Introducción
La concentración de substancias contaminantes en el aire depende de las fuentes de emisión existentes y de las condiciones de dispersión. Las fuentes de emisión pueden ser de dos tipos: fijas y móviles. La emisión de contaminantes debidos a fuentes fijas puntuales se da en mayores niveles en los usos del suelo asociados con la producción de la gran empresa, la producción en consolidación y el uso industrial 1) (2) (3. La emisión debida a fuentes móviles está asociada con la actividad del tráfico vehicular 4) (5. Esta información puede provenir de mediciones directas, encuestas de tráfico, o modelos de transporte para una red vial predeterminada 5) (6) (7 y su procesamiento permite calcular las emisiones asociadas a la actividad del sector transporte para las distintas categorías vehiculares 7) (8.
Para evaluar la calidad del aire en una región determinada, es necesario implementar algún método de monitoreo para muestrear, analizar y procesar en forma continua durante un periodo las concentraciones de contaminantes presentes en el aire. De igual manera debe tenerse en cuenta la normativa existente sobre la calidad del aire, lo cual implica una zonificación del área de influencia para realizar comparaciones entre las mediciones realizadas y umbrales máximos (UMax) y mínimos (UMin).
Para la toma de datos es fundamental tener una red de sitios de monitoreo y para definir la localización de los sitios es importante tener en cuenta las variables que afectan la dispersión de los contaminantes, un conocimiento de la distribución de las concentraciones de los contaminantes mediante la implementación de campañas de mediciones preliminares 9, la distancia a las fuentes de emisión 10 y condiciones y criterios de microlocalización de los sitios de monitoreo 11.
Según el Sistema de Información sobre Calidad del Aire del Ministerio de Ambiente Vivienda y Desarrollo Territorial (SISAIRE) de Colombia 11, los sitios de monitoreo se clasifican en tres niveles:
Nivel 1. Según el área en donde se encuentra el sitio de monitoreo, el área hace referencia a la distribución o densidad de las edificaciones, se clasifican en urbanas (área totalmente urbanizada), suburbana (área parcialmente urbanizada mezclada con áreas no urbanizadas con usos agrícolas, bosque, lagos, etc) y rurales (que no son de ninguno de los tipos anteriores).
Nivel 2. Según el tiempo de monitoreo, se clasifican en fijos (permanece en un punto fijo por más de un año) e indicativos (permanece en un punto fijo por periodos menores a un año).
Nivel 3. Según la influencia de los distintos tipos de fuentes emisoras, se clasifican en de tráfico (la fuente emisora es el tráfico rodado cercano), de punto crítico (la fuente emisora es el tráfico rodado cercano pero están ubicadas a nivel del suelo, muy usadas en estudios epidemiológicos), industriales (la fuente emisora son las zonas industriales) y de fondo (la fuente emisora no es directa sino la dispersión del contaminante por el régimen del vientos). Estos sitios de monitoreo a su vez pueden ser del nivel 1 y 2.
En este artículo planteamos un modelo de proximidad espacial a vías principales, usos industriales del suelo y zonas verdes para localizar sitios de monitoreo en redes urbanas de calidad de aire con base en criterios de análisis espacial. Se toma como caso de estudio la ciudad de Medellín, con los datos disponibles en nueve sitios de monitoreo de la concentración promedio mensual de PM10 [µgm/m3] entre enero de 2003 y diciembre de 2008 (Geographic Coordinate System: GCS MAGNA. Projected Coordinate System: MAGNA Colombia Bogotá, Projection Transverse Mercator) 12 (Tabla 1 y Figura 1).
Tabla 1 Descripción sitios de monitoreo.
