1. Introduction
In this note we study nonlinear evolution equations of the form
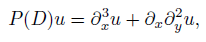
where P(D)u :=
, ∈
, with a00 = 0, and n ∈ {1, 2, 3, . . . }. Some well-known models belong to the class defined by (1) (see [1] and [17]). For instance, the Zakharov-Kuznetsov (ZK) equation, for which
and l = 1. The ZK equation is a bidimensional generalization of the Korteweg-de Vries (KdV) equation which is a mathematical model to describe the propagation of nonlinear ion-acoustic waves in magnetized plasma ([18]). Some aspects concerning the behavior of the solutions of the ZK equation has been studied in [3], [7], [13], [12], [14].
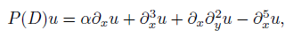
The class defined by (1) also includes the two dimensional Kawahara equation, for which
where α is equal to 1 or 0 (see [11] and references therein), and the Kawahara-Burgers equation (see [10] and references therein). Both of them are perturbations of the (ZK) equation.
In 2011, Bustamante, Isaza and Mejía, in [6], proved that if the support of a sufficiently smooth solution of the ZK equation u is contained in a square at two different times, then the solution must vanish. To obtain this, they first prove that if the hypotheses mentioned are satisfied, then exists a square in which the support of u is contained for all times. Then, using a result obtained by Panthee in [16], they manage to prove that u = 0.
Our main result is a generalization of the one concerning the support of the solutions of the ZK equation achieved in [6]. Specifically, we extend it to the general case of
2 , showed in equation (1), and we present it in detail in the following theorem.
Theorem 1.1. Let n ∈
, and P(D) the operator defined by
Suppose that u ∈ C([0, T]; Hs (
2 ))∩L∞([0, T];L2 (e2β|x| e2β|y|dxdy)) ∩C1 ([0, T];L2 (
2 )), s > n (in any case
s > 3) for every β > 0, and that u is a solution of (1) in [0, T] ×
2 . If supp u(0) and supp u(T) are contained in [−B, B] × [−B, B] for some B > 0, then there exists R
0 > 0 such that supp u(t) ⊂ [−R
0
, R
0] × [−R
0
, R
0] for every t ∈ [0, T]. (See the definition of the space L2 (e2β|x| e2β|y|dxdy) below).
In the proof of Theorem 1.1 we follow the ideas of Bustamante, Isaza and Mejía in [6] for the ZK equation, and Kenig, Ponce and Vega in [9] for the generalized Korteweg-de Vries (KdV) equation.
It is possible to extend the result of Theorem 1.1 to the general case where P is a polynomial with n spatial variables. This would allow to study dispersive equations in higher dimensions. In particular, the use of a result like this, together with the techniques developed by Bourgain in [4], would permit to obtain unique continuation principles to dispersive models in high spatial dimensions.
This paper is organized as follows: in Section 2, we present an interpolation result which allows to obtain estimates for the spatial derivatives of a function with certain regularity. It is at this point where the restriction s > 3 is needed. In Section 3, we prove a Carleman estimate of L2 − L2 type. Finally, in Section 4, we establish Theorem 1.1.
Throughout this article the symbol ˆf will denote the spatial Fourier transform of a function f in
2 . We say that a function f belongs to the weighted L2 space, L2 (e2β|x| e2β|y|dxdy), if it is true that eβ|·x| eβ|·y|f ∈ L2 (
2 ); i.e. if
In a similar way the spaces L2 (e2βxdxdy) and L 2 (e2βydxdy) are defined.
With respect to the weighted Sobolev space Hn (e 2β|x| e 2β|y|dxdy), that we use in Theorem 3.2, we say that a function f belongs to this space if e β|·x| e β|·y|f ∈ Hn (
2 ). This is true if
Besides, the letter C will denote diverse positive constants which may change from line to line and depend on parameters which are clearly established in each case.
2. Preliminary Estimates in Weighted Sobolev Spaces
The following lemma is an interpolation result and can be proved using the Hadamard Three-lines theorem in a similar way than Lemma 4 in [15] . We omit its proof here.
