1. Introducción
En la actualidad los anillos de Galois han adquirido notoriedad en las áreas de la teoría de códigos (cf. [1], [8], [11], [15], [18]) y la criptografía (cf. [3], [14]), entre otras. La teoría de códigos y la criptografía inmersas en las Matemáticas y en otras disciplinas tales como las ciencias de la computación e ingeniería eléctrica, están enfocadas en la optimización de la fiabilidad y seguridad de las comunicaciones digitales. A grandes rasgos, la fiabilidad significa corrección de errores mientras que la seguridad significa prevenir el acceso no autorizado de intrusos.
La teoría de códigos algebraicos sobre anillos finitos conmutativos con identidad adquirió relevancia con los trabajos de Nechaev [13] y Hammons et. al., [7]. Los anillos de Galois, al pertencer a esta familia de anillos, también han tenido una participación activa en el desarrollo de esta teoría (cf. [8], [11], [12] y [18]).
En el presente artículo estudiamos una forma de operar las µ-reducciones de las componentes p-ádicas de los elementos del anillo de Galois R = GR (p 3 , m) y un isomorfismo entre éste y el anillo truncado de vectores de Witt de longitud 3, W3(
pm), para posteriormente a través de la isometría de Gray, dar condiciones necesarias y suficientes para que la imagen bajo la función de Gray de un R-código consta-cíclico sea un
pm-código cuasi-cíclico.
En la Sección 2 revisamos los anillos de Galois (cf. [17]), el enfoque está centrado principalmente en las propiedades básicas y una caracterización de los mismos. En la Sección 3, examinamos el formalismo de la construcción del anillo de vectores de Witt, para tal propósito nos basamos en [6] y [9]. Después, en la Sección 4, comentamos el isomorfismo entre los anillos de Galois de índice de nilpotencia n y el anillo truncado de vectores de Witt de longitud n dado en [16]. Posteriormente, en la Sección 5, se presentarán fórmulas para las µ-reducciones de las componentes p-ádicas de la adición en R y el producto de un elemento arbitrario de R con una unidad de la forma λ = 1 − p 2 . Finalmente, en la Sección 6, establecemos condiciones necesarias y suficientes para que la imagen bajo la función de Gray de un R-código consta-cíclico sea cuasi-cíclica sobre
pm.
2. Anillos de Galois
Los anillos de Galois son extensiones únicas del anillo de clases residuales
ps =
/ps
con s un entero positivo y p un número primo. Estos anillos (en particular
4) resultaron de importancia en los años 90, en el estudio de la caracterización de la estructura algebraica de los códigos cíclicos lineales sobre
4. En [7] Hammons et. al., demostraron que el código de Kerdock, es la imagen de Gray de un código cíclico lineal extendido sobre
4 (un análogo en
4 de los códigos de Reed-Muller de primer orden); más aún, se demostró que los códigos de Preparata son a su vez análogos en
4 a los códigos extendidos de Hamming. A partir de estos trabajos, los anillos finitos de cadena (a los cuales pertenecen los anillos de Galois) cobraron importancia en la teoría de códigos algebraicos (cf. [2], [4]).
Una particularidad que acompaña a los anillos de Galois (y que les da su nombre) son las múltiples similitudes con los campos finitos (cf. [10]). A continuación revisaremos los conceptos y propiedades principales de estos anillos.
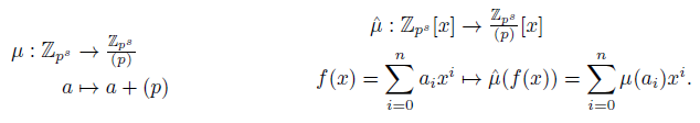
Sean s un entero positivo y p un número primo. Denotamos por
ps =
/ps
el anillo de clases residuales módulo ps ,
ps [x] el anillo de polinomios en la indeterminada x con coeficientes en
ps y denotamos al ideal principal {p1} mediante (p). Definimos las funciones:
Se tiene que µ,
son homomorfismos sobreyectivos llamados µ-reducción y µˆ-reducción respectivamente. Puede apreciarse que µˆ es una extensión natural de µ sobre el anillo de polinomios
ps [x]. Un polinomio mónico f(x) ∈
ps [x] será llamado básico irreducible (resp. básico primitivo) si µˆ(f(x)) ∈
p[x] es irreducible (resp. primitivo).
Definición 2.1. Sea p un número primo. Un anillo finito R, conmutativo con identidad 1, es un anillo de Galois, si el conjunto de sus divisores de cero D, con el cero añadido, forman un ideal principal generado por 0 o por p1.