| ID del sitio de monitoreo | X | Y | Descripción |
| 0 | 836785,411928 | 1191924,478836 | Municipio de Bello |
| 1 | 834995,210822 | 1183470,751388 | Edificio Miguel de Aguinaga |
| 2 | 832774,035375 | 1176575,161941 | Planta de Tratamiento de Agua San Fernando |
| 3 | 836221,830098 | 1174486,593983 | Municipio de Envigado |
| 4 | 833901,199034 | 1178597,426154 | Politécnico Colombiano Jaime Isaza Cadavid |
| 5 | 834995,210822 | 1185161,496878 | Universidad de Antioquia |
| 6 | 830188,189332 | 1180918,057218 | Universidad de Medellín |
| 7 | 832276,757289 | 1185725,078708 | Universidad Nacional |
| 8 | 832840,339119 | 1182277,283984 | Universidad Pontificia Bolivariana |
Metodología y modelo de proximidad espacial
El modelo de proximidad espacial y los mapas resultantes se implementan usando la herramienta Spatial Analyst® del software ArcMap® versión 10.3 de la tecnología ESRI, y consta de los siguientes procesos:
Entradas del modelo: inicialmente se toman los datos medidos en los sitios de monitoreo y se usan algoritmos de interpolación espacial geoestadísticos para caracterizar espacialmente mediante mapas, la concentración de PM10 en la ciudad de Medellín.
Calculo de distancias euclidianas y procesos de reclasificación: se calculan mapas de distancia a vías, a usos industriales y a zonas verdes. Los mapas se independizan de las unidades de longitud y se cualifica la proximidad a estos objetos espaciales mediante procesos de reclasificación.
Cálculo de factores de proximidad: con los mapas resultantes del proceso anterior, se calculan factores de proximidad a vías, a usos industriales, a zonas verdes y uno combinado de los tres anteriores. Luego estos factores se multiplican por los mapas del primer proceso.
Entradas del modelo
Inicialmente se explora el comportamiento espacial de los datos usando métodos geoestadísticos. En un trabajo anterior de los autores 13 se encontró que el modelo J-Bessel representaba mejor la variografía de los datos. Con este modelo se obtienen mapas de interpolación espacial con una confiabilidad de estimación promedio de 84% (100% - RMSpromedio), en donde RMSpromedio es el valor promedio de la raíz del error cuadrático medio de todos los meses con una desviación estándar de 1.8. Estos mapas caracterizan espacialmente el PM10 para cada mes del año y se denotarán como Ii en el modelo (i = 1...12). En la Figura 2, se muestra como ejemplo la caracterización de tres meses: dos con los mayores valores de concentración (marzo, octubre) y uno con los menores valores (junio).

Figura 2 Caracterización espacial de PM10 (Ii) en marzo (MR), junio (JN) y octubre (OC), respectivamente.
Otras entradas en el modelo son: un mapa de vías secundarías, un mapa de vías principales, un mapa de usos industriales del suelo y un mapa de zonas verdes.
En la Figura 3, se muestran las vías, los usos industriales y las zonas verdes.
Calculo de distancias euclidianas y procesos de reclasificación
A partir de los mapas de vías, usos industriales y zonas verdes, mediante funciones de análisis espacial se calculan las distancias euclidianas a vías, usos del suelo y zonas verdes. Para calcular las distancias a las vías y generar corredores de proximidad a ellas, se calculó la distancia a vías principales hasta 25 m y a las vías secundarías hasta 10 m 5) (7. Para el caso de la distancia a usos industriales, se generó un corredor de proximidad hasta una distancia máxima de 1500m 2) (3 y para las zonas verdes un corredor de proximidad hasta una distancia máxima de 250 m 9) (14. El corredor de proximidad supone que esa es la distancia dentro de la cual se tienen efectos significativos de las vías, los usos industriales y las zonas verdes sobre la concentración de PM10. Con este proceso se obtienen cuatro mapas de distancias: a vías secundarias (O1), a vías principales (O2), a usos industriales (O3) y a zonas verdes (O4). Para independizar los mapas de distancia de sus unidades de longitud y cualificar la proximidad, se usan funciones de reclasificación espacial con el método “equal interval” usando la escala 1, 2, 3, 4 y 5, en la que 5 indica mayor proximidad y 1 menor proximidad para el caso de la distancia a industrias y a vías, y viceversa para el caso de la distancia a zonas verdes (Figura 4).

Figura 4 Esquema de valoración del efecto de contaminación por proximidad: a) a vías principales, b) a centros de zonas industriales y c) a centros de zonas verdes. Obsérvese que la proximidad de las zonas verdes es contraria a las otras dos, ya que su efecto es amortiguador de la contaminación.
De esta forma se obtienen cuatro mapas de distancia reclasificados respectivamente (OR1, OR2, OR3 y OR4). Como ejemplo de los mapas obtenidos, en la Figura 5a se muestra simultáneamente una ampliación de los mapas OR1 y OR2, en la Figura 5b el mapa OR3 y en la Figura 5c el mapa OR4.
