Services on Demand
Journal
Article
Indicators
-
Cited by SciELO -
Access statistics
Related links
-
Cited by Google -
Similars in
SciELO -
Similars in Google
Share
Ensayos sobre POLÍTICA ECONÓMICA
Print version ISSN 0120-4483
Ens. polit. econ. vol.26 no.56 Bogotá Jan./June 2008
Expectativas, tasa de interés y tasa de cambio: paridad cubierta y no cubierta en Colombia, 2000-2007
Expectativas, taxa de juros e taxa de câmbio: paridade coberta e não coberta na Colômbia, 2000-2007
Exchange Rate Expectations and Interest Rates: Covered and Uncovered Parity in Colombia, 2000-2007
Juan José Echavarría , Diego Vásquez, Mauricio Villamizar
* Se agradecen los comentarios de los miembros de la Junta Directiva del Banco de la República, de Dairo Estrada, Marcela Eslava, Javier Gómez, Andrés González, Luis Fernando Melo, Silvia Juliana Mera, Martha Misas, Alejandro Reveiz, Hernán Rincón y Jorge Toro. Adicionalmente, se agradece en especial a Hernando Vargas por sus valiosas respuestas. Carolina Osorio, Felipe Lega y Carlos León construyeron la curva spot. Los puntos de vista de este documento no comprometen al Banco de la República ni a su Junta Directiva. Los autores son, en su orden, codirector y profesional experto en Econometría del Banco de la República, y economista especializado de la AID, Colombia.
Correos electrónicos: jechavso@banrep.gov.co; Dvasques@banrep.gov.co
Documento recibido el 31 de marzo de 2008; versión final aceptada el 11 de abril de 2008.
En este trabajo se utilizan tasas marginales de interés, tasas de cambio forwards y encuestas sobre expectativas de devaluación con el fin de verificar las hipótesis de las paridades cubierta (PC) y no cubierta (PNC) de las tasas de interés en Colombia en el período 2000-2007. Se encuentra evidencia de cumplimiento de PC para períodos mayores o iguales a un día y de PNC en todos los plazos cuando se miden correctamente las variables. La “anomalía” que se detecta en algunos casos desaparece cuando se elimina el supuesto de expectativas racionales, y cuando se incorpora adecuadamente el riesgo país.
Palabras clave: paridad no cubierta, paridad cubierta, expectativas de devaluación, forwards de tasa de interés, forwards de tasa de cambio, tasa de cambio spot.
Clasificación JEL: E42, E43, E58
* Agradecem-se, em especial, os comentários dos membros da Junta Diretiva do Banco da República, de Dairo Estrada, Marcela Eslava, Javier Gómez, Andrés González, Luis Fernando Melo, Silvia Juliana Mera, Martha Misas, Alejandro Reveiz, Hernán Rincón y Jorge Toro. São especialmente gratos a Hernando Vargas para as suas respostas valiosas. Carolina Osorio, Carlos Felipe Lega e Leão construiu a curva spot. Os pontos de vista deste documento não comprometem o Banco da República nem a sua Junta Diretiva. Os autores são, em sua ordem, co-diretor e profissional experto em econometria do Banco da República, e Economist Specialist US Agency for International Development, Colômbia.
Correios electrónicos: jechavso@banrep.gov.co; Dvasques@banrep.gov.co
Documento recebido em 31 de março de 2008; versão final aceitada em 11 de abril de 2008.
Neste trabalho utilizam-se taxas marginais de juros, taxas de câmbio forwards e enquetes sobre expectativas de desvalorização com o fim de verificar as hipóteses das paridades cobertas (PC) e não cobertas (PNC) das taxas de juros na Colômbia no período 2000-2007. Encontra-se evidência de cumprimento de PC para períodos maiores ou iguais a um dia e de PNC em todos os prazos quando se medem corretamente as variáveis. A “anomalia” que se detecta em alguns casos desaparece quando se elimina o suposto de expectativas racionais, e quando se incorpora adequadamente o risco país.
Palavras chave: paridade não coberta, paridade coberta, expectativas de desvalorização, forwards de taxa de juros, forwards de taxa de câmbio, taxa de câmbio spot.
Classificação JEL: E42, E43, E58.
* The authors thank comments made by the members of the Board of the Central Bank of Colombia, by Dairo Estrada, Marcela Eslava, Javier Gómez, Andrés González, Luis Fernando Melo, Silvia Juliana Mera, Martha Misas, Alejandro Reveiz, Hernán Rincón and Jorge Toro. Specially grateful to Hernando Vargas for their valuable responses. Carolina Osorio, Carlos Felipe Lega and Carlos Leon built the curve spot. The opinions contained are those of the authors and do not represent those of the Banco de la República or its Board of Directors. The autors are Codirector at the Board of Directors of the Banco de la República (Colombian Central Bank); professional Expert in Econometrics of the Banco de la República, and Economist Specialist at the US Agency for International Development, Colombia.
E-mails: jechavso@banrep.gov.co; Dvasques@banrep.gov.co
Document received 31 March 2008; final version accepted 11 April 2008.
This paper explores the validity of covered (CP) and uncovered interest parity (UP) for Colombia in 2000-2007 using forward interest rates, forward exchange rates and surveys on exchange rate expectations. It finds support for CP for maturities equal or larger than one day, and also for UP for all maturities when variables are correctly measured. The “anomaly” detected in some cases disappears once we get rid of the rational expectations hypothesis and treat country risk properly.
Key words: Uncovered interest rate parity, covered interest rate parity, expected exchange rates, interest rate forwards, exchange rate forward, yield curve.
JEL Classification: E42, E43, E58.
I. INTRODUCIÓN
La literatura sobre las paridades cubierta (PC) y no cubierta (PNC) es sumamente amplia, y las conclusiones que de allí se derivan guardan relación con un sinnúmero de preguntas en la literatura económica: ¿fluyen perfectamente los capitales entre países? En caso contrario ¿cuáles son los obstáculos? ¿Revalúa la tasa de cambio la decisión del banco central de elevar la tasa repo de interés? ¿Qué papel desempeñan el riesgo país y el riesgo cambiario? ¿Son racionales las expectativas de los agentes? ¿Pueden los bancos centrales intervenir con éxito en el mercado cambiario?
Las conclusiones del debate entre Friedman (1953) y Nurkse (1944) sobre los costos y beneficios de un régimen de flotación pura dependen en buena parte de la existencia (o ausencia) de mercados cambiarios spot y forward estables y bien desarrollados (Hodrick, 1987, p. 1). Además, la supuesta existencia de PNC lleva a la llamada “trilogía imposible”, según la cual, en presencia de movilidad perfecta de capitales, una política monetaria exógena sólo puede existir en un ambiente de relativa flotación cambiaria1.
Si los mercados son altamente líquidos y competitivos se deberían eliminar las oportunidades de arbitraje e igualar las rentabilidades en distintas monedas2; sin embargo, alevaluar el cumplimiento de la PNC la literatura empírica tiende a encontrar una “anomalía” difícil de explicar, que consiste en la mayor rentabilidad de las inversiones en los países que mantienen tasas de interés nominales altas (con diferenciales positivos con respecto al exterior). Por ello, autores como Flood y Rose (2002, p.252) consideran que “la hipótesis de PNC es un tópico clásico en finanzas internacionales, un bloque central en la mayoría de modelos teóricos y una terrible falla en términos empíricos”.
Este documento estudia el caso colombiano con base en un conjunto de fuentes relativamente inexploradas. La sección II muestra que en Colombia se cumple la hipótesis de paridad cubierta (PC) para todos los períodos de maduración considerados, y analiza la evolución del riesgo país entre el 1 de enero de 2000 y el 31 de diciembre de 2007.
La sección III considera la ecuación de paridad no cubierta (PNC) bajo expectativas racionales, discute la mencionada “anomalía” (obtenida en buena parte de la literatura internacional), y encuentra que en Colombia la hipótesis de PNC resulta válida para todos los períodos de maduración cuando se utiliza información para 2000- 2007, y en plazos superiores a uno o dos años para 2003-2007. El período 2000-2007 parece adecuado para un análisis detallado de las diferentes hipótesis: son años de relativa flotación cambiaria (el régimen de banda cambiaria se abandonó en 1999), con devaluación pronunciada en 2000-2003 y revaluación en los años posteriores.
La “anomalía” observada en algunos casos podría obedecer a expectativas irracionales o a la influencia de un factor riesgo variable en el tiempo. En la sección IV se utilizan los resultados de encuestas sobre expectativas y una metodología diseñada por Froot y Frankel (1989) para mostrar el alto poder explicativo que tienen las expectativas no racionales y el riesgo en el corto plazo (un mes) y las expectativas no racionales en períodos de maduración mayores (un año). Se presenta posteriormente una metodología que permite aislar parcialmente la influencia del riesgo variable en los cálculos y se agrupan los resultados de las diferentes secciones en una “hoja de ruta” (resumen). La “anomalía” que erróneamente se detecta al utilizar el diferencial de tasas de interés como variable independiente parece ser el resultado de variables omitidas o mal medidas. En este sentido, los resultados mejoran sustancialmente cuando se utilizan las expectativas cambiarias consignadas en las encuestas elaboradas por el Banco de la República (en lugar de suponer expectativas racionales) y, en menor medida, cuando se aísla el impacto del riesgo variable.
Luego de las conclusiones, los anexos presentan los resultados de las pruebas de raíz unitaria para las variables utilizadas en el documento, y describen algunos aspectos de la metodología de estimación GMM utilizada -Echavarría, Vásquez, y Villamizar (2008b) discuten en otro documento las características de las expectativas cambiarias en Colombia y demuestran que éstas tienden a ser estabilizadoras-.
II. Paridad Cubierta y Tasas de Interés Marginales
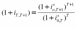
La ecuación de paridad cubierta (PC) suele expresarse como
donde it e it corresponden a las tasas de interés nominales interna y externa, respectivamente; Ppais,t al factor de riesgo variable en la ecuación de la PC; Ftt+k a la tasa de cambio forward existente en t para t + k, y E a la tasa de cambio spot3 en t.
La ecuación suele presentarse en dos formas alternativas:
siendo,ft+k y eel logaritmo de ftt+k y de et, respectivamente . En el texto se utilizan indistintamente las variables In
e i,- i*t pero todas las estimaciones se realizan con la primera de ellas.
La ecuación de la PC se debe cumplir, a menos que existan altos costos de transacción u oportunidades inexploradas de arbitraje. Para el cálculo de la variable it se utilizó como base las tasas cero cupón de los TES emitidos por el gobierno en Colombia, y para el cálculo de las tasas de interés “externas” (i*t) se usó la tasa de los tesoros emitidos en dólares por el gobierno de los Estados Unidos5 .
En la construcción de la curva spot o cero cupón se calcula el valor presente de un TES que paga cupones y principal al vencimiento. Dicho valor presente se descompone en bonos cero cupón con plazos equivalentes, todo lo cual permite disponer de rentabilidades a más corto plazo que la del TES transado, con base en las cuales se construye la curva cero cupón. En el caso de Colombia sería deseable (pero no indispensable) contar con más TES a diferentes vencimientos que permitan que el tramo corto de la curva dependa menos de los cupones de unos pocos bonos de largo plazo.