Lemma 2.1. For s > 0 and β > 0 let f ∈ Hs (
2 ) ∩ L2 (e2βxdxdy). Then, for θ ∈ [0, 1],
where [Js f] ∧(ξ) := (1 + |ξ|2 ) s/2
(ξ) and C = C(s, β). Similarly, if f ∈ Hs (
2 ) ∩ L2 (e2βydxdy), then, for θ ∈ [0, 1],
Remark 2.2. If u ∈ C([0, T]; Hs (
2 )) ∩ L∞ ([0, T];L2 (e2β|x| e2β|y|dxdy)) for every β > 0, with s > 3, it is easy to see that there exists C1 > 0 and C2 > 0 independent of t, such that
And
for every t ∈ [0, T]. In fact, using the Sobolev embedding H 2 (
2) ⊂ L∞ (
2 ) we have that there exists C > 0 such that
Since s > 3, we can use Lemma 2.1 taking θ := 3/s and β: = (1 − 3/s) −1 to conclude, by inequality (2), that
and
which is (4). Obviously, (5) follows in an analogous way, using (3) instead of (2).
3. Estimates of the Carleman Type
The following lemma is used in the proof of the Carleman estimates (Theorem 3.2) and it justifies the formal computation of the temporal derivative of
(ξ) and
(ξ). Its proof is taken from [6] and it is presented here for the sake of completeness.
Lemma 3.1. Let w ∈ C1 ([0, T];L 2 (
2)) be a function such that for all β > 0, w is bounded from [0, T] with values in L2 (e2β|x| e 2β|y|dxdy) and w ′ ∈ L1 ([0, T];L2 (e2β|x| e2β|y|dxdy)). Then, for all λ ∈ R and all ξ = (ξ1, ξ2) ∈
2 , the functions t →
(ξ) and t →
(ξ) are absolutely continuous in [0, T] with derivatives
(ξ) and
(ξ) a.e. t ∈ [0, T], respectively.
Proof. By symmetry, it is sufficient to prove the lemma only for the weight e λx. It is easy to see that for all t ∈ [0, T] and λ ∈
, e λxw(t) ∈ L1 (
2 ), and also that e λxw ′ ∈ L1 (
2 × [0, T]) for all λ ∈
. For R > 0, let χR be the characteristic function of the square [−R, R] × [−R, R]. Since w ∈ C 1 ([0, T];L 2 (
2)),
defines a C1 function of the variable t with derivative given by
and in consequence
The lemma follows from the former equality by an application of the Lebesgue Dominated Convergence Theorem.
The following theorem is the main result of this section. It is a Carleman estimate of L2 − L2 type and it is crucial in the proof of Theorem 1.1.
Theorem 3.2. For n ∈
, let w ∈ C ([0, T]; Hn (
2 )) ∩ C1 ([0, T];L2 (
2)), be a function such that for all β > 0,
(i) w is bounded from [0, T] with values in H n (e2β|x| e2β|y|dxdy), and
(ii) w ′ ∈ L1 ([0, T];L 2 (e 2β|x| e 2β|y|dxdy)).
Then, for all λ ‡ 0,
||eλxw|| L2(R2) ≤ ||e λxw(0) ||L2(R2) + ||e λxw(T) || L2(R2) + ||e λx(w ′ + P(D)w) || L2(R2×[0,T]), where P(D) is the operator defined by
with ajj′ ∈
for j, j′ = 0, . . . , n, and a00 = 0.
A similar estimate also holds with y instead of x in the exponents.
