Services on Demand
Journal
Article
Indicators
-
Cited by SciELO -
Access statistics
Related links
-
Cited by Google -
Similars in
SciELO -
Similars in Google
Share
Ensayos sobre POLÍTICA ECONÓMICA
Print version ISSN 0120-4483
Ens. polit. econ. vol.31 no.spe70 Bogotá Jan. 2013
ARTÍCULOS ORIGINALES
Incidencia de las economías de aglomeración en los sectores reales localizados en el área urbana de Bogotá
Incidence of the Agglomeration Economies in the Real Sector Located in the Urban Area of Bogotá
Johanna Gaitán Álvarez*
* La autora es economista y magíster en Ciencias Económicas de la Universidad Nacional de Colombia. Este documento se basó en la tesis de Maestría en Ciencias Económicas de la autora. Por ello, quiere agradecer a Gustavo Adolfo Junca, director de tesis, a Juan Tomás Sayago por sus valiosas asesorías y comentarios, así como las sugerencias y comentarios de los evaluadores anónimos y los editores. Todas las opiniones, errores u omisiones son de exclusiva responsabilidad de la autora. Correo electrónico: ljgaitana@unal.edu.co.
Documento recibido: 28 de junio de 2012; versión final aceptada: 4 de febrero de 2013.
Resumen
Con el propósito de identificar las aglomeraciones económicas y el impacto de estas en Bogotá, este documento presenta un análisis de patrones de localización y concentración geográfica de 19 sectores reales de la economía de la ciudad. La metodología utilizada se enfocó, en primer lugar, en identificar las aglomeraciones económicas, basados en la distancia de la localización entre las firmas a través de la función K de Ripley.
En contraste con estudios anteriores, la segunda parte de este análisis, proporciona un modelo econométrico que estima la incidencia de las economías de aglomeración en la productividad de las empresas de la capital colombiana. Los resultados permiten concluir que los sectores de la economía Capitalina muestran patrones de concentración específicos y se benefician de manera diversa de las economías de aglomeración.
Palabras clave: Aglomeración, concentración, productividad, función K de Ripley.
Clasificación JEL: R11, R12, R15.
Abstract
This paper analyzes location patterns and geographic concentration of 19 real sectors in the economy of Bogotá to identify economic agglomerations and the impact of these. The methodological approach focuses first on identifying the economic agglomerations based on distance between firms through Ripley's K function to determine the level of economic agglomeration.
In contrast to previous studies, the second part of this analysis, estimates an econometric model to measure the impact of agglomeration economies on the firm's productivity in the Colombian Capital. The results show that the sectors of the economy show specific concentration patterns and the benefits of the economies of agglomeration vary according to the sector analyzed.
Key words: Agglomeration, Concentration, Productivity, Ripleys K Function.
JEL classification: R11, R12, R15.
I. INTRODUCCIÓN
Uno de los grandes representantes de la nueva geografía económica, Paul Krugman, planteó que la forma como se aglomeran las personas en el espacio condiciona las modalidades del desarrollo (Krugman, 1991a,b). La vecindad, cercanía y menor distancia económica entre las personas y la actividad económica genera ventajas intrínsecas que favorecen la productividad y la competitividad. Es por ello que la presencia de aglomeraciones es relevante para la economía y el desarrollo urbano, puesto que si las concentraciones obedecen a las externalidades positivas generadas en un determinado lugar, las empresas tienen incentivos para agruparse en estos lugares.
Los primeros acercamientos a la literatura de la geografía económica y la nueva geografía económica siempre generan reflexiones sobre la forma como se abarcan los problemas económicos y, de hecho, fueron estas primeras aproximaciones las que motivaron algunos interrogantes como: ¿qué aglomeraciones económicas existen en Bogotá?, ¿qué aglomeraciones económicas provienen de economías de urbanización o de localización?, ¿existe alguna incidencia de las economías de aglomeración en la productividad? Si existiera una relación positiva entre las aglomeraciones y su productividad, ¿en qué medida influyen en las empresas?