Ejemplo 2.2. Algunos ejemplos de anillos de Galois son:
Sea R un anillo de Galois, entonces contiene un subanillo isomorfo a
ps el cual denotaremos por Zps = {n1 : n ∈
} y todos sus ideales son de la forma pk con k ∈ {0, 1, . . . , s}, formando la cadena
Obsérvese que el ideal principal (p) es el único ideal maximal de R, es decir, R es un anillo local y su campo residual RF = R/(p) es isomorfo a
pm para algún entero positivo m. Un teorema de caracterización para los anillos de Galois es el siguiente:
Teorema 2.3.
Dados enteros positivos p, m, s con p un número primo, existe un polinomio básico primitivo h(x) en
ps [x] de grado m y:
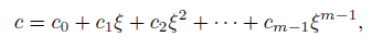
Las unidades del anillo R forman un grupo multiplicativo en el cual existe un elemento1 ξ de orden pm − 1 y que es raíz del polinomio h(x). El conjunto T = 0, 1, ξ, . . . , ξpm−2 es llamado conjunto de Teichmuller y está constituido por representantes del campo residual RF en el anillo de Galois. En [17] se demuestra que cada elemento c ∈ R tiene una única representaciónp-ádica dada por:
donde ρi(c) ∈ T con 0 ≤ i ≤ s − 1. También, cada elemento de R, posee una única representación de la forma:
con ci ∈
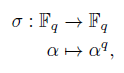
ps para 0 ≤ i ≤ m − 1, llamada representación aditiva. Dicha representación es de suma utilidad cuando se desea trabajar con morfismos sobre el anillo de Galois R en particular resulta conveniente para definir el automorfismo generalizado de Frobenius: Θ : R → R el cual es un automorfismo que fija a los elementos del subanillo
ps en R y está dado por:
Éste es un análogo al automorfismo de Frobenius en campos finitos
el cual fija a los elementos del subcampo primo de
q (cf. [10]). A su vez, Θ genera un grupo cíclico con la composición de funciones llamado grupo de Galois de R sobre
ps , denotado por Gal(R/
ps). Cuando consideramos a los elementos de R como en (2) denotamos R =
ps [ξ]
El lector puede ampliar su visión de los anillos de Galois y sus importantes conexiones con los campos finitos haciendo una lectura de [17].
3. Anillo de vectores de Wit
Existen diversas variantes de la construcción del anillo de vectores de Witt. Ernst Witt introdujo el concepto de los vectores que llevan su nombre en 1936 mientras estudiaba las extensiones p-abelianas a través de los trabajos de los precursores A. A. Albert, ArtinSchreier y Kummer. En este apartado seguiremos la construcción de estos vectores y su correspondiente anillo como se hace en [6] y [9]
Sean Q =
[xi , yj , zk] el anillo de polinomios en las 3n indeterminadas xi , yj , zk para 1 ≤ i, j, k ≤ n,
= {0, 1, 2, . . .} y QN el anillo de las sucesiones infinitas de elementos de Q, a = (aν) para ν ≥ 0. De manera similar,
[xi , yj ] representa el subanillo de Q formado por los polinomios en las 2n indeterminadas xi , yj donde 1 ≤ i, j ≤ n. Note que QN tiene las operaciones de suma y producto componente a componente, y los elementos (0) = (0, 0, . . . , 0, . . .), (1) = (1, 1, . . . , 1 . . .), son los neutros de las operaciones suma y producto, respectivamente.
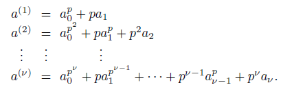
Dados a = (a0, a1, . . . , aν−1, aν, . . .) ∈ QN una sucesión y p un número primo, denotaremos mediante P(a) a la sucesión:
y para cada ν ∈
definimos la siguiente relación de recurrencia:
Desarrollando (5) para los primeros valores de ν ≥ 1 tenemos:
A continuación dotaremos a QN con nuevas operaciones de suma y producto, para esto es necesario introducir dos funciones:
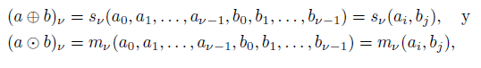
Definición 3.1. Sean a, b ∈ QN. Definimos las siguientes funciones:
donde:
Existe una relación importante entre las funciones ϕ y ψ la cual se presenta a continuación:
Lema 3.2.La función ϕ es una biyección y ϕ −1 = ψ.
