Services on Demand
Journal
Article
Indicators
-
Cited by SciELO -
Access statistics
Related links
-
Cited by Google -
Similars in
SciELO -
Similars in Google
Share
Ensayos sobre POLÍTICA ECONÓMICA
Print version ISSN 0120-4483
Ens. polit. econ. vol.28 no.spe61 Bogotá June 2010
What drives business cycles and international trade in emerging market economies?
¿Qué impulsa los ciclos de negocios y el comercio internacional en economías de mercado emergente?
O que impulsiona os ciclos de negócios e o comércio internacional em economias de mercado emergente?
Marcelo Sánchez*
*I gratefully acknowledge comments received from Alice Fabre, Andrés González, Franz Hamann, Felix Hammermann, Kyle Sparkman and Balázs Vonnák. This paper has also benefited from discussions with seminar participants at the European Central Bank (ECB), the Conference "Open Macroeconomics & Development", held at CEDERS, Faculté des Sciences Economiques et de Gestion, Aix-en- Provence, and the VI Seminario de la revista Ensayos sobre Política Económica, organised by Banco de la República de Colombia, Bogotá. The analysis presented here may not reflect the views of the ECB. All errors are my own. E-mail: marcelo.sanchez@ecb.int
Document received:20 June 2009; final version accepted: 14 April 2010.
This paper investigates the role of domestic and external factors in explaining business cycle and international trade developments in fifteen emerging market economies. Results from sign-restricted VARs show that developments in real output, inflation and international trade variables are dominated by domestic shocks. External shocks, on average, explain a fraction of no more than 10% of the variation in the endogenous variables considered. Concerning impulse responses, consumer prices and real imports are overall the endogenous variables most affected by domestic disturbances. Consumer prices are mostly driven by technology and risk premium shocks. The shocks inducing the largest effects tend to be monetary disturbances, which can be traced to unpredictable monetary policy. These shocks generate relatively large impacts on real imports, which —owing to muted reactions in real exports—, carry over to the trade balance, alongside more modest changes in consumer prices and real output.
JEL classification: C32, E32, F41.
Keywords: business cycles, international trade, emerging markets, structural shocks. Clasificación JEL: E31, E52, F31.
Este artículo explora el papel de los factores domésticos y externos al explicar los desarrollos en los ciclos de negocios y el comercio internacional en quince economías de mercado emergente. Los resultados obtenidos mediante var con restricciones de signo demuestran que los desarrollos en la producción real, la inflación y las variables de comercio internacional están determinados por los choques domésticos. Los choques externos, por lo general, son responsables del 10% o menos de la variación en las variables endógenas consideradas aquí. En cuanto a las respuestas de impulso, los precios al consumidor y las importaciones reales son, en términos generales, las variables endógenas más afectadas por los disturbios domésticos. Los precios al consumidor están determinados principalmente por los choques de tecnología y en las primas de riesgo. Los choques que producen los efectos más impactantes tienden a ser las perturbaciones monetarias, que se pueden atribuir a una política monetaria impredecible y poco definida. Estos choques generan impactos relativamente significativos en las importaciones reales, lo cual —debido a las discretas reacciones en las exportaciones reales— genera a su vez un efecto en la balanza comercial, junto con cambios más modestos en los precios al consumidor y en la producción real.
Palabras clave: ciclos de negocio, comercio internacional, mercados emergentes, choques estructurales.
Este artigo explora o papel dos fatores domésticos e externos ao explicar os ciclos de negócios e os desenvolvimentos em comércio internacional em quinze economias de mercado emergente. Os resultados obtidos mediante var com restrições de signo demonstram que os desenvolvidos na produção real, a inflação e as variáveis de comércio internacional estão determinados pelos choques domésticos. Os choques externos, em geral, são responsáveis de 10% ou menos da variação nas variáveis endógenas consideradas aqui. Em quanto às respostas de impulso, os preços ao consumidor e as importações reais são, em termos gerais, as variáveis endógenas mais afetadas pelos distúrbios domésticos. Os preços ao consumidor estão determinados principalmente pela tecnologia e os choques nas bonificações de risco. Os choques que produzem os efeitos mais impactantes tendem a ser as perturbações monetárias, que podem se atribuir a uma política monetária imprevisível e pouco definida. Estes choques gerais têm impactos relativamente significativos nas importações reais, o qual —devido às discretas reações nas exportações reais— gera a sua vez um efeito na balança comercial, junto com câmbios mais modestos nos preços ao consumidor e na produção real.
Classificação JEL: C32, E32, F41.
Palavras chave: ciclos de negócio, comércio internacional, mercados emergentes, choques estruturais.
I. INTRODUCTION
Emerging Market Economies (EMEs) have experienced rapid growth in economic activity and international trade over the last fifteen years, having normally outperformed the rest of the world in these two areas. Among emerging Asian countries, this has been largely the result of an outward-oriented strategy sustained on a very strong expansion of trade within and outside the region. The fast pace of economic growth exhibited by the region since the 1980s came suddenly to a halt when the Asian financial crisis of 1997-1998 occurred. At that time, the strong intraregional trade linkages transmitted negative shocks experienced in one country throughout the area. However, the economic slowdown in emerging Asia proved temporary, and the expansion eventually resumed strongly. Latin-American economies emerged from the lost decade of the 1980s, benefiting from the implementation of sounder macroeconomic policies and structural reforms. The impact of financial crises in Mexico (1994), Brazil (1999) and Argentina (2002), coupled with some contagion from the Russian and Asian crises, neither proved long-lasting nor seem to have prevented the region from posting a very robust output and export performance. Along the way, there has been an increase in Latin-American countries´ integration with the rest of the world, partly as a result of both multilateral trade liberalization measures and regional integration initiatives (such as NAFTA and Mercosur). New EU member states (NMS) have, over the same period, experienced a considerable transformation of their economies; going through the transition from socialist regimes to market economies increasingly integrated them with the world economy. A defining feature of this process has been the accession process towards participation in the EU. In order to join the EU in 2004, ten NMSs were asked to comply —among other things— with a functioning market economy and the capacity to cope with competitive pressures. These countries have succeeded in maintaining rapid economic growth during the accession process and beyond, opening up to the rest of the world in the areas of both international trade and foreign direct investment. Against this background, the present paper investigates what are the determinants of EME´s business cycles and international trade. This is an important matter regarding conjunctural analysis, with two key questions: First, how much of the strong growth momentum currently evidenced by EA countries is driven by external factors, as opposed to the autonomous strength of domestic developments. Second, how is the impact of domestic factors split among the main exogenous sources of fluctuations arising from within each economy. Answering the previous two questions is crucial for assessing (1) the sustainability of the expansion of EMEs in the case of a marked slowdown of the global economy; and (2) the extent to which domestic demand and monetary policy could help buffer regional exports from global developments. In any case, it is worth stressing that EMEs´ autonomous national impetus is likely to be limited by several factors. The latter include, for instance, the still relatively small size of these economies compared to the world economy, and the different levels of dependence on global demand for some products throughout the region , e.g., US demand for IT goods from emerging Asia, global demand for primary and industrial commodities from Latin America, and EU demand for NMS´ manufacturing products1.
The related empirical literature for EMEs tends to focus much more on the analysis of business cycles than it does on that of international trade. One of the few exceptions is Hoffmaister and Roldós (1997), who include the trade balance alongside other more common domestic endogenous variables such as real output and consumer prices. The authors report that, overall, a single domestic shock (namely, the supply shock) dominates the macroeconomic behavior of both Asia and Latin America, with the latter also being the more affected region by the external shocks. Moreover, they find that the trade balance is driven by domestic factors —especially demand (fiscal) shocks—, even if that domestic endogenous variable is the most affected by foreign variables such as terms of trade disturbances2. Among EME country studies that do not tackle international trade, Genberg (2003) uses a semi-structural vector autoregressive model (VAR) to analyze macroeconomic behavior in Hong Kong. He finds that external factors account for around half of macroeconomic fluctuations in the short run and become dominant in the medium to long run. In addition, Moon and Jian (1995), in their cointegrated VAR study of South Korea, analyze the behavior of a series of domestic macroeconomic variables controlling for external variables such as foreign interest rates, prices and output. Both domestic and external factors are found to impact the Korean economy, with the authors stressing that world interest rates play a significantly larger role than domestic rates.
