; es necesario elaborar currículos que promuevan la formación integral de hombres y mujeres capaces de construir desde su saber una sociedad más justa. Por lo anterior, debemos identificar cuál es el administrador en salud, el gerente de la salud pública que se necesita.
Para investigadores, consultores y profesores en administración son objeto de un continuo y sistemático análisis las siguientes preguntas: ¿qué actitudes, conocimientos y destrezas debe tener un administrador para que su trabajo sea efectivo? y ¿cómo dotarlos de esos insumos para que cumplan el papel directivo para el cual se supone que se forman? Para los salubristas, es necesario procurar una formación integral en administración y, particularmente, en gerencia, ya que se espera que ellos diseñen y/o implementen las políticas en salud en Colombia.
La inquietud en torno a la formación integral de los administradores en salud es absolutamente vigente, cuando las instituciones de salud están inmersas en transformaciones estructurales provocadas por un entorno económico que considera la competencia entre instituciones —sean públicas o privadas— como la manera para que el uso de los recursos sea eficiente. Sin embargo, para lograr esto, no solo se debe promover la utilización de opciones estratégicas y la redefinición de prioridades, sino también fortalecer en los gerentes todas aquellas características relacionadas con el ser, el saber y el hacer, de tal manera que sus decisiones estén basadas en un análisis contextual de las condiciones de salud de las comunidades.
¿Qué características como personas (liderazgo, honestidad, ética, pedagogía, etc.), qué conocimientos en administración estratégica (planeación, organización, dirección y control) y qué destrezas (comunicación, negociación, interpretación de normas, delegación, etc.) se deben promover en los administradores en salud? Es una pregunta que debe ser suficientemente analizada antes de definir un determinado programa de capacitación gerencial en salud.
Esas características en el ser, el saber y el hacer las denominamos competencias, concepto que no es nuevo, pero que ha tenido una serie de adaptaciones que lo han llevado a tener desde un significado que pretendía identificar las capacidades técnicas de una persona para desempeñarse en un determinado oficio, hasta definiciones más complejas que incluyen ya no solo los aspectos técnicos, sino también aquellas características personales —no técnicas, sino actitudinales—, conjugadas todas ellas a la hora de desempeñarse en un determinado rol social.
Esta investigación, de acuerdo con Gerhard Bunk, plantea la competencia desde una perspectiva más académica y humanista. En esencia, una competencia incorpora un conjunto de conocimientos, procedimientos y actitudes combinadas, coordinadas e integradas que son definibles solo en la acción. No es solo una mera aplicación de saberes; es una reconstrucción de acuerdo con la situación específica y que a su vez representa un valor añadido. Dicho de otra manera, la competencia es la capacidad integral para desempeñar las actividades propias de la vida, para ser nosotros mismos y para integrarnos como miembros activos de la sociedad.1
No es posible convertir a “cualquiera” en un directivo efectivo y exitoso con solo proporcionar conocimientos y desarrollar ciertas habilidades. La experiencia demuestra que, efectivamente, es posible formar y entrenar a directivos para una dirección efectiva, incorporando cualidades personales como inteligencia, valor, intuición, voluntad, don de mando y capacidad de influir en los demás, entre otras.
¿Cómo descubrir aquello que hace exitoso a un profesional? Para tratar de dar respuesta a esta pregunta, en este documento se plantea el análisis funcional, aplicado a la gerencia en salud. Esta es una técnica que se utiliza para identificar las competencias requeridas para una determinada función, que se aplica de lo general a lo particular. Se inicia con la definición del propósito clave de la ocupación y concluye con las funciones productivas simples (llamadas elementos de competencia), que son las funciones realizables por una persona. El análisis funcional es una metodología utilizada por el Sistema Nacional de Calificaciones Vocacionales Basado en Competencias (NVQ) del Reino Unido. En Colombia, es utilizado por el Servicio Nacional de Aprendizaje (SENA).
En términos generales, la identificación de las competencias es un proceso de análisis para determinar los conocimientos, las habilidades, las destrezas, las actitudes y la comprensión que debe movilizar el gerente de una institución prestadora de servicios de salud (IPS) para lograr los objetivos del desempeño. La formalización de estas competencias a través del establecimiento de estándares es lo que se denomina normalización de competencias.