La variable Ppais,t desaparece en la versión simple de las ecuaciones (1) a (3), cuando los agentes son neutrales al riesgo, o cuando el riesgo es enteramente diversificable. En un escenario más general, con agentes con aversión al riesgo (o riesgo no enteramente diversificable), éstos descuentan el riesgo ( Ppais,t) de la tasa de interés nominal (it), antes de tomar su decisión de comprar o vender títulos en pesos. La variable Ppais,t incluye los riesgos de default de los papeles colombianos, de controles de capital y el de nuevos impuestos en Colombia; la operación no conlleva riesgo cambiario debido a que todas las variables son conocidas en el momento (t). Todo ello significa que, cuando se cumple la hipótesis de la PC, la variable f t+kt- e constituye una buena proxy del diferencial de tasas de interés menos el riesgo país -un resultado ampliamente utilizado en la sección IV.C. del documento-.
Siguiendo a Boudoukh, Richardson, y Whitelaw (2005), se transformaron las tasas de interés cero cupón en tasas marginales o forward, esto es, el concepto más simple y también más cercano al de tasa de interés esperada en la teoría de expectativas de la curva de rendimiento 6. La herramienta Información para Valoración <www.infoval.com.co>, de la Bolsa de Valores de Colombia (BVC), ha publicado desde 2003 los parámetros de la curva cero cupón calculada mediante la metodología de Nelson y Siegel (1987), la cual se utilizó en este documento para los cálculos diarios durante el período 2000-2006 (véase Arango, Melo y Vásquez, 2003).
En la teoría de las expectativas para la curva de rendimiento, la tasa cero cupón puede ser expresada como un promedio ponderado (geométrico) de las tasas marginales- forward. 
donde io,T corresponde a la tasa de interés cero cupón entre 0 y T, e i0,1, ie1,2ieT-1,T a las tasas marginales-forward para períodos de un año (el superíndice e indica valores esperados). De allí puede derivarse la tasa marginal-forward entre T y T + 1 en términos de la tasa cero cupón en esos plazos:

Para el cálculo de las tasas a horizontes menores a un año se consideró el número de días de ese período en relación con los 360 días del año; así, la tasa de interés para tres meses se calculó como:

donde is0,3 meses , y is0,1 dia corresponden a las tasas de interés efectivas anuales a tres meses y a un día obtenidas a partir de la curva cero cupón.
Como en cualquier comparación entre valores medios y marginales, cuando la media aumenta la tasa forward-marginal está por encima de la cero cupón, se encuentra por debajo cuando la media disminuye, y las dos coinciden cuando la media es constante (Salomon Brothers, 1995). Por la misma razón, la curva marginal-forward amplifica las variaciones en la pendiente de la curva spot. Las diferencias entre ambas variables pueden ser significativas: una tasa cero cupón de 6% a dos años y de 6,5% a tres años produce una tasa marginal-forward de 7,51%; y una tasa cero cupón que pasa de 9% a 11% en ese mismo período produce una tasa marginal-forward de 15,1%. Para facilitar la terminología se denominan it e it* a las tasas de interés marginales-forward entre t y t + 1 en Colombia y los Estados Unidos.
El Grafico 1 presenta las tasas de interés forward-marginales obtenidas a partir de la curva cero cupón de Colombia en el período 2000-2007, anualizando las tasas para plazos menores a un año 7. En cada año se indica el valor promedio (estimado con la información diaria) para las tasas a un día, un mes, un trimestre, un semestre y un año, uno a dos años, hasta seis a siete años. Para Colombia se observa una caída sostenida en el nivel de la curva de rendimientos, asociada posiblemente a la dinámica decreciente de la inflación. La pendiente es positiva en todos los años, excepto en 2007 (la parte larga cae). El comportamiento es mucho más heterogéneo en los Estados Unidos, con mayor volatilidad en el tramo corto de la curva: se presentan caídas pronunciadas entre 2000 y 2004 y niveles intermedios entre 2000 y 2007; además, en 2006 y 2007 las curvas resultan relativamente planas.
El Grafico 2 presenta la relación entre las tasas interna y externa, calculada como
. Se observa que esta curva diferencial permanece en niveles relativamente altos entre 2000 y 2004, pero cae sustancialmente en 2005-2007, debido a la disminución del nivel promedio de la curva en Colombia. Adicionalmente se observa que la curva presenta una forma sinusoidal con un empinamiento mayor en períodos de maduración entre uno y cuatro años, sustancialmente marcados en 2000, 2003 y 2005.
El mercado de deuda pública en Colombia, con cuya información se elaboraron dichas curvas, no es excesivamente líquido, pero ha mostrado desarrollos importantes en las últimas décadas. Su evolución comienza durante la década de los noventa, se consolida en el período 2000-2007 8, y en la actualidad cuenta con una base histórica de curvas spot relativamente sólida para los TES colombianos denominados en pesos y en UVR. Sólo desde 2002 existen títulos a diez años, aún cuando en este documento se utilizarán períodos de maduración hasta de seis años. La financiación del Gobierno recaía inicialmente en fuentes externas (esencialmente préstamos sindicados y con agencias multilaterales) en los primeros años de la década pasada, pero luego fue ganando importancia la financiación por medio de instrumentos de deuda en el mercado externo, permitiendo la diversificación de las fuentes de recursos. La financiación a través de deuda local se limita aún a colocaciones convenidas y forzosas con entidades públicas.
Varios factores favorecieron el fortalecimiento de la financiación del Gobierno mediante instrumentos en el mercado local: i) la estructuración de un calendario para las subastas de TES B; ii) el establecimiento del programa de creadores de mercado9 , y iii) el desarrollo de los inversionistas institucionales como demandantes finales de papeles. En 1998 se inauguró la plataforma electrónica SEN, que ha contribuido al mayor crecimiento y liquidez del mercado de deuda pública. Ello, unido al aumento en los plazos de colocación y a la emisión de títulos a diferentes vencimientos, ha tenido un efecto favorable para la construcción de una curva spot cada vez más larga y robusta.
No obstante, aún las transacciones se encuentran concentradas en unos pocos papeles: en 2006 y 2007, por ejemplo, los títulos de 2020 representaron 54,8% de las transacciones en tasa fija (en pesos), los de 2014 13,1%, y los de 2009 7,5%. Esto significa que los títulos con períodos de maduración mayor a cinco años representan aproximadamente el 70% del total de transacciones, si se considera que del total de negociaciones a tasa fija y variable el 99,7% corresponde a títulos de tasa fija.
En Colombia el mercado de futuros es aún pequeño, pero ha crecido a tasas muy altas. El volumen diario de transacciones fue de US$ 40 m en 1998 y de US$554 m en julio de 2007, con un crecimiento anual de 34%. Las operaciones forwards de tasa de cambio tienen la mayor participación (se prohíben los derivados de crédito), con transacciones diarias de US$80 m en 2001, de US$226 m en 2004 y de US$464 m en 2007. Las transacciones a corto plazo tienen mayor importancia en el mercado cambiario forward; así, los de vencimiento inferior a 35 días representan 88% de los contratos vigentes en 200710. Cabe mencionar que son trece las entidades que transan en el mercado forward en Colombia.
La volatilidad de la tasa de cambio ha incentivado a los agentes a cubrir la exposición cambiaria de sus posiciones, lo cual, junto con el mayor número de participantes en el mercado (agentes offshore y fondos de pensiones), recientemente ha estimulado un mayor grado de profundidad y liquidez. Como ocurre a nivel internacional, los contratos forwards son más seguros que los del mercado spot: operan con un marco regulatorio internacional y son non delivery (es decir que no hay riesgo de principal, pues cada día se cancelan las pérdidas o ganancias netas).
En abril de 2004 el promedio de negociación en el mercado de tasa de cambio forward colombiano representaba el 37% del spot, indicador que supera la media para América Latina, aun cuando es inferior al de un país como Chile (Mera, 2007).
Los trabajos iniciales en el campo de la PC utilizaron papeles emitidos en diferentes mercados (tal como en nuestro caso) y no encontraron evidencia para validar la hipótesis Bpc = 1 (Isard, 1995, p. 78)11. No obstante, la mayoría de trabajos recientes encuentran que dicha hipótesis es válida, principalmente para períodos cortos de maduración12. Taylor (1989) atribuye los resultados menos satisfactorios para períodos largos a las políticas de stop-loss que imponen los gerentes de los bancos a sus subalternos13.
Los trabajos recientes utilizan títulos emitidos en un mismo mercado financiero (p. e. títulos emitidos por el gobierno de Alemania y por el gobierno de los Estados Unidos en Nueva York), con lo cual desaparece parcialmente el riesgo de controles de capital o de nuevos impuestos (aunque se mantiene el riesgo de default). Además, en este caso, el riesgo país es bajo debido a que es poco probable que Alemania se declare en moratoria o que imponga controles de capital o nuevos impuestos a las transacciones financieras14. Dado lo anterior, sería muy útil considerar en el trabajo los títulos emitidos por el Gobierno colombiano en los Estados Unidos (bonos globales o yankees), pero éstos apenas comenzaron a emitirse hace dos años, han tenido un bajo registro de transacciones y poca liquidez.
El Cuadro 1 muestra los coeficientes estimados para la ecuación de paridad cubierta (PC):
donde Bpc B1 es la hipótesis nula. Se realizan estimaciones para cada plazo (k) y, teniendo en cuenta los resultados sobre raíz unitaria (véase el Anexo 1), se utilizan todas las variables en niveles. En esta sección y en las siguientes se usa el método de estimación GMM, debido a los problemas de autocorrelación y de incumplimiento del supuesto de exogeneidad estricta que surgen en modelos de expectativas racionales con observaciones traslapadas, tales como el aplicado en este documento (véase el Anexo 2). Los resultados de las estimaciones no difieren sustancialmente de los obtenidos por mínimos cuadrados ordinarios cuando se ignoran los problemas señalados15.
Las columnas 1 y 2 del Cuadro 1 presentan los valores estimados para B pc y αpc , junto con sus correspondientes estadísticos t, y las columnas 3 a 5 la significancia marginal asociada con la estadística de prueba tipo Wald para contrastar las hipótesis H0 : αpc=0 , H 0:B pc = 1, y H0:α pc =0 y Bpc =1, respectivamente; las columnas 6 y 7 indican el número de observaciones y el valor del coeficiente R2.
Como en Branson (1969), se excluyó la información que correspondía a los mayores niveles de “turbulencia”. Para ello se eliminaron los valores extremos de la variable dependiente (menores al percentil 5 o mayores al percentil 95). Para k = 1 año los errores se concentran en agosto, septiembre y octubre de 2002 (quiebras de Enron y otras grandes firmas en los Estados Unidos, y la crisis a comienzos del gobierno de Lula en Brasil) y en algunos meses de 2007. Los resultados solo cambian ligeramente cuando no se excluyen dichos outliers -el mismo procedimiento se aplicó para las estimaciones de las demás secciones del trabajo-.