Fue a partir de estas preguntas que surgió la idea de plantear una investigación sobre las economías de aglomeración y su impacto en una ciudad como Bogotá, puesto que los beneficios derivados de la concentración de la actividad económica son muy importantes en el desarrollo de las ciudades. Esto, principalmente, ya que estimulan la creación de nuevas empresas, la inversión extranjera directa derivada de la especialización económica y una demanda de empleo especializado que, entre otros factores, son elementos que permiten diagnosticar las potencialidades y oportunidades económicas de la capital. Esta información es necesaria y pertinente para que tanto el gobierno nacional como distrital, puedan evaluar políticas territoriales que logren incrementar la productividad y competitividad de la ciudad y confluyan hacia un desarrollo sostenible en términos económicos, urbanos y ambientales.
Es así como esta investigación se propone tratar dos temas específicos: 1) ¿qué tipo de patrones de localización existen en Bogotá? y 2) determinar la incidencia de las economías de aglomeración en la productividad de los sectores económicos localizados en Bogotá.
Para identificar los patrones de localización de las principales actividades económicas en la ciudad, se realizó el análisis a empresas que contaban con un total de activos o ingresos anuales iguales o superiores a veinte mil salarios mínimos legales mensuales (20.000 SMMVL); o aquellas empresas que disponían de activos o ingresos mensuales iguales o superiores a cinco mil salarios mínimos legales mensuales (5.000 SMMVL), pertenecientes a aquellos sectores económicos representativos de la economía bogotana durante el 2010.
Para estimar el grado de concentración espacial de los establecimientos se utilizó la función K de Ripley y, a diferencia del trabajo de Duranton y Overman (2005) realizado exclusivamente para la industria en Inglaterra, se calculó la aglomeración para otros sectores de la economía real: comercio, actividades inmobiliarias, intermediación bancaria y construcción.
La estimación de la función K de Ripley se realizó para 19 sectores código CIIU a cuatro dígitos. Los resultados de las estimaciones sugieren que los patrones de concentración de las actividades económicas son disímiles entre sí y se localizan en diferentes zonas de la ciudad. Entre las razones que explican este comportamiento está la norma urbana del uso del suelo, que limita el establecimiento de actividades económicas en áreas específicas de la ciudad.
Una vez determinado el nivel de aglomeración de cada sector, se planteó un modelo econométrico de productividad con el fin de determinar la incidencia de las economías de aglomeración en la productividad de los sectores económicos localizados en Bogotá. Los resultados de la estimación permiten establecer que, efectivamente, hay un impacto positivo en algunas actividades económicas.
El documento consta de seis secciones aparte de esta introducción. La segunda sección presenta la evolución y principales líneas de la teoría de la aglomeración. En la tercera sección, se presenta la metodología de investigación; es decir, una explicación de la estimación de la función K como medida de aglomeración. En la cuarta sección, se presentan los datos. En la quinta sección, los resultados de la estimación de la función K de Ripley para el caso de Bogotá. En la sexta sección la estimación del modelo de productividad por sectores. Por último, en la séptima sección, conclusiones, se presentan las reflexiones de la investigación y una agenda de investigación futura.
II. MARCO TEÓRICO
A. TEORÍA DE LA LOCALIZACIÓN
Los primeros desarrollos en la teoría de la localización datan del siglo XIX con los aportes de Von Thünen (1826), quien concluyó que el uso de las tierras con iguales características físicas está en función de los precios de los productos agrícolas, de los diferentes costos de producción y de la distancia entre el lugar de producción y el mercado. De este modo, el autor explicó cómo el uso de la tierra que rodeaba el centro del mercado estaba en función de la distancia que existía entre los sitios de producción y el mercado, así como diferentes tarifas en los costos de transporte originan diferentes rentas (von Thünen, 1826).