Identificar y normalizar las competencias de los gerentes de las IPS ofrece la posibilidad de elaborar currículos de formación más integrales para los administradores en salud, considerando la orientación hacia la norma de competencia: “El desarrollo de las competencias se contextualiza en un marco de desarrollo humano, apuntando al desarrollo integral de cada persona y a un desarrollo organizacional en el marco de las organizaciones en aprendizaje permanente”.2 Igualmente, estos procesos facilitan un acercamiento de la universidad a la sociedad, logrando que los programas académicos estén de acuerdo con las demandas del medio.
Establecer un método para identificar y normalizar las competencias de un gerente ofrece para las instituciones de salud un panorama diferente en cuanto a la gestión del talento humano, ya sea porque las competencias identificadas y normalizadas sirvan como patrón para la evaluación del desempeño y para la selección de personal, o porque la metodología empleada en estos procesos pueda ser desarrollada para el estudio de otra ocupación.
Métodos
Para identificar y normalizar las competencias se conformó un grupo de profesores de la Facultad Nacional de Salud Pública de la Universidad de Antioquia considerados expertos en gerencia de IPS por su trayectoria en administración hospitalaria. Estos se reunieron durante 19 sesiones y por medio del método Delphi —y aplicando la metodología del análisis funcional— identificaron y normalizaron trece competencias.
La metodología del análisis funcional permite analizar una temática determinada partiendo de lo general para avanzar hacia lo específico. Para la identificación, inicialmente se definió el propósito principal de la ocupación del gerente, teniendo como base de la discusión las siguientes preguntas: ¿cuál es el propósito principal de un gerente de una institución de salud? ¿Qué es lo que él debe lograr en la gestión de la IPS?
A partir de la definición del propósito principal de la ocupación de un gerente se continuó la construcción de un mapa funcional resolviendo la siguiente pregunta: ¿qué tiene que hacer el gerente para lograr el propósito principal? De esta manera, se fue desagregando el propósito clave en funciones o unidades de competencia, a las cuales también se les aplicó la misma pregunta hasta llegar a funciones que pueden ser realizadas por una persona (elementos de competencia). Este último nivel de disociación corresponde a las competencias identificadas, las cuales se normalizaron posteriormente.
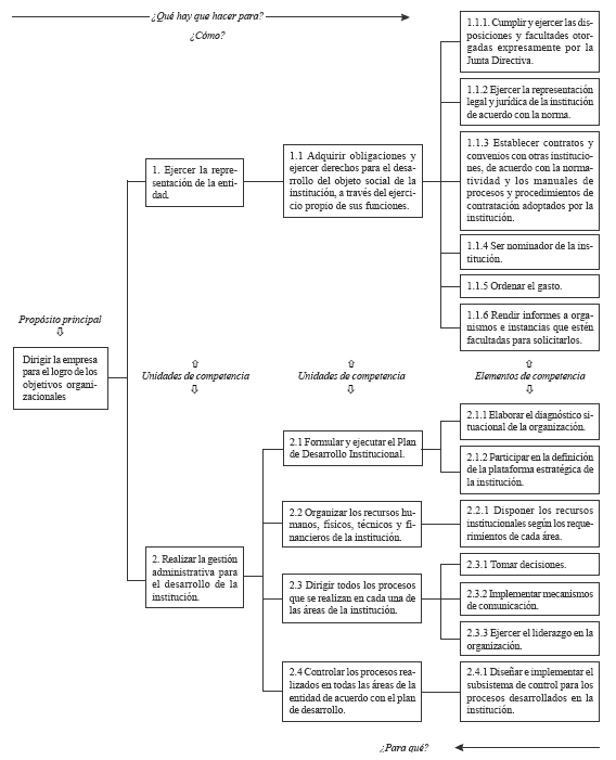
El mapa funcional (figura 1), si se lee de izquierda a derecha, responde el cómo una función principal se lleva a cabo mediante la realización de las funciones básicas que la integran. Si se lee de derecha a izquierda, responde el para qué de cada función, lo cual se encuentra en la función del nivel inmediatamente siguiente.