Con base en los resultados, y en concordancia con buena parte de la literatura internacional, se observa evidencia contundente en favor de la hipótesis de la PC, excepto para períodos de maduración de un semestre. Para plazos de cero a tres días se obtiene un coeficiente Bpc = 5,25 que de todas formas es igual o mayor a 1 y significativo16, y para 1 semestre se obtiene un valor promedio de Bpc alto, pero diferente de 1 (intervalo de confianza entre 0,85 y 0,95). A nivel formal, la aplicación de la prueba de Wald permite no rechazar la hipótesis Bpc = 1 en cuatro de los cinco períodos considerados (cero a tres días, un mes, un trimestre y un año). Los resultados para la hipótesis conjunta H 0 :α pc= : 0 y Bpc = 1 resultan satisfactorios en tres de los cinco casos considerados (cero a tres días, un mes y un trimestre). El coeficiente R2 resulta mucho mayor para períodos de maduración de un semestre y un año, en parte, porque en esos casos αpc es significativamente diferente de cero. Para el caso de un año el R2 es 0,903 (y se cumple la hipótesis de la PC)17.
Los resultados son mucho menos satisfactorios cuando se trabaja con tasas spot (no reportadas en detalle): Bpc es igual a 0,23 para tres meses, y a 0,44 para seis meses, en lugar de tasas marginales-forward, o cuando se utiliza la tasa de los CDT de noventa días ( Bpc = 0,24). Y no mejoran cuando se incluyen variables dummy para los diferentes años o para los días de la semana.
Los resultados del Gráfico 3 podrían parecer sorprendentes para quienes consideran que en Colombia no se ha desarrollado la parte corta de la curva spot, al tener en cuenta que sólo se tranzan unas pocas emisiones de títulos a mediano y largo plazos (como se mencionó arriba, los títulos con períodos de maduración mayores a cinco años representan hoy cerca del 70% de las transacciones totales). Sería en efecto deseable contar con más títulos a diferentes plazos, ello permitiría que el tramo corto de la curva dependa menos de los cupones de unos pocos bonos de largo plazo. Ello no es indispensable, sin embargo, si se tiene en cuenta la descomposición descrita del TES de largo plazo en bonos cero cupón de más corto plazo (página 156). Adicionalmente, a pesar de la falta de emisiones de títulos a corto plazo, nuestros resultados sugieren que los mercados funcionan con relativa eficiencia en el corto plazo: siempre es posible comprar un título con madurez de un año y venderlo el próximo mes.
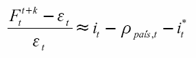
Si a la ecuación de la PC con riesgo ft+kt-etαpc+Bpc(i-ppais-i*t)+ upc,t se resta el término (it-i*t) en ambos lados, se tiene que erpc = ft+kt- et)- i*t=αpc + B pc (i-ppais-i*t) t + upc,t - (i t - i * t), donde er corresponde al exceso de rendimiento. Es decir que:
er = αpc + (B pc - 1) (i t - i * t) - B pc p pais + u pc,t
Al hacer abstracción del término de error y suponer que Bpc= 1 (supuesto correcto para k = 1 año), se tiene que erpc=αpc - p pais. En otras palabras, cuando Bpc= 1 los valores positivos para el exceso de rendimiento (erpc) indican que los costos de transacción (αpc pc) tienen un valor mayor que el riesgo país (Ppais), y viceversa.
El Gráfico 3 muestra la evolución de los diferentes componentes de la ecuación de la PC para k = 1 año: el diferencial de tasas de interés forward-marginales en Colombia y en los Estados Unidos
- véase también el Gráfico 1-), la denominada prima forward (ft+kt - e t ) y el exceso de rendimiento para la ecuación de la PC erpc. Para esta última variable se observan valores positivos en 2000-2001 y en 2005-2007, y valores negativos en 2002 (especialmente), 2003 y 2004.
La mayoría de los trabajos internacionales en el área suponen que Ppais = 0, con lo cual erpc = α pc (véase más adelante), donde αpc suele asociarse con costos de transacción relativamente constantes (αpc también puede incluir un factor de riesgo constante). El supuesto Ppais=0 parece ser acertado, pues en esos casos se utilizan títulos con bajo riesgo de default (por ejemplo títulos del gobierno alemán y de los Estados Unidos), emitidos en un mismo mercado (p. e. Nueva York), con lo cual desaparecen los riesgos asociados con controles de capital y nuevos impuestos. Los trabajos citados encuentran valores muy pequeños (que oscilan entre 0,15% y 0,18% al año) para erpc, y concluyen, por tanto, que se trata de mercados financieros eficientes18. Pero esos resultados no son directamente comparables con los de este trabajo, pues, como se mencionó arriba, acá se utilizan tasas de interés de los TES emitidos por el Gobierno de Colombia en el país, los cuales incorporan riesgos de default, de nuevos impuestos y de controles de capital.
Es posible calcular el riesgo país ( Ppais) a partir de la ecuación:

El Gráfico 4 muestra la evolución del P pais,t calculado a partir de la ecuación de PC -Índice PC19- y lo compara con el EMBI+, una medida de riesgo de default producida diariamente por la firma J.P. Morgan y ampliamente utilizada por los analistas financieros. La diferencia principal es que el EMBI+ no incluye riesgo de controles de capital o de nuevos impuestos, y para su cálculo se utilizan títulos con períodos de maduración de corto y de largo plazos20. El movimiento de las dos variables es sorprendentemente similar en el período 2000-2004, y ambas recogen adecuadamente el impacto de la moratoria argentina en 2002 y de la crisis de Enron y los primeros días del gobierno de Lula en 2002.
No obstante, se presentan diferencias importantes entre las dos variables del Gráfico. En particular el Índice PC presenta un pico importante en 2000, que no recoge con la misma fuerza el EMBI+, y que coincide con la propuesta del presidente Pastrana de convocar un referendo para reformar el Congreso. Y un pico importante en 2006 que recoge la denominada “crisis de los TES”. Además, los dos índices se alejan en 2004-2007: mientras que el EMBI+ desciende en forma paulatina, el Índice PC se mantiene en niveles relativamente constantes. Incluso, se destaca la menor volatilidad del Índice PC en 2004-2007, frente a 2000-2004.
III. Paridad No Cubierta con Expectativas Racionales y la “anomalía”
A. Paridad no Cubierta
La hipótesis de paridad no cubierta (PNC) puede expresarse como: 
donde Eet+k es el valor esperado en t para la tasa de cambio en t + k. Como en el caso de la PC, la ecuación se presenta en dos formas alternativas:

y
con eet+kt y et el logaritmo de Et+k y de Et , respectivamente.
Para agentes neutrales al riesgo (o riesgo enteramente diversificable) la ecuación de PNC simple se puede representar como: 
Y en el caso de expectativas racionales, como22:
A diferencia del caso de la PC es necesario incorporar ahora el riesgo cambiario, debido a que no se garantiza que la tasa de cambio esperada (eet+kt ) sea igual a la tasa spot al final del período (et+k). En este sentido, el agente puede ganar o perder dinero, dependiendo de la relación ex post entre las dos variables. El cumplimiento simultáneo de las hipótesis de PC y PNC -ecuaciones (2) y (11)-, con agentes neutrales al riesgo, implica que la tasa forward coincide con la spot esperada (eet+kt).
El Gráfico 5 presenta la evolución de la tasa de cambio nominal de Colombia frente a los Estados Unidos: desde comienzos de 2000 hasta mediados de 2003 se deprecia y entre 2003 y 2008 se aprecia fuertemente, con un período de depreciación transitorio a principios de 2006. La dinámica se caracteriza por devaluaciones y revaluaciones anuales pronunciadas, devaluaciones superiores a 30% a principios de 2003, y revaluaciones cercanas a -30% a mediados de 2007.
Durante años recientes el mercado cambiario colombiano ha experimentado un crecimiento importante en los volúmenes de transacciones. En efecto, el promedio diario de negociación en el sistema transaccional Datatec-SET-FX fue US$168 millones (m) en 2001 y de US$837 m en 2007, con un crecimiento anual del 30%. Los montos son aún mayores cuando se incluyen las operaciones realizadas por fuera del sistema transaccional SET-FX, con un valor diario cercano a US$1.090 m en 2007.
En la sección II se discutieron aspectos asociados con el riesgo país. Con respecto a la explicación del riesgo cambiario, al nivel más general Lucas (1982) plantea un modelo de equilibrio general dinámico con dos bienes y dos países en donde los agentes tienen preferencias idénticas, pero dotaciones estocásticas diferentes. Si se cumple la hipótesis de la PC la maximización de utilidad de los agentes lleva a una prima de riesgo que varía en el tiempo, y que depende del coeficiente de aversión al riesgo de los agentes y de la covarianza entre la tasa spot en t + 1 (et+1) y el consumo23 en t + 1.
Otros trabajos tratan de explicar la prima de riesgo en el contexto de modelos de portafolio a partir de la maximización de una función de utilidad que depende de la media y de la varianza del portafolio. Corresponden a modelos de equilibrio parcial donde se consideran exógenas la tasa de interés y la tasa de cambio (Lewis, 1995). En términos simples Domínguez y Frankel (1993) plantean que los agentes mantienen un portafolio donde la cantidad de dólares (o de cualquier otro activo del portafolio) depende positivamente del riesgo propio de los bonos en pesos: xt= a+ bpt , donde
es la participación del portfolio en dólares ( EtUS$ ) en la riqueza total del agente (W). Al despejar la función se obtiene
El coeficiente b indica el grado de sustitubilidad entre activos: p = 0 (sustitutos perfectos) que se da cuando (sustitutos imperfectos) cuando . Es probable que este tipo de modelos de portafolio, que asume sustitución imperfecta entre títulos, pierda relevancia en la medida en que se profundizan los mercados financieros y se incrementa dicha sustitubilidad.
Dornbusch (1980) modela los determinantes del diferencial entre las tasas de interés internas y externas. Para una función de utilidad CRRA (es decir, de riesgo constante) el autor encuentra que
donde r y r* corresponden a las tasas de interés de los activos en pesos y en dólares (reales en este caso); y al coeficiente de aversión al riesgo de los agentes; ô2 E a la varianza -volatilidad de la tasa de cambio nominal-; V*/W a la relación entre la oferta de dólares y el nivel de riqueza de los agentes locales, y x corresponde a la participación de dólares en un portafolio de mínima varianza. Lo anterior significa que el diferencial entre las tasas de interés interna y externa depende positivamente de la aversión al riesgo de los agentes, de la volatilidad de la tasa de cambio y del diferencial entre la participación de los dólares en el portafolio de los agentes y su nivel de participación en el portafolio de mínima varianza24. Algunos autores argumentan, sin embargo, que la variable riesgo difícilmente explica algunos de los hallazgos de la literatura empírica en el campo25. La siguiente sección discute la versión de Fama (1984) sobre el papel que cumple el riesgo en la denominada “anomalía” en la PNC.
B. La “anomal ía”, el Riesgo y la Alta Rentabilidad del carry trade
Si se supone que la tasa de cambio esperada ( ee t+k t t) fluctúa menos que la tasa de cambio spot (et)26, y que B pnc=1 , la ecuación (10) implica que la tasa de cambio spot se revalúa en países con tasas de interés altas (diferenciales positivos de tasas de interés) y viceversa, lo cual tiende a igualar las rentabilidades relativas en las distintas monedas, sin que resulte particularmente rentable invertir en una u otra de ellas (Lewis, 1995). Una forma de entender el comportamiento de la tasa de cambio spot es la siguiente: si la tasa de interés es “alta” los flujos de capital hacia el país revaluarán la tasa de cambio spot.