Cálculo de factores de proximidad
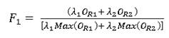
Se calculan tres factores de proximidad para hacer ajustes a los mapas de caracterización espacial de PM10 por proximidad a vías, usos del suelo y zonas verdes. Estos factores son la normalización porcentual de los mapas reclasificados de distancia. El primer factor (F1) normaliza los mapas reclasificados de distancia a vías y se calcula mediante la Ecuación 1.
En donde λ 1 y 𝜆 2 son los pesos ponderados de OR1 y de OR2, calculados mediante métodos de análisis multicriterio (en este caso, se usa el proceso jerárquico analítico AHP de Saaty, referido por Gass y Fu 15. Siendo OR2 más importante que OR1, los pesos calculados con el algoritmo AHP fueron 𝜆 1 = 0.83 y 𝜆 2 = 0,17. La función 𝑀𝑎𝑥 𝑂 𝑅𝑗 , calcula el valor máximo de ORj tomando en cada celda una vecindad rectangular de 3×3 celdas mediante funciones de estadística de bloque.
Los factores F2 y F3 normalizan los mapas reclasificados de distancia a usos industriales (OR3) y zonas verdes (OR4) respectivamente y se calculan mediante la Ecuación 2.
Con los factores F1, F2 y F3 se calcula, mediante la Ecuación 3, un factor total (FT) que incluye la proximidad combinada a vías, usos industriales y zonas verdes; siendo wi los coeficientes de ponderación de los factores (para el caso que presentamos en este artículo w1=1, w2=0,2 y w3=0,2).
Con FT se hacen los ajustes por proximidad (OPi) a los mapas de caracterización espacial de PM10 (Ii) mediante la Ecuación 4.
Análisis de resultados
En la Figura 6 se muestran los resultados obtenidos con el modelo de proximidad por efecto combinado de vías, usos industriales y zonas verdes, particularmente en los meses de marzo, junio y octubre (los mapas de los otros meses se pueden ver en la URL tesislibardolondono.aula.com.co, previa solicitud de acceso a los autores vía email).
La Figura 7 muestra un acercamiento de la Figura 6 en el centro de la ciudad, en donde se aprecia que el efecto de la proximidad a las vías principales es muy significativo. La región de la vía que tiende al color rojo representa un mayor valor de la concentración y esto se da en los lugares más cercanos al eje de la vía. También en las intersecciones de las vías y en las rotondas, que corresponden a zonas de alto flujo vehicular.

Figura 7 Concentración de PM10 en el centro de la ciudad en marzo (MR), junio (JN) y octubre (OC); respectivamente.
La Figura 8 muestra un acercamiento de la Figura 6 en la zona centro sur de la ciudad entre los sitios de monitoreo 2 y 4 en donde se encuentra la mayor concentración de industrias y vías de alto flujo vehicular como la autopista sur, la avenida del río y la avenida Las Vegas. En esta zona se da un doble efecto que aumenta la concentración de PM10 por proximidad a vías y proximidad a usos industriales.

Figura 8 Concentración de PM10 en la zona centro sur de la ciudad en los meses de marzo (MR), junio (JN) y octubre (OC).
La Figura 9 muestra un acercamiento de la Figura 6 en la zona de la ciudad entre los sitios de monitoreo 5, 7 y 8 en donde se encuentran zonas verdes como el jardín botánico y el cerro del Volador (polígonos con recuadro en blanco) y la zona industrial del barrio Caribe (polígono en color morado) atravesada por la autopista norte. En esta zona se da un triple efecto sobre la concentración de PM10: la proximidad a vías más la proximidad a zonas verdes y a usos industriales. Este efecto tratará de aumentar la concentración de PM10 por proximidad a vías e industrias y simultáneamente tratará de atenuarlo por proximidad a zonas verdes.