Figura 1. Mapa funcional de la ocupación: gerente de una institución prestadora de servicios de salud
La normalización de competencias es entonces la formalización de una competencia a través del establecimiento de estándares que la convierten en un referente válido. Con la normalización se busca lograr una mejor descripción de cada desempeño laboral, es decir, de cada competencia, para que sirva como referencia para la formación y evaluación de las mismas.
Una norma de competencia consta de la siguiente información:
- Los criterios de desempeño, que son las especificaciones de calidad que el gerente debe tener en la competencia. Expresan el cómo y el qué se espera del desempeño del gerente de una IPS.
- El campo de aplicación, que establece las diferentes circunstancias en las que se pone a prueba la competencia.
- Las evidencias de desempeño, de actitud y de conocimiento, que constituyen la prueba o demostración de la competencia.
- La guía para la evaluación de la competencia.
En términos generales, la norma especifica lo que debe ser, saber y hacer el gerente para demostrar la posesión de una competencia, a través de las evidencias de actitud, de conocimiento y de desempeño respectivamente. Por el ser se entienden todos aquellos valores que la persona ha acumulado desde su niñez y que se manifiestan básicamente a través de las actitudes. El saber hace referencia a la acumulación de conocimientos académicos y provistos por la experiencia sobre administración y gerencia. Y por el hacer se entiende la materialización de lo actitudinal con los conocimientos y la experiencia.
Resultados
En la figura 1 se presenta el mapa funcional construido con la participación de los expertos en administración hospitalaria. El resultado del trabajo con los profesores de la Facultad Nacional de Salud Pública fue sometido a evaluación y análisis por otro grupo de expertos, constituido por docentes de otras universidades y profesionales que se desempeñan en diversas instituciones del Sistema General de Seguridad Social en Salud. A partir de la página siguiente, se presentan las trece competencias identificadas y normalizadas mediante el trabajo con los expertos.
Discusión
Cuando se dice que el propósito principal de un gerente de una IPS es dirigir la institución hacia el logro de los objetivos organizacionales, no se hace referencia exclusiva a objetivos de tipo económico; igualmente se alude al logro de objetivos de índole social y humana, que contribuyan a mejorar la situación de salud de la población. La gestión que realiza el gerente de una institución de salud debe conducir al desarrollo, entendido como el mayor bienestar para todos los miembros de la organización y de la sociedad en general.
Norma de competencia 1. Cumplir y ejercer las disposiciones y facultades otorgadas expresamente por la junta directiva
Norma de competencia 2. Ejercer la representación legal y jurídica de la institución de acuerdo con la norma
Norma de competencia 3. Establecer contratos y convenios con otras instituciones de acuerdo con la normatividad y los manuales de procesos y procedimientos de contratación adoptados por la institución
Norma de competencia 4. Ser nominador de la institución
Norma de competencia 5. Ordenar el gasto
Norma de competencia 6. Rendir informes a organismos e instancias que estén facultados para solicitarlos
Norma de competencia 7. Elaborar el diagnóstico situacional de la organización
Norma de competencia 8. Participar en la definición de la plataforma estratégica de la institución
Norma de competencia 9. Disponer los recursos institucionales según los requerimientos de cada área
Norma de competencia 10. Tomar decisiones
Norma de competencia 11. Implementar mecanismos de comunicación
Norma de competencia 12. Ejercer el liderazgo en la organización
Norma de competencia 13. Diseñar e implementar el subsistema de control para los procesos desarrollados en la institución
Gerenciar la estructura, los procesos y los resultados de la institución de salud es el ejercicio fundamental del gerente y es lo que le permite dirigir la institución hacia el logro de sus objetivos. Los sentidos y matices de los términos gerencia y administración son realmente muy cercanos y propicios a una utilización casi indistinta. Administrar, utilizando la gerencia como su herramienta, es al mismo tiempo arreglar, disponer, cuidar, conducir, gobernar, manejar y representar la organización en todas aquellas circunstancias que lo requieran.
