Services on Demand
Journal
Article
Indicators
-
Cited by SciELO -
Access statistics
Related links
-
Cited by Google -
Similars in
SciELO -
Similars in Google
Share
Ensayos sobre POLÍTICA ECONÓMICA
Print version ISSN 0120-4483
Ens. polit. econ. vol.25 no.55 Bogotá July/Dec. 2007
DETERMINANTS OF CREDIT ACCESS FOR COLOMBIAN HOUSEHOLDS
DETERMINANTES DEL ACCESO AL CRÉDITO DE LOS HOGARES COLOMBIANOS
Andrés Murcia Pabón
The opinions contained in this paper are those of the author and do not represent those of the Banco de la República or its Board of Governors.
Revised version of the working paper no. 449, published in Borradores de Economía, Banco de la República. I gratefully acknowledged discussions with Dairo Estrada in every step of this project. The author also thanks Leonardo Villar, Natalia Salazar, María Paula Carvajal, Carlos Amaya, Nancy Zamudio, Esteban Gómez, Linda Mondragón, Tatiana Venegas, Laura Pabón and Mario Murcia for their comments and contributions. All errors are my own.
Financial Stability Department, Banco de la República. E-mail: amurcipa@ banrep.gov.co
Document received 19 July 2007; final version accepted 7 November 2007.
Las opiniones contenidas en este artículo corresponden al autor y no representan las del Banco de la República ni de su Junta Directiva. Esta es una versión de Borradores de Economía, núm. 449. Agradecimientos especiales a Dairo Estrada por asesorar este proyecto; también, a Leonardo Villar, Natalia Salazar, María Paula Carvajal, Carlos Amaya, Nancy Zamudio, Esteban Gómez, Linda Mondragón y Tatiana Venegas por sus comentarios sobre una versión anterior.
Igualmente se agradece a Laura Pabón y a Mario Murcia por sus aportes. Todos los errores y omisiones que persistan son responsabilidad del autor. Profesional especializado del Departamento de Estabilidad Financiera, Banco de la República.
Correo electrónico: amurcipa@banrep.gov.co
Documento recibido el 19 de julio de 2007; versión final aceptada el 7 de noviembre de 2007.
This paper identifies the main determinants of credit access for Colombian households. It finds that income, wealth, geographical position, access to social security, the education level and age affect the probability of credit use (mortgage loans and credit cards). Moreover, a large part of the population has a favorable financial condition (represented by high savings rates) and do not have access to credit. This suggests the existence of a potential segment in that market.
JEL Classification: C25, C43, D19, D59.
Keywords: Households, Banking services, Credit Access.
En este documento se busca identificar los determinantes de acceso al crédito de los hogar es colombianos; así, se encuentra que características tales como el ingreso, la riqueza, la posición geográfica, el acceso a la seguridad social, el nivel de educación y la edad influyen sobre la probabilidad de ser usuario de los servicios financieros acá analizados (tarjeta de crédito y crédito hipotecario). Adicionalmente, se encontró que una porción importante de población cuenta con unas condiciones financieras favorables (representados en unas altas tasas de ahorro) y no cuentan con acceso a servicios financieros, lo cual sugiere que podría haber posibilidades de expandir la oferta de crédito a ciertos segmentos.
Clasificación JEL: C25, C43, D19, D59.
Palabras clave: hogares, bancarización, acceso al crédito.
I. INTRODUCCIÓN
Recientemente diferentes sectores del Gobierno y de la academia colombianos han discutido sobre la necesidad de ampliar el acceso a los servicios financieros para la mayoría de hogares posibles, con el objetivo de lograr mejores condiciones en términos de oportunidades y bienestar de la población. Con este fin han surgido diferentes iniciativas del Gobierno para ampliar la población bancarizada, entendida como la proporción de los individuos con acceso al uso de los servicios financieros en Colombia.
Si el objetivo de estas iniciativas es crear mayores facilidades de acceso a préstamos bancarios, entonces, es importante preguntarse quiénes tienen acceso al crédito en Colombia y cuáles son las características que determinan si un hogar tiene o no acceso a éste. La motivación de este trabajo surge del creciente interés en los temas de bancarización y en la carencia de estudios del problema desde la perspectiva de los hogares en Colombia. La evidencia de una estrecha relación entre mayor profundización financiera (medida como crédito privado sobre PIB) y mayores niveles de ingreso (Gráfico 1) y crecimiento económico (Gráfico 2) soportan la importancia de generar y entender el desarrollo financiero. Una consolidación de este sector puede facilitar el intercambio de bienes y servicios, canalizar los recursos de los ahorradores hacia la inversión, ayudar al seguimiento, optimizar la asignación de recursos hacia los proyectos más rentables y facilitar el manejo del riesgo. Estas funciones del sector financiero estimulan la acumulación de capital, la innovación tecnológica y el crecimiento económico (Levine, 1997 y 2004). Por otro lado, la importancia de un mayor desarrollo financiero también radica en una mejora en los indicadores sociales y en el bienestar de la población en general. Un mayor desarrollo financiero ayuda a reducir la pobreza y, adicionalmente, las mejoras en la distribución del ingreso son más grandes en ambientes donde el sector financiero es más desarrollado (Honohan, 2004). Por otra parte, el canal mediante el cual la pobreza afecta el crecimiento económico se da a través de la inversión, la cual se encuentra altamente condicionada al acceso a los servicios financieros. Una restricción en términos de acceso implica la imposibilidad por parte de la población de adelantar procesos productivos que mejoren su bienestar, lo que retrasa el crecimiento económico y puede generar un círculo vicioso en donde el bajo crecimiento impulse altos niveles de pobreza y, al mismo tiempo, la pobreza conduzca a un menor crecimiento (Perry, Arias y López, 2006).
Este estudio se enfoca en el acceso al crédito, entendido como un servicio financiero importante que demandan los hogares. Un mayor acceso a éste le permite a un conjunto más amplio de personas suavizar su consumo de manera intertemporal, incrementando así su bienestar y promoviendo mejores condiciones de crecimiento económico. Este documento aborda el problema de acceso al crédito desde una perspectiva microeconómica, tomando información de la Encuesta de calidad de vida (ECV) de 2003 del DANE, la cual recoge información de más de 20.000 hogares en Colombia en torno al uso de algunos servicios de crédito y una gama amplia de características.
A partir de un enfoque microeconómico se identifican aquellos factores que determinan si un hogar es beneficiario de este servicio financiero, entre los cuales se encuentran los ingresos, la riqueza, la educación, la posición geográfica, la edad y la pertenencia al sector formal de la economía. El hecho de que un factor como la posición geográfica sea un determinante clave del acceso al crédito después de controlar por las variables que teóricamente (Stiglitz y Weiss, 1981; Pagano y Japelli, 1993) determinan que un hogar sea beneficiario al crédito, como lo son el nivel de ingreso, de riqueza y la historia de pago de obligaciones, soporta la existencia de medidas que busquen ampliar el nivel de bancarización en Colombia, en especial en las zonas rurales.
Este documento evalúa los determinantes de acceso al crédito de los hogares, e identifica un problema importante en este aspecto. Los resultados aportan argumentos para implementar medidas que tiendan a incrementar el acceso a los servicios financieros, en especial en las zonas rurales, lo cual es el fin del modelo de corresponsales no bancarios desde el esquema propuesto por el proyecto la Banca de las oportunidades, impulsado actualmente por el Gobierno.
El presente documento se divide en cinco partes, incluyendo esta introducción. En la segunda sección se exponen unos hechos estilizados del mercado de crédito en Colombia. En la tercera se realiza una revisión bibliográfica con el fin de explicar el bajo nivel de profundización financiera y las variables que determinan el acceso al crédito de los hogares. En la cuarta se muestran las estimaciones de los determinantes del acceso al crédito. Y en la última se presentan las conclusiones del estudio.
II. EL CRÉDITO EN COLOMBIA Y EL ACCESO A LOS SERVICIOS FINANCIEROS
A. A NIVEL AGREGADO
Desde una perspectiva macroeconómica la profundización financiera, medida como la razón entre crédito al sector privado y PIB en Colombia, es baja con respecto a los demás países. Esta es cercana al 25%, mientras que Chile sobrepasa el 60%; incluso, países como Bolivia, Brasil y Filipinas tienen una mayor profundización financiera que Colombia. Además, observando la evolución en el tiempo del grado de profundización financiera (Gráfico 3) medido de esta forma, se puede evidenciar que desde 1975 no han habido mejoras significativas. Por otra parte, las crisis financieras observadas en los años ochenta y a finales de la década de los noventa han tenido sus repercusiones sobre el proceso de desarrollo financiero.
Si se evalúa la profundización financiera de manera más amplia, como la proporción de la población con acceso a algunos servicios financieros, o lo que se conoce hoy en día como bancarización, la situación en Colombia también es desfavorable, pues al comparar el número de tarjetas débito y crédito por cada 1.000 habitantes en Colombia, con respecto a otros países, las cifras son alarmantes (Gráfico 4).
B. A NIVEL DESAGREGADO: DATOS DE LAS ENCUESTAS
1. Situación del acceso a los servicios financieros
El acceso a los servicios financieros se encuentra muy concentrado en los tres niveles de ingresos más altos en Colombia (Cuadro 1) y, adicionalmente, las personas de bajos ingresos hacen un uso muy limitado de los servicios financieros formales. Este hecho evidencia los posibles problemas al tomar el indicador de la razón entre crédito privado sobre PIB e interpretarlo como la profundización financiera de la economía. Esta medida agregada no tiene en cuenta la distribución de los créditos ni los segmentos en los que estos se concentran; de hecho, a la hora de estudiar la profundización financiera se debería utilizar medidas desagregadas del uso de servicios financieros con el fin de contar con cifras más realistas. Así, en un momento de auge crediticio éste puede estar concentrado en personas que ya tenían acceso al crédito y, por ende, el indicador de crédito privado sobre PIB tiende a aumentar; sin embargo, no está reflejando un mayor uso de los servicios financieros en un conjunto más amplio de la población. No obstante, la disponibilidad de información de datos más desagregados a través del tiempo es nula.