Demostración. Sea a = (a0, a1, . . . , an−1, . . .) ∈ QN, entonces:
Demostraremos por inducción el resultado. Para ver que ci = ai para i ∈ {0, 1, . . .}, el caso i = 0 resulta trivial por (5). Supongamos que para cada i < n − 1, ci = ai , así por (6):
de ahí que:
Por otro lado, si b= (b0, b1, . . . , bn−1, . . .), entonces
Veamos que c (i) = bi para cada i ∈ {0, 1, . . .}, por (5) se tiene que c0 = b0. Supongamos que para i < n − 1, c (i) = bi , sustituyendo cn−1 según (5) tenemos:
Así
La función ϕ resulta de gran utilidad para nuestro objetivo. Ahora podemos definir las nuevas operaciones en Q como sigue
Como consecuencias del Lema 3.2 tenemos las relaciones:
Ahora, de la definición de ϕ, si c = a ⊕ b y d = a
b, entonces:
por consiguiente, para cada ν ≥ 0:
Observese que de (5), cada a (ν) es una expresión polinomial con coeficientes racionales en las componentes a0, a1, . . . , aν, omitiendo todas aquellas cuyo subíndice es mayor que ν. De manera análoga, para las expresiones en (10) existe, a su vez, para cada una de éstas una expresión polinomial con coeficientes racionales en ai , bj con i, j ∈ {0, 1, . . . ν} que las representa.
Definición 3.3. El anillo W(Q) = (QN, ⊕,
) es llamado, anillo de vectores de Witt.
Proposición 3.4. W(Q) es un anillo conmutativo con identidad.
Demostración. Resulta claro que las operaciones son cerradas, veamos que los elementos neutros de las operaciones definidas en (7) son (0, 0, . . . , 0, . . .) y (1, 0, . . . , 0, . . .) respectivamente. Sea a = (a0, a1, . . . , an−1, . . .), entonces:
Como ϕ((1, 0, . . . , 0, . . .)) = (1, 1, . . . , 1, . . .), tenemos que:
El resto de las propiedades de anillo pueden demostrarse usando las ecuaciones (8),(9) y (10). Por ejemplo:
y así por el Lema 3.2, (a ⊕ b)
c = (a
c) ⊕ (b
c).
En lo sucesivo, denotaremos a los neutros de ⊕ y
mediante 0 y 1, respectivamente.
Ahora, presentaremos algunos resultados que nos serán de ayuda en la construcción del anillo de vectores de Witt sobre anillos más generales.
Lema 3.5.Sean m ≥ 1, 0 ≤ i, j, k ≤ m −1, a = (aν), b = (bν) elementos de QN tales que aν, bν ∈
[xi , yj ] con 0 ≤ ν ≤ m − 1. Entonces:
si, y solo si;
Demostración. (cf.[6, Lemma 1])
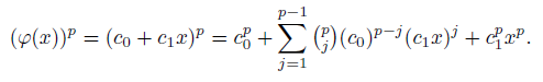
Lema 3.6. Sean φ(x) = c0 + c1x + . . . + crx r ∈
[x], r ∈
y p un número primo. Entonces (φ(x))p ≡
(x p ) (mód p) donde
(t) ∈
[t].
Demostración. Hagamos inducción en r. Para r = 1 tenemos que φ(x) = c0 + c1x. Es claro que:
Luego, (φ(x))p −
=
(c0) p−j (c1x) j y p |
si 1 ≤ j ≤ p − 1. Note que si elegimos
(t) =
, entonces (φ(x))p ≡
(xp ) (mód p)
Supongamos que el grado de φ es menor que r, así, el resultado es válido y sea φ(x) = c0 + c1x + . . . + crxr . Por lo tanto, f(x) = φ(x) − crxr ∈
[x] es un polinomio de grado menor que r. De la hipótesis inductiva tenemos
donde
(t) ∈
[t]. Más aún, como (φ(x) − crxr)p = (f(x))p, entonces
Por otro lado, es fácil ver que procediendo como antes, obtenemos que (φ(x) − crxr)p ≡ (φ(x))p − cprxpr (mód p). Luego, combinando esto con (11) concluimos
Definamos
(t) =
(t) + cprtr y de lo anterior se sigue el resultado.