La responsabilidad social del ejercicio del gerente le plantea entonces un doble reto: ser la cabeza visible de la organización, tanto desde la mirada interna de la institución como desde la mirada externa a ella. A nivel interno, el gerente debe constituirse en guía de sus subalternos y esta posición no es delegable. Es imprescindible que se constituya en actor de todos aquellos procesos que contribuyan a la generación de una particular cultura organizacional. A nivel externo, el gerente debe ser la primera avanzada de la institución hacia la sociedad, no solo desde el punto de vista legal y jurídico; es el encargado de hacer conocer su organización en todas aquellas instancias donde deba ser conocida. Es, pues, el primero que hace mercadeo y que “vende” la organización socialmente, constituyéndose en la puerta de entrada a ella e, igualmente, en su primera defensa en caso de ser confrontada.
La representación demanda una combinación de aptitudes y actitudes que hacen del gerente una amalgama especial de cualidades innatas del ser, de sus conocimientos y de sus actos. En conformidad con el mapa funcional, para que el gerente ejerza la representación de la entidad, debe adquirir obligaciones y ejercer derechos para el desarrollo del objeto social de la institución. Todas las organizaciones deben tener siempre personas físicas que las representen, y solo mediante la actividad de ellos (gerentes o administradores) estas instituciones actúan ante terceros, celebrando y ejecutando actos y negocios. Es así como se entiende la representación legal de la entidad: como la realización y ejecución de actos jurídicos a nombre de la organización, en uso de las atribuciones y facultades propias del cargo. No obstante, la representación que se otorga a los gerentes de las organizaciones se encuentra limitada al ejercicio de los actos necesarios o conducentes al objeto particular de la organización, además de otros que imponga la entidad. Por lo anterior, el gerente debe demostrar las siguientes competencias: cumplir y ejercer las disposiciones y facultades otorgadas expresamente por la Junta Directiva, ejercer la representación legal y jurídica de la institución de acuerdo con la norma, establecer contratos y convenios con otras instituciones, de acuerdo con la normatividad y los manuales de procesos y procedimientos de contratación adoptados por la institución, ser nominador de la institución, ordenar el gasto y rendir informes a organismos e instancias que estén facultados para solicitarlos.
En relación con la segunda unidad de competencia, por gestión administrativa se entiende la motivación y organización de las energías humanas para lograr la misión de la organización; por tanto, la primera tarea del gerente es la de participar en la definición de la misión institucional, si no esta formulada, o impulsar su análisis y mejora continua en caso de que ya lo esté. En este punto deben sobresalir la capacidad de análisis y síntesis que el gerente tenga para saber analizar el medio interno y externo. En función de este conocimiento ha de tomar decisiones, generar objetivos y verificar su cumplimiento, controlando los resultados. En este sentido, debe ser analítico e innovador y debe orientar al aprovechamiento de las oportunidades y al logro de los mejores resultados.
Para que el gerente de una institución de salud pueda realizar la gestión administrativa para el desarrollo de la institución, es necesario que ponga en práctica, con dedicación y esfuerzo, las siguientes funciones:
Planificación. Es la primera tarea del gerente; en ella se define la misión de la empresa y se establecen los objetivos que se desean alcanzar en el futuro. Para que el gerente logre dirigir la empresa hacia el alcance de los objetivos organizacionales, es importante que formule y ejecute el plan estratégico de desarrollo. Este se convierte en el vínculo entre el presente y el futuro, refuerza los principios adquiridos en la misión, la visión y la estrategia, fomenta la planeación y la comunicación interdisciplinarias y asigna prioridades en la utilización de los recursos. Para formular y ejecutar el plan, el gerente debe ser capaz de elaborar el diagnóstico situacional de la organización y participar en la definición de su plataforma estratégica, de manera que él la identifique y la interprete en la definición del plan de acción de cada área de trabajo (prestación de servicios, finanzas, mercadeo y recursos humanos). Estas dos capacidades constituyen competencias que el gerente debe demostrar en el ejercicio de la gerencia de una IPS.