Figura 9 Concentración de PM10 en la zona entre los sitios de monitoreo 5, 7 y 8 en marzo (MR), junio (JN) y octubre (OC)
Las Figuras 7 a 9 muestran el efecto que tiene la proximidad a fuentes emisoras (que tienden a aumentar la concentración) y a fuentes disipadoras (que tienden a disminuir la concentración) al momento de localizar adecuadamente los sitios de monitoreo que midan la concentración del material particulado. Estos resultados son la base para proponer la configuración de una red de vigilancia que adicionalmente debería tener en cuenta:
Las intersecciones de las vías principales y las rotondas en donde se podrían dar condiciones críticas para aumentar la concentración del contaminante.
Las vías que atraviesan industrias dado que en ellas se tiene un efecto doble que aumenta la concentración.
Las vías que atraviesan zonas verdes porque en estas vías se tiene un efecto doble que aumenta y atenúa simultáneamente la concentración.
Las vías que atraviesan usos industriales y zonas verdes por el efecto triple que aumenta la concentración por proximidad a la vía y a las industrias, y simultáneamente la atenúa por proximidad a las zonas verdes.
La proximidad a usos industriales en donde aproximadamente el centro de los polígonos de usos industriales sería un buen sitio de monitoreo.
La proximidad a zonas verdes en donde aproximadamente el centro de los polígonos de zonas verdes sería un buen sitio de monitoreo.
La proximidad a usos industriales y zonas verdes en donde aproximadamente el centro de la intersección de los polígonos, sería un buen sitio de monitoreo con efectos dobles de aumento y atenuación simultánea.
Con base en las consideraciones anteriores, se podría definir una red de sitios de monitoreo como la que se propone en la Figura 10. La tabla 2 muestra la tipología de los sitios de monitoreo de la Figura 10.
Tabla 2 Tipología de los sitios de monitoreo de la Figura 10.
| ID sitio de monitoreo | X | Y | Nombre vía | Tipología del sitio de monitoreo |
| 1 | 835821,4600 | 1189056,5159 | Autopista Norte con Calle 111 | Punto Crítico - Efecto Industrial -Efecto zona verde |
| 2 | 834727,8849 | 1186933,0582 | Autopista Norte con puente Madre Laura | Punto Crítico |
| 3 | 834363,3883 | 1185282,4638 | Rompoy Punto Cero | Punto Crítico - Efecto Industrial |
| 4 | 833245,6555 | 1185008,4703 | Cerro Volador | Fondo - Efecto zona verde |
| 5 | 834528,9797 | 1184135,1562 | Rompoy Plaza Minorista | Punto Crítico - Fondo |
| 6 | 835066,2914 | 1183894,6824 | Av. Oriental con Carabobo | Punto Crítico - Fondo |
| 7 | 835323,7063 | 1182929,3051 | Av. Oriental con Colombia | Punto Crítico |
| 8 | 834253,8655 | 1183444,3812 | Av. Colombia con Av. Ferrocarril | Punto Crítico |
| 9 | 834006,5425 | 1183564,7015 | Av. Colombia con Autopista Norte | Punto Crítico |
| 10 | 832932,4610 | 1184084,5628 | Av. Colombia con Carrera 70 | Punto Crítico |
| 11 | 831832,5504 | 1184585,3842 | Rompoy de la 80 con Colombia | Punto Crítico |
| 12 | 831234,0130 | 1183174,7061 | Rompoy de la 80 con San Juan | Punto Crítico |
| 13 | 832410,9776 | 1183060,7730 | Av. San Juan con Carrera 70 | Punto Crítico - Efecto zona verde |
| 14 | 833589,5533 | 1182912,8689 | Av. San Juan con Av. Bolivariana | Punto Crítico |
| 15 | 834209,6940 | 1182700,7333 | Av. San Juan con Av. Ferrocarril | Punto Crítico - Efecto Industrial |
| 16 | 834824,2007 | 1182481,7239 | Av. San Juan con Av. Palacé | Punto Crítico |
| 17 | 835067,7625 | 1182396,6045 | Av. San Juan con El Palo | Punto Crítico - Efecto Industrial |
| 18 | 832595,3343 | 1181918,8572 | Rompoy Av. 33 con Av. Bolivariana | Punto Crítico |
| 19 | 831148,9472 | 1181837,4766 | Rompoy Av. 33 con Av. 80 | Punto Crítico |
| 20 | 831241,6636 | 1180988,9103 | Rompoy Av. 30 con Av. 80 | Punto Crítico |
| 21 | 834021,0609 | 1181085,5504 | Av. 30 con Av. Guayabal | Punto Crítico - Efecto Industrial -Efecto zona verde |
| 22 | 834305,5055 | 1181062,6192 | Av. 30 con Av. Industriales | Punto Crítico - Efecto Industrial |