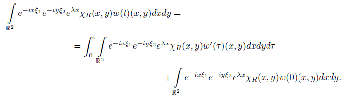
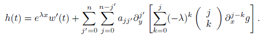
Proof. Let us define g(t) := e λxw(t) and h(t) := e λx(w ′ (t) + P(D)w(t)). Taking into account that we can write
we have that
This way,
Since w(t) ∈ Hn (e2β|x| e2β|y|dxdy) for all β > 0, t ∈ [0, T], and w ′ ∈ L 2 (e 2β|x| e 2β|y|dxdy) for all β > 0 a.e. t ∈ [0, T], by using the Cauchy-Schwarz inequality, it can be seen that h(t) ∈ L1 (
2) a.e. t ∈ [0, T]. We take the spatial Fourier transform to h and apply Lemma 3.1 to obtain
a.e. t ∈ [0, T], where ξ ≡ (ξ1, ξ2). Taking into account that the expression between squared parentheses is a polynomial function of the variables ξ1 and ξ2, with complex coefficients, the former equality can be written in the way
where mλ and aλ are polynomial functions in
2 . We do not show interest in the precise form of mλ(ξ) and aλ(ξ) because when we estimate |
(ξ)| we only use the fact that mλ(ξ) ∈
and aλ(ξ) ∈
, considering two cases: aλ(ξ) ≤ 0 and aλ(ξ) > 0, as we can see below.
(i) When aλ(ξ) ≤ 0, we solve (7) integrating between 0 and t to obtain
for every t ∈ [0, T]. Since mλ(ξ) ∈
and aλ(ξ) ≤ 0, we have that
for every t ∈ [0, T] and each τ ∈ [0, t]. Thus, in this case,
for each t ∈ [0, T].
(ii) When aλ(ξ) > 0, we solve (7) this time integrating between t and T to obtain
for every t ∈ [0, T]. Since mλ(ξ) ∈
and aλ(ξ) > 0, we have that
for every t ∈ [0, T] and each τ ∈ [t, τ ]. Thus, in this case,
for each t ∈ [0, T].
From (8) and (9) we can conclude that, in any case, for every t ∈ [0, T],
Hence, by Plancherel’s Formula,
The proof of the estimate with the weight e λy is similar.
4. Proof of Theorem 1.1
Let
∈ C∞(
) a non-decreasing function such that
(x) = 0 for x < 0, and
(x) = 1 for x > 1 and, for R > B, let ϕ(x) ≡ ϕR(x) :=
(x − R). We define w ≡ wR: = ϕ(x)u, and v ≡ vR: = ϕ(y)u. It is easy to check that w and v satisfy the hypotheses of Theorem 3.2. Taking into account that w(0) = w(T) = 0, from Theorem 3.2, we conclude that, for every λ /= 0,
As in the proof of Theorem 3.2, we take into account that
Hence,
Therefore, from (10), and (1), we conclude that
where
Since all the derivatives of ϕ are supported in [R, R + 1], let us observe that
F1ϕ,u| ≤ max{ajj′: j = 1, . . . , n; j ′ = 0, . . . , n − 1}·
(here χA is the characteristic function of a set A). Then, for λ > 1,
and ||e λx F1π, u|| L2(R2×[0,T]) ≤ Ceλ(R+1), where C = C (||u||C([0,T];Hn−1(R2))) is independent from λ and R. Therefore
Using (4) we have that ||∂xu|| L∞([R,∞)×R×[0,T]) ≤ C1e −R. Besides, employing the Sobolev immersion H2 (
2) ⊂ L∞(
2),
This way
Since ϕ is a bounded function, from the hypotheses it is clear that ||e λxϕu|| L2(R2×[0,T]) < ∞. Hence, taking R > B such that C1e−R < 1/2, we obtain
Thus, since ϕ(x) = 1 for x ≥ 2R,
for all λ > 0, where C is independent from λ. If we choose R > 1 and let λ → +∞, it follows that
Therefore u ≡ 0 in [2R, ∞) ×
× [0, T]. Now, taking into account the symmetry of the operator P(D), it is easy to see that
Then, reasoning as above, using (5) instead of (4), we can conclude that there exists
> 0 such that u ≡ 0 in R × [2
, ∞) × [0, T]. Taking R0: = max{2R, 2
}, we have that supp u(t) ⊂ [−R0, ×R0] × [−R
0, R0] for every t ∈ [0, T].































