The analysis pursued here also relates to studies that separate out the influence of domestic and external factors on a country´s economy. Taking the existing literature as a whole, findings about the role of domestic and external variables in driving macroeconomic developments in EMEs tend to vary. Many studies have found evidence that external factors are of considerable, or even dominant, importance. For instance, Genberg (2003) finds that they are responsible for over 75% of business cycles in Hong Kong, and Canova (2005) estimates the corresponding average share for Latin-American countries at almost 90%, with 50% being US-driven. Canova´s study attributes most of the foreign impact to a financial transmission channel, with a large contribution of US monetary shocks, while US demand and supply shocks do not appear to have a significant impact. Even for larger open economies results have tended to attach a large share to external factors, as is the case in Cushman and Zha´s (1997) study on Canada, for which the US is estimated to contribute with over 70% of business cycle dynamics. Results for small industrial economies tend to be consistent with that for Canada (see Dungey and Pagan —2000— for Australia, and Buckle et al. —2003— for New Zealand). Using sign-restricted VAR models for individual countries, Rüffer et al. (2007) investigate the role of domestic as well as intra and extraregional factors in explaining developments in various macroeconomic variables in emerging East Asian countries. The authors find that external developments tend to play a large role in driving domestic macroeconomic fluctuations. In contrast to the above-mentioned literature, Hoffmaister and Roldós (1997) find that external factors account for a limited fraction of macroeconomic fluctuations in Asia and Latin America (20% and 30% at the very maximum, respectively)3. Similarly, Kose et al.´s (2003) dynamic factor analysis indicates that macroeconomic fluctuations in both Asia and Latin America are largely explained by domestic factors, while extraregional and especially intraregional developments play a considerably more modest role4.
The literature review given here would not be complete without mentioning the seminal paper by Calvo et al. (1992). Strictly speaking, this study does not belong in a discussion of business cycles as it aimed at uncovering the effect of external factors on Latin-American capital flows (finding that the former explained about half of the latter). However, the influence that Calvo et al. (1992) has had on the discussion of EME business cycles justifies its inclusion here. A follow-up paper by Izquierdo et al. (2008) deals with the role of external factors in determining real GDP growth for an overall measure of the Latin-American economy. This study points to a considerable role of exogenous foreign factors; an interpretation that would be more convincing if the study allowed for a domestic transmission block and were conducted country by country (which would provide a much better justification for US variables´ exogeneity assumption).
This paper extends the existing literature by identifying the role played by domestic factors in EMEs´ business cycles and international trade (both exports and imports), as opposed to impulses originating abroad. VAR models are estimated for fifteen EME countries and theoretical sign restrictions used to identify supply, real demand, monetary, and risk premium shocks5. The identification restrictions used are consistent with a large number of macroeconomic models. The approach employed here draws from previous work using sign identification restrictions by Faust (1998), Canova and De Nicoló (2002), and Uhlig (2005) for advanced economies6. In particular, sign restrictions are allowed to hold for cross products of impulse responses. Variance decomposition analysis is used to decompose macroeconomic developments in each EME between different types of domestic shocks, on the one hand, and a set of global disturbances, on the other.
The remainder of the paper is organized as follows; Section 2 presents the econometric methodology used, examining the VAR setup and the identification restrictions employed in the empirical part. Section 3 briefly describes the data, then turning to the discussion of the paper´s empirical results; these include the reaction of business cycles and international trade to a number of macroeconomic shocks as well as variance decomposition analysis. Finally, section 4 contains some concluding remarks.
II. ECONOMETRIC METHODOLOGY
This section comprises two parts. The first one describes the type of sign restrictions used in the econometric work undertaken here. The second part outlines the vector autoregressive model and describes the way variance decompositions are computed. Appendix A describes in more detail the approach to identification, examining the algorithm used to achieve decompositions of the relationship between reduced form and structural form errors.
A. SIGN RESTRICTIONS
I model each EME using four macroeconomic variables: real output (Y ),, consumer prices (P), real exports ( Yx) and real imports (Ym). This choice allows me to characterize business cycle and international trade characteristics of the economy by means of a relatively small set of variables. The dynamics of the economy is determined by reactions to global disturbances and four domestic shocks, namely, shocks to technology, household preferences, monetary policy, and the risk premium.
I postulate sign restrictions for cross products of responses in endogenous variables to candidate identified shocks. In so doing, I build on previous work by Faust (1998), Canova and De Nicoló (2002), and Uhlig (2005) for developed countries. The present use of sign restrictions pins down expected reactions on all domestic variables to all postulated domestic disturbances. In particular, no variable is allowed to move freely on impact in either direction following any of the changes in the four specified shocks (with the exception of the response of real output to a risk premium shock). Moreover, I attempt to leave no single disturbance unidentified. The success of the strategy pursued here would consist of finding meaningful estimated reactions of endogenous variables to shocks, and doing so by using identification schemes that impose only a minimal set of plausible economic assumptions on the way the economy behaves.
The sign restrictions assumed here to hold on impact (that is, at the end of the third quarter) are determinate in all cases but in the reaction of real output to risk premium disturbances:
The shocks included in the Table above are domestic or country-specific. A technology shock drives on impact real output and the trade variables upwards, while it pushes inflation down. A preference disturbance yields on impact a rise in inflation, real output and real imports, as well as a decrease in real exports resulting from a real exchange rate appreciation. A monetary shock initially induces all four variables to fall. The risk premium shock generates on impact an increase in inflation and real exports, a fall in real imports and an indeterminate impact on real output. In addition to these domestic disturbances, different types of shocks hit the rest of the world and therefore indirectly affect the domestic economy. These shocks, which I label as "foreign" shocks, will however not be differentiated by type (technology, preference, etc.) but instead bundled together in one single grouping.
The risk premium shock deserves special discussion. The ambiguous sign for the real output response mirrors the debate in the literature concerning the expansionary or contractionary effect of a depreciation. The empirical literature for EMEs suggests that a weakening in the exchange rate —as arising, for instance, from a rise in risk premia— tends to be contractionary, even after including a number of different controls7. In the present setup, this "contractionary depreciation" result (as induced by the higher debt burden given by the domestic economy´s initial net borrower position) is not to be taken for granted. Indeed, the depreciation induced by the shock also yields an increase in real exports that may more than offset the adverse forces set in motion. This favorable effect appears to be strong enough for the calibration used by Céspedes et al. (2003 and 2004), despite the considerable attention these authors pay to the balance sheet effects arising from liability dollarization. In my empirical investigation, I will leave the sign of the real output response to the risk premium shock unrestricted, thereby allowing the data to determine the relevant overall effect in place in each economy. To make this discussion more focused, let us refer to the literature that has recently assessed the adequacy of a float in South Korea. Using an estimated DSGE for Korea, Chung et al. (2007) report that an inflation-targeting rule with a floating exchange rate is superior to an exchange rate peg. Elekdag and Tchakarov (2007) show that, except for cases of relatively high external debt ratios (in particular above Korean standards), a flexible exchange rate regime dominates a peg. The key mechanism involved here is the presence of a financial accelerator coupled with liability dollarization, which appears to be a relevant feature of the Korean economy according to the estimates reported in Elekdag et al. (2006). While Korea has, in recent years, intervened heavily in the foreign exchange market, Sánchez (2010) finds that this has not precluded the value of the won from fluctuating, with no signs of heightened inflation and interest rate variability. Therefore, there is no clear evidence that such interventions have interfered with the Bank of Korea´s (BOK) pursuit of price stability. Moreover, Sánchez (2010) reports that the Korean monetary authority´s objective function does not appear to put any weight on the exchange rate. This result is however consistent with the notion that the BOK may use the realizations of the exchange rate as a leading indicator for relevant macroeconomic developments.
