Services on Demand
Journal
Article
Indicators
-
Cited by SciELO -
Access statistics
Related links
-
Cited by Google -
Similars in
SciELO -
Similars in Google
Share
Revista Facultad Nacional de Salud Pública
Print version ISSN 0120-386X
Rev. Fac. Nac. Salud Pública vol.31 no.1 Medellín Jan./Apr. 2013
INVESTIGACIONES
Probabilidades de empleo-desempleo en Medellín: evidencia empírica para pensar un seguro de desempleo en Colombia*
Employment and unemployment probabilities in Medellin: empirical evidence for thinking unemployment insurance in Colombia
Emmanuel Nieto1; Luz M. Mejía 2;Álvaro Cardona3
1 Economista, Magíster en Epidemiología, profesor Facultad Nacional de Salud Pública, Universidad de Antioquia. Correo electrónico: emmanuel@saludpublica.udea.edu.co
2 Administradora de empresas, Magíster en Salud Pública, profesora Facultad Nacional de Salud Pública de la Universidad de Antioquia.
3 Médico, Magíster en Salud Pública, doctor en ciencias socio-sanitarias y humanidades médicas, profesor Facultad Nacional de Salud Pública
Recibido: 31 de julio de 2012. Aprobado: 20 de febrero de 2013.
Nieto E, Mejía LM, Cardona A. Probabilidades de empleo-desempleo en Medellín: evidencia empírica para pensar un seguro de desempleo en Colombia. Rev Fac. Nac. Salud Pública 2013; 31(1): 67-74
RESUMEN
OBJETIVOS: estimar las probabilidades de empleo-desempleo de la fuerza laboral del área metropolitana de Medellín-Colombia y analizar la duración del desempleo según características individuales y tiempo de búsqueda de empleo de un grupo de trabajadores cesantes de esta área en el año 2004, a fin de aportar evidencia científica para la toma de decisiones en materia de políticas de protección social.METODOLOGIA: estudio descriptivo de corte transversal que utilizó fuentes de información secundaria y primaria. Dos categorías centrales de análisis se definieron para los propósitos del estudio: fuerza laboral ocupada y fuerza laboral cesante. Para los fines pertinentes, se aplicaron técnicas de regresión logística y de estimación no paramétrica tipo Kaplan-Meier de tablas de supervivencia.
RESULTADOS los cesantes de sexo femenino, con edad superior a los 44 años, educación media y experiencia laboral en los sectores de la industria y el comercio, fueron los que registraron mayores probabilidades de permanecer desempleados y, por tanto, mayor tiempo promedio de búsqueda de empleo.
DISCUCION: los principales hallazgos del estudio y su relación con otros de carácter local y nacional evidencian que buena parte del desempleo en Colombia es de larga duración y este precedente debería orientar la discusión sobre los alcances y las características de un seguro de desempleo.
Palabras clave:empleo, desempleo, seguro, protección social
ABSTRACT
OBJECTIVE::to estimate the probability of employment and unemployment of the labor force in the metropolitan area of Medellin-Colombia and analyze the duration of unemployment by individual characteristics and job search time of a group of unemployed workers in this area in 2004, to provide scientific evidence for making decisions on social protection policies.METHODOLOGY cross sectional study that used secondary sources and primary. Two central categories of analysis were defined for the purposes of the study: labor force employed and unemployed labor force. For relevant purposes of the study, logistic regression and nonparametric estimation of Kaplan-Meier survival tables techniques were applied.
RESULTS : the unemployed men, aged between 29 and 44 years, with university education and work experience in the service sector, were the least likely to remain registered unemployed, and therefore lower average seek time employment.
DISCUSSION : the main findings of the study and its relationship with other local and national, evidence that much unemployment in Colombia is long lasting and that this should focus the discussion on the scope and nature of unemployment insurance.
Key words: employment, unemployment, insurance, social protection
Introducción
El mundo asiste actualmente a una nueva fase de crisis del modo de producción capitalista. Como bien se sabe, su origen se remonta al desplome de algunos de los más grandes grupos financieros de los Estados Unidos en el año 2007, precipitado por la burbuja especulativa que se produjo alrededor del mercado inmobiliario. Como consecuencia, el sector real de la economía terminó profundamente afectado no sólo en aquel país, sino que arrastró consigo a buena parte de las economías de los países europeos, conllevando a la bien conocida situación de países que como Grecia y España han tenido que soportar grandes privaciones económicas y fuertes protestas sociales.