Sin embargo, lejos de obtener valores estimados cercanos a 1, la mayoría de trabajos empíricos en los países desarrollados hallan coeficientes negativos y significativos para B pnc27 . En este escenario alternativo, lejos de igualar rentabilidades entre monedas, los movimientos en la tasa de cambio exacerban los diferenciales de rentabilidad. Aquí resulta rentable invertir en los países con altas tasas de interés nominales cuando la tasa de cambio es fija, y aún más rentable cuando la tasa de cambio es variable. Si existe la “anomalía” se obtienen ganancias no asociadas con mayores niveles de riesgo al invertir en países con altas tasas de interés nominal, lo cual es el origen del denominado carry trade.
El coeficiente Bpnc promedio obtenido en los 75 trabajos revisados por Froot (1990) es -0,88; resulta positivo en unos pocos casos, pero en ninguno de ellos es mayor a 1. Por otra parte, Fama (1984) encuentra coeficientes negativos con valor absoluto mayor a 2 para la relación del dólar con la libra, el marco y el yen durante 1973 a 1982, y Chinn y Meredith (2004) encuentran coeficientes negativos para el período 1980-2000 en seis de las siete monedas consideradas (cinco de ellas significativas estadísticamente) con un valor promedio para todas ellas de -0,8, similar al reportado por Froot (1990). Finalmente, el trabajo de Burnside et al. (2006) para 1976-2005 encuentra coeficientes negativos y significativos a un mes para seis de los nueve países considerados y a tres meses para cuatro de ellos28.
Como se mencionó en la introducción, por esta razón autores como Flood y Rose (2002) consideran que la hipótesis de la PNC es un tópico clásico en finanzas internacionales, un bloque central en la mayoría de modelos teóricos y una terrible falla en términos empíricos. De hecho, la unanimidad en los resultados fallidos en el campo puede ser considerada única en la literatura empírica en economía (Chinn y Meredith, 2004).
La presencia de la “anomalía” explica parcialmente el relativo fracaso de Meese y Rogoff (1983) en predecir la tasa de cambio nominal. Según los autores, la tasa de cambio contemporánea es un mejor indicador de la tasa de cambio futura que los pronósticos obtenidos de modelos monetarios estándar, de modelos de series de tiempo más sofisticados o que la tasa de cambio forward. Los autores encuentran que un proceso de paseo aleatorio predice mejor la tasa de cambio nominal que la hipótesis de PNC cuando se impone Bpnc = 1, aún cuando no realizan el ejercicio sin prefijar el parámetro.
En el lenguaje de los analistas financieros, la “anomalía” hace rentable el carry trade. En efecto, Burnside et al. (2006) y Burnside, Eichenbaum y Rebelo (2007) demuestran que las operaciones de carry trade han llevado a una relación de Sharpe (ganancia/ desviación estándar) alta (en parte, gracias a la menor volatilidad) y a ganancias similares (con menor volatilidad) a las que se obtienen invirtiendo en el índice S&P 500. Como concluyó Bilson (1981) hace varias décadas, la “anomalía” lleva a excesos de rentabilidad que no guardan relación con el riesgo. En la misma dirección Colombia sería un país especialmente atractivo para el carry trade si se considera que las tasas de interés nominales son aún sumamente altas. En noviembre de 2007, por ejemplo, la tasa repo a un día era 9,25% en Colombia, sólo superada por Turquía (16,75%) y Brasil (11,25%); mientras que en México era de 7,5%, en Chile de 5,75% y en Perú de 5,0%.
La literatura empírica sugiere que la “anomalía” es menos frecuente para períodos largos de vencimiento, lo cual podría deberse a que la parte larga de la curva captura mejor los fundamentales de tasas de interés que el tramo corto (más influenciada por volatilidades de corto plazo y por el efecto de los bancos centrales —véase Campbell, 1995, y Froot, 1989—), o a que las expectativas cambiarias de largo plazo capturan mejor los quiebres en tendencia de la tasa de cambio spot. La literatura internacional encuentra que las apreciaciones inesperadas producen expectativas de nuevas revaluaciones en el corto plazo pero van acompañadas de expectativas de devaluación para el largo plazo (Takagi, 1990; para Colombia véase Echavarría, Vásquez y Villamizar, 2008b).
La “anomalía” es menos marcada para países con inflación alta y volátil o con crisis cambiarias29, y parece ser menos evidente en la década de los noventa, frente a décadas anteriores, entre países de la Comunidad Europea y en la relación dólar-marco. Bansal y Dahlquist (2000) encuentran que la “anomalía” es especialmente fuerte en economías desarrolladas, pero Flood y Rose (2002) no hallan diferencias significativas entre naciones desarrolladas y emergentes. La “anomalía” es más fuerte en períodos de intervención activa de los bancos centrales en el mercado cambiario (Mark y Moh, 2003). El debate no termina; para algunos autores la “anomalía” es simplemente el resultado del bajo poder de las pruebas estadísticas disponibles al considerar muestras pequeñas (véase, por ejemplo, Baillie y Bollerslev, 2000).
C. ¿Cómo Explicarla “anomalía”?: Fama (1984) y la Importancia del Riesgo Variable ?
¿Cómo explicar la “anomalía”? Isard (1995, pp. 83-84) agrupa las posibles causas en tres categorías: la primera consiste en conjeturas que no requieren el rechazo de la PNC o de expectativas racionales, incluidas las explicaciones con base en peso problems, sesgos de simultaneidad, información incompleta, “aprendizaje” racional y profecías autocumplidas o burbujas racionales; éstas son áreas no exploradas en este documento, las cuales deberán ser objeto de futuras investigaciones30. La segunda categoría abandona la hipótesis de agentes racionales (véase Lewis, 1995); tema que será abordado en la sección IV31.
La tercera categoría rechaza la hipótesis de la PNC simple, pero no la de expectativas racionales, y asigna la “anomalía” a una prima de riesgo que varía en el tiempo. Una primera aproximación al tema fue presentada por Fama (1984), para quien los valores de B pnc mayores a 1 se explican en términos de las varianzas y covarianzas entre la tasa de cambio y el riesgo que fluctúa en el tiempo —los motivos de dicho riesgo variable fueron explicados en la Introducción—.
La segunda columna del Cuadro 2 (tomado de Bansal y Dahlquist, 2000), presenta los diferentes valores posibles de Bpnc en la ecuación de la PNC (10) para el esquema propuesto por Fama (1984), con expectativas racionales (segunda categoría, riesgo variable). El riesgo (Ppnc ), definido en la literatura como ft+kt - ee t+kt, desempeña un papel importante en las diferentes filas del cuadro, excepto en el caso de la PNC simple ( Bpnc = 1, fila 1), cuando var ( Ppnc ) = 0.
La “anomalía” ( B pnc < 0) se produce cuando el riesgo es altamente volátil, incluso más volátil que la tasa de cambio, y viceversa para valores de Bpnc mayores a 1; además, ambas volatilidades coinciden para B pnc = 0,5. La covarianza entre las dos variables es cero para la ecuación simple, y menor a cero para el caso de la “anomalía” y de Bpnc> 1. Como se mencionó, la mayoría de trabajos en el área (incluyendo Fama, 1984), utilizan títulos con bajo riesgo de default y emitidos en el mismo mercado; por ello, Fama sólo menciona el riesgo cambiario en su análisis, mientras que en nuestro caso también existe riesgo país (default, controles de capital e impuestos).
D. La PNC en Colombia
El Cuadro 3 muestra los coeficientes estimados de Bpnc para la ecuación de la PNC. Tal como en el caso de la PC, se estiman los coeficientes para cada plazo k, y se reporta el estadístico t calculado con base en los errores estándar corregidos por autocorrelación y heteroscedasticidad desde la metodología de GMM sugerida por Hansen y Hodrick (1980) (véase el Anexo 2). Nuevamente, se eliminaron los períodos de mayor turbulencia, excluyendo aquellas observaciones extremas de la variable dependiente (valores menores al percentil 5 o mayores al percentil 95).
Las columnas 3 a 5 del Cuadro 2 presentan el nivel de significancia marginal asociada con la estadística de prueba tipo Wald para contrastar las hipótesis H0: αpnc=0, H0:Bpnc=1 y H 0:αpnc=0 y B pnc=1 , y las columnas 6 y 7 el número de observaciones y el coeficiente R2, respectivamente. El coeficiente B pnc resulta igual o mayor a 1 para la mayoría de los períodos de maduración. A diferencia de la experiencia internacional, sólo se observa la “anomalía” para algunos plazos “largos” (de tres a cuatro años y de cuatro a cinco años)32. El R2es relativamente bajo, excepto para períodos superiores a dos años.Nuevamente, como en el caso de la PC, los resultados (no reportados en detalle) son más satisfactorios cuando se trabaja con tasas marginales-forward que con tasas spot: aparecen relativamente similares para períodos de maduración mayores a un año, pero en ningún caso se aproximan a 1 para períodos menores. Los resultados a un día no mejoran cuando se utiliza la tasa interbancaria (TIB) en el lado derecho de las ecuaciones (en relación con la tasa a un día en los Estados Unidos) y empeoran sensiblemente cuando se utiliza la tasa CDT a noventa días.
El Cuadro 4 presenta los valores de las estimaciones para un ejercicio similar, considerando ahora el subperíodo 2003-2007, cuando hay revaluación de la tasa de cambio (Gráfico 5) y en el que existen encuestas sobre expectativas cambiarias (véase más adelante). En este caso los resultados sugieren que la hipótesis de la PNC sólo se cumple para períodos de maduración de un día y un mes33 y mayores a dos años. Los valores obtenidos son cercanos a cero para plazos de un trimestre, con “anomalía” para un semestre y un año. El coeficiente R2 es cercano o mayor a 0,4 para períodos de maduración iguales o superiores a un semestre —no se hace el ejercicio para horizontes superiores a cinco años, ya que no se dispone de suficiente información-.