Posteriormente, los costos de transporte como variable explicativa son introducidos por Alfred Weber. En el modelo de Weber, las materias primas y el mercado están en diferentes lugares. Por este motivo, para el autor el principal problema es el lugar donde se debe ubicar la empresa para lograr los menores costos de producción y distribución, los cuales se convierten en una variable fundamental que explica la localización de las empresas (Weber, 1929). Así, la localización de las industrias estaría en función de la proximidad a las materias primas (minimizar los costos de transporte) y al mercado (costos de transporte del producto al lugar del mercado) (Córdova, 2002).
Es importante resaltar que Weber definió como variables explicativas de la localización de las industrias:
- Costos de transporte: se traduce en que la localización óptima está influenciada por el costo de transporte de las materias primas ubicuas o localizadas hacia la fábrica y los costos de transporte del producto final hacia su lugar de distribución.
- Minimización de los costos de producción: desde esta perspectiva también se deben tener en cuenta todos los factores de producción que contribuyan a que se minimicen los costos de producción, tal como la disponibilidad de mano de obra de las firmas e insumos para la producción.
Entretanto, los aportes de Christaller (1933) fueron respecto a la localización de las empresas en el mercado. Esta visión parte de dos conceptos: alcance físico del mercado y el umbral de la demanda. El alcance físico es la distancia que el consumidor está dispuesto a recorrer para comprar la mercancía; esto se traduce en costos de transporte que el consumidor está dispuesto a pagar para adquirir la mercancía. Así mismo, el umbral de demanda es el nivel mínimo de ventas al cual debe llegar el empresario para mantener su empresa en funcionamiento (García y Muñiz, 2009).
Christaller en su Teoría del Lugar Central argumentó que una empresa se localizará en aquel lugar donde los costos de transporte para el consumidor se minimicen y le garantice un umbral de demanda. Por ello, Christaller definió a los ''lugares centrales'' como núcleos de empresas establecidas en una misma zona que ofrecen bienes y servicios con algún nivel de especialización y que en conjunto satisfacen las demandas del área de influencia próxima, lo que genera la atracción de los consumidores. Ahora bien, dado que cada uno de estos lugares centrales presenta heterogeneidad en los bienes manufacturados, se generan sistemas urbanos de distintos tipos, tamaños y roles. Así, se ocasiona una especialización de las ciudades en función de un bien y con ello diferentes tipos de aglomeraciones económicas, así como tantos bienes, creando una interconexión y jerarquía de ''lugares centrales'' (Capello, 2007).
Un aporte fundamental para el estudio de economías de aglomeración es el concepto de economías externas que introdujo Alfred Marshall (1920). Este autor analizó la localización y concentración de la industria desde las sinergias, que surgen de la relación entre la estructura económica y la estructura social. Marshall definió las economías externas como las ventajas obtenidas por la concentración de varias empresas del mismo sector en un determinado lugar, fenómeno que denominó ''distritos industriales'' (Marshall, 1920).
En los distritos industriales las firmas minimizan costos de producción por su cercanía al mercado al tener mayor acceso a la mano de obra e insumos especializados para su producción. El concepto de economías externas identifica cuatro características que determinan la localización de la industria en el territorio:
- Bajos costos de producción: donde una alta oferta especializada local reduce los costos de transporte de los bienes e insumos, además de gozar de un mercado laboral especializado, que en conjunto reducen los costos de producción.
- Reducción en los costos de transacción: la proximidad geográfica facilita las negociaciones y aumenta las redes de información así como las redes de conocimiento y comportamiento sociales del lugar.
- El aumento de eficiencia de los factores de producción: las economías externas no solo tienen un efecto positivo en los costos, sino en la eficiencia de los factores.
- Incremento de la capacidad de innovación: otra ventaja de las economías externas, es la acumulación de conocimiento localizado, puesto que el conocimiento de la población que trabaja en el mismo sector y proceso productivo presentan mayor difusión local, lo que Marshall denomina atmósfera industrial. La conjunción de estos factores favorece de forma directa al crecimiento y consolidación de la industria si se encuentra en aglomeración.