En ese contexto, el desempleo de grandes masas de la población vuelve a surgir como la gran problemática social, objeto de preocupación y debate por parte de académicos, analistas sociales y tomadores de decisiones. Este hecho no sólo ocurrió en los países industrializados, sino también en los países en desarrollo, en los que se espera que en el mediano plazo también se expresen los impactos de la crisis.
Cifras de desempleo tan altas como las que se registran en España y Grecia, que para abril de 2012 son del orden del 24,4% y 22,5% respectivamente [1.2], ponen de manifiesto los niveles de dificultades sociales a los que puede conducir la actual crisis.
En Colombia, aunque la tasa de desempleo a mayo de 2012 fue de 10,7%, nivel levemente inferior al 11,2% registrado en el mismo mes de 2011 [3,4], nada autoriza a ser optimistas respecto a su comportamiento en medio de la crisis mundial ya referenciada. En efecto, a pesar de que los resultados de la economía colombiana en los últimos tres años han superado la media de los países latinoamericanos [5,6], diversos analistas y dirigentes del gobierno han comenzado a dejar establecidas algunas cautelas.
Para afrontar los problemas del desempleo, los gobiernos generalmente han acudido a diversas estrategias que pueden agruparse en activas y pasivas. Al primer tipo pertenecen las políticas de fomento al empleo, como son las que intentan estimular el crecimiento económico, incentivar las empresas privadas, fortalecer el sistema educativo en la formación para el empleo y aumentar la flexibilización laboral por vía de reformas a la normatividad. Del segundo tipo, hacen parte las políticas de protección y atención a los desempleados.
Con respecto a la protección y atención a los desempleados, los países industrializados de Europa y Norteamérica han tenido una larga tradición en la instauración de seguros contra el desempleo, intentando atenuar los efectos de los ciclos de la economía. Sin embargo, no ha ocurrido lo mismo en la generalidad de los países de América Latina, donde solo algunos de ellos, como es el caso de Argentina, Uruguay y Chile, adoptaron desde hace varias décadas un seguro al desempleo. Países como Brasil, Ecuador, México y Venezuela han adoptado la misma política más recientemente [7, 8,9].
En general, un seguro contra el desempleo se crea con propósitos principalmente anticíclicos, constituyéndose en un mecanismo que busca actuar como estabilizador del consumo y del bienestar de los desempleados en época de recesión y de crisis económica [7]. Es una prestación, generalmente monetaria, para dar seguridad a los trabajadores cesantes en lo relativo a sus ingresos y evitar cambios drásticos en el consumo de sus hogares durante el tiempo que dura el desempleo, así como otorgarles una base de estabilidad que permita la búsqueda de un nuevo empleo y la reincorporación al mercado de trabajo en condiciones propicias [10]. Las particularidades del seguro de desempleo en cada país, tales como: las fuentes de financiación, los requisitos de inclusión de beneficiarios, el monto y cobertura de dicho mecanismo de protección social, entre otras, están relacionadas con las concepciones de derechos y de justicia social que se tenga y con la solidez de sus respectivas economías.
En Colombia, el gobierno nacional anunció recientemente su intención de crear un seguro de desempleo, para lo cual se ha comprometido a presentar el respectivo proyecto de ley ante el Congreso de la República [11].
En relación con esta propuesta gubernamental, el antecedente más próximo de que dispone el país es el llamado subsidio al desempleo establecido en la Ley 789 de 2003[12]. Este subsidio asigna una contribución económica por una sola vez hasta un tope de 1,5 Salarios Mínimos Legales Vigentes, repartidos en seis cuotas mensuales iguales, a aquellas personas cabezas de hogar que hayan quedado desempleadas [13]. Este subsidio puede utilizarse en bonos de alimentación, de educación o para el pago de la cotización en el régimen contributivo del sistema de salud, según la elección del beneficiario.