Este resultado puede extenderse de manera natural por inducción a polinomios en múltiples variables x1, x2, . . . , xk para k un entero positivo como sigue
Corolario 3.7. Sean f(
) ∈
[
] y p un número primo. Entonces (f(
))p ≡
(
p ) (mód p) para algún
(t) ∈
[t], donde f(
) := f(x1, x2, . . . , xk),
(
p ) :=
(xp1, xp
2 , . . . , xpk ) y
[
] :=
[u1, u2, . . . , uk] para u = x o u =
Ahora, aplicando los resultados anteriores estableceremos una caracterización de las operaciones de dos elementos en W(Q) bajo ⊕ y
, lo cual es de sumo interés para lograr nuestro objetivo
Teorema 3.8. Sean a, b ∈ W(Q). Si a ◦ b representa a ⊕ b o a
b y a
b representa a + b ó a · b, según sea el caso, entonces (a o b)ν = fν(ai , bj) donde f
ν(xi , yj) ∈
[xi , yj ] es un polinomio con coeficientes enteros y término constante 0 en las variables xi , yj con i, j corriendo en el conjunto {0, 1, . . . , ν}
Demostración. Sean a, b ∈ W(Q), entonces (a o b) = ((a o b)0, . . . ,(a o b)ν−1,(a o b)ν, . . .) y para cada ν ≥ 0; (a o b)ν = fν(ai , bj ), para algún fν(xi , yj ) ∈
[xi , yj ]. Veamos mediante inducción sobre ν que fν(xi , yj ) ∈
[xi , yj ]. Si ν = 0, por (5) y (10), tenemos que (a o b)0 = (a o b) (0) = a (0)
b (0) = a0
b0 = f0(a0, b0) donde f0(xi , yj ) = 1xi
1yj ∈
[xi , yj ] y se sigue el resultado. Supongamos que (a o b)k = gk(ai , bj ) para algún gk(xi , yj ) ∈
[xi , yj ] siempre que k es tal que 0 ≤ k ≤ ν − 1. Por (5) tenemos que
y también:
Por otro lado, P((a o b)k) = (a o b) pk = (gk(ai , bj ))p y además, por el Corolario 3.7, existe fk(xi , yj ) ∈
[xi, yj ] tal que:
Se sigue de lo anterior2 que:
En particular para ν − 1, por el Lema 3.5:
Por (5) tenemos que a (ν) ≡ (P(a))(ν−1) (mód p ν) y b (ν) ≡ (P(b))(ν−1) (mód p ν), y por (10) se tiene que (a o b) (ν) = a (ν)
b (ν) , por consiguiente:
y como (P(a))(ν−1)
(P(b))(ν−1) ≡ (P(a) o P(b))(ν−1) (mód p ν ) tenemos que:
Se sigue que p ν |[(a ◦ b) (ν) − (P(a o b))(ν−1)], i.e., p νes un factor de la diferencia de las evaluaciones polinomiales que corresponden a (a o b) (ν) y (P(a o b))(ν−1). Por la hipótesis inductiva existe un polinomio gν(xi , yj ) ∈
[xi , yj] tal que:
y por lo anterior gν(xi , yj ) ∈ pν
[xi, yj ], de ahí que existe fν(xi , yj) ∈
[xi, yj ] tal que gν(xi , yj) = p νfν(xi , yj). Finalmente, de (12) tenemos que el polinomio gν(xi, yj ) es tal que p ν (a o b)ν = gν(ai , bj) = p νfν(ai , bj ) y dado que fν(xi , yj) ∈
[xi , yj ] esto concluye la demostración.
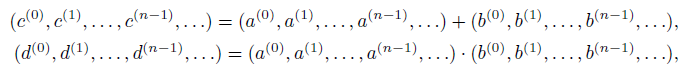
En virtud del teorema anterior podemos denotar en lo sucesivo para (aν),(bν) ∈ W(Q) :
donde sν, mν ∈
[xi , yj ] para ν ≥ 0 y 0 ≤ i, j ≤ ν.
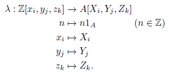
Sea A un anillo conmutativo con identidad 1A de característica p, notemos que
[xi, yj, zk] ⊆
[xi , yj , zk] puede ser sumergido en el anillo de polinomios A[Xi , Yj , Zk] mediante:
Dado f(xi , yj , zk) ∈
[xi , yj , zk] denotamos por
(Xi , Yj , Zk) a λ (f(xi , yj , zk)). Por otro lado, a la luz del Teorema 3.8, las operaciones ⊕,
son cerradas al tomar a, b ∈
[xi , yj , zk]N y 0, 1 ∈
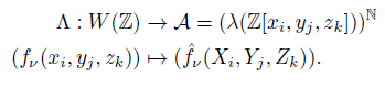
[xi , yj , zk]N, es decir, éste es un subanillo de W(Q) que denotaremos por W(
). Ahora consideremos los conjuntos de sucesiones infinitas: AN y (λ(
[xi , yj , zk]))N, entonces λ :
[xi , yj , zk] → λ(
[xi, yj , zk]), es un homomorfismo de anillos sobreyectivo y puede ser extendido de manera natural como sigue:
Nuevamente, por el Teorema 3.8 dadas dos sucesiones a, b ∈ W(
) existen polinomios con coeficientes enteros sν, mν que satisfacen (13), así tenemos la siguiente definición.