Al analizar los datos de la ECV de 2003 del DANE se encuentra que tan sólo el 4,03% de los hogares obtuvo su vivienda por medio de un préstamo con un banco o una corporación de ahorro y vivienda. De este porcentaje el 45,5% de los créditos se concentran en el quintil de ingresos más altos (Gráfico 5). Los usuarios de los niveles de ingresos más bajos es mucho menor (13,1%, esto es, entre los quintiles 1 y 2 de los ingresos de la población). Estos hechos sugieren una alta concentración en los grupos de ingresos más altos.
En el caso de las tarjetas de crédito se encuentra que el 10,33% de los hogares son usuarios de este servicio; además, para este tipo de crédito se encuentra una concentración mucho mayor en los grupos de ingresos más altos, frente a la comparada con el crédito hipotecario. En Colombia, el 72,6% de los usuarios de tarjetas de crédito se ubican en el quintil de ingresos más alto de la población (Gráfico 6).
Tomando datos de la Encuesta social de Fedesarrollo del año 2001 se observa que tan sólo el 58,6% de los encuestados afirmaron que cuando solicitan un préstamo acuden a las entidades financieras (Cuadro 2). Este porcentaje es aun menor a medida que los ingresos disminuyen; así, en el primer cuartil de ingresos tan sólo el 45,4% de los encuestados acuden a las entidades financieras para solicitar créditos. Estos resultados sugieren que en Colombia existen limitaciones importantes en el mercado de crédito bancario.
2. Respuesta de los bancos ante solicitudes de crédito
Tratando de explicar la forma como la oferta responde a la demanda de crédito, la Encuesta de servicios financieros del DANE y del Banco Mundial recoge información con respecto a las respuestas que obtienen las personas a la hora de solicitar un crédito en el año 2002 (Cuadro 3). De las personas que solicitaron crédito, el 70,3% obtuvieron una respuesta afirmativa a la solicitud; sin embargo, es importante destacar que los rechazados se encuentran concentrados en los estratos bajos, pues de las personas que solicitaron un crédito y pertenecían al estrato 1, el 37,8% obtuvieron una respuesta negativa; mientras para el caso de los solicitantes que se ubicaban en el estrato 6, ninguno de los encuestados reportó el rechazo de su solicitud.
Al indagar sobre las razones por las cuales el crédito no les fue otorgado a los encuestados, el estudio de Marulanda y Paredes (2006) muestra que no existe una causa común, aunque los ingresos insuficientes fueron la razón más evidente reportada por los encuestados (27,5%) (Cuadro 4). Los problemas en torno de las garantías y de una mala historia crediticia también son causas importantes para justificar el rechazo de los préstamos (21,1% y 14,5%, respectivamente). Este resultado del estudio de Marulanda y Paredes es consistente con los encontrados por Murcia y Piñeros (2006b), cuyo análisis se centra en una encuesta realizada por el Banco de la República a las entidades financieras. En dicho estudio se identificó que las razones principales por la cuales las entidades rechazan o aprueban un préstamo están relacionadas con la historia crediticia y con el flujo de caja proyectado del deudor potencial. En un escenario caracterizado por la presencia de restricciones crediticias, las garantías y la historia crediticia cobran un papel más importante en la evaluación de los nuevos préstamos, en comparación con los flujos de caja proyectados del deudor. Tanto en Marulanda y Paredes (2006) como en Murcia y Piñeros (2006b) no existe un dominio claro de alguno de estos criterios.
3. Contextualización del ciclo crediticio
En el Gráfico 7 se muestra el crecimiento real para los dos tipos de cartera que los hogares demandan crédito: consumo e hipotecaria. La crisis financiera que sufrió Colombia al final de la década de los noventa llevó tanto a la cartera de consumo como a la hipotecaria a crecer a tasas negativas; sin embargo, a partir del año 2001 empezó una recuperación de ambas.
Cuando se realizó la Encuesta de calidad de vida (2003) que se utiliza en este documento, la cartera de consumo empezó a crecer a tasas significativas. En febrero de dicho año esta cartera exhibió un crecimiento real anual equivalente a 20,1%, tasa que no se reportaba desde septiembre de 1998, instante previo a la crisis financiera.
En síntesis, la profundización financiera en Colombia, medida como la razón entre crédito privado y PIB o como el nivel de bancarización, es baja comparada con el entorno internacional. Con respecto al nivel de acceso a los servicios financieros, se puede apreciar que la oferta de crédito está concentrada en los niveles de ingresos más altos, mientras los rechazos de los créditos se concentran en las personas con niveles de ingresos más bajos, a causa, principalmente, de sus ingresos insuficientes o inestables. Por otro lado, nuestro país exhibió en una década un ciclo crediticio bastante pronunciado, con una crisis bastante profunda, concentrada en la cartera hipotecaria.
III. EL MERCADO CREDITICIO Y LAS VARIABLES QUE DETERMINAN SU ACCESO
Debido a la importancia del mercado de crédito y sus posibles restricciones, la literatura relacionada ha abordado el tema desde distintas perspectivas. Para la clasificación de la literatura se consideraron tres grandes grupos: en el primero se estudia el problema desde un análisis teórico en torno del mercado de crédito y sus posibles restricciones; el segundo corresponde a una revisión de trabajos empíricos que han abordado el tema por el lado de la oferta y, finalmente, el tercero analiza el asunto por medio de la perspectiva de los demandantes de crédito, ya sean los hogares o las firmas.
Empezando con una revisión desde el punto de vista teórico, los temas de bancarización y profundización financiera están muy vinculados a lo que se conoce en la literatura como racionamiento de crédito, entendido como una restricción de oferta que impide que individuos que cuentan con una situación favorable para obtener financiación puedan hacerlo. Este fenómeno surge de un problema de información que enfrentan los bancos, en donde no pueden discriminar con certeza a los clientes con proyectos favorables, de quienes cuentan con proyectos muy riesgosos. La decisión de los bancos los lleva a restringir el crédito vía cantidades y no precios. Siguiendo a Keeton (1979), el racionamiento de crédito consiste en una situación en la que se presenta un equilibrio donde la demanda de crédito por parte del prestatario es rechazada, aun si éste se encuentra dispuesto cumplir con todas las condiciones del contrato del préstamo. Estas condiciones se dividen en elementos-precio y elementos-no precio. Los primeros corresponden a la tasa de interés de los créditos y los segundos a aspectos como los requisitos de garantías o el colateral de los créditos (Baltenberger, 1976).
Por su parte, Freixas y Rochet (1997) señalan que si un demandante de crédito es rechazado por tener un colateral insuficiente, en este caso no se puede hablar de racionamiento de crédito. De manera similar, si un demandante está dispuesto a pagar una mayor tasa de interés por su crédito, el cual le fuera negado en principio, no se puede asegurar que este individuo esté racionado, pues la institución financiera debe controlar el riesgo de otorgar los préstamos. Adicionalmente, señalan que sobre un esquema de mercado completo es imposible que exista racionamiento de crédito en una situación en donde los prestatarios pueden endeudarse por el valor presente de los flujos de ingresos que se pueden generar en el futuro. Con todo, se suele utilizar el término de racionamiento de crédito cuando algunas categorías de prestatarios son excluidos del mercado de crédito. Estos autores señalan que este fenómeno se cataloga como redlining, y ocurre cuando los prestatarios tienen suficiente colateral o flujos futuros para respaldar el crédito, pero no pueden acceder al crédito. Un mercado de crédito que funcione bien no implica que toda la población cuente con acceso a los préstamos bancarios, sino que aquellas personas que cuentan con ciertas condiciones mínimas puedan acceder si desean hacerlo.
Stiglitz y Weiss (1981) desarrollan un modelo clásico de racionamiento de crédito, en donde incorporan los dos elementos hasta ahora mencionados en términos de acceso al crédito, en la función de beneficios de las entidades financieras: el colateral y el flujo de caja de los créditos. El elemento clave de este modelo radica en que los clientes difi eren en un parámetro de riesgo, que es conocido de manera privada. Las entidades financieras conocen la distribución de probabilidad de este parámetro, pero no el valor exacto para cada cliente potencial. Como resultado final, el problema de selección adversa que enfrentan las entidades financieras para identificar a los clientes y su nivel de riesgo hace que el mercado de crédito llegue a un equilibrio, en donde la demanda no es satisfecha y las entidades ofrecen unos créditos a una tasa menor, en comparación con la que equilibra el mercado, ya que suponen que si ofrecen préstamos a una tasa mayor, tan sólo los clientes más riesgosos van a aplicar a los créditos.
Mediante teoría de juegos, modelos como el de Bester (1985) identifican la estrategia óptima de los bancos al otorgar créditos con una combinación entre colateral y tasa de interés. El resultado de este modelo muestra que si el equilibrio existe (combinación óptima entre tasa de interés y colateral), el racionamiento de crédito no debe aparecer. Esto se da gracias a la existencia del colateral, el cual es usado para ordenar los diferentes tipos de clientes de acuerdo con características no observables.
Una variable especialmente importante para aquellos créditos que no cuentan con un colateral, como es el caso de los créditos de consumo (mencionada por Freixas y Rochet, 1997) corresponde a la historia crediticia. Pagano y Japelli (1993) exponen un análisis teórico del funcionamiento de las centrales de riesgo, las cuales son organizaciones encargadas de almacenar información crediticia de los individuos. Las entidades financieras pueden acceder a esta información con el fin de reducir su problema de selección adversa y contar con una mejor aproximación de la calidad crediticia de sus clientes. El modelo de estos autores predice que el incentivo de compartir información es mayor cuando el mercado crediticio es profundo, la movilidad de prestatarios es alta y la competencia entre bancos es limitada por costos de entrada o factores regulatorios.