Si bien las economías externas son un factor importante y determinante en el comportamiento de los clústeres, no son suficientes para explicar la fortaleza de las aglomeraciones en la economía, el crecimiento y el aumento en la competitividad (Capello, 2009). Existe otro elemento crítico de gran influencia para que se dé la aglomeración que es ''La acción colectiva o acción conjunta'', el cual se genera en dos vías:
- Cooperación horizontal (entre competidores).
- Cooperación vertical (entre el productor y el usuario de insumos o entre el productor y el vendedor de los productos).
B. LA NUEVA GEOGRAFÍA ECONÓMICA
Entretanto, Krugman (1991b) planteó que la interacción entre las economías de escala y la movilidad del trabajo (principios de economías externas de Marshall) es lo que genera los beneficios de las empresas, que se derivan de la oferta laboral local y la demanda especializada de insumos no transables.
El modelo básico de aglomeración de Krugman, recoge la tensión entre dos tipos de fuerza: las centrípetas, que empujan la actividad económica a integrarse en aglomeraciones y las centrífugas, que tienden a dispersar esas aglomeraciones o a limitar su tamaño (Capello, 2009).
Respecto a las fuerzas centrípetas, las aglomeraciones surgen de la interacción entre los rendimientos crecientes, los costos de transporte y la movilidad de los factores. Esto genera la fuerza de atracción, dado que genera reducción en los costos de producción (Krugman, 1991a). De modo similar, las aglomeraciones producen efectos de cooperación de información en las firmas y de nacimiento de economías externas en donde se difunde más fácil y de manera rápida la información (Information Spillovers).
En cuanto a las fuerzas centrípetas, no todos los factores son móviles y la presencia de factores inmóviles las genera. Este tipo de fuerza actúa en contra de la aglomeración, un ejemplo de ello son los aumentos del precio del suelo derivados de los incrementos en la demanda por el territorio, lo cual genera dese¬conomías de escala (Krugman, 1999).
C. ECONOMÍAS DE AGLOMERACIÓN
Las actividades económicas tienden a concentrarse espacialmente en lugares determinados; esto obedece a que existen beneficios o ventajas que incentivan las aglomeraciones. Las economías de aglomeración pueden dividirse según la fuente que las genere: economías de localización o economías de urbanización (Glaeser et al., 1992).
Las economías de localización son todos aquellos factores que impactan externamente a las empresas y provienen del sector económico en el que se desarrolla la actividad. Se derivan, principalmente, de la aglomeración de las empresas pertenecientes al mismo sector productivo.
Estos beneficios provienen de los procesos de especialización de un sector específico en una determinada zona, que da lugar al aumento de la eficiencia de determinado sector económico. Estas ventajas se pueden identificar en:
- Reducción de costos de transporte.
- Aparición de economías de escala.
- Reducción de costos de transacción.
- Formación de un mercado de trabajo especializado.
- Creación de una atmósfera industrial (Marshall) capaz de generar la innovación en estos campos y su rápida difusión.
Entretanto, las economías de urbanización son todos aquellos efectos externos que no provienen de la empresa o del sector al que pertenece la empresa, sino que provienen de las ventajas que se originan en el lugar, internas a la región o ciudad (Alaez et al., 2001). Estas ventajas se pueden identificar en:
- Economías de diversidad: son las que resultan de la capacidad de una región o ciudad de generar diferentes factores productivos y mercados de producción.
- Cualidades de las ciudades o regiones, es decir, la inversión en infraestructura y espacio público, entre otros.
- Acceso a un mercado laboral eficiente y capacitado, donde el conocimiento se transfiere rápidamente por la aglomeración de instituciones de formación superior, centros de investigación, centros de decisión pública, etc.
III. METODOLOGÍA DE INVESTIGACIÓN
Los amplios beneficios derivados de las economías de aglomeración han sido estudiados en repetidas ocasiones con el fin de determinar la procedencia de estos y el impacto de los mismos en las empresas, ciudades, regiones y naciones.
Es por ello que en este apartado se presenta una metodología que permite determinar dónde están las aglomeraciones y el nivel de concentración alcanzado. El interés en medir el fenómeno de la concentración de la actividad económica y sus efectos no es nuevo, se ha presentado en los trabajos de Ellison y Glaeser (1997), Devereux, Griffith y Simpson (2004), y Duranton y Overman (2005, 2008), en los cuales se ha desarrollado extensamente este enfoque.