Definición 3.9. Dados dos elementos r = (rν), t = (tν) ∈ A definimos la suma y el producto de estos como las sucesiones r ⊕ t = ((r + t)ν) y r
t = ((rt)ν) tales que:
Veamos que en efecto mediante las operaciones definidas antes, se puede dotar de una estructura de anillo a A:
Teorema 3.10. El conjunto A es un anillo conmutativo con identidad (1A, 0A, . . . , 0A, . . .) y neutro de la suma (0A, 0A, . . . , 0A, . . .)
Demostración. Sean X = (X0, X1, . . . , Xn−1, . . .), Y = (Y0, Y1, . . . , Yn−1, . . .) y Z = (Z0, Z1, . . . , Zn−1, . . .) ∈ A. Como Λ es sobreyectiva, existen x = (x0, x1, . . . , xn−1, . . .), y = (y0, y1, . . . , yn−1, . . .), z = (z1, z2, . . . , zn−1, . . .) ∈
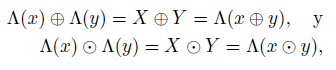
N tales que Λ(x) = X, Λ(y) = Y y Λ(z) = Z. Luego, por (14):
y esto se cumple para cada ν ≥ 0, entonces:
es decir, Λ preserva las operaciones entre W(
) y A, en otras palabras, Λ es un homomorfismo sobreyectivo de anillos, así por el primer teorema de isomorfismos:
Finalmente, dado que Λ(1) = (1A, 0A, . . . , 0 A, . . .) y Λ(0) = (0A, 0A, . . . , 0A, . . .), estos son la identidad y el neutro de la suma en A respectivamente.
El teorema anterior establece un hecho importante, puesto que nos ha bastado con hallar una imagen homomórfica del anillo de polinomios en varias indeterminadas (xi , yj , zk) con coeficientes en
para poder extender la estructura del anillo de vectores de Witt W(Q) al conjunto de sucesiones infinitas A. Esto resulta muy útil dado que si A =
pm las condiciones se satisfacen de manera inmediata y nos acerca a nuestro objetivo.
Es importante reconocer la diferencia al usar
[xi , yj , zk] N y W(
) pues el primero hace referencia a las sucesiones con las operaciones usuales de suma y producto, mientras que el segundo nos debe indicar que estamos usando la estructura inducida mediante ⊕ y
. El siguiente corolario es el paso final en la construcción del anillo truncado de vectores de Witt.
Corolario 3.11. Sean
y la función:
Si definimos la suma +s y el producto ·s en Ws (A) mediante:
entonces (Ws(A), +s, ·s) es un anillo conmutativo con identidad 1 = (1A, 0A, . . . , 0A) y neutro de la suma 0 = (0A, 0A, . . . , 0A).
Definición 3.12. Sea A un anillo conmutativo con identidad. Los anillos conmutativos (W(A), ⊕,
) y (Ws(A), +s, ·s) asociados a A, reciben los nombres de anillo de vectores de Witt sobre el anillo A y anillo truncado de vectores de Witt de longitud s sobre A, respectivamente.
En la sección 2 se mencionaron dos representaciones para elementos del anillo de Galois, la representación p-ádica (1) y la representación aditiva (2), la diferencia sustancial entre dichas formas de escribir los elementos del anillo estriba en que, mientras que las representaciónes aditivas son fáciles de operar mediante la suma y producto usuales en
ps [ξ], las representaciones p-ádicas, por otro lado, representan un problema mayor, ya que sus coeficientes deben ser elementos del conjunto de Teichmüller T el cual en general no es cerrado bajo la suma, pero como la µ-reducción resulta ser una biyección entre T y
pm, éste hecho permitirá posteriormente dar una solución a dicha problemática, más aún, en [16], los autores presentan un isomorfismo entre el anillo truncado de vectores de Witt Ws(
pm) y el anillo de Galois GR(p s , m) luego, haciendo uso de esta herramienta se consigue operar a las µ-reducciones de las componentes p-ádicas de los elementos del anillo de Galois.