En este punto es prudente aclarar la diferencia entre acceso a los servicios financieros y el uso de los mismos. Algunas personas pueden no tener crédito y no ser excluidos de este por razones económicas, sino que simplemente pueden autoexcluirse de ese mercado. Beck y De la Torre (2006) realizan un análisis teórico el cual tiene en cuenta los costos de transacción y las barreras de oferta que implican el riesgo para llegar a un segmento de la población más generalizado y, adicionalmente, tiene presente el problema de autoexclusión que puede darse por el lado de la demanda. Los autores concluyen que la oferta de crédito está condicionada a la posibilidad de identificar los buenos proyectos, a las condiciones macroeconómicas y a la posibilidad que tienen las entidades de cubrirse ante el riesgo de incumplimiento. Como principal resultado, en dicho mercado existe un equilibrio eficiente, en el cual aparece un racionamiento donde todas las personas que demandarían crédito no son satisfechas por la oferta, esto gracias a los riesgos que enfrentan estas entidades.
En cuanto al grup o de la literatura que se concent ra e n el problem a de la ofert a de crédit o, se encontró que la mayoría de trabajos en Colombia pueden catalogarse dentro de este grupo. Echeverry y Salazar (1999), por ejemplo, muestran la presencia de una contracción de la oferta de crédito ocasionada por un deterioro patrimonial y de la calidad de cartera de los bancos a finales de la década de los noventa. Por otro lado, Carrasquilla, Galindo y Vásquez (2000) señalan que la caída en los depósitos explicó, en gran medida, la disminución del crédito a finales de la década de los noventa. Murcia y Piñeros (2006a), por su parte, evalúan los determinantes de la oferta de crédito tratando de identificar la presencia de racionamiento de crédito en la economía colombiana. Los autores, a partir de los balances de las entidades financieras e información de las tasas de interés, determinan que no se encuentra evidencia de este fenómeno en la actualidad, y que el problema del crédito puede estar más vinculado con restricciones de demanda.
Dentro de este grupo de literatura existen trabajos que han identificado diferentes factores que afectan negativamente la oferta de crédito por parte de las instituciones financieras. Por un lado, existen restricciones regulatorias dentro de las cuales se puede incluir el impuesto a las transacciones financieras, el cual ha afectado negativamente la profundización financiera en Colombia (Villar, Salamanca y Murcia, 2005; Carrasquilla y Zárate, 2002, y Salazar, 2005). Este tributo desincentiva el ahorro y aumenta la preferencia de liquidez por parte del público, lo que afecta negativamente el canal de crédito de la política monetaria. Adicionalmente, en Colombia existen límites a las tasas de interés de los créditos: la tasa de interés de usura y la tasa máxima remuneratoria pueden generar incentivos hacia la informalidad del crédito y a la menor oferta de éste (Villar, 2006).
Los problemas institucionales son otro factor relacionado con la regulación que ha influido sobre la oferta de crédito. El Banco Interamericano de Desarrollo (BID, 2005) hace énfasis en la importancia que tienen las centrales de información en el mercado de crédito como mecanismo para disminuir los problemas de asimetrías de información dentro de ese mercado, y como un factor positivo en la obtención de mayor profundización financiera. Adicionalmente, una buena historia crediticia puede facilitar el acceso al crédito de personas que no cuentan con colateral (Villar, 2006).
Otro problema institucional muy grave que afecta la oferta de crédito es el bajo nivel de protección a los acreedores en Colombia. En un panorama donde los mecanismos para ejercer las garantías son muy complicados, los incentivos para asignar crédito son limitados. El BID (2005) muestra algunos indicadores en torno de la duración de los diferentes procesos legales relacionados con el cobro efectivo ante infracciones de tipo financiero, en los que Colombia presenta una situación muy desfavorable.
Por otra parte, otro factor que ha afectado la oferta de crédito es la recomposición de los activos que ha tenido el sector financiero (Murcia y Piñeros, 2006b). El principal activo de los bancos, representado en la cartera, fue sistemáticamente desplazado por la inversión en bonos del Gobierno. A junio de 2006 la participación de las inversiones en el activo del sector financiero llegó al 28%, mientras que en enero de 1997 representaba tan solo el 13%.
Existe otro tipo de limitaciones que pueden ayudar a explicar el bajo nivel de bancarización, tal como lo son las barreras de tipo físico. En algunos estudios, como los del Banco Mundial (2003), en donde se mostró para el caso del crédito rural que las barreras de tipo físico explican en mayor medida su acceso al crédito, frente a los ingresos y al nivel de educación de los individuos en Colombia. En este mismo grupo se puede mencionar el trabajo de Estrada y Rozo (2006), quienes muestran que a nivel de competencia hay una gran heterogeneidad en términos de las diferentes regiones de Colombia, lo que implica niveles de bancarización diversos. Medina y Steiner (2002), por su parte, muestran que los bancos escogen la ubicación de sus oficinas en poblaciones con más de 20.000 habitantes.
En resumen, el segundo grupo de la literatura que analiza la oferta de crédito y sus principales limitantes ha encontrado que hay diferentes aspectos que limitan el mayor otorgamiento de crédito. A pesar de que en este trabajo no se van a analizar en conjunto todos los aspectos, es importante tener presente todos estos factores para entender el reducido acceso al crédito por parte de los hogares colombianos.
Con respecto al tercer grupo de la literatura, es importante mencionar que el conjunto de trabajos que analiza el acceso al crédito en los hogares y las firmas en Colombia es muy reducido. Para el caso de las firmas, el trabajo de Delgado (2003) estudia el impacto de las restricciones crediticias en las decisiones de inversión de las firmas colombianas. La autora concluye que aquellas firmas con mayor grado de apalancamiento y menor tamaño son aquellas que enfrentan mayores restricciones para el acceso a nuevos créditos. Tenjo y López (2002), por su parte, argumentan que la pobre dinámica del crédito en Colombia fue reflejo del ajuste de los distintos agentes a los efectos de la crisis productiva y del sistema financiero. Ellos plantean que la naturaleza de estos efectos se explica a partir de la forma como la economía asimiló las reformas estructurales de inicios de la década y los flujos de capital externo que llegaron posteriormente.
Para el caso de los hogares en Colombia existen muy pocos trabajos que estudian su acceso al crédito; sin embargo, se han dado algunas explicaciones del bajo nivel de profundización financiera, principalmente con respecto a los costos, los cuales afectan negativamente la demanda de crédito. A esto cabe agregar que en Colombia la utilización de los servicios financieros puede llegar a ser muy costosa (Solo y Manroth, 2006). La tarifa por apertura y manejo de una cuenta de ahorros, por ejemplo, puede a llegar a ser una limitante importante, en especial para las personas de ingresos bajos, dado que, como ya se mencionó anteriormente, son las personas con menor acceso a los servicios financieros en Colombia. Además de las restricciones en los costos, Marulanda (2004) muestra también que existen limitaciones en los requerimientos para la apertura de cuentas bancarias. Estos hechos pueden afectar en gran medida la demanda de crédito1.
Por otra parte, a nivel internacional los trabajos se han esforzado en identificar los determinantes de acceso al crédito en un entorno de racionamiento de crédito, donde los hogares cuentan con ciertos inconvenientes que no les permiten tener acceso al crédito de acuerdo con características determinadas. Algunos autores identifican directamente en la encuesta a aquellos individuos que no tienen acceso al crédito y que se encuentran racionados del mismo. En este grupo se destaca el trabajo de Japelli (1990), quien hace un análisis de este tipo para los Estados Unidos, estimando de forma reducida la probabilidad de que un hogar se encuentre racionado, dadas unas características específicas. El autor encuentra que aproximadamente el 20% de los consumidores de ese país enfrentan restricciones de liquidez. Cabe anotar que el modelo utilizado por Japelli (1990) ha sido altamente reconocido en la literatura y su metodología ha sido aplicada en muchos países2.
Otros autores que estudian las restricciones crediticias enfrentan el problema de no contar con una manera directa con la cual identificar a los agentes que tienen o no acce so al crédito, pero se e ncuentran racionados del mismo, por lo cual se debe recurrira un método indirecto, el cual se basa en la hipótesis del ciclo vital-ingreso permanente (HCV-IP) (por ejemplo Hall, 1978; Deaton, 1992, y Hayashi, 1985). Esta hipótesis plantea que, en ausencia de restricciones crediticias, los choques transitorios de ingreso no deben influir sobre el consumo, cuya premisa se basa en la racionalidad que tienen los hogares de suavizar el consumo. En términos prácticos, el encontrar una dependencia significativa del consumo al ingreso transitorio es un indicador de restricciones de liquidez. Esta inferencia ha servido para detectar a los hogares racionados de crédito en distintos países. En este enfoque se destaca el trabajo de Hayashi (1985), quien identifica aquellos hogares racionados de crédito, a partir de la tasa de ahorro. La hipótesis central es que aquellos hogares que ahorran de manera importante no están racionados de crédito, y así se puede cuantificar cuantificar su costo mediante el consumo.
En términos generales, el problema de acceso al crédito involucra factores de oferta y de demanda que no son fácilmente identificables y medibles. La literatura internacional que ha abordado el problema de restricciones crediticias en los hogares se ha centrado en identificar a los racionados y sus características a partir de la información de encuestas a hogares. A nivel microeconómico, la revisión teórica y el modelo expuesto muestran que los determinantes de acceso al crédito radican en la capacidad de generar ingresos en el futuro en un ambiente de riesgo, donde las garantías del crédito y la historia crediticia pueden mitigar parte de las imperfecciones que surgen de los problemas de información en el mercado. Es por esto que el aporte de este trabajo radica en realizar una evaluación del acceso al crédito por parte de los hogares en Colombia, y estudiar la importancia de aquellos factores que determinan que un hogar cuente con un mayor acceso a éste.