El seguro de desempleo que ha sugerido este gobierno, estaría financiado para los trabajadores dependientes del sector formal de la economía, con los ingresos por cesantías a que tienen derecho y con recursos solidarios provenientes de los aportes parafiscales recaudados por las cajas de compensación familiar. Para los trabajadores independientes se presentaría la opción de acceder al seguro de desempleo mediante sus propios ahorros y optar adicionalmente a recursos solidarios de las cajas de compensación familiar si hubiesen estado afiliados a una de ellas. Los resultados que aquí se presentan corresponden a los siguientes objetivos de la investigación: 1) estimar las probabilidades de empleo de la fuerza laboral en el área metropolitana de Medellín en el año 2004; 2) analizar la duración del desempleo según las características individuales y el tiempo de búsqueda de empleo en un grupo de trabajadores cesantes del área metropolitana de Medellín en el año 2004.
Metodología
Se trató de un estudio descriptivo transversal que utilizó fuentes de información secundaria y primaria. La información secundaria fue la Encuesta Continua de Hogares (ECH) del Departamento Administrativo Nacional de Estadística (DANE), correspondiente al segundo trimestre de 2004 en el área metropolitana de Medellín [14].
La información primaria fue una encuesta aplicada a una muestra de 569 trabajadores de esta misma área metropolitana, que habían perdido el empleo en el periodo comprendido entre el 1 de agosto de 2003 y el 31 de octubre de 2004. La población de la cual provino esta muestra correspondió a las personas registradas en las bases de datos de Entidades Promotoras de Salud (en las cuales se reportaban las novedades por retiro de los cotizantes del régimen contributivo como consecuencia de la pérdida de empleo en el periodo de estudio) y en las bases de datos del Servicio Público de Empleo del Servicio Nacional de Aprendizaje (SENA) de la ciudad de Medellín.
En ambas fuentes se trabajó con las categorías de fuerza laboral ocupada y fuerza laboral cesante. La primera categoría se refiere a aquellas personas que estaban en edad de trabajar y manifestaron estar laborando por lo menos una hora a la semana. La segunda categoría está relacionada con los llamados trabajadores cesantes, o sea, aquellos que contaban con experiencia laboral previa a su condición de desempleados.
El logro del primer objetivo se soportó en la información de la ECH del dane. Para este propósito se utilizó una regresión binomial con función de enlace logístico, que permitió estimar las razones de posibilidades (OR) y las probabilidades de empleo-desempleo, según los perfiles sociolaborales. La significancia estadística de los coeficientes de regresión y del modelo en su conjunto se estableció a partir del estadístico de Wald y la prueba de Hosmer-Lemeshow. Para todas las estimaciones se calculó el intervalo de confianza del 95% (IC95%). El modelo logístico se estimó mediante el método de máxima verosimilitud, utilizando el programa SPSS V. 19.0 [15].
El logro del segundo objetivo se soportó en la encuesta realizada a los 569 trabajadores cesantes. Para este procedimiento se adaptó la técnica estadística de cálculo actuarial de tabla de supervivencia [16], a fin de estimar las probabilidades de permanencia en situación de desempleo según características individuales y duración de la búsqueda de empleo. Se realizaron estimaciones no paramétricas tipo Kaplan-Meier de las probabilidades de permanecer desempleado en intervalos sucesivos a partir del momento en que se perdió el último empleo. Se quiso caracterizar la duración del desempleo a partir de la estimación de la función de supervivencia y de la función de riesgo, las cuales informan sobre la probabilidad de que el tiempo de desempleo se extienda más allá de cierto número de meses y sobre la probabilidad condicionada de que el cesante logre un enganche laboral en un período dado. Las dos funciones, así como el test de Log-Rank de significación estadística, se estimaron con la ayuda del programa SPSS V. 19.0.
Resultados
Probabilidades de empleo y desempleo de la fuerza laboral del área metropolitana de Medellín, 2004
Conforme con la prueba de Hosmer-Lemeshow, el modelo logístico cuyos resultados se registran en la tabla 2 ofrece un óptimo ajuste y es estadísticamente significativo; su capacidad predictiva global es del 79,8%. Los coeficientes de las variables sexo, edad, educación y actividad económica, así como las OR asociadas, son en su totalidad estadísticamente significativas al 95% de confianza.
De acuerdo con la tabla 1 y atendiendo a los estimativos del or, resulta evidente que pertenecer al sexo masculino, con edad superior a los 28 años, nivel de educación media o superior y haber laborado en la industria, el comercio o el resto del sector de servicios, genera mayores probabilidades de empleo. De manera más específica se puede afirmar que una persona de sexo masculino tiene 1,5 veces más probabilidad de lograr un enganche laboral, respecto a una del sexo femenino.