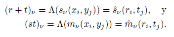
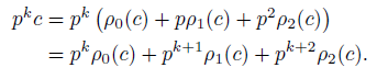
Dicho resultado se enuncia a continuación, en lo sucesivo, denotaremos mediante
i (c) a µ(ρi(c)) la µ-reducción de las componentes p-ádicas de un elemento c ∈ GR (ps , m).
Teorema 3.13 ([16, Theorem 4]). El anillo truncado de vectores de Witt de longitud s, Ws(
pm) es isomorfo al anillo de Galois GR(p s , m) mediante la función:
donde ρi(c)∈ T , (0 ≤ i ≤ s−1) son las componentes p-ádicas del elemento c∈GR(p s , m) como en (1) y ri(c)=ρi(c).
4. Aritmética en GR (p3, m)
A continuación estudiaremos cómo el isomorfismo Γ del Teorema 3.13 nos permite estudiar la suma de dos elementos cualesquiera en el anillo GR (p 3 , m) y el producto de un elemento arbitrario en dicho anillo con una unidad de la forma λ = 1 − p 2.
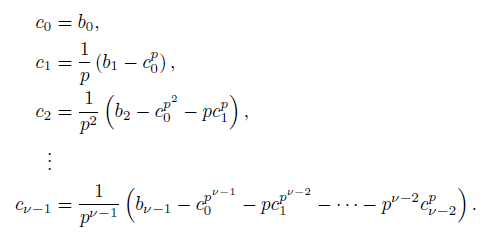
Se conseguirán fórmulas para dichas operaciones y éstas nos permitirán estudiar también la aritmética de las componentes p-ádicas de los elementos en un anillo de Galois. Vale la pena remarcar la importancia de hallar una manera esquemática de operar dichas componentes y más adelante usaremos esto para analizar códigos definidos sobre GR (p 3, m).
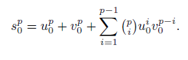
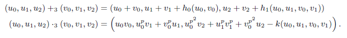
Consideremos el caso s = 2. Dados elementos (u0, u1),(v0, v1) ∈ W2(
pm), aplicando (15) a (10) tenemos que:
Por (5) tenemos las siguientes expresiones:
Notemos que:
De (16) y lo anterior tenemos
donde
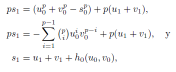
Para los términos sν con ν ≥ 3 la expresión es mucho más compleja, por lo tanto presentamos el siguiente resultado.
Lema 4.1. Sean u = (u0, u1, . . . , us−1), v = (v0, v1, . . . , vs−1) ∈ Ws (
pm). Entonces:
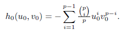
donde 0 ≤ i, j ≤ ν − 1 y hl(xi , yj) es un polinomio con coeficientes enteros y término constante (respecto a todas sus variables) cero, para 0 ≤ l ≤ ν − 1 y 0 ≤ ν ≤ s − 1.
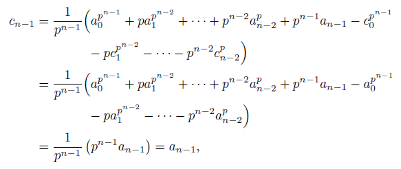
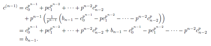
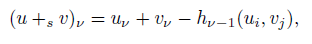
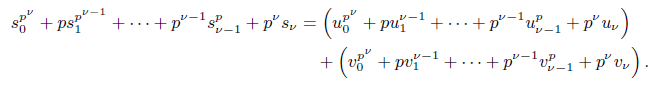
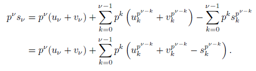
Demostración. Por (10) tenemos que (u +s v) (ν) = u (ν) + v (ν) , ahora expandiendo como en (5) y si denotamos por sk a sk(ui , vj) tenemos que:
Despejando p ν sν:
Nombremos hν−1(ui , vj ) al segundo término en el lado derecho de (18). Así, dividiendo por p νambos lados de dicha ecuación, se obtiene (17). Las características de hl(xi , yj ) se siguen del Teorema 3.8.