IV. ESTIMACIÓN DE LOS DETERMINANTES DE ACCESO AL CRÉDITO
A. DATOS
En términos del acceso a los servicios financieros, en Colombia existen problemas importantes en cuanto a la información, dado que no hay series de encuestas que permitan identificar a los bancarizados y a los no bancarizados, y sus características a lo largo del tiempo.
La ECV recoge una gran cantidad de información de los hogares que ha sido utilizada de manera importante en diferentes áreas; sin embargo, aún no se ha trabajado en temas financieros. Aunque esta encuesta no tiene información específica de solicitudes de los créditos, razones de rechazo y montos; permite recoger datos de una muestra bastante representativa de Colombia, pues obtiene información de todos los individuos que conforman más de 20.000 hogares en diferentes zonas del país. En la ECV hay preguntas que permiten determinar si los individuos son usuarios de crédito hipotecario y de tarjetas de crédito3; también, indaga sobre los años y niveles de educación, tenencia de activos y una base completa de ingresos y gastos.
Es importante anotar que la base de datos utilizada no permite identificar la proporción de las personas que no tienen crédito, cuáles desean tenerlo, y cuáles simplemente se autoexcluyen, lo cual es un aspecto importante para tener en cuenta4.
B. VARIABLES
A partir de la revisión bibliográfica y de un modelo teórico se identificaron las variables importantes para determinar si un individuo tiene o no acceso al crédito. Adicionalmente, se realizó una revisión de la información solicitada a las personas que demandan un crédito a las entidades financieras (Anexo 1), con el fin de identificar otras variables que pueden tener en cuenta las entidades financieras a la hora de otorgar préstamos. A partir de estos análisis se concluyó que las variables que determinan el acceso al crédito corresponden, principalmente, a los flujos de caja futuros del solicitante, el valor de las garantías (modelos como el de Stiglitz y Weiss, 1981, y Bester, 1985 soportan estos determinantes) y una historia crediticia favorable (Pagano y Japelli, 1993). Pero, además pueden existir otras variables no financieras que son importantes a la hora de determinar si una persona tiene acceso a los servicios financieros, como lo es la ubicación geográfica y el género5.
Como aproximación del flujo de caja del aspirante del crédito, las entidades financieras pueden tomar el nivel de ingresos del aspirante, el acceso a un sistema de seguridad social, la edad del solicitante, el nivel de estudio que tenga, y el hecho de tener acceso a un subsidio de vivienda por parte del Gobierno. Estas variables están relacionadas con la posibilidad de generar ingresos futuros, lo cual le permitirá a los agentes cumplir con sus obligaciones y, por esta vía, ser contemplados como menos riesgosos.
El nivel de riqueza de los hogares está simultáneamente relacionado con el hecho de poder generar ingresos a futuro (flujo de caja), y con el nivel admisible de un colateral con el cual podría contar un hogar a la hora de solicitar un crédito, ya que combina criterios de ingresos, tenencia de activos, nivel de educación, acceso a servicios públicos, entre otros. Es importante, entonces, tomar el nivel de riqueza como variable explicativa en el acceso al crédito, ya que a nivel teórico el valor presente de los ingresos futuros corresponde al nivel de riqueza de un hogar. En este documento se calculó un índice de riqueza (IR) que combina varios de estos elementos con el fin de evaluar la importancia del nivel de riqueza en términos de la probabilidad de acceder a un crédito por parte de cada hogar. El argumento básico de la metodología con el cual se construyó este indicador de riqueza se fundamenta en la combinación de un conjunto importante de características tales como materiales de la vivienda, acceso y calidad de servicios domiciliarios, tenencia de activos durables y nivel de ingresos. Estas características se encuentran agregadas en un solo indicador por medio de unos coeficientes que recogen, de la mejor manera, la información en común de estas características. La combinación de las variables permite generar ponderaciones acordes con la información en la muestra, y así clasificar a los hogares de acuerdo con la tenencia o carencia de diferentes características deseables (como acceso a servicios públicos, educación, vivienda digna, nivel de ingresos suficientes, entre otros). La metodología utilizada para construir el IR se realiza por medio del uso de componentes principales6 una explicación en torno de la construcción de este indicador y los aspectos particulares de los hogares tenidos en cuenta se encuentra en el Anexo 2.
El nivel de ingresos del hogar se encuentra altamente correlacionado con el nivel de riqueza de los hogares, por tanto, en las estimaciones se trataron por aparte, es decir, en una especificación se estimó el modelo con el IR y en otra con el nivel de ingresos. Aunque las dos variables no recogen particularmente lo mismo, dado que el indicador de riqueza comprende un conjunto amplio de características de los hogares, además del ingreso, el problema de multicolinealidad podría sesgar los resultados.
Como se mencionó anteriormente, la historia crediticia puede desempeñar un papel fundamental en torno del acceso al crédito. El hecho de tener historia crediticia puede influir positivamente sobre la probabilidad de una persona de tener acceso al crédito. En ciertos casos, la única garantía que puede ofrecer un demandante de crédito es una buena historia crediticia. En este trabajo se quiere identificar el hecho de que una persona tenga una mala historia que se ve reflejado en el no pago de sus obligaciones. Para ello se construyó un índice de no pago (Nopago), desde la misma metodología con la cual se construyó el IR. La información de la cual surge este indicador está en una pregunta de la encuesta que indaga si los hogares se atrasaron en los pagos que correspondían a las cuotas de administración, los impuestos, sus cuotas hipotecarias y los servicios públicos durante 1998 a 2002, año cuando se aplicó la encuesta. Es importante mencionar que aunque las centrales de riesgo no cuentan con información que reporta el atraso en algunos de los pagos que se están utilizando pa r a const r ui r de la va r iable Nopago, es de esperarse que el incumplimiento en los pagos esté asociado con una mala historia en los créditos que la gente posee una explicación detallada de la construcción de esta variable se encuentra en el Anexo 3.
En el Cuadro 5 se muestra un resumen de las variables utilizadas como determinantes del acceso al crédito y sus signos esperados.
Es importante resaltar que en esta sección se cuenta con una observación en el tiempo (2003) por problemas de disponibilidad de datos, lo que limita de cierta forma el alcance de las conclusiones. Sin embargo, aunque el análisis presentado es limitado en términos de dinámica, es rico en términos de observaciones y variables relevantes a nivel de individuos.
La ecuación estimada es similar a la planteada inicialmente por Japelli (1990) y por los trabajos subsiguientes que calculan la probabilidad de acceso al crédito en función de unas características observables de los hogares; la cual se puede representarse de la siguiente forma:
Donde la variable dependiente Credi. es dicotómica, y toma los valores de uno si el hogar cuenta con crédito y de cero si no lo hace7. El hecho de estimar la probabilidad de acceso al crédito en términos de las variables acá analizadas supone una relación de causalidad. Por esto hay que interpretar los resultados con cierta cautela: por ejemplo, el hecho de que un individuo se ubique en una zona urbana no implica per se que tenga una mayor probabilidad de tener acceso al crédito. Sin embargo, al tomar dos individuos con exactamente las mismas características de ingresos, educación, historia crediticia y demás factores, pero que tan sólo difieren en la zona en donde se ubica su hogar, se puede afi rmar que el individuo de la zona urbana tiene mayor probabilidad de acceder a un crédito. La razón puede estar vinculada a una cuestión de oferta: es más barato ofrecer servicios financieros a estos clientes; o de demanda: las entidades financieras están a la mano, por lo que es atractivo demandar servicios en el área urbana. La base de datos no permite discriminar entre las dos hipótesis, por tanto, el problema de acceso se restringe a analizar el uso de servicios financieros en función de características observables de los hogares.
La población total se dividió en quintiles8 según nivel de ingresos totales y el indicador de riqueza de los hogares, partiendo del nivel más bajo de riqueza y de ingresos, respectivamente. Estas variables están representadas por Wi.
En el conjunto de variable Xi se encuentran las otras variables explicativas. Entre ellas se ubica la edad, los años de educación, el género, el contrato laboral que tiene el jefe de hogar, la historia de no pago, los años de educación, el índice de historia crediticia y la zona a la cual pertenece el hogar.
El método de estimación utilizado corresponde a un modelo probabilístico probit en donde la variable dependiente corresponde al uso del crédito en función de algunas características observables en la encuesta utilizada (una justifi cación y explicación de los modelos probit se encuentra en el Anexo 4). Se estimó el modelo tanto para el caso del crédito hipotecario como para el crédito con tarjeta. El sujeto de análisis del presente estudio es el jefe de hogar, pues de él se cuenta con toda la información necesaria para analizar.
C. RESULTADOS ECONOMÉTRICOS
Los resultados para el crédito hipotecario son presentados en el Cuadro 6. En estimaciones de tipo probit se recomienda mostrar los coefi cientes marginales por su facilidad de interpretación, ya que son equivalentes a una elasticidad (cambio en la probabilidad por cambio en una unidad de la variable explicativa). En el panel A de dicho cuadro se muestra el resultado del modelo, utilizando la riqueza de los hogares aproximada por el IR. En el panel B aparecen los resultados para el modelo, donde la variable explicativa W corresponde al nivel de ingresos.
En términos de las variables que tratan de recoger la capacidad de los deudores para generar flujos de ingreso futuro, se encontró que el nivel de riqueza (medido por el IR) es una variable determinante para definir la probabilidad de uso del crédito hipotecario. Pertenecer al quintil de riqueza más alto aumenta la probabilidad de uso de este tipo de crédito en 11,7%; en comparación con una persona que se encuentra en el quintil de riqueza más bajo, controlando por las demás variables. Por otro lado, una mayor cantidad de años de educación está relacionada con más probabilidades de tener acceso al crédito; por ende, se puede afirmar que las políticas dirigidas a ampliar los niveles de educación de la población ayudan a incrementar el grado de bancarización en Colombia.