Asimismo, en relación con las personas que sólo tienen educación primaria o menor, las que han logrado una formación media o superior tienen respectivamente 3,0 y 3,5 veces más probabilidades de encontrar empleo.
Lo propio puede afirmase de los antecedentes laborales según actividad económica desarrollada por la empresa en que se desempeñaron por última vez. En su orden es 1,6 y 1,4 veces más probable que un trabajador que haya laborado en el comercio o en los demás servicios resulte enganchado en un empleo, comparado con quienes hayan trabajado en la agricultura, la minería o la construcción. Con respecto a estos últimos, el haber trabajado en la industria ofrece casi el doble de probabilidades de conseguir un empleo (or 1,91).
De otro lado, es importante resaltar que la formación universitaria genera cerca de 1,7 (2,28/1,31) veces más probabilidad de empleo que la educación media. Con respecto a los de edad intermedia, los trabajadores que superan los 44 años de edad tendrían 1,2 veces más probabilidad de enganche en el mercado de trabajo (3,45/2,99).
Con la función logística enunciada más arriba y con los parámetros estimados del modelo, según la tabla 1, se calcularon las probabilidades de empleo de los distintos perfiles sociolaborales, arrojando los siguientes resultados: la mayor probabilidad de enganche laboral (0,94) se presentó para las personas de sexo masculino, edad igual o superior a 45 años, con nivel de educación universitaria y experiencia laboral en el sector de la industria.

Por su parte, la menor probabilidad de enganche laboral (0,41) la tuvieron las personas de sexo femenino, edad entre los 12 y 28 años, con nivel de educación primaria o menor y con experiencia laboral en el sector agrícola, minero o construcción.
Probabilidad de permanecer desempleado según tiempos de búsqueda de empleo de los trabajadores cesantes del área metropolitana de Medellín, 2004
En la encuesta aplicada a los 569 trabajadores cesantes, se registró una media de antigüedad en el último empleo de 21,7 meses, que contrasta con una duración media de 10,2 meses de búsqueda de empleo. Los mayores períodos de búsqueda (superiores al promedio general) se presentaron para las mujeres, los mayores de 44 años, las personas con educación secundaria y quienes habían laborado en los sectores económicos de la industria y el comercio.
Como era de esperarse, este estudio muestra que la probabilidad acumulada de permanecer desempleado se reduce a medida que se incrementa el tiempo de búsqueda de empleo, particularmente en el transcurso de los primeros cuatro meses. Del total de estos trabajadores cesantes, cerca del 13,8% encontró empleo antes de los dos primeros meses de búsqueda, generando en este intervalo de tiempo una probabilidad de permanecer desempleado del 86,2%. Para los primeros 4 y 6 meses de búsqueda, las probabilidades acumuladas de continuar desempleado se reducen en su orden al 73,8 y 67,3 por ciento (tabla 2 y figura 1).


Después de un año de búsqueda de empleo, la probabilidad de permanecer desempleado desciende lentamente con tendencia a estancarse alrededor del 35%. En estos casos se trataba de aquellos trabajadores que soportaban un desempleo estructural o de larga duración. En el transcurso de ese primer año de búsqueda, cerca del 45% de los trabajadores cesantes logró engancharse en un puesto de trabajo.
Es importante resaltar los datos correspondientes a la probabilidad condicional de permanecer desempleado. En efecto, la probabilidad de continuar desempleado en el cuarto mes de búsqueda, dado que se ha permanecido como tal en los dos meses inmediatamente anteriores, es del 85,6%. Para el intervalo inferior a 6 meses y para el superior a 8 meses de búsqueda, las probabilidades de continuar desempleado, dado que se ha permanecido como tal en los períodos previos, son en su orden del 91,2% y 86,4%.
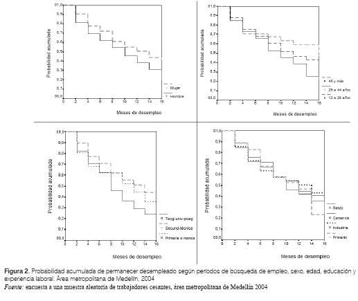
Atendiendo a los resultados del modelo logístico descrito, concernientes a las variables más relevantes de las probabilidades de empleo, se exploró igualmente la probabilidad de empleo y desempleo según meses de búsqueda para los siguientes atributos de los cesantes: sexo, edad, educación y actividad económica de la empresa en que laboró por última vez. En la perspectiva de un análisis bivariado, se estimaron las tablas de vida correspondientes [17] (tabla 3 y figura 2).