¿Cómo se comparan los resultados anteriores con los de otros trabajos para Colombia? Infortunadamente, no existen muchos, y la metodología de los pocos disponibles es sustancialmente diferente34. El trabajo más cercano es el de Rowland (2002), el cual utiliza información semanal de la tasas DTF a 90, 180 y 360 días. El autor encuentra evidencia para validar la hipótesis de la PNC simple para el subperíodo 1996-2002, y subestima resultados opuestos para 1994-2002 y para 1999-2002, con el argumento de que “las series no son estacionarias en estos dos últimos períodos”. Más aún, los “malos” resultados obtenidos en 1999-2002 le sugieren a Rowland que la hipótesis simple de la PNC podría estar debilitándose y probablemente no se cumplirá en el futuro en un régimen de baja inflación (como se mencionó, la “anomalía” es más intensa en países con baja inflación). Los resultados de este trabajo difieren de los de Rowland, con B pnc= 0,64 (2000-2007) y B pnc= -0,12 (2003-2007), cuando el período de maduración es de tres meses.Otros trabajos incorporan factores externos e internos en la determinación de la tasa de interés en Colombia. Edwards (1985), por ejemplo, utiliza información trimestral para el período 1968-1982 y analiza el comportamiento de las tasas de interés internas (no reguladas) y externas a tres meses35 en una economía semi-abierta con fuertes controles de capital. En estas circunstancias el autor concluye que las tasas de interés locales responden tanto a la evolución de la tasa de interés internacional como a las condiciones monetarias del país: obtiene un coeficiente de 0,36 para la relación entre ite it* + (et+k - et),donde la mitad de las mayores tasas internacionales de interés o la mayor devaluación se trasladan en un trimestre a las tasas internas. Toro (1987) (para 1967-1985) y Gómez (1996) (para 1971-1994) realizan ejercicios relativamente similares al de Edwards, y encuentran una relación de sólo 0,10 (y no significativa) entre ambas variables. Los autores también construyen índices de liberalización financiera y concluyen que ya para ese entonces la economía colombiana era relativamente abierta a los flujos de capital. Los resultados preliminares de este trabajo coinciden con los de los tres autores anteriores, con una relación apenas parcial entre las tasas de interés internas y externas (más devaluación), cuando el período de maduración es de tres meses.
Finalmente, Villar y Rincón (2000) estiman un coeficiente muy cercano a 1 para una regresión entre rt y r *t + tax rt , siendo rt la tasa de interés real, y tax el efecto del impuesto que existió en los años noventa al ingreso de capitales. Los resultados no son enteramente comparables con los de este trabajo, pues los autores no incluyen la tasa devaluación de la tasa de cambio en sus cálculos al no encontrar una relación de cointegración o de largo plazo entrert, r *t + tax y la devaluación (real en este caso).
El Gráfico 6 tiene un formato similar al del Gráfico 3, y muestra las evoluciones de ![]()
(nuevamente, para k = 1 año): resultó más rentable invertir en dólares (valor positivo) en 2000 y 2002, e invertir en pesos en los demás años, principalmente en 2003, 2004 y 2006. IV. Riesgo vs Expectativas no Racionales
¿Qué explicala “anomalía” observada en 2003-2007 para horizontes de vencimiento de un semestre y un año?36 Desde el supuesto de expectativas racionales, la “anomalía” puede ser explicada con base en la mayor volatilidad del riesgo (cambiario y país), frente a la volatilidad de la tasa de cambio (sección 0); sin embargo, la hipótesis de expectativas racionales debe probarse en lugar de suponerse.
En la sección IV.A se utiliza la Encuesta sobre expectativas que el Banco de la República aplica desde mediados de 2003 (en lugar de asumir expectativas racionales) y se demuestra que desaparece la “anomalía” observada en 2003-2007 para períodos de maduración de un año. Este resultado sugiere que la hipótesis de expectativas racionales no siempre es adecuada.
En la sección IV.B se replica la metodología diseñada por Froot y Frankel (1989) en la versión presentada por Macdonald y Torrance (1990), con el fin de asignar un peso relativo a la contribución del riesgo variable y de las expectativas no racionales en la determinación del sesgo observado37 en algunos casos en Bpnc . Se muestra que, al igual que en los Estados Unidos, la “anomalía” registrada en el Cuadro 4 para períodos de maduración de un año la explica el sesgo introducido por la hipótesis de expectativas racionales. El riesgo y las expectativas irracionales desempeñan un papel similar para períodos de un mes, tiempo en el que de todas formas no se reporta “anomalía”.
Se utiliza la encuesta mensual que realiza el Banco de la República desde el 1 de octubre de 2003, se calcula la mediana mensual y se interpolan los datos para obtener datos diarios. La encuesta se aplica a tres grupos de agentes: a) bancos y organismos internacionales; b) sociedades comisionistas de bolsa, y c) corporaciones, fondos de pensiones y cesantías, y fiduciarias. El número de encuestados varía entre 27 y 50, siendo 35 el número más frecuente. Se aplica al comienzo de cada mes y se pregunta por la devaluación esperada a un mes y a un año. La interpolación de los datos permite aumentar el número de observaciones si se tiene en cuenta que sólo se dispone de 51 datos en las encuestas. Se verifica la solidez de los resultados frente a cinco diferentes metodologías de interpolación, pero trabajos futuros deberán profundizar en el campo.
Algunos economistas muestran escepticismo frente a las encuestas con el argumento de una economía positiva, según el cual se aprende más del comportamiento de los agentes en el mercado que de su respuesta a las encuestas. Takagi (1990) argumenta, adicionalmente, que mientras la tasa de cambio en el mercado refleja un precio marginal, los valores de las encuestas representan valores promedio, sin que exista una relación clara entre ambos conceptos. Finalmente, se menciona que la mediana que utiliza la mayoría de trabajos no captura adecuadamente la heterogeneidad de las respuestas.
Sin embargo, las encuestas sobre expectativas cambiarias por lo menos tienen ventajas frente a encuestas adelantadas en otras áreas: quienes participan también intervienen en el mercado y tienen un conocimiento preciso sobre su funcionamiento (Frankel y Froot, 1987, y Takagi, 1990). Las encuestas permiten una mejor aproximación a las expectativas de devaluación que las observaciones ex post de la tasa de cambio (expectativas racionales), y también que la prima forward38. La primera medida requiere suponer expectativas racionales, y la segunda incluye una prima de riesgo.
A. ¿Persiste la “anomalía” cuando se Utilizan Encuestas ?
El Cuadro 5 reproduce los resultados del Cuadro 4 para el período 2003-2007, utilizando en este caso la devaluación implícita que se concluye de las encuestas del Banco ( ee t+kt - e t) como variable dependiente, en lugar de la devaluación observada ex post ( et+k - et ). En este caso, se interpolaron linealmente los resultados mensuales de las encuestas.
Los valores estimados de Bpnc en el Cuadro 5 “mejoran” sustancialmente con respecto a los del Cuadro 4, tanto para períodos de maduración de un mes como de un año. El coeficiente cambia desde 0,43 hasta 1,06 para un mes, y desde -0,84 hasta 0,72 para un año. El coeficiente de determinación R2 es similar en ambos cuadros para un mes (cercano a 0,05) pero se eleva desde 0,56 hasta 0,85 para un año. Los resultados sugieren, por tanto, que las expectativas no han sido racionales en Colombia.
B. Riesgo Cambiario frente a Expectativas no Racionales en la Explicación de la “anomalía”
La hipótesis de la PNC, evaluada en la sección III, puede considerarse como una hipótesis conjunta sobre expectativas racionales y PNC simple (i.e. sin riesgo). Por ello, cuando no se dispone de información de encuestas algunos autores suponen expectativas racionales y atribuyen la “anomalía” a un factor de riesgo variable, en tanto que otros asumen que el riesgo es enteramente diversificable o que los agentes son neutrales a éste, por lo que la “anomalía” aparece enteramente explicada por la ausencia de expectativas racionales (Froot y Thaler, 1990). Con base en los resultados de encuestas, Froot y Frankel (1989) desarrollaron una metodología que permite asignar un valor relativo a los dos factores. Nuestra presentación se basa en Macdonald y Torrance (1990)39, quienes muestran que:
Bpnc=1-Ber- B p
siendo Bpnc el parámetro asociado con la ecuación de PNC bajo expectativas racionales, Ber el sesgo generado por la ausencia de expectativas racionales ( Ber= 0 indica expectativas racionales) y Bp el sesgo que introduce el riesgo variable en el tiempo ( Bp= 0 indica la ausencia de una prima de riesgo variable en el tiempo). Los parámetros pueden estimarse a partir de las siguientes regresiones:
eet+kt- et+k=αer+ Ber(ft+kt-et)+ u er,t
Bp= 1 - p1con eet+kt-et= p0+ p 1(ft+kt- et) + up,t
Cuando existen expectativas racionales se cumple que eet+k= et+k + v , en donde vt es un error aleatorio con media cero, y por ello resulta cero el promedio del lado derecho y el coeficiente B er en la ecuación (15). Adicionalmente, cuando existe riesgo se cumple que p1=1 Bp=0 = 0) en la ecuación (16), recordando que el factor riesgo se define como ft+k-eet+k. En síntesis,Ber representa el sesgo que introducen las expectativas no racionales, y Bp el sesgo que introduce el factor riesgo variable; Bpnc es igual a 1 cuando Ber = 0 y Bp = 0.
El Cuadro 6 presenta los coeficientes Ber= 0 y Bp estimados a partir de las ecuaciones (15) y (16). Además, incluye resultados para las cinco metodologías de interpolación mencionadas: lineal entre cada par de puntos; con tasa de crecimiento geométrica entre cada par de puntos; B-spline cúbica (sobre la metodología véase Vásquez y Melo, 2005); con promedio móvil ponderado exponencialmente (o exponentially weighted moving average [EWMA]); y con interpolación polinómica de grado 3. Las tres últimas metodologías utilizan el conjunto completo de información (para una discusión de las ventajas de las distintas metodologías véase Echavarría, Vásquez y Villamizar, 2008b). .
Los resultados son robustos al método de interpolación para períodos de maduración de un año, con un sesgo para el supuesto de expectativas racionales sistemáticamente superior al que introduce el riesgo variable. Aunque aparecen menos robustos para plazos de un mes: las expectativas irracionales y el riesgo cumplen un papel relativamente similar en las columnas 1, 3 y 4, con un sesgo muy superior para el riesgo en las columnas 2 y 5.
C. ¿Cómo aislar (parte de ) el riesgo país? Una solución simple
Gran parte de la literatura empírica supone PC y evalúa la hipótesis de PNC con modelos en los cuales se utiliza a ft+k - et como variable explicativa. Una decisión relativamente inocua en el caso de países desarrollados, en los cuales el riesgo país es bajo y se incorpora información de títulos emitidos en el mismo lugar (véase sección II) tiene implicaciones importantes en este documento, pues permite aislar de los cálculos algunos componentes del riesgo país.
Si se combina la ecuación de PC con la ecuación (13) de PNC se llega a que desde el supuesto de expectativas racionales:et+k - et=ft+k - et - p cambiario ,con lo cual desaparece el riesgo país ( Ppais,t) como variable adicional. En otras palabras, al utilizar ft+k -e t en lugar de
en el lado derecho de la ecuación de PNC, se incorpora automáticamente el efecto del riesgo país en los cálculos.
El ejercicio sólo puede realizarse para horizontes de hasta un año, pues este es el plazo máximo para el cual se obtiene información en el mercado cambiario forward colombiano. Pero esto es suficiente para los propósitos del trabajo pues la anomalía sólo aparece para vencimiento de un semestre y un año en 2003-2007 (Cuadro 4)40. Los resultados del Cuadro 7, con ft+kt- et en el lado derecho sugieren ligeras mejoras, pero sólo en algunos de los casos. Entre 2000 y 2007, por ejemplo, para el período de maduración de cero a tres días se obtiene, ahora, un coeficiente Bpnc= 0,89 que es significativo estadísticamente (los demás resultados son similares). La “anomalía” continúa presentándose para plazos de un semestre y de un año (también, aún para un trimestre).