The contemporaneous sign restrictions used here are broadly in line with other findings in the literature. For example, Ambler et al. (2003) obtain comparable signs on impact for impulse responses of all six variables considered here to a wide variety of disturbances, including technology and monetary shocks8. McCallum and Nelson (2000) study the impact of monetary and risk premium shocks, obtaining exactly the same sign for contemporaneous responses of all four baseline variables analyzed here. Specifically, McCallum and Nelson (1999) report responses of variables including real output and inflation to monetary and risk premium shocks. In only one out of the four results involved, the contemporaneous response is not strictly the same as the one reported here, namely, the response of inflation to risk premium shocks.
McCallum and Nelson (1999) report a contemporaneous lack of response of inflation to a risk premium shock, in light of their assumption that prices are fully predetermined. In practice, however, this difference plays no role in the empirical work conducted here given that the probability that responses are exactly zero is negligible9. Finally, Galí and Monacelli (2005) examine —under four diffe-rent setups— the impact of a technology shock on several macroeconomic variables, including the ones studied here. The results are entirely consistent with mine in most scenarios studied by the authors, with the exception of consumer prices. While the authors find that a favorable productivity shock fails to raise domestic prices in all cases, there is only one case (namely, that of a pegged exchange rate) where consumer prices fall on impact. As criticized by McCallum and Nelson (2000), this arises from Galí and Monacelli´s (2005) modeling choices. Except for the peg, the technology shock induces an exchange rate depreciation, which in turn leads to a dominant increase in the import component of consumer prices. Such an implicit high degree of pass-through would fail to prevail under a more realistic composition of imports (featuring a significant share of goods other than consumer goods) 10. I thus decide to also include a negative response of consumer prices to the technology shock among my sign restrictions, which is also in line with other related studies. Finally, it is worth stressing that the effects of an interest rate changes will depend on the net foreign position of the economy. In the working paper version of this article (Sánchez, 2007b), we set up a standard open-economy DSGE model with an external financial friction, whereby the country´s premia depend on the ratio of foreign indebtedness, to which we add the risk premium shock. The signs reported here for the latter disturbance are consistent with those obtained in such a model, drawing on a range of plausible parameter values for calibration purposes.
In addition to the previous theoretical results, which are consistent with an aggregate New Keynesian approach, it is worth mentioning two approaches that may produce different results under some conditions. First, a small open-economy model with two sectors (tradables and nontradables) might help better understand the adjustment to disturbances needed, especially when it comes to terms of trade, real exchange rates and international trade. However, calibrations need to be chosen carefully in order not to lose track of real-world, short-run comovements, as discussed in the previous paragraph concerning exchange rate pass-through. Second, one area not reflected in our sign restrictions concerns the so-called sudden stop phenomenon, first analyzed by Calvo (1998). According to this author, there exist multiple equilibria and a crisis can develop rather quickly and validate itself as it unfolds, triggering a fall in productivity and possibly a wave of bankruptcies. Factors contributing to the "sudden stop" in capital inflows include some structural features of the economy, such as the share of consumption in total spending and the short maturity of foreign debt. Despite the empirical and theoretical relevance of this approach, the literature has thus far only sketched a model of this type, with future developments having the potential to lead to a reexamination of our sign restrictions. In this context, one promising route may be the two-sector model by Mendoza (2002), who recasts the sudden stop phenomenon in a single-equilibrium context. Mendoza´s (2002) model has various domestic and foreign factors which determine that borrowing constraints bind in occasional "bad times" for the economy.
Overall, the success of the econometric strategy pursued in the present paper would consist of finding meaningful estimated reactions of endogenous variables to shocks, and doing so by using identification schemes that impose only a minimal set of plausible economic assumptions on the way the economy behaves. The small open economies studied here are not assumed to be driven purely by domestic disturbances, being instead also influenced by external factors. The shocks included in the Table above should thus be considered to be domestic or country-specific. Different types of shocks hit the rest of the world and indirectly affect the domestic economy. These shocks, which I label as "foreign" shocks, will not be differentiated by type (technology, preference, etc.) but are instead bundled together in one single grouping.
B. VECTOR ANTOREGRESSIVE MODEL SETUP
The empirical estimation strategy proceeds in three steps. First, I set up a vector autoregressive (VAR) model on quarterly series for fifteen individual EME countries. In addition to a set of domestic macroeconomic variables used as endogenous variables, I control for the impact of exogenous variables characterizing global developments. Second, I use sign restrictions derived from a theoretical model in order to identify structural shocks. More concretely, I identify technology, preference, monetary, and risk premium shocks. To do so, I impose sign restrictions on the cross products of impulse responses, rather than on the pairwise cross-correlation functions as in Canova and De Nicoló (2002). Third, I use the identified structural errors for two purposes: (1) impulse responses of endogenous variables to a number of different shocks; and (2) variance decomposition analysis, with a focus on computing the contribution of each domestic shock as well as external factors to macroeconomic fluctuations. The entire set of results is reported in section 5.
The first step for estimating the model consists in setting up a VAR model for each of the EMEs in my sample. A set of domestic macroeconomic variables is used as endogenous variables, while I also control for the impact of exogenous variables characterizing global developments. The latter are assumed to follow first-order autoregressive processes that are entirely independent from the workings of each and every EME. The error term from these processes is denoted by xt . The reduced form model can be written as follows:
where yt is a n x 1 vector of domestic variables, xt is a k x 1 vector of exogenous global shocks, εt is a vector of white noise errors, and A(L) and G(L) are polynomials of orders p and q, respectively. In my setup, n = 4. Model 1 can be estimated by OLS equation by equation.
The VAR model in (1) can be rewritten in the Wold form:
yt = H(L)xt + B(L)εt
where H(L) = A(l)−1G(L) and B(L) = A(L)−1. I am interested in recovering the structural form of the system in order to express endogenous variables in terms of exogenous variables and economically interpretable disturbances. The latter can be represented by a vector wt of structural shocks that satisfies:
This implies that CC′ = ∑. The Wold representation for the structural form allowing for exogenous variables becomes:
yt = H(L)xt + B(L)Cwt (3)
This paper employs impulse responses for identification purposes. The orthogonalized impulse response of the i-th variable to one unit deviation of the j-th shock after s periods can be expressed as:

where
can be obtained from B(L), and cj is the j-th column of C.
I use variance decomposition to separate the part of the mean square error (MSE) of forecasts of each endogenous variable due to domestic shocks to the VAR from that determined by the set of exogenous external variables. I can make use of an adding-up property since identified shocks are orthogonal to each other and also orthogonal to exogenous variables. From (3), the contribution of the j-th structural domestic shock wj to the MSE of the s-period-ahead forecast of yit is11:
Dij = Biscjcj(Bis)′
where Bis is the i-th row of Bs.
The corresponding expression that obtains for the whole set of exogenous variables (each one indexed by l) is:

where His is the i-th row of Hs , and Hs
can be obtained from H(L).
III. EMPIRICAL RESULTS
Before presenting the empirical results of this paper, let us briefly discuss the data used. The database consists of monthly series for fifteen EME countries over the period 1990:1-2005:5. Appendix B provides the reader with a description of the data sources. The emerging Asian countries under study are China, Hong Kong, South Korea (henceforth Korea), Malaysia, Singapore, Taiwan and Thailand. Latin-American EME countries are Argentina, Brazil, Chile and Mexico. The remaining four economies are the three largest NMSs (namely, the Czech Republic, Hungary and Poland), and Turkey. Due to data availability constraints, two countries (China and the Czech Republic) have slightly shorter sample periods (see Appendix C). In the case of China, moreover, some of the data (for industrial production and CPI) is provided on a year-on-year rates of change basis, which implies that the VAR model used is expressed on this same basis.