En la tabla 3 y en la figura 2 se puede observar la probabilidad de supervivencia acumulada según tiempo de búsqueda y los atributos ya mencionados. A lo largo de todos los intervalos de búsqueda, los hombres fueron quienes registraron menores probabilidades de permanecer desempleados, así como los más bajos promedios en tiempo de búsqueda de empleo (9,1 meses).
Según tramos de edad, hasta el cuarto mes de búsqueda, los mayores de 44 años registraron las más bajas probabilidades de permanecer desempleados. Después de los cuatro meses, aquellos con edades entre 29 y 44 años lograron una sostenida reducción en dichas probabilidades, al punto que alcanzaron menores promedios en tiempo de búsqueda de empleo (8,7 meses).
En relación con los niveles educativos, aquellos cesantes con menor formación académica se mostraban en disposición de asumir prontamente cualquier actividad laboral, de modo que sus probabilidades de permanecer desempleados en los primeros seis meses fueron relativamente más bajas. Sin embargo, después de estos seis meses, fueron los de formación universitaria los que más rápidamente lograron un enganche en el mercado de trabajo, con un promedio en tiempo de búsqueda de 7,5 meses.
En cuanto a los antecedentes laborales, el panorama parece ser más complejo. En el intermedio del cuarto al octavo mes, los enganches fueron más rápidos para los que venían laborando en el sector de la industria. En los primeros cuatro meses y los posteriores al octavo mes, los que tenían experiencia laboral en la actividad de servicios lograron colocarse más rápidamente en el mercado de trabajo, con un promedio en tiempo de búsqueda de 9,4 meses.
Discusión y conclusiones
Este estudio evidencia que en el área metropolitana de Medellín, en general fueron los cesantes de sexo masculino, de edades entre 29 y 44 años, con formación universitaria y experiencia laboral en el sector servicios los que registraron menores probabilidades de permanecer desempleados, así como los más bajos promedios en tiempo de búsqueda de empleo, con niveles por debajo del promedio total. Son estos trabajadores cesantes los que generarían, en ausencia de otras consideraciones, menor presión sobre las finanzas de un eventual seguro de desempleo en Colombia.
Conforme a lo anterior, quienes mayor demanda harían de un seguro al desempleo serían principalmente los trabajadores cesantes de sexo femenino, con edades inferiores a los 29 y superiores a los 45 años, sin formación universitaria y con experiencia laboral en sectores de la economía diferentes al de servicios. No sólo por lo señalado en relación con la duración media del período de desempleo, sino también porque su perfil socio laboral arroja menores probabilidades de lograr un enganche laboral.
En tanto este grupo poblacional es parte importante del conjunto de la población más vulnerable al desempleo, su condición debería orientar prioritariamente las características y el alcance del seguro al desempleo que se configure en Colombia como mecanismo de protección social.
Una consideración semejante se desprende de los estudios de Castelar [ 18] en la ciudad de Cali entre 1988 y 1998 y de Sánchez [ 18] en la ciudad de Bucaramanga en 2010, los cuales reportaron que la condición femenina y los niveles extremos de edad tenían efectos negativos sobre la duración del desempleo y las probabilidades de lograr un enganche laboral.
Para el nivel nacional, López [20 ] , Tenjo[ 21] , Viáfara et al[ 22] y Quiñones [23 ] , también en distintos periodos de análisis obtuvieron resultados similares a los nuestros y a los de Castelar y Sánchez, descritos atrás para el nivel local.
Martínez [24] y Oviedo [25] también encontraron para el nivel nacional desventajas en la duración de la búsqueda de empleo para las mujeres y para los de mayor edad. Ambos reportaron desventajas para los trabajadores cesantes con mayor nivel de educación. Este último resultado se distancia de lo encontrado en nuestro estudio y en otros de los ya citados, pero coincide con lo reportado por los estudios de Quiñones [24] y Oviedo [26].