Por otra parte, el hecho de que un hogar sea beneficiario del crédito de vivienda incrementa la probabilidad de tener acceso al crédito. Este resultado es interesante, pues sugiere que para incrementar el grado de bancarización en Colombia el Gobierno podría aumentar el alcance de los subsidios de vivienda; sin embargo, esta conclusión no puede desprenderse de este análisis directamente. Por un lado, este resultado sugiere que el Gobierno, al otorgar subsidios, les está dando la oportunidad a las personas de ser beneficiarias de crédito; no obstante, los incentivos pueden no ser afines con el objetivo inicial de la subvención. Por el lado de la oferta, las entidades financieras pueden ofrecer créditos tan sólo a las personas que son beneficiarias de los subsidios del Gobierno, lo que hace más limitada la labor de selección y evaluación del riesgo por parte de las entidades financieras. El Gobierno, al otorgar los subsidios de vivienda, indirectamente está escogiendo a las personas beneficiarias de futuros créditos en los segmentos de bajos ingresos.
Por otro lado, algunas características tales como vivir en una zona urbana, sumadas a que la cabeza de familia sea un hombre, también están asociadas con una mayor probabilidad de ser usuarios del crédito hipotecario bancario.
Para el caso del acceso al crédito con tarjeta se incluyó una variable Nopago, la cual corresponde a una proxy que refleja una mala historia de no pago. Los resultados de esta estimación son presentados en el Cuadro 7: nuevamente el panel A corresponde a tomar al IR como una de las variables que pueden aproximar la capacidad de generar flujos futuros como variable determinante del acceso al crédito, y en el panel B se tomó el nivel de ingresos como esta aproximación.
En este último caso, el aumento en la probabilidad de acceder a un crédito aumenta mucho más a medida que suben los ingresos, en comparación con lo presentado en el crédito hipotecario. Una persona que pertenezca al quintil de ingresos más alto tiene un 25,0% más de probabilidad, frente a una persona que se encuentra en el quintil de ingresos más bajo. Esta diferenciación también es clara si se tiene en cuenta el indicador de riqueza (IR). Igualmente, otras variables que influyen sobre la capacidad de los deudores para generar flujos futuros, tales como la educación y la afiliación al sistema de seguridad social, afectan de la manera esperada la probabilidad de tener acceso al crédito.
Analizando los resultados para las demás variables, se puede encontrar que características tales como la ubicación del hogar en una zona urbana está asociada con una mayor probabilidad de uso de tarjeta de crédito. La variable que recoge la mala historia de pago tiene el signo esperado (negativo), lo cual demuestra que una pésima historia crediticia está asociada con una menor probabilidad de acceder a este tipo de crédito; sin embargo, ésta no resultó estadísticamente significativa sólo a los niveles de confianza comúnmente aceptados. Por otro lado, la variable que recoge el género del jefe del hogar no resultó estadísticamente significativa, es decir que no hay una diferenciación clara en términos de utilización de tarjetas de crédito entre hombres y mujeres.
Es particularmente interesante que la ubicación geográfica desempeñe un papel tan fundamental en la probabilidad de acceder a los créditos, después de haber controlado por las variables que teóricamente determinan que un hogar cuente con este servicio financiero. Este hecho sugiere un problema importante de oferta de servicios financieros en las zonas rurales, el cual puede estar vinculado con los altos costos de proveer servicios financieros directamente a la población rural, debido en parte, a los problemas de seguridad y a los pocos incentivos que tienen las entidades financieras de ir a las zonas rurales a ofrecer sus servicios financieros. Por un lado, existen problemas de costos asociados con la dificultad de desplazamiento desde las zonas urbanas hasta rurales, y por otro, son latentes los problemas de identificación y de valoración de riesgo de los clientes en las zonas rurales, ya que los bancos pueden tener dificultades para evaluar los proyectos que demandan las familias en dichas áreas, principalmente por falta de información. Los créditos en las zonas rurales han sido suplidos por entidades públicas como el Banco Agrario (antes la Caja Agraria), lo cual ha generado, de cier ta for ma, un posicionamiento de estas entidades en zonas donde los bancos comerciales tradicionales no han llegado. Por esta razón puede haber un efecto competencia por el cual no es atractivo para un solo banco ampliar su red de oficinas de manera importante hacia dichas zonas.
Sin embargo, en la actualidad las medidas adoptadas por el Gobierno desde el esquema de la Banca de las oportunidades pueden reducir las restricciones de costos que tengan las entidades financieras para ofrecer sus servicios en zonas marginadas, y así lograr una oferta mayor. Esto se logra gracias a que funciona desde un modelo de corresponsales no bancarios, en el cual las entidades financieras proveen los servicios bancarios indirectamente mediante otro tipo de establecimiento (p.e. tiendas, droguerías, cadenas de almacenes, entre otros).
Otro hecho particularmente interesante se encuentra en que la educación resultó ser un factor fundamental en términos de tener acceso a los servicios financieros analizados. La educación permite generar ingresos, lo que hace a los deudores menos riesgosos. Una población más educada está relacionada con mayores niveles de acceso al crédito y, por tanto, a un mayor nivel de bancarización.
Por último, es importante analizar de manera global a la población que no cuenta con acceso a los servicios financieros acá analizados. Se calcularon las tasas de ahorro de los hogares colombianos con base en la encuesta utilizada en este trabajo, la cual cuenta con información completa sobre ingresos y gastos totales de los hogares9. La tasa promedio de ahorro10 de un hogar en Colombia para la encuesta estudiada corresponde al 4,82%. Al analizar la relación entre la tasa de ahorro y el acceso al crédito se encontró que el 57,23% de la población tiene un alto nivel de ahorro11, pero no cuenta con crédito hipotecario. Este porcentaje equivale al 53,95% en el caso del crédito con tarjeta.
Este último resultado hay que interpretarlo con mucho cuidado, dado que las personas con altas tasas de ahorro posiblemente no necesiten o no deseen contar con los créditos, por lo que el problema de autoexclusión puede llegar a sesgar de manera importante este resultado. No obstante, llama la atención que una gran proporción de las personas que no cuentan con acceso al crédito presentan unas altas tasas de ahorro, lo que sugiere la existencia de un segmento potencial significativo en donde existen altas tasas de ahorro sin acceso a los servicios de crédito contemplados en este estudio.
En síntesis, se encontró que la probabilidad de acceder a un crédito depende, en gran medida, de las características socioeconómicas de los hogares. Una mayor capacidad de generar ingresos a futuro, lo cual está asociado con unos mayores niveles de ingreso, riqueza, la presencia de un contrato de trabajo y mayores niveles de educación, incrementan de manera significativa las probabilidades de contar con los servicios analizados. Adicionalmente, la posición geográfica influye en gran medida sobre la probabilidad de acceder al crédito, relación que soporta las medidas que impulsan el acceso a los servicios financieros, en especial en las zonas rurales.
V. CONCLUSIONES
La estrecha relación existente entre el desarrollo económico y la profundización financiera ha generado un interés especial en entender el mercado de servicios financieros y sus posibles restricciones. El nivel de profundización financiera, medida como el crédito privado sobre PIB y mediante la proporción de la población con acceso a los servicios financieros, es bajo en Colombia, aun si se compara con los niveles exhibidos por países con niveles de desarrollo similares. Entre este conjunto de posibles explicaciones se esgrimen problemas de regulación, costos, políticas institucionales, tales como la preferencia por parte de títulos de deuda pública, y barreras de tipo físico.
Con información de la Encuesta de calidad de vida de 2003, año en cuando se inicia una fase importante de expansión del crédito después de la profunda crisis financiera de la década pasada, se identificaron los determinantes socieconómicos que influyen sobre la probabilidad de ser usuario de crédito hipotecario y de tarjeta de crédito. Para ambos casos existe una relación positiva entre mayores niveles de ingresos y de riqueza. Para el caso del crédito hipotecario, pertenecer al quintil más alto de riqueza aumenta la probabilidad de ser usuario de dicho crédito en 11,7%, en comparación con un hogar que se encuentra en el quintil de riqueza más bajo. Para los créditos con tarjeta, la concentración en los niveles de riqueza altos es mucho mayor, puesto que pertenecer al quintil más alto de riqueza incrementa en 27,1% la probabilidad de ser usuario de tal crédito, en comparación con un hogar que está en el otro extremo.
También son importantes algunas características tales como la ubicación geográfica, los años de educación, el acceso a la seguridad social, el hecho de ser beneficiario de un subsidio de vivienda y la edad, para aumentar la probabilidad de contar con los servicios financieros estudiados. El hecho de que un aspecto como la posición geográfica influya de manera tan importante sobre la probabilidad de acceso al crédito, después de haber controlado por las variables que teóricamente determinan dicho acceso, sugiere que hay problemas importantes en la provisión de servicios financieros en las zonas rurales.
Igualmente, el hecho de que el subsidio de vivienda influya de manera importante sobre la probabilidad de ser usuario de crédito hipotecario refleja una gran relevancia de la política del Gobierno en lo que concierne a la bancarización; sin embargo, de este resultado no se desprende que para alcanzar mayores niveles de bancarización el Gobierno debería otorgar más subsidios de vivienda. La importancia de la alineación de incentivos y una correcta política de focalización del gasto deben acompañar un proceso en esta dirección.
Se encontró, también, que una gran proporción de la población cuenta con un excedente de ingresos (representado en una alta tasa de ahorro), pero no hacen parte de los usuarios que acceden al crédito. Es posible que gran parte de esta población se autoexcluya de los servicios financieros por no necesitar el crédito, aunque la base de datos utilizada no nos permite discriminar este segmento de la población; sin embargo, llama la atención el reducido grupo que tiene acceso al crédito, frente a las condiciones favorables con las que cuenta gran parte de la población que no accede a él.