Organización de los recursos disponibles, de acuerdo con los objetivos del plan. Esta es la segunda tarea, consistente en lograr una perfecta conjunción de los recursos disponibles (humanos, físicos, técnicos y financieros) a fin de procurar que cada uno de ellos logre el mayor aporte. Organizar los recursos debe garantizar funcionalidad a la institución, a través de la estructura organizacional. En consecuencia, conforme al mapa funcional, el gerente debe ser capaz de disponer los recursos institucionales según los requerimientos de cada área, a partir de la identificación de ellos según su nivel y su aplicación. Es decir, el gerente organiza los recursos cuando es capaz de identificar las jerarquías en la organización (estructura organizacional) para efectuar su asignación, competencia que el gerente debe manifestar en el ejercicio de la gerencia.
Dirección y ejercicio de la autoridad. El auténtico líder practica de una manera real y decidida las técnicas de dirección y delegación de autoridad, cumpliendo siempre con sus obligaciones y responsabilidades específicas, pero a sabiendas de que la clave del éxito está en aprovechar la capacidad de las personas de la mejor manera para tener una productividad óptima. Para lograr los objetivos organizacionales, los trabajadores han de contar con el apoyo activo del gerente, quien debe ser un ser humano integral —en cuerpo, mente y alma—; esto incluye tener tanto la inteligencia cognitiva y emocional, como la moral y la ética.
Además de liderar los procesos de la organización, el gerente debe implementar mecanismos de comunicación, con los cuales se persiguen dos objetivos: desde el punto de vista estratégico, que las personas estén bien sincronizadas con los objetivos, porque cuando están bien informadas y motivadas hacen todo bien; y, por otra parte, que se sientan integradas a la institución y útiles para el desarrollo de esta. El gerente de hoy debe creer en la comunicación abierta, sincera y transparente.
Por último, pero muy importante, para dirigir la organización hacia el logro de los objetivos, es necesario que el gerente tome decisiones informadas y oportunas, con el fin de que la organización se beneficie con mayor rapidez de los cambios propuestos.
Control. Esta es la última tarea del gerente y la que completa el ciclo de la gestión, realimentando todo el sistema. El auténtico control es un proceso de información respecto de los resultados que se han conseguido al dirigir los esfuerzos hacia un objetivo. Sirve para saber qué cosas han funcionado tal como estaba previsto en el plan, qué cosas no han funcionado como se habían previsto, y también para saber qué cosas han funcionado mejor de lo previsto. El gerente no se limita a medir las desviaciones, sino que utiliza los datos que proporciona el control para tomar decisiones correctivas y para mejorar continuamente su trabajo y los resultados de la empresa.
El gerente implementa diferentes mecanismos de control para los diversos procesos de la institución. Es así como debe implementar el control de calidad en la producción de servicios, en inventarios, en compras y en ventas; asimismo, el control presupuestal, el contable, el de costos y, finalmente, el de recursos humanos en cuanto a la evaluación, el reclutamiento, la selección del personal, la capacitación y el desarrollo, la motivación, los sueldos, la higiene y la seguridad, entre otros. El control no es un proceso esporádico; es continuo. Por él se asignan responsabilidades a cada subsistema ejecutor, analizando los objetivos de las áreas claves de resultados para lograr que la meta empresarial sea integral.
Las trece competencias identificadas le permiten al gerente realizar una gestión de éxito, siempre y cuando las ponga en práctica. A través del desempeño de estas competencias, el gerente agrega valor a la aplicación del proceso administrativo, entendido este como una serie de funciones interdependientes que buscan lograr la producción de servicios de salud de calidad a través de la combinación de recursos humanos, físicos, técnicos y financieros.
Algunos entienden las competencias como “funciones”, como competencias ocupacionales particulares. Se propone comprender este concepto a la luz de lo que afirma Gerhard Bunk, para quien las competencias son un conjunto de actitudes, conocimientos y destrezas necesarias para ejercer una profesión, definibles solo en la acción. Es decir, una persona muestra su competencia únicamente en sus actos, los cuales reflejan su ser, su saber y su hacer. Por esto, las trece competencias identificadas conllevan actos explícitos realizables por el gerente.