En la propuesta que hoy se conoce del gobierno colombiano para crear el seguro al desempleo, se pretende que este tenga una duración máxima de seis meses y que su pago se haga efectivo a partir del mes siguiente al registro como desempleado. Este tiempo de protección al cesante parece ser muy corto si se atiende al promedio de duración del desempleo registrado en esta investigación (10,2 meses) y en otros estudios ya referenciados.
Al respecto, otro estudio con los trabajadores cesantes de Medellín realizado en el año 2007, período de notable crecimiento económico para el país, mostró que el tiempo promedio de desempleo de estos trabajadores alcanzó los 18 meses. Entre ellos, el 8,1% había estado desempleado menos de un mes; el 22,7% entre uno y 6 meses; el 20,7% entre 6 y 12 meses y el 48,5% 12 meses o más [26].
Viáfara et al [23], reportaron que en 2006 el 54% de los desempleados colombianos consiguió empleo después de las 52 semanas de búsqueda. Quiñones [24] por su parte encontró que en 2008 el 27,5% de los desempleados también debió esperar un período de búsqueda de 52 de semanas antes de alcanzar un enganche laboral. Estos datos han puesto en evidencia que buena parte del desempleo en Colombia es de larga duración y se muestra poco sensible en el corto plazo a las políticas orientadas a la estabilización macroeconómica.
Finalmente, cabe plantear algunas reflexiones adicionales en torno al proyecto anunciado por el gobierno colombiano [11]: En primer lugar, llama la atención que una de las dos fuentes de financiación de este seguro sea el 50% de las cesantías del trabajador, las cuales desde sus orígenes se constituyen en una de las grandes conquistas del trabajador colombiano, producto de sus luchas sindicales y sociales. Al respecto surgen interrogantes como los siguientes: ¿hasta dónde las cesantías son efectivamente un ahorro del trabajador del que sólo él, y no el gobierno, puede disponer?, ¿por qué el gobierno nacional no dispone de recursos fiscales para contribuir al financiamiento de este seguro?, ¿cuánto les significa a los trabajadores del país recibir sólo el 50% de los intereses a las cesantías y qué implicaciones tiene esto para su bienestar?, ¿se trata entonces de una reforma laboral disfrazada en tanto se están modificando derechos y prestaciones económicas del trabajador? De otro lado, el proyecto se propone reestructurar el actual subsidio al desempleo creado mediante la Ley 789 de 2003 [12], dejándolo sujeto a la disponibilidad presupuestal en tanto se priorizará la financiación del nuevo seguro de desempleo. Es de prever que con esta disposición se generaría un proceso de marchitamiento de dicho subsidio, lo cual dejaría sin protección a los trabajadores cesantes jefes de hogar procedentes de la economía informal, quienes actualmente son priorizados para la asignación de los beneficios de este subsidio.
Por último, llama la atención que se proponga la creación del Consejo Nacional de Desempleo, constituido exclusivamente por altos funcionarios del gobierno nacional (Ministros de Trabajo y de Hacienda y el Director de Departamento Nacional de Planeación), y no se contemple la representación y participación de los propios trabajadores. Esto no solo contraría los intereses gremiales de los trabajadores, sino también su derecho a la participación social y democrática, tal como lo establece la Constitución Política del país.