Las medidas que tienden a incrementar el acceso al crédito de los hogares colombianos, como es el caso de los corresponsales no bancarios en el programa de la Banca de las oportunidades, son importantes. La ampliación de la cobertura de estos servicios debe ir acompañada por un seguimiento minucioso en la evaluación del riesgo implícito de prestarle a un segmento de la población más generalizado. El actual proceso denominado Reforma financiera tiene en cuenta otros aspectos importantes que pueden ayudar a que se amplíe el acceso a los servicios financieros. Cabe destacar el proyecto de Ley 27 de 2006 de habeas data, con el cual se busca mejorar la calidad de información financiera de las personas, para así lograr un mejor acceso al financiamiento para un conjunto de población más amplio. Existe evidencia a nivel internacional que señala que una mayor cantidad y calidad de información permite ampliar la profundización financiera.
A futuro hay varios trabajos que se pueden realizar en este tema, siempre y cuando se cuente con fuentes de información mejoradas. Acá se analizó el acceso al crédito a partir del uso de algunos servicios financieros. Este aspecto puede ser sujeto de críticas, pues no captura el problema de la autoexclusión, la cual consiste en que las personas deciden no acceder a ciertos servicios financieros simplemente porque no lo desean. Fuentes de información que permitan separar este grupo de la población, al igual que tengan unos registros a través del tiempo, ayudarían de manera significativa al análisis de este tema tan relevante para el desarrollo de la economía colombiana.
COMENTARIOS
1 Otro costo que mencionan Solo y Manroth (2006), y que es importante tener en cuenta, es el de los retiros, en especial cuando este corresponde a una transacción en un cajero de un banco diferente al del administrador de la cuenta. Esta tarifa corresponde en promedio al 0,8% del salario mínimo mensual, lo cual es una tarifa realmente alta, en comparación a lo encontrado en otros países. Por otra parte, estos mismos autores estiman que las cuotas de manejo de instrumentos tales como las tarjetas de crédito oscilan entre 4% y 5% del salario mínimo mensual.
2 La metodología consiste en identificar las personas que tienen un acceso adecuado al crédito, en función y mediante modelos probabilísticos, y así hallar la importancia de ciertas características propias de los hogares este método fue utilizado posteriormente por Zeller (1994); Schrieder y Heidhues (1995), y Zeller, Sumiter y Sharma (1996) para los casos de Madagascar, Camerún y Pakistán, respectivamente.
3 En el caso de los créditos de consumo hay un espectro mucho más amplio: por ejemplo, los créditos de libre inversión, los créditos para adquisición de vehículos, la financiación de electrodomésticos por parte de algunos establecimientos comerciales, entre otros. En este estudio se toma en cuenta únicamente con información de los usuarios de tarjetas de crédito, por lo que fue necesario dejar de lado el resto de préstamos de consumo.
4 Hacia futuro se espera que los trabajos que evalúen el tema del acceso a los servicios cuenten con esta discriminación en la información, para identificar a las personas que son excluidas de los servicios financieros.
5 Como el individuo de estudio es el jefe del hogar, puede pensarse que hay un sesgo en torno de la variable de acceso al crédito en cuanto al género; sin embargo, en la muestra aunque la mayoría de los jefes del hogar son hombres (68,11%), hay una participación importante de mujeres dentro de los jefes del hogar (31,89%), lo que valida la inclusión de esta variable.
6 Una explicación acertada de esta metodología se encuentra en Stevens (2002).
7 Para el caso del crédito hipotecario se identificaron sus beneficiarios mediante una pregunta de la encuesta que indagaba sobre la forma como los jefes de hogar habían financiado su vivienda. Los usuarios de crédito hipotecario contemplados en este estudio son aquellos que se financiaron por medio de un establecimiento bancario (banco comercial o corporación de ahorro y vivienda). Los usuarios de crédito con tarjeta se identificaron a través del módulo de gastos personales de la encuesta. Los usuarios de tarjeta de crédito son aquellos hogares en donde se reportó un gasto positivo en este concepto.
8 También se realizó la estimación utilizando la variable en niveles, y se encontró que los resultados son consistentes.
9 Tal como lo mencionan Melo, Zárate y Téllez (2006), la agregación de ingresos y gastos de los hogares no es una tarea sencilla; adicionalmente, los datos agregados obtenidos a nivel microeconómico no son equivalentes a los reportados en las Cuentas Nacionales. Para el caso de los ingresos totales se tuvo en cuenta la agregación propuesta por el DNP, donde, además de ingresos laborales, se incluyen ingresos de capital y otras fuentes alternativas. Para calcular los gastos del hogar se sumaron todas las categorías de gasto reportadas en la ECV, teniendo en cuenta que los rubros mezclaban gastos mensuales, trimestrales y anuales. Todos se expresaron en términos mensuales.
10 Definida como la razón entre diferencia de los ingresos y gastos totales sobre los ingresos totales. Corresponde a una de las definiciones de ahorro que tomaron Melo, Zárate y Téllez (2006).
11 Se define como alta tasa de ahorro aquella tasa mayor a la que representa el el tercer quintil de la distribución del ahorro de los hogares en Colombia. Esta tasa equivale a 30,9%.
INFORMACIÓN SOLICITADA POR LAS ENTIDADES FINANCIERAS PARA EL OTORGAMIENTO DE CRÉDITOS
En un ejercicio similar al expuesto en Negrín y De la Cerda (2002), se identificó la información requerida en las solicitudes de crédito por parte de las entidades financieras. Para un crédito de vivienda la gran mayoría de las entidades financieras requieren, como mínimo, los siguientes documentos al momento de solicitar un préstamo hipotecario:
INFORMACIÓN PARA CRÉDITO DE VIVIENDA
Para el caso de empleados:
Certificación laboral (que incluye información de cargo, sueldo, antigüedad y tipo de contrato).
Certificado de ingresos y retenciones y/o declaración de renta.
Comprobantes de pago de los últimos meses.
Extractos bancarios de los últimos meses.
Soporte de ingresos adicionales (en caso de que lo laboral no sea suficiente para el crédito).
Para el caso de independientes:
Declaración de renta.
Ceriticado de la Cámara de Comercio.
Extractos bancarios de los últimos meses.
Estados financieros (para el caso de las personas naturales).
PARA EL CASO DE UN CRÉDITO DE CONSUMO
Certificado de ingresos y retenciones de la Dirección de Impuestos y Aduanas Nacionales (DIAN)
Comprobantes de pago de los últimos meses (algunos casos).
Autorización para consulta y reporte en centrales de riesgo.
Fotocopia de la cédula de ciudadanía.
Certificado laboral (para el caso de empleados)
Información de la empresa: NIT, actividad económica y fecha de constitución (para el caso de independientes).
Referencias personales e información del cónyuge (si aplica).
Información de cuentas financieras (extractos bancarios).
Información de activos (finca raíz y vehículos).
Autorización de descuento automático (algunos casos).
CONSTRUCCIÓN DE UN ÍNDICE DE RIQUEZA
Los ingresos del hogar son una aproximación a los flujos de caja futuros que se pueden generar en un círculo familiar; adicionalmente, muchos lo usan para aproximarse al nivel de bienestar y riqueza con el que cuenta un hogar; sin embargo, esta aproximación puede estar muy sesgada, pues es necesario tener en cuenta la tenencia de activos en el hogar, el acceso a servicios domiciliarios y las características propias de la familia para tener una visión más completa del concepto de riqueza.
Aunque existen diferentes definiciones de riqueza, este documento no pretende entrar en la discusión de su definición, sino construir una variable que permita generar una proxy de riqueza de los hogares, teniendo en cuenta sus diferentes características. Si la finalidad fuera construir un índice que se aproxime de la mejor forma al nivel de bienestar de la población, sería más apropiado adoptar un indicador de riqueza ya construido en la Encuesta de calidad de vida, como es el caso del índice de condiciones de vida (ICV), calculado por el Departamento Administrativo Nacional de Estadística (DANE) y el Departamento Nacional de Planeación (DNP), el cual tiene en cuenta muchos más elementos que nuestro indicador. No obstante, por ejemplo dicha medida tiene en cuenta aspectos relacionados con la educación, que en el presente trabajo es analizada por separado, pues es relevante saber si un mayor nivel de estudios implica una mayor probabilidad de estar bancarizado (en el sentido del crédito), independiente del nivel de riqueza.
El índice de riqueza (IR) es calculado de manera similar al ICV. Para este fin se utilizó un procedimiento estadístico mediante el uso de componentes principales con el objetivo de calcular la importancia de los diferentes activos y sus características dentro de tal índice. Esta metodología ha sido utilizada antes en la literatura: trabajos como el Filmer y Pritchet (1999) calculan un IR utilizando esta metodología, con el fin de estudiar el efecto que tiene el incremento en el bienestar en la asistencia escolar para el caso de India. La metodología se basa en calcular un índice ponderado de las variables a través del procedimiento de componentes principales (Hotelling, 1933). Si las variables empleadas en el análisis son todas de carácter numérico y están relacionadas linealmente, el índice ponderado es el primer componente principal del sistema de variables, el cual es la combinación lineal de las variables que tiene máxima información de ellas. Las variables estudiadas aquí son todas de carácter numérico, por lo que el cálculo del primer componente principal es suficiente para ponderar directamente las características de los diferentes activos.
Siguiendo las definiciones presentadas en Filmer y Pritchet (1999), el resultado del análisis por componentes principales es un índice de activos para cada hogar, el cual se basa en la siguiente ecuación:
Donde f1 es el scoring factor para el activo 1, el cual corresponde a la importancia asignada para el activo 1 (normalizado por su media y desviación estándar) en la combinación lineal de los activos que constituyen el primer componente principal; aj1 es el valor de la característica 1 para el hogar j; a1 es el promedio del valor de la característica 1 para el total de la población, y s1 es la desviación estándar en el valor del activo 1 dentro de todos los hogares.