I use the following endogenous variables for each EME country: industrial production as a measure of economic activity, CPI as a measure of domestic prices, and two international trade variables: real exports and real imports (defined, for crosscountry comparability, as their respective value in US dollars deflated by US CPI). The exogenous variables used here to capture global effects outside the EME regions include indicators of world economic activity, consumer prices, and interest rates, as well as crude oil prices and an index for non-oil commodity prices. For global economic activity and interest rates, I construct G7 industrial production and CPI indices as well as a measure of G7 short-term interest rate levels (see Appendix B). I follow Canova and De Nicoló (2002) in (1) linearly detrending and seasonally adjusting all series using a simple linear regression on seasonal dummies; and (2) checking by visual inspection whether the transformed data shows signs of non-stationarity. The results from item (2) indicate that there is no compelling evidence of stochastic nonstationarity in the series employed12. I do not model long-run relationships explicitly, even if they should be present in the data. I follow instead the now common practice of estimating the model in its level specification, while allowing —as mentioned earlier— for a sufficiently large number of lags. This can be justified on the ground that the alternative approaches of transforming the model to stationary form by differen-cing or imposing long-run relationships may be unnecessary or even inappropriate (see, e.g., Sims et al., 1990).
For all specifications considered, the analysis starts by estimating the reduced form of the VAR model in (3) for each EME economy. I then identify structural shocks using the approach outlined in section 3. In order to assess the relative importance of external and domestic shocks for the evolution of the various variables, I assess the reaction of business cycles and international trade to a number of domestic macroeconomic shocks. In addition, I gain some insights by performing a variance decomposition analysis.
Joint selection of the lags of endogenous variables and exogenous disturbances ( p and q,, respectively), together with the set of dummies (if any) entering the VAR model, is based on Akaike information criteria13. I constrain the largest values of p and q, to be equal to 24. The lag selection tests normally suggest optimal values of p no larger than 12 and of q, equal to 0. That is, I use lags of the endogenous variables not going beyond one year back in time, while only the contemporaneous level of the exogenous shocks enters the model significantly. For each emerging Asian economy, I try consecutive monthly impulse dummies from 1997:7 through 1998:12. I limit the number of dummies to a maximum of 2, choosing the ones (if any) that are most significant. In practice, allowing for extra dummies does not appear to yield a substantial gain in the goodness of fit. In the cases of Argentina and Brazil, estimation starts in 1990:4 to avoid the first quarter of that year, in which both countries experienced extreme nominal volatility, with inflation rates above all other realizations among the samples used here14.
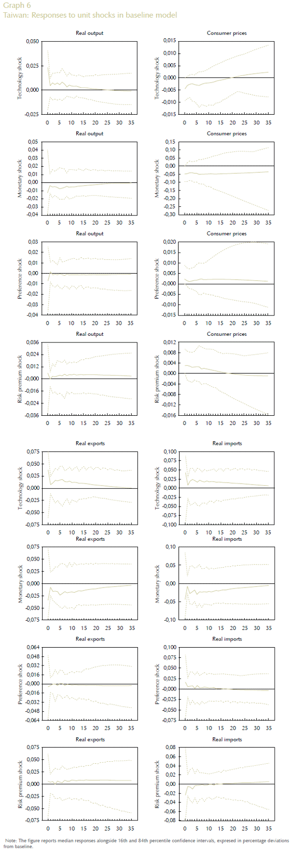
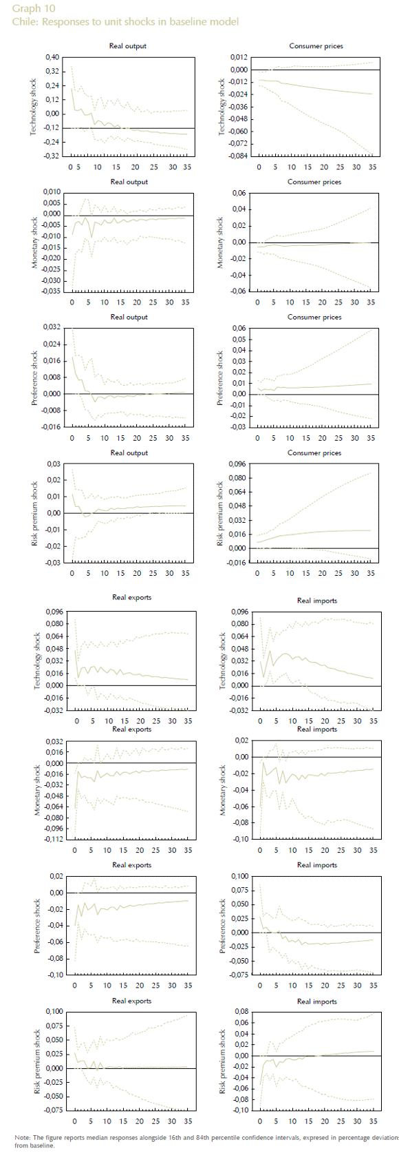
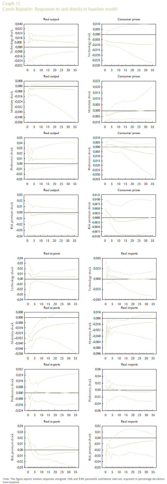
In reporting results, Table 1 through table 4 show the mean and (if different) the median of all impulse responses and variance decompositions obtained. Comparison between these two statistics allows us to get a sense of the asymmetry around the mean of the respective distributions. For more detail, Graph 1 through 15 present median impulse responses, as well as the 16th and 84th percentile confidence intervals, for the baseline model and the specification including the exchange rate, respectively.
A. IMPULSE RESPONSES
Table 1 through 4 present the results obtained for impulse responses of each endogenous variable of interest to all four disturbances using the baseline model. In these tables, impulse responses are reported for the first quarter, the fourth quarter (i.e., the final quarter of the first year after a given shock) and the eighth quarter (i.e. the final quarter of the second year). Graph 1 through 15 report the corresponding median responses, as well as the 16th and 84th error bands for every month over a three-year horizon. In line with the theoretical results in section 2, identification focuses on sign restrictions for the first quarter15. The response of real output to a risk premium shock at the end of the first quarter is not a priori constrained to conform to any sign restriction, and neither are any responses beyond the first quarter. In addition to the means for each country, I report the medians, so as to convey an idea of the asymmetry of the distribution of fully identified impulse responses around the mean. The averages for regions and all emerging countries are also reported.
First of all, I find that full identification (i.e. identification of the four shocks) is achieved in all countries. The results also indicate that, although this is not assumed a priori, signs of impulse responses tend not to deviate over time from those imposed at around the end of the first quarter. Along the way, in many cases responses appear to die out by the end of the second year; however, responses to technology shocks are exceptional in that the reactions often remain stable or even increase within the two-year horizon.
Quantitatively, the reaction of endogenous variables to unit disturbances is normally found to be rather muted16. The stronger reactions are those of consumer prices (in line with this being the only nominal variable in the model) and —depending of the shock— real imports. With regard to the reaction of consumer prices, the shocks that induce the largest responses are the technology and risk premium shocks, which also happen to generate relatively protracted effects. At the country level, the response of consumer prices is particularly strong in two Latin-American economies (Argentina and Brazil), and less so in Poland. Responses of real imports are highest following technology and monetary shocks. Real imports also tend to react more strongly in Latin-American countries (and especially Argentina), China, and less so in Turkey. In any case, among the EMEs considered, real imports are on balance much more responsive to domestic shocks than real exports.
Responses of real output and real exports tend to be of a relatively smaller magnitude. The reaction of real output to the risk premium shock, which is left unrestricted on impact, appears to be positive in some emerging Asian countries (significantly so in Hong Kong and —over the second year— in Korea, and not significantly in China, Malaysia and Taiwan as well as in Korea over the first year). Risk premium disturbances instead reduce real output in Argentina (by a small but significant magnitude) and Poland (not significantly though). Concerning real exports, the largest effects tend to stem from monetary shocks, although the impact is still rather limited compared to the impact detected for real imports. Nevertheless, taking also into account the often muted influence of monetary shocks on inflation and real output as well as the larger impact of these shocks on real imports, one could conclude that unpredictable monetary policy , while possibly allowing for some stabilization in the former two variables, would likely imply more pronounced fluctuations in EME countries´ international trade (and in their trade balance in particular).