Notas al pie
* Proyecto de investigación financiado por el IDRC de Canada, la Universidad de Antioquia, el Fondo de Apoyo a la Investigación Docente de la Facultad Nacional de Salud Pública, la Dirección Seccional de Salud de Antioquia y la Secretaría de Salud de Medellín
Referencias [ Links ]
2 Diario El Espectador. Aumentó el desempleo en Gracias. Bogotá: julio de 2012. [ Links ]
3 Colombia. Departamento Administrativo Nacional de Estadística (DANE). Principales Indicadores del Mercado Laboral. Boletín de Prensa 29 de junio de 2012. Bogotá: DANE; 2012. [ Links ]
4 Colombia. Departamento Administrativo Nacional de Estadística (DANE) octubre de 2010. Resultados Nuevo Marco 2005. Bogotá: DANE; 2010. [ Links ]
5 Colombia. Departamento Administrativo Nacional de Estadística DANE. Producto Interno Bruto. Primer trimestre de 2012 - Base 2005. Boletín de Prensa No 9 del 21de junio de 2012. Bogotá: DANE; 2012. [ Links ]
6 Organización Internacional del Trabajo OIT. Panorama laboral 2011, América Latina y el Caribe. Lima: OIT; 2011. p 16. [ Links ]
7 Velásquez M. Seguros de Desempleo: ¿qué hacer en la fase de crecimiento? OIT Notas sobre la crisis 2010. Santiago de Chile: Organización Internacional del Trabajo; 2010. [ Links ]
8 Velásquez M. Seguros de desempleo, objetivos, características y situación en América Latina. Serie financiamiento del desarrollo No 133. Santiago de Chile: CEPAL; 2003. [ Links ]
9 Velásquez M. La protección frente al desempleo en América Latina. Serie financiamiento del desarrollo No 166. Santiago de Chile: CEPAL; 2005. p 29. [ Links ]
10 Ochoa S. El seguro de desempleo en México y el mundo. Reporte Temático No 3. México: Centro de Estudios Sociales y de Opinión Pública; 2005. p 17. [ Links ]
11 República de Colombia, Ministerio de Trabajo. Proyecto de Ley: por la cual se crea el Mecanismo de Protección al Cesante y se dictan otras disposiciones. Bogotá: El Ministerio; 2012 [ Links ]
12 Congreso de Colombia. Ley 789 de 2002: por la cual se dictan normas para apoyar el empleo y ampliar la protección social y se modifican algunos artículos del Código Sustantivo de Trabajo. Bogotá: El Congreso; 2002. [ Links ]
13 República de Colombia, Ministerio de la Protección Social. Decreto 2340 de 2003: por el cual se reglamenta la Ley 789 de 2002 en lo relacionado con la administración y gestión de los recursos para el crédito y se dictan medidas para acceder a los beneficios del Fondo para el Fomento del Empleo y Protección al Desempleado. Bogotá: El Ministerio; 2003. [ Links ]
14 República de Colombia, Departamento Administrativo Nacional de Estadística (DANE). Encuesta Continua de Hogares 2002 y 2004 Segundo Trimestre. Boletín de Prensa del 29 de agosto de 2005. Bogotá: DANE; 2005. [ Links ]
15 Hosmer, DW, Lemeshow, S. Aplied logistic regression. John Wiley y Sons editores. New York: 2000. [ Links ]
16 Huertas JA. Cálculo actuarial: contingencias de vida individual. Bogotá: Universidad Nacional de Colombia; 2001. [ Links ]
17 Organización Panamericana de la Salud. La tabla de vida: una técnica para resumir la mortalidad y la sobrevivencia. Boletín Epidemiológico 2003; 24(4) [ Links ].
18 Castellar C, Uribe J. Determinantes de la duración del desempleo en el área metropolitana de Cali 1988-1998. Rev. Sociedad y Economía 2006; 1. [ Links ]
19 Sánchez S. Duración del desempleo en Bucaramanga: un análisis de supervivencia, 2006. [Tesis]., Bogotá: Universidad Nacional; 2010. [ Links ]
20 López H. Mercado laboral urbano y desempleo friccional y estructural en Colombia: el papel del SENA. Rev. Planeación y desarrollo 1994; 25(2): 257-290. [ Links ]
21 Tenjo J. La duración y la incidencia del desempleo en Colombia: una nueva aproximación. Indicadores de Mercado Laboral. Bogotá: SENA; 1998. [ Links ]
22 Viáfara C, Uribe J. Duración del desempleo y canales de búsqueda de empleo en Colombia. Revista de economía institucional 2009; 11(21): 139-160. [ Links ]
23 Quiñones M. Canales de búsqueda de empleo y duración del desempleo en Colombia. Perfil de coyuntura económica No 16. Medellín: Universidad de Antioquia; 2010. [ Links ]
24 Martínez H. ¿Cuánto duran los colombianos en el desempleo y el empleo?: Un análisis de supervivencia. Archivos de Economía No 236. Bogotá: Departamento Nacional de Planeación; 2003. [ Links ]
25 Oviedo Y. Canales de búsqueda de empleo y duración del desempleo en el mercado laboral colombiano 2003. Rev. Sociedad y Economía 2007; 13. [ Links ]
26 Cardona A, Nieto E, Mejía LM. Características sociolaborales del no-aseguramiento en el régimen contributivo en salud de los trabajadores cesantes en la ciudad de Medellín, 2007. Rev Salud Pública de Medellín 2009;4(1): 49-66. [ Links ]