| 23 | 834562,4839 | 1179999,3490 | Ciudad de rio | Efecto Industrial |
| 24 | 833611,1277 | 1179468,0478 | Rompoy Av. Guayabal con Calle 10 | Punto Crítico - Efecto Industrial |
| 25 | 832748,5981 | 1179793,4145 | Aeropuerto Olaya Herrera | Fondo - Efecto Industrial |
| 26 | 832921,9827 | 1178053,1046 | Rompoy Av. Guayabal con Av. 80 | Punto Crítico - Efecto Industrial |
| 27 | 833531,5713 | 1177153,1965 | Autopista sur con la Aguacatala | Punto Crítico - Efecto Industrial |
| 28 | 833820,5123 | 1177114,6665 | Av. Las Vegas con la Aguacatala | Punto Crítico |
Con una configuración de sitios de monitoreo como la propuesta en la Figura 10, sería posible realizar campañas de mediciones preliminares de material particulado, relocalizar y complementar los sitios de monitoreo existentes y hacer mediciones para correlacionarlas con los efectos sobre la salud debidos a la exposición directa y de largo plazo a este contaminante. Adicionalmente se estimó el valor mensual en cada sitio de monitoreo de la Tabla 2 y se calculó su intervalo de confianza. En la Tabla 3 se muestran los cálculos para los meses de marzo (FTMR), junio (FTJN) y octubre (FTOC).
Conclusiones
El modelo propuesto presenta una metodología que utiliza Sistemas de Información Geográfica, procesos de interpolación geoestadísticos y herramientas de análisis espacial para estimar la concentración de material particulado PM10 por proximidad a vías, zonas industriales y zonas verdes. Esta metodología se podría utilizar en cualquier otra variable que cumpla con el principio de autocorrelación espacial y de la cual se necesite definir una red de sitios de monitoreo: se densifica con un interpolador espacial para caracterizarla espacialmente, se calculan distancias a objetos que afecten su valor por proximidad a ellos, se calcula un factor de proximidad combinado a los objetos, se corrigen por proximidad los mapas de caracterización espacial, se hace un análisis de los mapas obtenidos y se propone la red de sitios de monitoreo.
Para el caso de los factores del modelo, en el factor F1 se dio importancia a las vías principales por encima de las secundarias ( 𝜆 1 igual a 0.83). Para el caso de los factores F2 y F3 se supuso una variación lineal de 0,2 a 1 con pasos de 0,2, siendo 1 la mayor proximidad a las industrias para F2 y 0,2 la mayor proximidad a las zonas verdes para F3. Futuros estudios podrían cambiar estas variaciones con modelos no lineales y analizar los resultados obtenidos.
Para el caso del factor de efecto combinado FT, se supuso que el eje central de las vías principales contribuye el 100% sobre la concentración de PM10, las zonas industriales contribuyen con un aumento del 20% y las zonas verdes contribuyen con una atenuación del 20%. Por lo tanto, la concentración de PM10 debido al efecto de la proximidad combinada varía entre el 80% del valor estimado cuando sólo se presenta atenuación por proximidad a zonas verdes y el 120% para el caso de aumento por proximidad simultánea a industrias y vías principales con ausencia de zonas verdes. Se podrían suponer otros valores para las contribuciones y las atenuaciones de la concentración debido a la proximidad combinada y hacer análisis comparativos de resultados.
El modelo de proximidad ofrece una caracterización rápida del comportamiento del material particulado en toda el área metropolitana del Valle de Aburrá para cada mes del año y aporta criterios espaciales para localizar sitios de monitoreo cercanos a puntos críticos de emisión y de atenuación como se muestra en el mapa de la Figura 10. La tipología de los sitios de monitoreo se define en la Tabla 2 y adicionalmente se estiman datos para la concentración del material particulado en ellos (Tabla 3). Estos resultados aportan información para una gestión epidemiológica del territorio orientada a minimizar el riesgo por exposición directa y de largo plazo a este tipo de contaminantes.






