B. VARIANCE DECOMPOSITION RESULTS
Here I describe variance decomposition results for each country. These results, which appear in Tables 5 through 8, report the shares of the variability in endogenous variables in each country or region that are accounted for by each of the five sources of uncertainty, namely, the four domestic shocks and foreign disturbances.
The results show that EMEs are mostly driven by domestic shocks. In contrast, external disturbances, which capture unexpected developments in advanced economies as well as global commodity prices, represent no more than 10% of the variation in real output, consumer prices, real exports, and real imports for EME countries. It is worth stressing that, due to large cross-country diversity, no very clear patterns seem to emerge concerning the role of shocks in driving endogenous variables under study. Still, in the rest of the subsection I focus on cases where there is evidence of apparent deviations from the benchmark case in which each of the four domestic shocks considered account for a larger-than-fair share of the fraction of total variability that is not explained by foreign disturbances.
With regard to real output´s variance, each domestic shock accounts for a considerable share of this variable´s variance at the EME average level. Monetary shocks explain a larger-than-fair fraction of real output fluctuations as a result of the contributions from emerging Asia (mostly owing to Hong Kong, Malaysia and Thailand) and Latin America (due to Argentina and Brazil). It is also worth saying that technology disturbances make a relatively large contribution to NMSs´ real output variability (especially in the Czech Republic), whereas preference shocks stand out in the case of Turkey. In the case of consumer price variability, while each domestic shock explains a considerable share at the EME average level, technology shocks exceed by some margin the contribution of the remaining disturbances. This results especially from the role played by technology shocks in driving consumer prices in emerging Asia (due to Hong Kong, Malaysia and Thailand) and NMSs (owing to Czech Republic and Hungary). Concerning other patterns worthy of mention, preference shocks explain the largest share of Latin-American consumer price variability among all individual shocks (largely due to Brazil), while preference shocks play a small role in this regard in the case of Turkey.
For real exports, again, each domestic disturbance explains a considerable fraction of the EME average variability. Risk premium disturbances account for a relatively large share of real export movements owing to emerging Asia (mostly owing to Hong Kong, Malaysia and Taiwan) and NMSs (Czech Republic and Hungary). Technology shocks exhibit a rather large contribution to Latin-American real exports´ variance, while monetary disturbances occupy a comparable position in the Turkish case.
Regarding real import variability, each domestic shock plays a considerable role at the EME average level. The shares in real imports´ variance are rather similar across domestic disturbances in the case of emerging Asia. In Latin America, technology shocks also display the largest single contribution to real import fluctuations (owing to Brazil and Mexico), while a comparable role is played by risk premium shocks in NMSs (due to Czech Republic and Hungary) and by preference shocks in Turkey. It is worth comparing these variance decomposition results for real imports with those reported above for this variable´s impulse responses. Given the latter were found to be driven by monetary policy and technology disturbances, the more balanced picture concerning variance decompositions points to a relatively muted magnitude of shocks to monetary policy and —except for Latin America— technology.
In sum, a very robust result is that EMEs appear to be mostly dominated by domestic factors. In addition, despite large variation in results at the country and regional levels, some patterns can be detected concerning the variance decomposition results. Each domestic shock accounts for a considerable fraction of the business cycle and international trade fluctuations that are not explained by foreign shocks. Among domestic disturbances displaying larger-than-fair contributions to the variance of endogenous variables, monetary shocks stand out with regard to driving real output, while a similar role is played by technology and risk premium shocks vis-à-vis consumer prices and real exports, respectively.
It is worth saying that my results are not meant to contradict the conventional wisdom that external variables play a small role in explaining business cycles in EMEs. My findings simply draw the attention to the notion that a considerable part of economic developments overseas is expected, with their unanticipated component appearing to have a much less pronounced impact on EME domestic macroeconomic fluctuations. Although my findings rely on innovations to autoregressive models for external variables, and I have not produced alternative results in which the exogenous factors are given by external variables themselves, one indirect rough indication of how this modeling decision might affect the estimation outcome is available. For emerging East Asian countries, Rüffer et al. (2008) report that domestic macroeconomic developments are dominated by foreign factors, measuring them by the full variation in external variables. Unfortunately, the latter is not the only modeling and/or data decision that differentiates the two studies. For instance, although the two papers use a sign restriction approach, the types and number of domestic shocks being identified differ. Moreover, Rüffer et al.´s (2008) sample period tends to start earlier (1979), they choose a different set of endogenous variables and use quarterly data (versus monthly data here). Yet, the contrast between the two papers illustrates that one of the differences behind the results could be the way in which the external factors are computed, as this would affect their correlation with domestic macroeconomic fluctuations in the predicted direction.
IV. CONCLUDING REMARKS
The present paper investigates what are the sources of business cycles and international trade in emerging market economies. The analysis shows that business cycles and international trade tend to adopt different features in different countries, at different horizons, and in response to different shocks. At the same time, some patterns can be identified. Concerning impulse responses, consumer prices and —depending on the shock— real imports are overall the endogenous variables most affected by domestic disturbances. Consumer prices are mostly driven by technology and risk premium shocks. At the country level, Latin America (owing to Brazil and Argentina) and Poland show above average consumer price responses. The shocks inducing the largest effects tend to be monetary disturbances, which can be traced to unpredictable monetary policy. These shocks generate relatively large impacts on real imports which —owing to muted reactions in real exports— carry over to the trade balance, alongside more modest changes in consumer prices and real output.
With regard to some general patterns found for impulse response results, full identification (i.e. identification of all four shocks considered) is achieved in all countries. Signs of impulse responses tend not to deviate over time from those imposed on impact. Moreover, responses normally die out by the end of the second year. Quantitatively, impulse responses to unit shocks are often found to be rather limited.
Turning to variance decomposition analysis, one robust result is that emerging market countries appear to be relatively little affected by foreign shocks, which capture unexpected developments in advanced economies as well as global commodity prices. These external disturbances, on average, explain no more than 10% of the variation in real output, consumer prices, real exports, and real imports among emerging market economies. This result is broadly consistent with other studies pointing to a modest contribution of external determinants in emerging economies´ fluctuations (see, e.g., Hoffmaister and Roldós —1997—, and Kose et al. —2003—). It is worth stressing that our finding does not by itself imply that external forces have a small influence on emerging economies. As long as an important component of world economic developments is predictable, the estimates from this paper are still consistent with the conventional wisdom that small open economies are quite responsive to global factors (that is, including both expected developments and shocks) 17. Indeed, it is not the paper´s intention to challenge the standard view that external variables play a large role in explaining business cycles in emerging countries, but simply to draw the attention to the idea that a large fraction of foreign developments is anticipated and that the news content of the latter appears to have a much smaller effect on the small open economies under study.
Finally, other variance decomposition results worth highlighting are the following: First, real imports fail to display a cross-regional pattern, with a different shock playing the key role in each regional grouping. Second, technology shocks play a relatively large role in explaining consumer price developments, as driven by findings obtained for EU new member states and emerging Asia.
COMMENTS
1 US purchases of IT software and equipment are particularly important for countries such as South Korea, Taiwan, Singapore and Malaysia. Zebregs (2004) calculates that the electronics sector has accounted for around half of overall emerging Asia´s export growth in the period 1998-2001.
2 For advanced economies, the literature tackling both business cycles and international trade aspects includes Cushman and Zha (1997) for Canada, Dungey and Pagan (2000) for Australia, and Buckle et al. (2003 and 2007) for New Zealand.
3 One possible interpretation is that the authors´ use of long-run identification restrictions à la Blanchard and Quah (1989) could be biasing upwards the estimate of the share of (domestic) supply factors, as suggested by Faust and Leeper´s (1997) findings.