En el Cuadro 8 se presentan los resultados de una estimación similar a la anterior utilizando, en esta oportunidad a eet+kt- et(con base en las encuestas del Banco de la República) como variable dependiente y (nuevamente) ft+kt- etcomo variable independiente. Sólo existen encuestas para k = 1 mes y un año, y únicamente para el período 2003-2007, pero los resultados son muy satisfactorios, ya que desaparece ahora la “anomalía” observada en los cuadros 4 y 7 para períodos de maduración de un año.
D. Hoja de Ruta
No se observa con la misma fuerza la “anomalía” en Colombia, comparada con los países desarrollados: sólo ocurre para horizontes cortos en 2003 a 2007. Adicionalmente, los resultados para el corto plazo mejoran sensiblemente con dos innovaciones metodológicas: a) la utilización de eet+kt-et a partir de encuestas, en lugar de et+k- et k t ? (supuesto de expectativas racionales) como variable dependiente; y b) la utilización de ft+kt- eten lugar de
como variable independiente, con lo cual se incorpora el riesgo país (Ppais,t) en los cálculos. Lo anterior sugiere que la “anomalía” obedece a problemas de medición y al impacto de variables omitidas en los pocos casos en que ésta se presenta; por lo tanto, las dos innovaciones metodológicas permiten obtener resultados más acordes con la hipótesis de PNC para Colombia.
En el Cuadro 9 se resumen los resultados obtenidos para el coeficiente Bpncen las estimaciones de cada una de las distintas secciones del trabajo, ordenados de “mejor” en la columna 1 a “peor” en la columna 9, según su poder explicativo para el corto plazo. Dicho orden obedece a preferencias subjetivas que se sustentarán a continuación.
Los números entre paréntesis de la primera fila del Cuadro 9 corresponden a los números de los cuadros en los que se presentan originalmente los resultados, el período de análisis (2000-2007 o 2003-2007), la variable dependiente e independiente, y los valores del estimador del coeficiente Bpnc , de acuerdo con el horizonte de vencimiento. Dichos resultados se clasifican en cuatro categorías: AN (“anomalía”, sombreado cuando el coeficiente no resulta estadísticamente significativo), de 0,0 a 0,5, de 0,5 a 1,0 y de 1 o >1.
La columna 5 del Cuadro 9 resume los resultados relativamente satisfactorios del Cuadro 3 (2000-2007), confirmando la hipótesis de la PNC para todos los períodos de maduración (con “anomalía” para tres a cuatro años y cuatro a cinco años), y relativamente similares cuando se utiliza ft+kt en lugar de
en la columna 2.
Los resultados para 2003-2007 en la columna 6 son menos satisfactorios que entre 2000 y 2007 (columna 5): los valores de Bpnc presentan una varianza excesiva en el muy corto plazo y se observa “anomalía” para un semestre y un año (los resultados son nuevamente satisfactorios en el largo plazo). Aunque la “anomalía” desaparece cuando se utilizan las expectativas ( eet+kt- et), en vez del supuesto de expectativas racionales ( et+k- et) en las columnas 1 y 4. El contraste con los resultados anómalos de la columna 3 sugiere, nuevamente, que el sesgo que introduce el supuesto de expectativas racionales es mayor al que produce el riesgo país.
V. Conclusiones
No es tan relevante el nivel de la tasa de interés de la curva cero cupón como su pendiente. Las tasas forward-marginales utilizadas en este trabajo se encuentran más cercanas al concepto que guía las decisiones económicas de los agentes, y en el caso colombiano producen resultados más “satisfactorios”, tanto para la PC como la PNC.
Los trabajos para los Estados Unidos y otros países desarrollados encuentran que la hipótesis de la PC se cumple en la mayoría de plazos, y con más fuerza aún en horizontes cortos, quizá debido a las políticas de stop loss que imponen los gerentes de los bancos a sus subalternos. La hipótesis resulta válida en Colombia para todos los períodos de maduración (con varianza muy alta en el muy corto plazo). En el caso de la hipótesis de la PNC no parece registrarse la “anomalía” en Colombia con la misma intensidad que en los países desarrollados. En los pocos casos cuando esto ocurre, parece ser consecuencia de la influencia de variables omitidas o mal medidas. El sesgo que introduce el supuesto de expectativas racionales es especialmente fuerte, aun cuando el riesgo también introduce sesgos en las estimaciones de muy corto plazo.
Desde el punto de vista de la política económica el incremento de las tasas de interés a un día o un mes atrae capitales, con un coeficiente Bpnc mayor a 0,5 en algunas de las estimaciones. El resultado neto dependerá, sin embargo, del impacto que dicho incremento tenga sobre la parte larga de la curva, ya que la respuesta de los capitales parece ser aún mayor ante tasas de largo plazo. Podría suceder, por ejemplo, que el incremento de la tasa repo del Banco de la República aplane la curva ante menores expectativas de inflación, y con ello produzca una salida neta de capitales.
La influencia del riesgo en la ecuación de la PNC abre la posibilidad de que el banco central pueda influir sobre la tasa de cambio con sus intervenciones esterilizadas si logra afectar el riesgo de los papeles locales. En el trabajo se sugiere que los riesgos de default, de nuevos controles de capital o de nuevos impuestos tienen efecto sobre la tasa de cambio y la ecuación de PNC, pero no se cuantifica su influencia. Ambos temas se tratarán en un próximo documento de los autores (Echavarría, Vásquez y Villamizar, 2008a).
Comentarios
1La trilogía imposible puede existir en ausencia de la PNC si los especuladores intervienen exitosamente cuando la autoridad monetaria trata de fijar la tasa de cambio nominal. En ese caso, no es posible mantener una tasa de cambio nominal fija.
2En 1989 el volumen mundial de transacciones diarias era de US$430 mil millones, veinte veces el PIB diario de los Estados Unidos y cerca de cuarenta veces el volumen diario de comercio mundial (Frankel y Froot, 1990). Un alto porcentaje de estas transacciones se realiza en dólares y tienen lugar, en su orden, en el Reino Unido, los Estados Unidos, Japón y Singapur (Sarno y Taylor, 2001). Según Frankel y Froot (1990) el 95% de dichas transacciones se realizan entre bancos y firmas del sector financiero, con participación mínima del sector real.
3Un ciudadano de los Estados Unidos puede pedir prestado un dólar y depositarlo en un banco en ese país, con lo cual tendrá (1US$).(1+i*t al final del año. Alternativamente, el mismo ciudadano puede invertir ese dólar en Colombia: lo convierte a (1US$)(1US$).(Et).(1+it).ø pesos, y al final del año tendrá (1US$).(Et (1+ it).ø/Ft+kt pesos, en donde es la probabilidad de que el banco colombiano cumpla con su obligación (menor a 1 en algunos casos). Lo anterior, convertido nuevamente a dólares en el mercado de futuros, equivale a (1US$).(Et (1+ it).ø/Ft+kt dólares.

4La conversión de (1) en (3) requiere suponer que F= E (véase Krugman y Obstfeld, 1991, pp. 346-348).
5 Se dispone únicamente de información sobre curva spot para los TES en Colombia. Boudoukh, Richardson, y Whitelaw (2005) utilizan la tasa Libor para horizontes de seis y doce meses y tasas swap para períodos mayores a un año, con el argumento de que estas tasas son más líquidas, menos sujetas a ausencia de información, al impacto de cambios puntuales en oferta y demanda y a sesgos producidos por impuestos.
6 Según esta teoría, la tasa marginal-forward para un determinado período futuro es igual a la tasa cero cupón esperada para ese mismo período (Hull, 2002, p. 102). La tasa marginal o forward es la tasa de interés de un préstamo entre dos fechas futuras, contratado en el presente.
7 A un horizonte de tres meses, por ejemplo, el lado derecho de la ecuación (6) se eleva a la potencia 360/90.
8 Se basa en Mera (2007).
9Los creadores de mercado corresponden a intermediarios especializados, con ciertos privilegios (únicos intermediarios autorizados para participar en las subastas y en el sistema del Banco de la República) y obligaciones (están condicionados a adquirir una cantidad mínima de las subastas realizadas en el año, así como a colocar “puntas” en el sistema de negociación).
10Los diferentes períodos de vencimiento en el mercado de tasa de cambio forward en 2006, participan así: 57% para 15 a 35 días, 15% para 91 a 180 días, 13% para 36 a 60 días; 13,8% para otros plazos.
11 Con Bpc diferente de cero. La mayoría de estudios en el área se concentran en el valor de B pc un valor de B pc= 1 indica sustituibilidad perfecta entre títulos. El parámetro B pcestá asociado con costos de transacción o con un factor riesgo constante (véase la nota 27 para el caso de paridad no cubierta).
12 Véase Branson (1969), Frenkel y Levich (1975) y Frenkel y Levich (1977 ). Para períodos recientes ver Taylor (1987 y 1989). El último autor concluye que en períodos de calma no existen oportunidades de arbitraje desperdiciadas, pero éstas podrían existir en alguna medida en períodos de turbulencia.
13 Sin embargo, Balke y Wohar (1998) encuentran evidencia de desviaciones significativas respecto de la hipótesis de la PC y sostienen que los mercados no arbitran a menos que los márgenes de rentabilidad sean altos, por encima de un nivel específico, cercano a 50 puntos básicos durante la década de los años veinte (Peel y Taylor, 2002).
14 Véase Aliber (1973). Sobre la función de costos de transacción y la incertidumbre financiera véase Frenkel y Levich (1975) y Frenkel y Levich (1977 ); sobre el potencial de los controles de capital véase Dooley e Isard (1980).Nota: se eliminan los valores extremos de la variable dependiente (menores al percentil 5 o mayores al 95). Los valores en paréntesis corresponden a las estadísticas t obtenidas mediante la metodología GMM de Hansen y Hodrick (1980); por lo tanto, los errores estándar son robustos a la presencia por autocorrelación y heteroscedasticidad (véase Anexo 2). ***, **, * indican niveles de significancia de 1%, 5% y 10%. Los valores de las columnas (3), (4) y (5) corresponden al p value para la prueba tipo Wald. Fuente: Banco de la República; cálculos de los autores.
15 La metodología GMM y MCO arrojan los mismos estimadores αpc y Bpc . El estadístico t resulta menor en el caso de MCO, con niveles de significancia similares.
16 La varianza de Bpc es muy alta, sin embargo, con un intervalo de confianza que se encuentra entre -0,11 y 10,61.
17 Las variables dependientes no son idénticas y por lo tanto el R2 no es estrictamente comparable.
18 Branson (1969) encuentra un valor de 0,18% para el erpc de la relación dólar - dólar canandiense (julio de 1962 a diciembre de 1964) y dólar - libra esterlina (enero de 1959 a diciembre de 1964). En Frenkel y Levich (1975) resulta un exceso de retorno promedio cercano a 0,15% por año para la relación entre el dólar, la libra esterlina y el dólar canadiense entre 1962 y 1967, atribuíble enteramente a costos de transacción. Frenkel y Levich (1977 ) llegan a conclusiones similares e indican que los costos de transacción se elevaron sustancialmente en el período de flotación administrada 1973- 1975.