Como la competencia es una combinación del ser, el saber y el hacer, las trece normas de competencia especifican lo que debe ser, saber y hacer el gerente de una IPS para demostrar que las posee. Aunque las evidencias de actitud son, en cantidad, menores a las evidencias conceptuales y metodológicas, se considera que son el soporte de toda competencia o — como dirían otros autores— son competencias transversales u horizontales que se manifiestan en el desempeño diario del gerente. En relación con el enfoque de los papeles propuesto por Henry Mintzberg, se observa que los roles que desempeñan los gerentes en las organizaciones son de tipo interpersonal, informativo y decisorio, en los cuales encajan las 23 evidencias de actitud definidas en las normas de competencias.
Tan importantes como las actitudes son las evidencias conceptuales (o sea, el saber), que le brindan al gerente la capacidad mental de coordinar e integrar todos los conocimientos para actuar de una manera eficiente y eficaz. El gerente de una institución de salud debe demostrar como mínimo 61 evidencias conceptuales, las cuales le permitirán actuar de una manera pertinente frente a una situación dada en las organizaciones de salud.
Junto con las dos evidencias anteriores, el gerente en salud debe demostrar como mínimo 89 evidencias técnicas y metodológicas mediante la utilización de herramientas, procedimientos y técnicas que le permitan actuar de una manera determinada en la gestión.
Con la normalización de las competencias se da una mirada integral al desempeño de los gerentes de las instituciones de salud. No basta con que un gerente sepa qué hacer (cumplir, ejercer, contratar, nominar, planear, coordinar, etc.); es más importante saber cómo hacerlo por medio de sus destrezas humanas, conceptuales y metodológicas, asumiendo que la intersección de estas destrezas demuestra el desempeño competente. En este sentido, Gerhard Bunk afirma: “La realización sin pensamiento se queda en mera reacción, la realización sin percepción en ciego automatismo y la percepción o el pensamiento sin realización, en mera contemplación o reflexión”.3
Conclusiones
- Un gerente de una organización de salud es importante en la medida en que la conduzca hacia el logro de sus objetivos. Para esto, debe desarrollar trece competencias que no son más que la agregación de su ser, su saber y su hacer en su ejercicio diario.
- Es importante que las instituciones de salud y de educación y los gerentes trasciendan el enfoque funcional de la gerencia hacia un enfoque holístico, en el que la gerencia sea producto de la interacción entre el saber y el saber hacer, con el ser humano.
- Los administradores en salud tienen un papel trascendental en el análisis y el desarrollo de los diferentes escenarios en los cuales se ejercita la salud pública. La formación integral de estos, de un gerente para la salud pública, es una responsabilidad de las instituciones formadoras frente a la sociedad.
- Es claro que el desarrollo integral de las competencias por parte del gerente involucra una serie de actitudes que las atraviesan transversalmente, las cuales provienen específicamente del ser, por lo tanto, el gerente de la salud pública requiere ser:
—comunicador: crea canales eficaces de comunicación en la organización, que permiten que la información llegue sistemáticamente a las personas y viceversa.
—integrador: coordina las actividades de personas y grupos que forman parte de la institución, comprometiéndolos de forma activa en el proyecto común.
—motivador: tiene capacidad para estimular y ayudar en el desarrollo personal para superar bloqueos y alcanzar los objetivos organizacionales propuestos. Posee la destreza para lograr que las personas realicen su mejor esfuerzo en su desempeño.
—organizador: debe conocer sobre técnicas de planificación, de identificación y de valoración de alternativas en la toma de decisiones.
—innovador: encuentra procedimientos creativos e implementa cambios, conoce técnicas de análisis y de solución de problemas y sabe que la dirección influye en la eficacia de la organización.
—capaz técnicamente: cuida la calidad de la producción de los servicios de salud que la empresa vende; conoce a sus proveedores y colaboradores.
—capaz comercialmente: debe contactarse con el mundo; el gerente debe mantener una posición activa buscando nuevos clientes, productos y servicios.
—estratega: define e implanta estrategias construidas participativamente y centradas en los grupos de interés, apoyado en políticas, planes, objetivos, metas y procesos relevantes en una cultura general de aprendizaje, innovación y mejora continuos.
—líder: aporta claridad y unidad en los objetivos, así como un entorno que permita a la organización y a las personas que la integran alcanzarlos.
—pedagogo: les indica las metas y objetivos a los dirigidos y los motiva y educa orientándoles al trabajo en equipo.