4 The same conclusion is reached by Sánchez (2009), who —unlike Hoffmaister and Roldós (1997), and the present paper— does not consider export activity. Using a sign-restricted VAR, this author instead looks at exchange rate developments, reporting a degree of pass-through from risk premium shocks to consumer prices in EMEs that is comparable to the pass-through coefficients obtained by Ca´Zorzi et al. (2007).
5 Our analysis incorporates four domestic macroeconomic variables and control for a set of external variables including measures of advanced economies´ economic activity, world interest rates and consumer prices, as well as oil and non-oil commodity prices.
6 Related approaches also include Canova and De Nicoló (2003), Peersman (2005), and Peersman and Straub (2009). Canova (2005) uses an approach similar to the one employed here to identify US structural shocks by means of sign-restricted VARs, then follows a Bayesian VAR approach to estimate the impact of these shocks on Latin-American economies.
7 See, e.g., Ahmed (2003) and the references cited therein, regarding the related empirical literature. Eichengreen (2005) and Sánchez (2007a and 2008) analyze how differently an economy displaying contractionary depreciations responds to financial and real shocks.
8 Ambler et al. (2003) also report responses to a government spending shock that are comparable to those associated with a preference disturbance here. Moreover, they find reactions to a foreign interest rate shock that are in line with the consequences of a risk premium disturbance in the present paper.
9 Moreover, the related theoretical literature and the evidence found for both advanced and emerging economies point to prices being contemporaneously influenced by factors such as forwardlookingness and marginal costs. See, e.g., the evidence for advanced economies in Ireland (2005), Rabanal and Rubio-Ramírez (2005 and 2008), and Smets and Wouters (2005). Regarding EMEs, see Agénor and Bayraktar (2003), and Genberg and Pauwels (2005).
10 When it comes to defining tradables in the consumption basket, it is also worth recalling that considerable domestic costs are involved in distribution activities such as transportation and retailing (see, e.g., Burnstein et al., 2005 and 2007).
11 The fraction of the MSE of the forecast of any endogenous variable due to the entire set of external variables, and therefore the remaining fraction explained by the entire set of shocks, are independent of the chosen decomposition C. Instead, the properties of C are crucial for decomposing the MSE among each individual domestic shock.
12 The usefulness of more formal tests for non-stationarity is constrained by the relatively short number of years in the present samples.
13 In practice, the decisions reached are unchanged if the Schwartz information criterion is used instead.
14 Tables 1 and 3 report the main aspects of all reduced-VAR specifications used for the baseline approach and the model including the exchange rate, respectively. Table A3.1 describes the sample periods used for all countries.
15 For more details on the identification approach used here, see Appendix 1.
16 The combination of muted responses and limited accuracy typical for EME estimates implies that statistical significance is mostly found only in the very short run. Despite the rapid increase in uncertainty found in some cases (especially for consumer prices in a number of occasions), we have checked that this does not appear to stem from explosive simulations for a subset of identifications, with uncertainty instead tending to stabilize not long after the end of the reported horizons. We thus judged that there was no need to discard the paths that were seen as contributing to making confidence bands widen.
17 Our finding should however be regarded as standing in contrast to those studies in the literature that conclude that unpredictable foreign developments play a dominant role in explaining domestic macroeconomic developments in small open economies.
18 In the case of China, it was necessary to adjust the variance-covariance matrix due to the use of data in annual growth terms.
19 Fry and Pagan (2007) discuss an alternative approach in this regard.
20 The search grid was applied for a number of 3 to 10 angles. In choosing the months over which sign restrictions on accumulated impulse responses hold, I started with month number 3 only (that is, the end of the first quarter). If too many rotations could be accepted, I then tried pairs of two months, starting with the pair (2,3) and then considering (3,4). The preference for three-month choices was (1-3), (2-4) and (3-5), in that order. Up to five-month periods were considered, in all cases excluding month number 6 as this would have implied making an assumption about the state of the economy at the end of the second quarter (which is not necessarily supported by the theoretical analysis of section 2).
21 Attempts at producing statistics with a number of draws substantially larger than 1,000 yielded broadly similar results to the ones reported here.
REFERENCES
1. Agénor, P-R.; Bayraktar, N. "Contracting Models of the Phillips Curve: Empirical Estimates for Middle-Income Countries", Policy Research Working Paper, no. 3139, The World Bank, 2003. [ Links ]
2. Aguirre, A.; Schmidt-Hebbel, K. "Monetary Policy in Transition from Partial to Fully-Fledged Inflation Targeting in Chile". In Batini, N. (Ed.), Monetary Policy in Emerging Markets and Other Developing Countries, Washington DC, International Monetary Fund, pp. 31-66, 2006. [ Links ]
3. Ahmed, S. "Sources of Economic Fluctuations in Latin America and Implications for the Choice of Exchange Rate Regimes", Journal of Development Economics, vol. 72, no. 1, Amsterdam/ New York, Elsevier, pp. 181-202, 2003. [ Links ]
4. Ambler, S.; Dib, A.; Rebei, N. "Nominal Rigidities and Exchange Rate Pass-Through in a Structural Model of a Small Open Economy", Working Paper, no. 03-29, Bank of Canada, 2003. [ Links ]
5. Bergin, P. "Putting the ´New Open Economy Macroeconomics´ to a Test", Journal of International Economics, vol. 60, no. 1, Amsterdam/ New York, Elsevier, pp. 3-34, 2003. [ Links ]
6. Blanchard, O.; Quah, D. "The Dynamic Effect of Aggregate Demand and Supply Disturbances", American Economic Review, vol. 79, no. 4, Pittsburgh, American Economic Association, pp. 655-673, 1989. [ Links ]
7. Buckle, R.; Kim, K.; McLellan, N. "The Impact of Monetary Policy on New Zealand Business Cycles and Inflation Variability", Working Paper, no. 03/09, New Zealand Treasury, 2003. [ Links ]
8. Buckle, R.; Kim, K.; Kirkham, H. "A Structural VAR Business Cycle Model for a Volatile Small Open Economy", Economic Modelling, vol. 24, no. 6, Amsterdam/New York, Elsevier, pp. 990- 1017, 2007. [ Links ]
9. Burstein, A.; Eichenbaum, M; Rebelo, S. "Large Devaluations and the Real Exchange Rate´´, Journal of Political Economy, vol. 113, no. 4, Chicago, University of Chicago Press, pp. 742- 784, 2005. [ Links ]
10. Burstein, A.; Eichenbaum, M.; Rebelo, S. "Modeling Exchange-Rate Passthrough After Large Devaluations", Journal of Monetary Economics, vol. 54, no. 2, Amsterdam/New York, Elsevier, pp.346-368, 2007. [ Links ]
11. Ca´ Zorzi, M.; Hahn, E.; Sánchez, M. "Exchange Rate Pass-Through in Emerging Markets", Working Paper, no. 739, European Central Bank, 2007. [ Links ]
12. Calvo, G. "Capital Flows and Capital-Market Crises: The Simple Economics of Sudden Stops", Journal of Applied Economics, vol. 1, November issue, Buenos Aires, Universidad del CEMA, pp. 35-54 1998. [ Links ]
13. Calvo, G.; Leiderman, L.; Reinhart, C. "Capital Inflows and Real Exchange Rate Appreciation in Latin America: The Role of External Factors", IMF Staff Papers, vol. 40, no. 1, Washington DC, International Monetary Fund, pp. 108-151, 1993. [ Links ]