Por otro lado, para la multiplicación sean (u0, u1),(v0, v1) ∈ W2(
pm). Procediendo como antes, tenemos:
Está claro que mp0 = up0 vp0 y despejando m1 tenemos que:
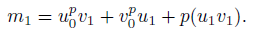
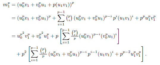
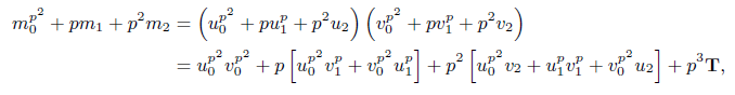
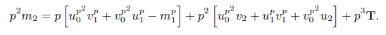
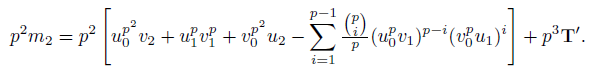
Reduciendo módulo p obtenemos m1 = up0v1 + vp0u1. Para poder hallar el nuevo término m2 debemos tomar la expresión m1 antes de la reducción módulo p, así:
podemos agrupar términos semejantes y cancelar:
Aquí T representa a todos los términos que tienen como factor común a p 3 ; luego al dividir por p 2 quedará un factor p acompañando a T, y estos términos desaparecerán al aplicar la reducción módulo p, por lo tanto, no es relevante (para este caso) conocerlos explícitamente. Usando (19) en la expresión anterior tenemos que:
El último sumando de (19) está contenido en T′ ahora debido al factor adicional p, y así tras dividir por p 2 y aplicar reducción módulo p
Es decir, que dados (u0, u1, u2),(v0, v1, v2) ∈ W3(
pm), entonces
Ahora podemos aplicar las fórmulas (20) para hallar las µ-reducciones de las componentes p-ádicas del producto de un elemento en el anillo de Galois GR(p 3, m) y una unidad de la forma λ = 1−p 2 . Antes de hacerlo, un resultado que nos será de apoyo es la siguiente:
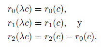
Proposición 4.2. Sea c ∈ R. Entonces:
para 0 ≤ k ≤ 2.
Demostración. Sea c ∈ R con representación p-ádica c = ρ0(c) + pρ1(c) + p 2ρ2(c), entonce:
Si k = 1, es claro que pc = pρ0(c) + p 2ρ1(c). Y dado que ρ0(c), ρ1 (c) ∈ T , se sigue de la unicidad de la representación p-ádica que:
Por otro lado, si k = 2, tenemos que p2 c = p2 ρ0(c). Y dado que ρ0(c) ∈ T, entonces:
Finalmente, aplicando la µ-reducción a las expresiones (21) y (22) se tiene el resultado.
Ahora, considere una unidad en R de la forma λ = 1 − p 2 , aplicando el isomorfismo Γ tenemos:
Así, dado c ∈ GR(p 3, m) con
si aplicamos (20) para el producto λc tenemos que:
Es fácil ver de lo anterior que k(1, 0, r0(c), r1(c)) = 0 y aplicando el inverso del automorfismo de Frobenius a (23) en el campo finito
pm se llega a:
5. Imágenes de Gray de códigos consta-cíclico
En esta sección exhibiremos condiciones necesarias y suficientes para que la imagen de Gray de un código λ-cíclico o consta-cíclico sobre R = GR(p 3 , m) sea cuasi-cíclica sobre el campo finito
q con q = pm elementos. En adelante, sea T es el conjunto de Teichmüller de R, q = pm y n es un entero positivo tal que (n, p) = 1.
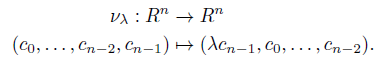
Definición 5.1. Sea λ = 1 − p2 = 1 + N ′ p2 , con N ′ ∈ T tal que µ(N ′ ) = −1. Un corrimiento λ-cíclico o consta-cíclico es una función:
Un código C es llamado consta-cíclico o λ-cíclico si, y solo si, νλ(C) ⊆ C.
Definición 5.2. Sea c = (c0, c1, . . . , cn−1) ∈
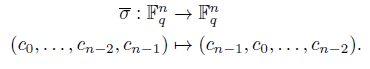
nq. Un corrimiento cíclico es una función:
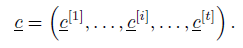
Dados enteros positivos s, t tales que st = n se puede escribir:
y por tanto:
Un corrimiento cuasi-cíclico σ ⊗t:
nq →
nq es una función tal que:
Un código C se dirá cuasi-cíclico de índice t y longitud st, si σ ⊗t (C) = C.
Sean ω una raíz primitiva de la unidad en
q y β := {1, ω, . . . , ωm−1} una base de
q como
p-espacio vectorial. Puesto que hay una biyección entre
q y
q dada por:
donde 0 ≤ hi ≤ p − 1 para i = 0, 1, . . . , m − 1, los elementos del campo finito
q, con q = p m elementos, se tomarán en el orden siguiente:
Obsérvese que,
donde (∗)p denota la reducción módulo p.