—ágil mentalmente para analizar y decidir: combina el análisis de datos para generar información y la creatividad para producir innovaciones.
—claro para concretar ideas: convierte en hechos el análisis de la información.
—hábil como negociador: construye respuestas a partir de intereses diferentes; es capaz de transformar un conflicto en una situación de aprendizaje.
—pensador sistémico: tiene una visión sistémica y estratégica permanente y dinámica de la organización de salud.
—razonador lógico: es capaz por sí mismo de tomar los datos y transformarlos en información coherente para la organización.
—objetivo: ve los problemas y las situaciones con un enfoque que equilibra la emoción y la razón; ve el mundo como es y no como quisiera que fuera.
—asertivo y accesible: expresa sentimientos, opiniones y pensamientos de manera oportuna y adecuada y sin negar ni desconocer los derechos de los demás.
—evaluador y controlador: es capaz de hacer un seguimiento sistemático a una determinada situación y de interpretarla y, con base en ello, de tomar decisiones.
—eficiente y efectivo: tiene la capacidad de darles a los recursos institucionales su mejor uso, logrando que estos provean los mejores resultados posibles.
—político: conduce la organización a un estado de mayor bienestar a través de la toma de decisiones estratégicas, facilitando el desarrollo humano integral.
Recomendaciones
– Se espera que este estudio sea la base para futuras investigaciones de alcance nacional, en que se incluyan no solo los prestadores de servicios de salud, sino los aseguradores y los directivos de entes territoriales.
– Los hallazgos de esta investigación son útiles para que la Facultad Nacional de Salud Pública, por medio de nuevas metodologías, fomente y fortalezca en los futuros egresados el desarrollo de las competencias, para contribuir de esta manera al ejercicio exitoso de la gerencia en salud pública.
– Igualmente, para la Facultad Nacional de Salud Pública, esta investigación representa un insumo importante a la hora de evaluar los contenidos curriculares de sus programas de pregrado y posgrado.
Reconocimientos
A los profesores Luis Alberto Gutiérrez Mejía, Octavio Darío Gómez Marín, Pascual Hernando Pérez Rivera y Sergio García Isaza por participar con su experiencia y aportes en el grupo de expertos.
A los doctores Carlos Mario Quiroz Palacio, Sergio Augusto Vélez Castaño, Francisco de Paula Gómez y Fernando León Medina Monsalve por revisar críticamente el producto de esta investigación.
Referencias
1. Delors J. La educación encierra un tesoro: informe para la Unesco de la Comisión Internacional sobre Educación para el siglo XXI. Madrid: Santillana,Unesco; 1996. [ Links ]
2. Irigoin M, Vargas F. Competencia laboral: manual de conceptos, métodos y aplicaciones en el sector salud. Montevideo: CINTERFOR;2002. p. 32. [ Links ]
3. Punk GP. La transmisión de las competencias en la formación y perfeccionamiento profesionales de la RFA. Rev Eur Form Prof CEDEFOP 1994;1:8-14. [ Links ]
Otras referencias recomendadas
- Barnett R. Los límites de la competencia: El conocimiento, la educación superior y la sociedad. Barcelona: Gedisa; 2001.
- Blanco JH, Maya JM (eds). Fundamentos de salud pública. Tomo II: Administración de servicios de salud. Medellín: Corporación de Investigaciones Biológicas (CIB); 1997.
- Centro Interamericano de Investigación y Documentación sobre Formación Profesional (INTERFOR) Desarrollo de recursos humanos basado en competencias. Programa Educación a Distancia y Tecnología de la Formación. Programa Regional para las Américas. México: OIT; 2002.
- Chiavenato I. Introducción a la teoría general de la administración. 5.ª ed. México: McGraw Hill; 1999.
- Codina A. ¿Qué hacen los directivos y qué habilidades necesitan para un trabajo efectivo? Resumen y análisis de investigaciones. Rev Virtual Geren Salud 2002:1(3). [Sitio en internet]. Disponible en: http://www.gerenciasalud.com/art22.htm. Consultado: marzo de 2005.
- De Roux, R. Qué es educar. Rev Educ Cult 1986;10: 18-20.