Para la construcción del IR se tuvo en cuenta la información suministrada por el jefe de hogar respecto a las características que se consideraron relevantes en términos de riqueza. Entre estas se pueden mencionar:
1. CARACTERÍSTICAS FÍSICAS DEL HOGAR
Materiales adecuados de la vivienda y de los pisos.
Tipo de vivienda.
Acceso a servicios públicos domiciliarios: agua, luz, alcantarillado, recolección de basuras y servicios de comunicación.
Riesgos a los cuales se enfrenta la vivienda.
Lugar adecuado para preparar alimentos.
Cuarto de baño.
Calidad adecuada de los servicios públicos.
2. TENENCIA DE ACTIVOS
Se considera que la tenencia de los siguientes activos genera riqueza en los hogares:
Vivienda
Lavadora
Nevera
Estufa eléctrica o a gas
Computador para el uso del hogar
Medio de transporte privado (carro o motocicleta).
3. CONDICIONES DE VIDA
Ausencia de analfabetismo.
Ausencia de trabajo infantil.
Afiliación a un sistema de salud.
Buena alimentación.
Percepción de una mejoría con respecto a la situación económica de los padres (movilidad social).
No se considera pobre (valoración subjetiva).
La metodología utilizada permite asignarle un puntaje a cada hogar de acuerdo con las características presentadas.
CONSTRUCCIÓN DE UN ÍNDICE DE HISTORIA DE NO PAGO
Para los créditos de consumo como los otorgados mediante una tarjeta de crédito no existe un colateral admisible. Para disminuir el riesgo de prestar sin garantías, las entidades financieras le dan gran importancia a la historia crediticia. Para el objetivo de este estudio es de vital importancia construir un indicador de historia de pago para diferenciar a los hogares que se caracterizan por tener una buena historia de pago de los que no. Para la construcción del índice de historia de no pago se tuvo en cuenta la información suministrada por los hogares, con respecto a los pagos comprendidos entre 1998 y 2003.
Pago de vivienda (v) (cuatro meses o más de manera continua)
Pago de servicios públicos (sp) (cuatro meses o más de manera continua)
Pago de cuota de administración (admon) (cuatro meses o más de manera continua)
Pago de impuestos (imp) (predial, valoración o renta)
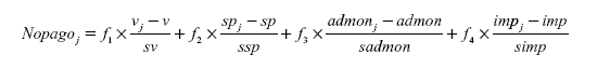
El índice de historia de no pago (Nopago) para el hogar 7 se calcula de acuerdo con la siguiente expresión:
Donde vj toma los valores de 1 si el hogar respondió positivamente a que se había atrasado en los pagos de la vivienda para el período comprendido entre 1998 y 2003; v corresponde a la media poblacional de los hogares que respondieron que se habían atrasado en este pago; sv es equivalente a la desviación estándar de esta característica; el coeficiente f1 corresponde a la importancia asignada por la estimación del primer componente principal de las características de no pago estudiadas. La misma lógica aplica al atraso en los demás pagos considerados. La suma ponderada por la importancia relativa obtenida del análisis de componentes principales corresponde al índice de historia de no pago (Nopago).
Por considerar estas cuatro características se pueden obtener 16 puntajes diferentes, de acuerdo con las combinaciones posibles de atrasos en los pagos. En el Cuadro A3.1 se muestra un resumen de los diferentes resultados. Los puntajes obtenidos se catalogan con una calificación arbitraria de los créditos. Por lo general, la calificación de los créditos tiene una escala desde AAA hasta F de acuerdo con el riesgo de no pago. Acá se utilizó la misma califi cación de forma ilustrativa; sin embargo, se tienen en cuenta características que no utilizan las entidades financieras y las calificadoras de riesgos, como lo es la lectura de los atrasos en pagos, que no necesariamente implican atrasos en obligaciones financieras.
Como se puede ver en el Cuadro A3.1, la mayoría de los hogares presenta una buena calificación, según nuestro indicador: el 78,1% de los hogares se clasificaron entre la mejor calificación, pues declararon no haberse atrasado en ninguno de los pagos que se tuvieron en cuenta.
Dentro del índice, el atraso de los diferentes pagos pesa de manera heterogénea. Para poder interpretar la importancia relativa de las diferentes características, a continuación se presenta el Cuadro A3.2 con las estadísticas descriptivas del indicador. La media del índice es igual a 0 por construcción, y la desviación estándar es igual a 1,2.
Todas las variables tienen un valor de 1 si el hogar se atrasa en el pago en cuestión, y 0 de lo contrario.
Para facilitar la interpretación de las ponderaciones, se tiene en cuenta que: un cambio de uno a 0 para el pago i cambia el índice en fi/si, donde fi es el ponderador obtenido con el análisis de componentes principales y si es la desviación estándar de la población en dicha característica: por ejemplo, un hogar que se atrase en el pago de vivienda tiene un valor en su índice de historia de no pago mayor en 1,9891, con respecto a un hogar que sí realizó ese pago en el período de estudio.
MODELOS PROBIT
Siguiendo a Greene (2002), en estimaciones de tipo econométrico donde la variable dependiente es dicotómica (toma los valores de 0 o de 1), se busca estimar la probabilidad de que dicha variable tome un valor determinado (1 o 0) con ciertos factores que la explican. Dada una variable dependiente Y y un vector de variables explicativas recogidas en X, se encuentra que:
Donde el conjunto de parámetros β recoge el impacto de los cambios en X sobre la probabilidad de que la variable dependiente tome cierto valor.
Al estimar dicha relación mediante un modelo de mínimos cuadradados ordinarios (MCO) surgen varios problemas: heterocedasticidad, distribución no normal de los errores y las estimaciones podrían arrojar valores mayores que uno o menores que cero en los coeficientes. Adicionalmente, el estimador de R2 deja de ser un indicador de ajuste del modelo.
La literatura recomienda el uso de otro tipo de modelos los cuales producen predicciones consistentes teóricamente. Para un vector de características multiplicado con sus respectivos coeficientes que explican la probabilidad de tomar cierto valor (1 o 0) se encuentra que:
Al ver esta condición, se pueden encontrar infinidad de distribuciones que cumplen con las características anteriormente mencionadas; no obstante, por lo general se trabajan con distribuciones conocidas. En el caso de la distribución normal se expresa la probabilidad condicional como:
Donde Φ(.) corresponde a la probabilidad acumulada de la función de distribución normal. Algunos estudios trabajan con otro tipo de distribución, como la logística (modelos logit): dicha distribución tiene una estructura muy similar a la normal, con excepción de las colas de la distribución, donde éstas son más anchas. En este documento se estimó también un modelo logia; sin embargo, los resultados no cambian de manera significativa.
El modelo probabilístico estimado parte de una regresión que iguala el valor esperado de la variable dependiente, dados los factores explicativos con la distribución aculumulada de probabilidad:
En particular, para el caso del modelo probit se obtiene que el cambio de este valor esperado en torno a X es igual a la función de densidad de la distribución normal multiplicado por los parámetros estimados. De esta forma:
REFERENCIAS
1. Baca-Campodónico, J.; De Mello, Luiz; Ki-rilenko, A. The Rates and Revenue of Bank Transaction Taxes, working paper, núm. 494, OCDE, Economics Department, 2006. [ Links ]
2. Baltenperger, E. The Borrower-Lender Relationship, Competitive Equilibrium and the Theory of Hedonic Prices, American Economic Review, vol. 66, núm. 3, pp. 401-405, 1976. [ Links ]
3. Banco Interamericano de Desarrollo. Desencadenar el crédito: cómo ampliar y estabilizar la banca, Informe de progreso económico y social en América Latina 2005, Washington, D. C., 2005. [ Links ]
4. Banco Mundial. Colombia Rural Finance, Access Issues, Challenges and Opportunities, Washington, D. C., 2003. [ Links ]
5. Barajas, A.; Steiner, R. Credit Stagnation in Latin America; working paper, núm. 02/53, Fondo Monetario Internacional, Washington, D. C., 2002. [ Links ]
6. Barajas, A.; López, E.; Oliveros, H. ¿Por qué en Colombia el crédito es tan reducido?, Borradores de Economía, núm. 185, Banco de la República, 2001. [ Links ]
7. Beck, Th.; De la Torre, A. The Basic Analytics of Access to Finance, working paper, núm. WPS4026, Banco Mundial, octubre de 2006. [ Links ]
8. Bester, H. Screening vs. Rationing in Credit Markets with Imperfect Information, American Economic Review, vol. 75, núm. 4, pp. 850-855, 1985. [ Links ]
9. Boot, J. C. G; Feibes, W.; Lisman, J. H .C "Further Methods of Derivation of Quarterly Figures from Annual Data", Applied Statistics, vol. 16, núm. 1. pp. 65-75, 1967. [ Links ]
10. Calem, P. The Strange Behavior of the Credit Card Market, Business Review, Federal Reserve Bank of Philadelphia, pp. 3-14, enero de 1992. [ Links ]
11. Carrasquilla, A.; Galindo, A.; Vásquez, D. El gran apretón crediticio en Colombia: una interpretación, Coyuntura Económica, vol. XXX, núm. 1, Fedesarrollo, Bogotá, pp. 107-115, 2000. [ Links ]