14. Canova, F. "The Transmission of US Shocks to Latin America", Journal of Applied Econometrics, vol. 20, no. 2, Malden MA, Wiley, pp. 229-251, 2005. [ Links ]
15. Canova, F.; De Nicoló, G. "Monetary Disturbances Matter for Business Cycles Fluctuations in the G-7", Journal of Monetary Economics, vol. 49, no. 6, Amsterdam/New York, Elsevier, pp.1131-1159, 2002. [ Links ]
16. Canova, F.; De Nicoló, G. "On the Sources of Business Cycles in the G-7", Journal of International Economics, vol. 59, no. 1, Amsterdam/ New York, Elsevier, pp. 77-100, 2003. [ Links ]
17. Céspedes, L.; Chang, R.; Velasco, A. "IS-LMBP in the Pampas", IMF Staff Papers, vol. 50, special issue, Washington DC, International Monetary Fund, pp. 143-156, 2003. [ Links ]
18. Céspedes, L.; Chang, R; and Velasco, A. "Balance Sheets and Exchange Rate Policy", American Economic Review, vol. 94, no. 4, Pittsburgh, American Economic Association, pp. 1183-1193, 2004. [ Links ]
19. Chung, J.; Jung, Y.; Yang, D. "Optimal Monetary Policy in a Small Open Economy: The Case of Korea", Journal of Asian Economics, vol. 18, no. 1, Amsterdam/New York, Elsevier, pp. 125- 143, 2007. [ Links ]
20. Cushman, D.; Zha, T. "Identifying Monetary Policy in a Small Open Economy Under Flexible Exchange Rates", Journal of Monetary Economics, vol. 39, no. 3, Amsterdam/New York, Elsevier, pp. 433-448, 1997. [ Links ]
21. Dungey, M.; Pagan, A. "A Structural VAR Model of the Australian Economy", The Economic Record, vol. 76, no. 275, St Ives, The Economic Society of Australia, pp. 321-342, 2000. [ Links ]
22. Eichengreen, B. "Can Emerging Markets Float? Should They Inflation Target?" In Driver, R., Sinclair, P. and Thoenissen, C. (Eds.), Exchange Rates, Capital Movements and Policy, London, Routledge, pp. 10-38, 2005. [ Links ]
23. Elekdag, S.; Justiniano, A.; Tchakarov, I. "An Estimated Small Open Economy Model of the Financial Accelerator", IMF Staff Papers, vol. 53, no. 2, Washington DC, Palgrave Macmillan Journals, pp. 219-241, 2006. [ Links ]
24. Elekdag, S.; Tchakarov, I. "Balance Sheets, Exchange Rate Policy, and Welfare", Journal of Economic Dynamics and Control, vol. 31, no. 12, Amsterdam/New York, Elsevier, pp. 3986- 4015, 2007. [ Links ]
25. Faust, J. "On the Robustness of the Identified VAR Conclusions About Money", Carnegie- Rochester Conference Series on Public Policy, vol. 49, no. 1, Amsterdam/New York, Elsevier, pp. 207-244, 1998. [ Links ]
26. Faust, J.; Leeper, E. "When Do Long-Run Identifying Restrictions Give Reliable Results?", Journal of Business and Economic Statistics, vol. 15, no. 3, Alexandria VA, American Statistical Association, pp. 345-353, 1997. [ Links ]
27. Fry R.; Pagan, A. "Some Issues in Using Sign Restrictions for Identifying Structural VARs", Working Paper, no. 14, National Centre for Econometric Research, 2007. [ Links ]
28. Galí, J.; Monacelli, T. "Monetary Policy and Exchange Rate Volatility in a Small Open Economy", Review of Economic Studies, vol. 72, no.3, Stockholm, Blackwell Publishing, pp. 707- 736, 2005. [ Links ]
29. Genberg, H. "Foreign versus Domestic Factors as Sources of Macroeconomic Fluctuations in Hong Kong", HEI Working Paper, no. 5-2003, Economics Section, The Graduate Institute of International Studies ,2003. [ Links ]
30. Genberg, H.; Pauwels, L. "An Open Economy New Keynesian Phillips Curve: Evidence from Hong Kong", Pacific Economic Review , vol. 10, no. 2, Hong Kong, Blackwell Publishing, pp. 261-278, 2005. [ Links ]
31. Hoffmaister, A.; Roldós, J. "Are Business Cycles Different in Asia and Latin America?", IMF Working Paper, no. 97/9, International Monetary Fund, 1997. [ Links ]
32. Ireland, P. "Technology Shocks in the New Keynesian Model", The Review of Economics and Statistics, vol. 86, no. 4, Cambridge MA, MIT Press, pp. 923-936, 2005. [ Links ]
33. Izquierdo, A.; Romero, R.; Talvi, E. "Booms and Busts in Latin America: The Role of External Factors", Working Paper, no. 631, Inter- American Development Bank ,2008. [ Links ]
34. Kollmann, R. "The Exchange Rate in a Dynamic Optimizing Current Account Model with Nominal Rigidities: A Quantitative Investigation", Journal of International Economics, vol. 55, no. 2, Amsterdam/New York, Elsevier, pp. 243-262, 2001. [ Links ]
35. Kose, M.; Otrok, C.; Whiteman, C. "International Business Cycles: World, Region, and Country-Specific Factors", American Economic Review, vol. 93, no. 4, Pittsburgh, American Economic Association, pp. 1216-1239. 2003. [ Links ]
36. McCallum, B.; Nelson, E. "Nominal Income Targeting in an Open Economy Optimizing Model", Journal of Monetary Economics, vol. 43, no. 3, Amsterdam/New York, Elsevier, pp. 553-578, 1999. [ Links ]
37. McCallum, B.; Nelson, E. "Monetary Policy for an Open Economy: An Alternative Framework with Optimizing Agents and Sticky Prices", Oxford Review of Economic Policy, vol. 16, no. 4, Oxford, Oxford University Press, pp. 74-91, 2000. [ Links ]
38. Mendoza, E. "Credit, Prices, and Crashes: Business Cycles with a Sudden Stop". In Edwards, S.; Frankel, J. (Eds.), Preventing Currency Crises in Emerging Markets, Chicago and London, NBER Conference Report Series, University of Chicago Press, pp. 335-392, 2002. [ Links ]
39. Moon, C-G.; Jain, P. "Macroeconomic Aspects of Korea´s Liberalization Policy: A Cointegrated VAR Study", Journal of Asian Economics, vol. 6, no. 4, Amsterdam/New York, Elsevier, pp. 469-492, 1995. [ Links ] 40. Peersman, G. "What Caused the Early Millennium Slowdown? Evidence Based on Vector Autoregressions", Journal of Applied Econometrics, vol. 20, no. 2, Malden MA, Wiley, pp. 185-207, 2005. [ Links ]
41. Peersman, G.; Straub, R. "Technology Shocks and Robust Sign Restrictions in a Euro Area SVAR", International Economic Review, vol. 50, no. 3, Department of Economics, University of Pennsylvania and Osaka University Institute of Social and Economic Research Association, pp. 727-750, 2009. [ Links ]
42. Press, A. Numerical Recipes: The Art of Scientific Computing, Cambridge University Press, Cambridge, 1997. [ Links ]
43. Rabanal, P.; Rubio-Ramírez, J. "Comparing New Keynesian Models of the Business Cycle: A Bayesian Approach", Journal of Monetary Economics, vol. 52, no. 6, Amsterdam/New York, Elsevier, pp. 1107-1118, 2005. [ Links ]
44. Rabanal, P.; Rubio-Ramírez, J. "Comparing New Keynesian Models in the Euro Area: A Bayesian Approach", Spanish Economic Review, vol. 10, no. 1, New York/Heidelberg, Springer, pp. 23-40, 2008. [ Links ]
45. Rotemberg, J. "Sticky Prices in the United States", Journal of Political Economy, vol. 90, no. 6, Chicago, University of Chicago Press, pp. 1187- 1211, 1982. [ Links ]
46. Rüffer, R.; Sánchez, M.; Shen, J.-G. "Emerging Asia´s Growth and Integration: How Autonomous are Business Cycles?", Working Paper, no. 715, European Central Bank, 2007. [ Links ]
47. Sánchez, M. "How Does Information Affect the Comovement Between Interest Rates and Exchange Rates?", Rivista Internazionale di Scienze Sociali, no. 4,pp. 547-562, 2007a. [ Links ]
48. Sánchez, M. "What Drives Business Cycles and International Trade in Emerging Market Economies?", Working Paper, no. 730, European Central Bank, 2007b. [ Links ]
49. Sánchez, M., "The Link Between Interest Rates and Exchange Rates: Do Contractionary Depreciations Make a Difference?", International Economic Journal, vol. 22, no. 1, London, Routledge, pp. 43-62, 2008. [ Links ]
50. Sánchez, M., "Business-Cycle and Exchange- Rate Fluctuations in Emerging Market Economies in Asia, Latin America and Central and Eastern Europe". In Gregoriou, G. (Ed.), Emerging Markets: Performance, Analysis and Innovation, London, Chapman & Hall-CRC/ Routledge Taylor and Francis, pp. 291-318, 2009. [ Links ]