- Feachem RG. Un nuevo siglo para la salud pública internacional. Bol Org Mundial Salud. Rev Int Salud Pública 2000;2:7-8.
- Gallego M. Gestión humana basada en competencias: contribución efectiva al logro de los objetivos organizacionales. Rev Univ EAFIT 2000;119:63-71.
- Gutiérrez R. La formación de estudiantes críticos en la educación en administración. [Sitio en internet]. Disponible en: http://www.admin.uniandes.edu.co/robgutie/ Conciencia.html. Consultado: marzo de 2005.
- Irigoin M. En torno al concepto de competencias. Programa de Fortalecimiento de Servicios de Salud. Lima: Ministerio de Salud; 1996.
- Irigoin ME. Teoría y práctica de las competencias. Reunión de Trabajo sobre competencias. Washington, D.C. 23-25 de noviembre de 1998.
- Koontz H, Weihrich H. Administración: una perspectiva global. 11.ª ed. México: McGraw Hill; 1998.
- Meurs PL. Nuevas habilidades para los directivos de organizaciones sanitarias. En: Seminario La Gestión del Cambio en los Servicios Sanitarios. Granada: Escuela Andaluza de Salud Pública; 1997. p. 115-128. (Documento técnico, No. 14).
- Organización Panamericana de la Salud. Organización Mundial de la Salud. II Conferencia Panamericana de Educación en Salud Pública. Reforma Sectorial y Funciones Esenciales de Salud Pública: Desafío para el Desarrollo de Recursos Humanos. Ciudad de México, D.F., 11 al 13 de noviembre de 1998.
- Organización Panamericana de la Salud. Organización Mundial de la Salud. El desafío educativo de las reformas sectoriales: cambios en la capacitación y la evaluación para el trabajo en salud. Buenos Aires, 30 de junio al 3 de julio de 1997.
- Organización Panamericana de la Salud. Organización Mundial de la Salud. Fortaleciendo la salud pública en las Américas. Hacia una educación en salud pública acorde a los desafíos de los procesos de reforma y de las funciones esenciales de salud pública. Propuesta de agenda para las instituciones de formación y capacitación en salud pública y marco de referencia para la cooperación técnica. Documento preliminar para discusión. Washington, D.C.: OPS; 2000.
- Organización Panamericana de la Salud. Organización Mundial de la Salud. Gestión del desempeño basado en competencias: guía para gerentes. Washington, D.C.: OPS; 2002. (Serie Paltex para Ejecutores de Programas de Salud, No. 42).
- Organización Panamericana de la Salud. Organización Mundial de la Salud. Programa de formación en salud internacional: una propuesta educativa basada en competencias. Washington, D.C:. OPS; 1998.
- Parkes D. Competencia y contexto: visión global de la escena británica. En: Rev Eur Form Prof 1994;1:24-30.
- Robbins CJ, Bradley EH, Spicer M. Developing leadership in healthcare administration: a competency assessment tool. J Healthc Manag 2001;46(3):188-202.
- Sallenave JP. La gerencia integral: No le tema a la competencia, témale a la incompetencia! Bogotá: Norma; 1994.
- Sierra CM, Arcila AP. Historia de las nociones y/o conceptos de educación, desarrollo social y gerencia social en la escuela colombiana entre 1958-2000. Medellín, 2001. Trabajo de grado (magíster en ciencias sociales con énfasis en gerencia del desarrollo social). Universidad de Antioquia. Facultad de Ciencias Sociales y Humanas.
- Silió F, Solas O. (eds). Nuevas perspectivas en la gestión estratégica de los recursos humanos en organizaciones sanitarias. Granada : Escuela Andaluza de Salud Pública; 1999.
- Stoner J, Freeman E, Gilbert D. Administración. 6.ª ed. México: Prentice Hall; 1996.
- World Health Organization. The Saitama Declaration : a call for new public health action. Geneva: WHO; 1991.
- Wright K, Rowitz L, Merkle A, Reid WM, Robinson G, Herzog B, et al. Competency development in public health leadership. Am J Public Health 2000; 90(8):1202-1207.