12. Carrasquilla, A.; Zárate, J. P. Regulación ban-caria y tensión financiera: 1998-2001, ANIF (ed.), El sector financiero de cara al siglo XXI, Tomo I, Asociación Nacional de Instituciones Financieras (ANIF), Bogotá, pp. 215-230, 2002. [ Links ]
13. Caskey, J. P. Bringing Unbanked Households into the Banking System, Capital Exchange Journal. The Brookings Institution, Center on Urban and Metropolitan Policy and Harvard University Joint Center for Housing Studies, Washington, D.C., enero de 2001. [ Links ]
14. Claessens, S. Access to Financial Services: A Review of the Issues and Public Policy Objec-tives, The World Bank Research Observer, vol. 21, pp. 207-240, Banco Mundial, 2006. [ Links ]
15. De la Cerda, C. El efecto de las restricciones de liquidez sobre el consumo: los hogares mexicanos antes y después de la crisis, Gaceta de Economía, año 7, núm. 14, Banco de México, 2000. [ Links ]
16. De la Torre, A.; Schmukler, S. Innovative Experiences in Access to Finance: Market Friendly Roles for the Visible Hand, Latin America Regional Study, Banco Mundial, 2006. [ Links ]
17. Deaton, A. Understanding Consumption, Oxford, Oxford University Press, 1992. [ Links ]
18. Delgado, C. Inversión y restricciones crediticias en la década de los 90 en Colombia, Archivos de Economía, documento 241, Departamento Nacional de Planeación, 2003. [ Links ]
19. Denton, F. Adjustment of Monthly or Quarterly Series to Annual Totals: An approach based on Quadratic Minimization, Journal of the American Statistical Association, vol. 66, núm. 333, pp. 99-102, marzo de 1971. [ Links ]
20. Desai, M. ¿Bienestar y privación vitales?: propuesta para un índice de progreso social, Comercio Exterior, vol. 42, núm. 4, pp. 327-339, abril de 1992. [ Links ]
21. Diagne, A.; Zeller, M.; Sharma, M. Empirical Measurements of Households Access to Credit and Credit Constraints in Developing Countries: Methodological Issues and Evidence, discussion paper, núm. 90, Food Consumption and Nutrition Division (FCND), Washington, D. C., 2000. [ Links ]
22. DNP; DANE. El nuevo índice de condiciones de vida, propuesta para discusión, Bogotá, 2002. [ Links ]
23. Echeverry, J. C.; Salazar, N. ¿Hay un estancamiento en la oferta de crédito? Archivos de Macroeconomía, documento 118, Departamento Nacional de Planeación, Bogotá, 1999. [ Links ]
24. Estrada, D.; Rozo, S. Multimarket Spatial Competition in the Colombian Deposit Market, Borradores de Economía, núm. 413, Banco de la República, 2006. [ Links ]
25. Filmer, D.; Pritchett, L. The Effect of Household Wealth on Educational Attainment: Evidence from 35 Countries, Popula-tion and Development Review, vol. 25, núm. 1, 1999. [ Links ]
26. Freixas, X.; Rochet, J. C. Microeconomics of Banking, The MIT Press, Cambridge, Massachusetts, 1997. [ Links ]
27. Gross, D.; Souleles, N. Consumer Response to Changes in Credit Supply: Evidence from Credit Card Data, working paper, núm. 01-10, Wharton School Center for Financial Ins-titutions, University of Pennsylvania, 2001. [ Links ]
28. Hall, R. Stochastic Implications of the Life Cycle Permanent Income Hypothesis: Theory and Evidence, Journal of Political Economy, vol. 86, núm. 5, pp. 971-987, 1978. [ Links ]
29. Hayashi, F. The Effect of Liquidity Cons-traints on Consumption: A Cross- Sectional Analysis, The Quarterly Journal of Econo-mics, vol. 100, núm. 1, pp. 183-206, 1985. [ Links ]
30. Honohan, P. Financial Development: Growth and Poverty, How Close are the Links?, Policy Research Working Paper Series, núm. 3203, Banco Mundial, 2004. [ Links ]
31. Hotelling, H. "Analysis of a Complex of Statistical Variables into Principal Components", Journal of Educational Psychology, vol. 24, pp. 417-441 y 498-520, 1933. [ Links ]
32. Japelli, T. "Who is Credit Constrained in the US Economy", Quarterly Journal of Economics, num. 105, pp. 219-235, 1990. [ Links ]
33. Keeton, W. Equilibrium Credit Rationing, New York: Garland Press, 1979. [ Links ]
34. Levine, R. Financial Development and Economic Growth: Views and Agenda, Journal of Economic Literature, vol. 35., pp. 688-726, 1997. [ Links ]
35. Levine, R. Finance and Growth: Theory and Evidence, working paper, núm. 10766, Natio-nal Bureau of Economic Research, Washington, D. C., 2004. [ Links ]
36. Maddala, G. S.; Nelson, F. Maximum Likelihood Methods for Models of Markets in Disequilibrium. Econometrica, vol. 42, núm.6, pp. 1013-1030, noviembre de 1974. [ Links ]
37. Marulanda, B.; Mariana, P. Acceso a servicios financieros en Colombia y políticas para promoverlos a través de instituciones formales (diagnóstico), Usaid The Services Group, 2006. [ Links ]
38. Marulanda, B. El acceso al crédito y a los servicios financieros (informe de Colombia), Secretaría General Iberoamericana, Madrid, 2006. [ Links ]
39. Marulanda, B. La bancarizacion en Colombia (informe final), Marulanda Consultores, Bogotá, septiembre de 2004. [ Links ]
40. Medina, C.; Núñez, J. La oferta de servicios del sector financiero formal en Bogotá, Coyuntura Social, núm. 35, Bogotá, pp. 111-129, diciembre, 2006. [ Links ]
41. Medina, C.; Steiner, R. Bringing Financial Services to the Poor: The Case of Colombia (mimeo), 2002. [ Links ]
42. Melo, L.; Zárate, H.; Téllez, J. El ahorro de los hogares en Colombia, Borradores de Economía, núm. 428, Banco de la República, 2006. [ Links ]
43. Murcia, A.; Piñeros, H. Situación del crédito en Colombia desde la perspectiva del sector financiero, Reporte de Estabilidad Financiera, Banco de la República, marzo, 2006a. [ Links ]
44. Murcia, A.; Piñeros, H. Determinantes de la oferta de crédito en el sector financiero colombiano, Reporte de Estabilidad Financiera, Banco de la República, septiembre, 2006b. [ Links ]
45. Negrín, J. L.; De la Cerda, C. Evolución de la calidad de los usuarios de tarjetas de crédito en México: un enfoque microeconómico, Documento de Investigación, núm. 2005-05, Banco de México, 2002. [ Links ]
46. Pagano, M.; Japelli, T. Information Sharing in the Consumer Credit Market, Journal of Finance, vol. 48, núm. 5, pp. 1693-1718, 1993. [ Links ]
47. Perry, G; Arias, Ó.; López, H.; Maloney, W.; Servén, L. Poverty Reduction and Growth: Virtuous and Vicious Cycles, working paper, Banco Mundial, 2006. [ Links ]
48. Prieto, A. M. Ampliación del acceso a los servicios financieros mediante corresponsales no bancarios: la experiencia de Brasil y Perú, Documentos Asobancaria, núm. 3, Bogotá, 2006. [ Links ]
49. Salazar, N. Represión financiera y márgenes de intermediación, Carta Financiera, núm. 131, septiembre de 2005. [ Links ]
50. Schmidt, T.; Nehls, H. "Credit Crunch in Germany? " , discussion paper, n. 6, Rhine-Westphalia Institute for Economic Research, 2003. [ Links ]
51. Schrieder, G.; Heidhues, H. Reaching the Poor through Financial Innovations, Quarterly Journal of International Agriculture, vol. 34, núm. 2, pp. 132-148, 1995. [ Links ]
52. Sen, A. The Political Economy of Targeting, en D. van de Walle y K. Nead (eds.) Public Spending and the Poor: Theory and Evidence, cap. 2, Baltimore: The Johns Hopkins University Press, 1995. [ Links ]
53. Solo, M.; Manroth, A. "Access to Financial Services in Colombia: The unbanked in Bogotá", policy research working paper, núm. 3834, Banco Mundial, 2006. [ Links ]
54. Stevens, J. Applied Multivariate Statistics for the Social Sciences, 4th ed., Mahwah-New Jersey: Erlbaum, 2002. [ Links ]
55. Stiglitz, J.; Weiss, A. Credit Rationing in Markets with Imperfect Information, American Economic Review, vol. 71, núm. 3, pp. 442-445, 1981. [ Links ]
56. Tenjo, F.; López, E. Burbuja y estancamiento del crédito en Colombia, Borradores de Economía, núm. 215, Banco de la República, 2002. [ Links ]
57. Uribe, J. D. Acceso a los servicios financieros (nota editorial), Revista del Banco de la República, vol. LX XIX, núm. 949, Banco de la República, Bogotá, noviembre de 2006. [ Links ]
58. Villar, L.; Salamanca, D.; Murcia, A. Crédito, represión financiera y flujos de capitales en Colombia: 1974-2003, Revista Desarrollo y Sociedad, núm. 55, Facultad de Economía, Universidad de los Andes, 2005. [ Links ]
59. Villar, L. ¿Reforma financiera estructural o ajustes regulatorios y reforma judicial?, Debates de Coyuntura Económica: ¿Cuál es la reforma que necesita Colombia?, núm. 65, Fe-desarrollo, septiembre de 2006. [ Links ]
60. Villar, L. El sector financiero colombiano en perspectiva, discurso en el seminario La estructura del sistema financiero en Colombia: ¿Cómo llegamos aquí y a dónde vamos?, Ministerio de Hacienda, Banco Mundial y Asobancaria, Bogotá, mayo de 2005. [ Links ]
61. Zeller, M. Determinants of Credit Rationing: A Study of Informal Lenders and Formal Groups in Madagascar, World Development, vol. 22, núm. 12, pp. 1895-1907, 1994. [ Links ]
62. Zeller, M; Sumiter, B.; Sharma, M. Financial Services for the Rural Poor: Implications for Policy and Future Research, reporte final para German Agency for technical Cooperation (GTZ)-International Food Policy Institute, 1996. [ Links ]