51. Sánchez, M. "What Does South Korean Inflation Targeting Target?", Journal of Asian Economics (forthcoming), Amsterdam/New York, Elsevier, 2010. [ Links ]
52. Schmitt-Grohé, S.; Uribe, M. "Closing Small Open Economy Models", Journal of International Economics, vol. 61, no. 1, Amsterdam/New York, Elsevier, pp. 163-185, 2003. [ Links ]
53. Schmidt-Hebbel, K.; Tapia, M. "Inflation Targeting in Chile", The North American Journal of Economics and Finance, vol. 13, no.2, Amsterdam/ New York, Elsevier, pp. 125-146, 2002. [ Links ]
54. Sims, C.; Stock, J.; Watson, M. "Inference of Linear Time Series Models with Some Unit Roots", Econometrica, vol. 58, no, 1, Malden MA, Econometric Society, pp. 113-144, 1990. [ Links ]
55. Sims, C.; Zha, T. "Error Bands for Impulse Responses", Econometrica, vol. 67, no. 5, Malden MA, Econometric Society, pp. 1113- 1155, 1999. [ Links ]
56. Smets, F.; Wouters, R. "Comparing Shocks and Frictions in US and Euro Area Business Cycles: A Bayesian DSGE Approach", Journal of Applied Econometrics, vol. 20, no.2, Malden MA, Wiley, pp. 161-183, 2005. [ Links ]
57. Taylor, J. "Discretion Versus Policy Rules in Practice", Carnegie-Rochester Series on Public Policy, vol. 39, no. 1, Malden MA, Elsevier, pp. 195-214, 1993. [ Links ]
58. Uhlig, H. "What are the Effects of Monetary Policy on Output? Results from an Agnostic Identification Procedure", Journal of Monetary Economics, vol. 52, no. 2, Amsterdam/New York, Elsevier, pp. 381-419, 2005. [ Links ]
59. Zebregs, H. "Intraregional Trade in Emerging Asia", Policy Discussion Paper, no. 04/11, International Monetary Fund, 2004. [ Links ]
APPENDIX 1
IDENTIFICATION ALGORITHM AND STATISTICAL INFERENCE
One common way to identify model (3) is by choosing C to be lower triangular. The resulting decomposition is unique and is called Choleski decomposition. This imposes n(n - 1) /2 zero restrictions on C, such that yj has no contemporaneous impact on yi as long as j > i.. Other popular decompositions employ other types of shortrun restrictions on C, or a set of long-run restrictions on the system, or a combination of both. Existing dynamic macroeconomic theory provides a wealth of restrictions that can be used to identify shocks. Rarely, however, do these restrictions take the form of zero constraints either on the impact or the long-run multipliers. Theoretical models (including the DSGE model outlined in section 2) involve conditional restrictions on the sign of the responses of certain variables to shocks. This motivates the identification algorithm used in this paper, which combines Uhlig´s (2005) Bayesian approach for estimation and inference (for a related application, see Peersman, 2005) with Canova and De Nicoló´s (2002) use of discrete grid search over decompositions. I describe my approach in the rest of this Appendix.
I explore the space of all possible decompositions C of ∑ in (32). Let Cstart be a particular decomposition of ∑, then any other possible decomposition C verifies:
CC′ = ∑ = Cstart(Cstart)′
Let J be an orthogonal matrix such that C = CstartJ. This turns the exploration of all possible decompositions into an exploration of the space of orthogonal matrices (see Press, 1997). Let P be a matrix of eigenvectors of ∑ and D a diagonal matrix of eigenvalues. One can then write PDP′ =∑. Given that ∑ is real symmetric positive definite, there exist a unique P and a unique matrix D with positive entries along the principal diagonal. D defines a unique diagonalization of ∑ into an orthonormal base of eigenvectors. Thus, PD1/2D1/2P′ = PD1/2(D1/2)′P′ = PD1/2(PD1/2)′ = ∑ obtains, where decomposition Ceigen = PD1/2 yields uncorrelated shocks without imposing any zero restrictions. I take this decomposition as my starting decomposition, that is, Cstart = Ceigen.
The algorithm used here explores all matrices of the form CeigenJ,, where J = IIa,b Jab(θ),, with Jab(θ) being the six bivariate rotation matrices obtained by rotating the pair of rows and columns (a, b),, and θ =θ1, . . . ,θ6 being a set of angles that adopt values over the range (0 ,π ]...Given that —following Canova and De Nicoló (2002)— I will conduct a grid search over this range, one important aspect is the coarseness of the angle grid used as the latter may affect the number of identification matrices obtained.
More specifically, the procedure used here requires the prior estimation of a reducedform VAR model (for details of the concrete specifications used, see Tables A1.1 and A1.2). The structural analysis starts by producing decompositions by (1) drawing from the normal-Wishart posterior for the reduced-form VAR parameters (see Sims and Zha, 1999), and (2) conducting a grid search over the rotation matrices.
Jab(θ) described in the previous paragraph18. The use of a grid search, as opposed to randomly drawing from a uniform distribution (see Peersman, 2005), is justified below in terms of enhancing the economic interpretation of the procedure19.
The second step in my procedure consists of choosing among all candidate decompositions that are computed. Among these, I only keep decompositions whose associated impulse response functions satisfy the sign restrictions on the cross products. In all cases, I have managed to fully identify the VAR system, that is, decompositions can be found with economically interpretable technology, monetary, preference, and risk premium shocks. In this context, it is deemed useful to enhance the economic interpretability of the results. This is done by choosing the fineness of the angle search grid and the monthly periods over which the sign restrictions hold such that a given candidate rotation matrix is consistent with unique (full) identification20. Once this is achieved, the number of draws on the VAR parameters is increased until the total number of identification matrices satisfying the sign restrictions exceeds 1,00021. The concrete choices made can be found in Table A1.2. Finally, based on the relevant decomposition matrices, I calculate statistics of interest. I report mean and —when different— median values for impulse responses and variance decompositions in Tables 2 through 4. Median impulse responses, as well as the 16th and 84th percentile error bands, are shown in Graph 1 through 15.
APPENDIX 2
DATA SOURCES
Economic activity in emerging market countries is measured by using industrial production data, which is available for all of them and obtained from the International Monetary Fund´s International Financial Statistics (henceforth IFS) except for China, Hong Kong and Taiwan (national statistics). CPI is from the IFS except for China, Hong Kong and Taiwan (national statistics). Export and import data are from the IFS, with the exception of Poland (national statistics). Concerning global variables, world economic activity is measured in terms of G7 countries´ industrial production indicators (from the IFS), weighted according to an average over the entire sample of their quarterly national accounts (from the OECD database) expressed in US dollars. The same weights are used to: (1) construct a G7 CPI index from individual countries´ respective indices (data from the IFS); and (2) build a measure of G7 interest rate levels from short-term interest rates (from the IFS). Brent oil prices in US dollars are from the IFS. Non-oil commodity prices in US dollars are from the Hamburg Institute of International Economics (HWWA), and are computed using the OECD countries´ weights.
APPENDIX 3
SAMPLES USED FOR DIFFERENT COUNTRIES
Not all countries offer the same data availability over the period 1990:1-2005:5. More concretely, I work with a slightly shorter sample size for two countries, namely China and the Czech Republic (see Table A3.1).




