19 Para el cálculo de ppais,t se utilizaron los valores exactos deαpc >pc (0,0043411) y de B
20 El EMBI+ sólo incluye títulos denominados en dólares, regidos por leyes de uno de los países del “Grupo de los 7” (G7). Únicamente pueden adicionarse títulos con períodos de vencimiento mayores a dos años y medio, y una vez incluido, el título sólo puede permanecer en la canasta hasta que su período de vencimiento sea mayor a doce meses (J.P. Morgan, 2004). Cuatro títulos con períodos mayores a nueve años representan en conjunto más del 60% del total en el caso del EMBI+ Colombia.
21 La conversión de (9) en (11) requiere suponer que Ee=E-véase Krugman y Obstfeld (1991)-.
22 En dicho caso: E( et+kt)= E (eet+k) cual significa que eet+kt= et+k + vt+k con vt+k, un error aleatorio de media cero y varianza constante. Si el error no es de media cero, los agentes no utilizan toda la información disponible para su decisión y las expectativas no son racionales.
23 Véase Sarno y Taylor (2002, pp. 20-24). ¿Cómo se explica que los activos denominados en pesos sean más riesgosos que los denominados en dólares, cuando existe una sóla tasa de cambio que los relaciona? Siguiendo a Froot y Thaler (1990), se supone que existe integración completa entre activos y entre bienes de dos países (A y B) de igual tamaño, en donde cada país tiene un activo que paga consumo futuro, cada país produce un bien produce un bien y consume en cantidades iguales el bien local y el bien externo. Se supone, adicionalmente, que la relación entre el activo y el producto es mayor en A que en B. Teniendo en cuenta que los inversionistas consumen en cantidades iguales el bien nacional y el extranjero, también les interesa diversificar su portafolio por igual entre el activo de A y el de B; en este caso, sólo aceptarán mantener una fracción mayor de su portafolio en A que en B si reciben una prima por tener el activo A. Así, los activos denominados en los bienes de A son más riesgosos que los denominados en los bienes de B.
24Con respecto al modelo de portafolio véase Sarno y Taylor (2002, capítulo 4). El modelo requiere la no existencia de equivalencia ricardiana (Backus y Kehoe, 1988). Véase, adicionalmente, Lewis (1995). Por su parte, Baillie y Osterberg (1997) presentan un modelo más general donde el exceso de retorno depende de la volatilidad del producto, de la tasa de cambio y de la participación del dólar en el portafolio de los agentes. Los autores sólo utilizan la volatilidad de la tasa de cambio en su trabajo, pues no existe información diaria o mensual para las otras variables.
25 Véase, adicionalmente, Lewis (1995), Sarno y Taylor (2002), Obstfeld y Rogoff (1996, pp. 589-592). Existe un amplio debate sobre el impacto del riesgo, reseñado recientemente por Engel (1996). El modelo simple de activos de Lucas (1982) puede dar cuenta de la covarianza negativa entre el riesgo y la tasa de cambio, pero ni estos modelos ni los modelos de portafolio pueden explicar fácilmente la alta volatilidad del riesgo. Modelos tales como el de Bekaert, Hodrick, y Marshall (1997) generan una prima de riesgo mucho menor a la que se requiere con base en la información observada. La prima de riesgo necesaria para interpretar algunos episodios en los años ochenta en los Estados Unidos es superior al 16%; lo cual resulta muy difícil de explicar intuitivamente. De manera similar, ha sido complejo relacionar el riesgo con la evolución de algunas variables macroeconómicas (véase, además, Engel, 1995; Bansal y Dahlquist, 2000, y Froot y Thaler, 1990).
26 El supuesto de menor volatilidad de las expectativas, frente a la tasa de cambio spot, parece acertado. Para 2003-2006 en Colombia, por ejemplo, la volatilidad (desviación estándar) de la devaluación observada a un mes fue 4,9 veces la volatilidad de la devaluación esperada en las encuestas del Banco de la República; con una relación de 7,7 veces para períodos de vencimiento de un año. La mayor volatilidad relativa de la devaluación observada aparece en cada uno de los años de 2003 a 2006, para los cuales existe la encuesta (Echavarría, Vásquez y Villamizar, 2008b). A nivel internacional, Allen y Taylor (1990) encuentran una tendencia de las expectativas (consignadas en encuestas) a subpredecir los mercados spot al alza, y a sobrepredecir los mercados a la baja, por lo tanto la elasticidad de las expectativas a la devaluación de la tasa spot es menor a 1. Este resultado también se obtiene para Colombia.
27 Pocos trabajos se preocupan por el valor de ? pnc. Chinn y Meredith (2004) afirman que la existencia de ? pncdiferente de cero puede ser explicada por la denominada desigualdad de Jensen o por la existencia de un exceso de rendimiento (erpnc) o prima de riesgo constante. Los activos en diferentes monedas pueden ser considerados sustitutos perfectos cuando B pnc= 1 (Takagi, 1990)
28 Los resultados son muy heterogéneos entre países y períodos: de los 21 casos estimados por Flood y Rose (2002) para la década de los noventa, el coeficiente resulta negativo en doce casos, positivo en siete y cercano a cero en dos casos.
29 Con respecto a la PNC y el período de vencimiento véase Alexius (2001) y Boudoukh, Richardson, y Whitelaw (2005). Para el caso de los años noventa y los regímenes cambiarios véase Flood y Rose (2002). Sobre el impacto de la inflación y su volatilidad véase Bansal y Dahlquist (2000). Los autores encuentran adicionalmente que la anomalía en los Estados Unidos sólo se presenta cuando la tasa de interés en ese país supera la tasa “externa”.
30 El peso problem ocurre cuando los agentes asignan una pequeña probabilidad a un cambio fuerte en las variables fundamentales, lo cual introduce skewness en la distribución. Algo similar sucede cuando existen burbujas racionales (p. e. cuando compro divisas por que sé que los agentes van a comprar divisas, independientemente de los fundamentales); finalmente, la existencia de procesos de aprendizaje lleva a detectar información no utilizada en los datos ex post.
31Podría considerarse una categoría adicional relacionada con el efecto que producen las intervenciones de los bancos centrales en el mercado cambiario, lo cual se analiza en Echavarría, Vásquez y Villamizar (2008a). En este trabajo no se menciona la relación que puede existir entre la anomalía y la rigidez de precios de corto plazo (véase Eichenbaum y Evans, 1995).
32 Mediante la metodología de MCO (la cual no es adecuada en estos casos y no se reporta) tiende a elevar el valor del estadístico t. Sin embargo, las conclusiones resultan similares.
33 Sin embargo, la varianza asociada al coeficiente ? es muy alta. El parámetro estimado presenta un rango entre -7,58 y 10,19 para períodos de vencimiento de un día, y entre -0,92 y 1,77 para un mes.
34Una razón es que sólo desde 2000 existen estimaciones de la curva de rendimiento cero cupón (a partir de la cual se calcularon las tasas de interés marginales, véase la sección II).
35 El autor menciona que su ejercicio es robusto para diferentes períodos de vencimiento.
36 Adicionalmente se reporta una “anomalía” en el período 2000-2007 en el Cuadro 3, sin embargo, en este caso no se dispone de la información que se requiere para la metodología aplicada.
37 Como se señaló (ver la nota 30), en este trabajo no se tratan otros problemas relacionados con expectativas, tales como el denominado peso problem o el proceso de aprendizaje (véase Lewis, 1995, y Sarno y Taylor, 2002, pp.24-32).
38 Con expectativas racionales y PC se cumple que ft+kt=ee t+kt .
3 39 Véase adicionalmente Sarno y Taylor (2002, pp. 32-34).
40 Respecto a la anomalía que se presenta entre 2000 y 2007 en plazos de tres a cuatro y de cuatro a cinco años (Cuadro 3) es muy poco lo que puede decirse.
REFERENCIAS
1. Alexius, A. “Uncovered Interest Parity Revisited”, Review of International Economics, vol. 9, núm. 3, pp. 505-517, 2001.
[ Links ]2. Aliber, R. Z. “The Interest Rate Parity Theorem: A Reinterpretation”, The Journal of Political Economy, vol .81, núm. 6, pp. 1451-1459, 1973.
[ Links ]3. Allen, H.; Taylor, M. P. “Charts, Noise and Fundamentals in the London Foreign Exchange Market”, The Economic Journal, vol. 81, núm. 6, pp. 1451-1459, noviembre-diciembre, 1990.
[ Links ]4. Arango, L. E.; Melo, L. F.; Vásquez, D. “Estimación de la estructura a plazo de las tasas de interés en Colombia”, Coyuntura Económica, vol. XXXIII, núm. I, marzo-septiembre, 2003.
[ Links ]5. Backus, D. K.; Kehoe, P. J. “On the Denomination of Government Debt: A Critique of the Portfolio Balance Approach”, Federal Reserve Bank of Minneapolis Staff Report, núm. 116, pp. 2-25, 1988.
[ Links ]6. Baillie, R. T.; Bollerslev, T. “The Forward Premium Anomaly is not as Bad as You Think”, Journal of International Economics, vol. 19, núm. 4, pp.471-488, agosto, 2000.
[ Links ]7. Baillie, R. T.; Osterberg, W. P. “Central Bank Intervention and Risk in the Forward Market”, Journal of International Economics, vol. 43, núms. 3-4, pp. 483-497, noviembre, 1997.
[ Links ]8. Balke, N. S.; Wohar, M. E. “Non Linear Dynamics and Covered Interest Parity”, Empirical Economics, vol. 23, núm. 4, pp. 535-559, 1998.
[ Links ]9. Bansal, R.; Dahlquist, M. “The Forward Premium Puzzle: Different Tales from Developed and Emerging Economies”, Journal of International Economics, vol. 51, núm. 2, pp. 115- 144, junio, 2000.
[ Links ]10. Baum, C. F.; Schaffer, M. E.; Stillman, S. “Instrumental Variables and GMM: Estimation and Testing”, documento de trabajo, núm. 545, Boston College Department of Economics, 2003.
[ Links ]11. Bekaert, G.; Hodrick, R. J.; Marshall, D. A. “The Implications of First-Order Risk Aversion for Asset Market Risk Premiums”, Journal of Monetary Economics, vol. 40, núm. 1, pp. 3- 39, 1997.
[ Links ]12. Bilson, J. F. “The Speculative Efficiency Hipothesis”, Journal of Business, vol. 54, pp. 435- 451, 1981.
[ Links ]13. Boudoukh, J.; Richardson, M.; Whitelaw, R. “The Information in Long-Maturity Forward Rates: Implications for Exchange Rates and the Forward Premium Anomaly”, NBER, documento de trabajo, núm. 1840, 2005.
[ Links ]14. Branson, W. H. “The Minimum Covered Interest Differential Needed for International Arbitrage Activity”, The Journal of Political Economy, vol. 77, núm. 6, pp. 1028-1035, 1969.
[ Links ]15. Burnside, C. et al. “The Returns to Currency Speculation”, NBER, documento de trabajo, núm. 12489, 2006.
[ Links ]16. Burnside, C.; Eichenbaum, M.; Rebelo, S.”The Returns to Currency Speculation in Emerging Markets”, NBER, documento de trabajo, núm. 12916, 2007.
[ Links ]17. Campbell, J. “Some Lessons from the Yield Curve”, Journal of Economic Perspectives, vol. 9, núm. 3, pp. 129-152, 1995.