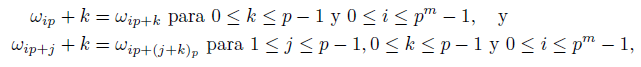
Sea
para i = 0, 1, . . . , pm−1 − 1 y k = 0, 1, . . . , p − 1. Entonces los elementos del campo finito
q se pueden expresar y enumerar en la forma:
Definimos:
Aquí, ⊗ denota el producto de Kronecker expandido de izquierda a derecha.
Definición 5.3. Sean R = GR(p 3 , m), n un entero positivo y RF =
q con q = p mentonces la función de Gray está dada por:
La función de Gray resulta ser de gran importancia pues funciona como un puente entre los códigos definidos sobre anillos finitos de cadena y los códigos definidos sobre campos finitos (cf.[7], [18], [11]). Una de las propiedades más conocidas y que resulta de gran importancia en la teoría de códigos es el siguiente (cf. [4],[5]):
Teorema 5.4 ([4, Theorem 1.1]). La función de Gray Φ es una isometría inyectiva entre (Rn, dhom) y (
, dH).
Aquí, dH(∗) es la distancia de Hamming y dhom(∗) es la distancia homogénea, las cuales se definen de la siguiente manera: dH(
,
) = wH(
−
) y dhom =
whom(ci − di) donde
y
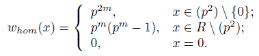
El peso de Hamming y el peso homogéneo respectivamente.
Proposición 5.5.
Demostración. Sea A = (a0, a1, . . . , an−2, an−1) ∈ Rn y denotemos por B = (b0, b1, . . . , bn−1) = νλ(A), entonces:
así de (23) tenemos:
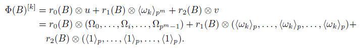
Ahora por (24) el k-ésimo bloque de longitud nq de Φ(B) es:
Así podemos extraer el i-ésimo bloque de longitud np de Φ(B) y lo denotaremos por Bi
Procediendo como antes y expandiendo los productos tenemos que:
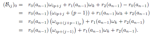
Tras realizar los productos, podemos estudiar el j-ésimo bloque de longitud n de Bi el cual denotaremos por B ij es decir:
Notemos que la primera componente de Bij es:
Se sigue que:
Por otro lado, aplicando la función de Gray al n-tuple A obtenemos:
Procediendo como antes analizaremos el i-ésimo bloque de longitud np de Φ(A) así:
Expandiendo los productos de Kronecker de Ai, podemos escribir dicho bloque como un arreglo de tamaño n × p, es decir:
Observemos que al aplicar el corrimiento cíclico
en este bloque:
Denotemos por Aij al j-ésimo bloque de longitud n del arreglo
(Ai), de ahí tenemos que la 0-ésima y la k-ésima entradas de este bloque son respectivamente:
Una comparación por pares de (25) con (27) y (26) con (28) respectivamente, nos permite llegar a que para cada k ∈ {0, 1, . . . , n − 1} los bloques de longitud n; Bij y Aij son iguales, de ahí que
y dado que
se sigue el enunciado de la proposición:
Esta proposición nos permite enunciar el resultado principal de está sección:
Teorema 5.6. Un R-código C de longitud n es consta-cíclico si, y solo si, su imagen bajo la función de Gray Φ(C) es un código cuasi-cíclico sobre
pm de índicep 2m−1 y longitudnp2m.
Demostración. Sea C un R-código tal que Φ(C) es un código cuasi-cíclico de índice p 2m−1 y longitud np2m, entonces por definición:
Luego usando la Proposición 5.5:
y de la inyectividad de Φ:
El recíproco de esta afirmación se sigue de manera análoga.
6. Conclusiones
Los anillos de Galois tienen una conexión estrecha con el anillo truncado de vectores de Witt como se mostró con el isomorfismo del Teorema 3.13. Dicha conexión nos permitió establecer el Teorema 5.6.
A lo largo de este manuscrito una técnica recurrente ha sido el uso de las propiedades de las operaciones del anillo de vectores de Witt para analizar una forma adecuada de operar los elementos del anillos de Galois mediante su representación p-ádica. Esto indica que al hacer uso de estas estructuras algebraicas en conjunto nos abre las puertas para investigar los códigos definidos sobre los anillos de Galois de manera eficiente.





































































































