[ Links ]18. Chinn, M. D.; Meredith, G. “Monetary Policy and Long-Horizon Uncovered Interest Parity”, IMF Staff Papers, vol. 51, núm. 3, pp. 409-430, Fondo Monetario Internacional, 2004.
[ Links ]19. Dickey, D. A.; Fuller, W. A. “Distribution of the Estimators for Time Series. Regressions with a Unit Root”, Journal of the American Statistical Association, núm. 4, pp. 427-431, 1979.
[ Links ]20. Domínguez, K. M.; Frankel, J. A. “Does Foreign Exchange Intervention Matter? The Portfolio Effect”, American Economic Review, vol. 83, núm. 5, pp. 1356-1369, 1993.
[ Links ]21. Dooley, M.; Isard, P. “Capital Controls, Political Risk and Deviations from Interest-Rate Parity”, Journal of Political Economy, vol. 88, núm. 2, pp. 370-384, abril, 1980.
[ Links ]22. Dornbusch, R. “Exchange Rate Risk and the Macroeconomics of Exchange Rate Determination”, NBER, documento de trabajo, núm. 493, 1980.
[ Links ]23. Echavarría, J. J.; Vásquez D.; Villamizar, M. “El impacto del riesgo país, los controles de capital y Ensayos sobre POLÍTICA ECON ÓMICA , vol. 26, núm. 56, edición junio 2008 193 las intervenciones del banco central sobre la tasa de cambio”, (mimeo), Banco de la República, 2008a.
[ Links ]24. Echavarría, J. J.; Vásquez D.; Villamizar, M. “Expectativas cambiarias en Colombia” (mimeo), Banco de la República, 2008b.
[ Links ]25. Edwards, S. “Money, the Rate of Devaluation and Interest Rates in a Semi-Open Economy: Colombia 1968-1982”, Journal of Money, Credit and Banking, pp. 59-68, 1985.
[ Links ]26. Eichenbaum, M.; Evans, C. L. “Some Empirical Evidence on the Effects of Shocks to Monetary Policy on Exchange Rates”, Quarterly Journal of Economics, vol. 110, núm. 4, pp. 975-1009, noviembre, 1995.
[ Links ]27. Engel, C. “The Forward Discount Anomaly and the Risk Premium: A Survey of Recent Evidence”, NBER, documento de trabajo, núm. 5312, 1995.
[ Links ]28. Engel, C. “The Forward Discount Anomaly and the Risk Premium: A Survey of Recent Evidence”, Journal of Empirical Finance, vol. 3, núm. 2, pp. 123-192, junio, 1996.
[ Links ]29. Fama, E. F. “Forward and Spot Exchange Rates”, Journal of Monetary Economics, vol. 14, núm. 3, pp. 319-338, noviembre, 1984.
[ Links ]30. Flood, R. P.; Garber, P. “Market Fundamentals versus Price-Level Bubbles: the First Test”, Journal of Political Economy, vol. 88, núm. 4, pp. 745-770, agosto, 1980.
[ Links ]31. Flood, R. P.; Rose, A. K. “Uncovered Interest Parity in Crisis”, IMF Satff Papers, vol. 49, núm. 2, pp. 252-266 , Fondo Monetario Internacional, 2002.
[ Links ]32. Frankel, J. A.; Froot, K. A. “Using Survey Data to Test Standard Propositions Regarding Exchange Rate Expectations”, The American Economic Review, vol. 77, núm. 1, pp. 133-153, 1987.
[ Links ]33. Frankel, J. A.; Froot, K. A. “Chartists, Fundamentalists, and Trading in the Foreign Exchange Market”, American Economic Review, vol. 80, núm. 2, pp. 181-185, 1990.
[ Links ]34. Frenkel, J. A.; Levich, R. M. “Covered Interest Arbitrage: Unexploited Profits?”, Journal of Political Economy, vol. 83, núm. 2, pp. 325-338, 1975.
[ Links ]35. Frenkel, J. A.; Levich, R. M. “Transaction Costs and Interest Arbitrage: Tranquil versus Turbulent Periods”, Journal of Political Economy, vol. 85, núm. 6, pp. 1209-1226, 1977.
[ Links ]36. Friedman, M. Essays in Positive Economics, University of Chicago Press, Chicago, 1953.
[ Links ]37. Froot, K. A. “Short Rates and Expected Asset Returns”, NBER, documento de trabajo, núm. 3247, 1990.
[ Links ]38. Froot, K. A. “New Hope for the Expectations Hypothesis of the Term Structure of Interest Rates”, The Journal of Finance, vol. 44, núm. 2, pp. 283-305, 1989.
[ Links ]39. Froot, K. A.; Frankel, J. A. “Forward Discount Bias: Is it an Exchange Risk Premium?”, Quarterly Journal of Economics, vol. 104, núm. 1, pp. 139-161, 1989.
[ Links ]40. Froot, K. A.; Thaler, R. H. “Anomalies: Foreign Exchange”, Journal of Economic Perspectives, vol. 4, núm. pp. 179-192, 1990.
[ Links ]41. J.P.Morgan “Emerging Markets Bond Index Plus (EMBI+). Rules and Methodology”, 2004 <>.
[ Links ]42. Gómez, C. “Movilidad de capital en la economía colombiana, 1970-1994”, Ensayos de Economía, vol. 11, núm. 7, pp. 11-43, 1996.
[ Links ]43. Hansen, L. P. “Large Sample Properties of Generalized Method of Moments Estimators”, Econometrica, vol. 50, núm. 4, pp. 1269-1286, julio, 1982.
[ Links ]44. Hansen, L. P.; Hodrick, R. J. “Forward Exchange Rates as Optimal Predictors of Future Spot Rates: An Econometric Analysis”, Journal of Political Economy, vol. 88, núm. 5, pp. 829-853, 1980.
[ Links ]45. Hodrick, R. J. The Empirical Evidence on the Efficiency of Forward and Futures Foreign Exchange Markets, Harword Academic Publishers, Switzerland, 1987.
[ Links ]46. Hull, J. C. Options, Futures, and Other Derivatives, quinta edición, Prentice Hall, New Jersey, 2002.
[ Links ]47. Isard, P. Exchange Rate Economics, Cambridge Surveys of Economic Literature, Cambridge, 1995
[ Links ]48. Krugman, P. R.; Obstfeld, M. International Economics, Theory and Policy, segunda edicion, Harper Collins Publishers, New York, 1991.
[ Links ]49. Lewis, K. K. “Puzzles in International Financial Markets”, Handbook of International Macroeconomics, volumen III, capítulo 37, pp. 1913-1971, 1995.
[ Links ]50. Lucas, R. E. (ed.) “Interest Rates and Currency Prices In a Two-Country World”, Journal of Monetary Economics, vol. 10, núm. 3, pp. 335-359, 1982.
[ Links ]51. Macdonald, R.; Torrance, T. S. “Expectations Formation and Risk in Four Foreign Exchange Markets”, Oxford Economic Papers, vol. 42, núm. 3, pp. 544-561, 1990.
[ Links ]52. MacKinnon, J. “Critical Values for Co integration Tests, Long-Run Economic Relationships”, R. F. Engle y C. W. Granger (eds.), Long Run Economic Relationships. Readings in Cointegration, Oxford University Press, pp. 267-276, 1991.
[ Links ]53. Mark, N. C.; Moh, Y.-K. “Official Interventions and the Forward Premium Anomaly”, documento de trabajo, núm. 9948, National Bureau of Economic Research, 2003.
[ Links ]54. Meese, R.; Rogoff, K. S. “Empirical Exchange Rate Models of the Seventies: Do they out of sample?”, Journal of International Economics, vol. 14, núms. 1-2, pp. 3-24, febrero, 1983.
[ Links ]55. Mera, S. J. “Desarrollo del mercado de capitales en Colombia” (mimeo), 2007
[ Links ]56. Nelson, C.; Siegel, A. F. “Parsimonious Modeling of Yield Curves”, The Journal of Business, vol. 60, núm. 4, pp.473-489, 1987.
[ Links ]57. Newey, W. K.; West, K. D. “A Simple Positive Semi-Definite, Heteroskedasticity and Autocorrelation Consistent Covariance Matrix”, Econometrica, vol. 55, núm. 3, pp. 703-708, mayo, 1987.
[ Links ]58. Nurkse, R. International Currency Experience, League of Nations, Geneva, 1944.
[ Links ]59. Obstfeld, M.; Rogoff, K. S. Foundations of International Macroeconomics, The MIT Press, Cambridge, 1996.
[ Links ]60. Peel, D. A.; Taylor, M. P. “Covered Interest Arbitrage in the Inter-War Period and the Keynes- Einzig Conjeture”, Journal of Money, Credit and Banking, vol. 34, núm. 1, pp. 51-75, 2002.
[ Links ]61. Rowland, P. “Uncovered Interest Parity and the USD/COP Exchange Rate”, Borradores de Economía, núm. 227, Banco de la República, 2002.
[ Links ]62. Salomon Brothers “Overview of Forward Rate Analysis”, Understanding the Yield Curve, Part 1, Florida, 1995.
[ Links ]63. Sarno, L.; Taylor, M. P. “The Microstructure of the Foreign-Exchange Market: A Selective Survey of the Literature”, Princeton Studies in International Economics, núm. 89, pp. 1-66 , mayo, 2001.
[ Links ]64. Sarno, L.; Taylor, M. P. The Economics of Exchange Rates, Cambridge University Press, Cambridge, 2002.
[ Links ]65. Schmidt, P.; Phillips, P. C. “LM Test for a Unit Root in the Presence of Deterministic Trends”, Oxford Bulletin of Economics and Statistics, vol. 54, núm. 3, pp. 257-287, 1992.
[ Links ]66 . Takagi, S. “Exchange Rate Expectations: A Survey of Survey Studies”, documento de trabajo, núm. 90/52, Fondo Monetario Internacional, 1990.
[ Links ]67. Taylor, M. P. “Covered Interest Parity: A High-Frequency, High-Quality Data Study”, Economica, New Series, vol. 54, núm. 216, pp. 429-438, 1987.
[ Links ]68. Taylor, M. P. “Covered Interest Parity and Market Turbulence”, Economic Journal, vol. 99, núm. 396, pp. 376-391, junio, 1989.
[ Links ]69. Toro, J. “Tasa de interés y variaciones en el grado de apertura de la economía colombiana durante el período 1967-1985”, Desarrollo y Sociedad, núm. 20, pp. 129-175, septiembre, 1987.
[ Links ]70. Vásquez, D.; Melo, L. F. “Estimación de la estructura a plazo de las tasas de interés en Colombia por medio del método de funciones B-Spline cúbicas”, Revista de Economía del Rosario, vol. 8, núm. 1, pp. 1-23, 2005.
[ Links ]71. Villar, L.; Rincón, H. “The Colombian Economy in The Nineties: Capital Flows And Foreign Exchange Regimes”, documento presentado en la Conference on Critical Issues in Financial Reform: Latin Américan-Caribbean and Canadian Perspectives, University of Toronto, 2000. [ Links ]





