Ahora bien, esta investigación sigue la metodología ajustada por Duranton y Overman (2005), en la cual se estima el grado de aglomeración de las actividades económicas introduciendo la función K como prueba de concentración de industrias. Esta función permite satisfacer los siguientes cinco requisitos:
- Comparabilidad entre los distintos sectores.
- El control de la distribución desigual de la fabricación en general.
- El control de la concentración industrial.
- No presentar sesgo de agregación.
- La significancia estadística.
Además, exhibe tres características importantes:
- Mide la intensidad de la aglomeración.
- La proximidad a la cual están concentrados.
- El tamaño de los establecimientos en función del número de empleados.
A. LA FUNCIÓN K DE RIPLEY
Para estudiar el tipo de patrones de localización y el tipo de interacción de los establecimientos económicos en el territorio, se realiza un análisis del proceso de puntos enfocado hacia la aglomeración. Por esta razón, se utilizó un proceso estocástico que evidencia los patrones de puntos aleatorios que comparten la misma concentración espacial. De este modo, esta revisión se enfoca en la utilización de la función K como medida de concentración estadística espacial, ya que es un método no paramétrico que testea la aleatoriedad espacial (Espa, Giuliani y Arbia, 2010).
La función K de Ripley es un método que resume la frecuencia espacial en un rango de distancias. Una de sus características particulares es que no se requiere la selección de una escala específica o apropiada de análisis, puesto que la función K ilustra cómo cambia la concentración espacial o la dispersión de los centros cuando cambia el tamaño de la vecindad (Ripley, 1976).
Del mismo modo, refleja la probabilidad de que cualquier par de puntos del evento ocurrido se encuentren en la vecindad de x y y (Ripley, 1977). Es así como mide la frecuencia de los eventos que se encuentran a una distancia determinada del patrón de puntos observado.
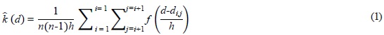
Donde con n establecimientos se calcula la distancia euclidiana entre cada par de establecimientos. Esto genera (n(n-1))/2 únicas distancias bilaterales a las cuales se les calcula la frecuencia para cada nivel de la distancia y la densidad correspondiente. Formalmente, la función K se calcula:

Se denota por di,j la distancia euclidiana entre los establecimientos i y j, dado n establecimientos (Duranton y Overman, 2005), h es el ancho de banda y f es la función Kernel1.
El test de la función K, se complementa con el análisis de los intervalos de confianza empleado en el método Monte Carlo. Se simula un número elevado de patrones de Poisson con la misma intensidad y en un área del mismo tamaño que el patrón observado (Duranton y Overman, 2008; Casanova et al., 2011). Los valores de cada una se ordenan y se presentan en forma de una envolvente para cada uno de los valores de d:
k=λ-1(-1) [No. medio de eventos en un radio d alrededor de cualquier individuo] (2)
Con lo cual se tienen dos opciones:
1. Concentración:
Cuando el K-observado es mayor al K-teórico para una distancia, la distribución es más agrupada que una distribución aleatoria. Ahora, cuando el K-observado está por encima de la envolvente en una distancia particular la concentración es estadísticamente significativa, tal como se observa en el Mapa 1 y Gráfico 1.
2. Dispersión:
Cuando el K-observado es menor al K-teórico para una distancia, la distribución es más dispersa que una distribución aleatoria. Entretanto, cuando el Kobservado es menor a la envolvente en una distancia particular la dispersión espacial es estadísticamente significativa. Por lo cual se puede afirmar que, los establecimientos del sector se ubican aleatoriamente y no presentan un patrón de localización espacial concentrado, tal como se observa en el Gráfico 2 y Mapa 2.
Para la estimación de la función K de Ripley se utiliza el programa R Project for Statistical Computing y se calcula la hipótesis de aleatoriedad espacial comprobada mediante 1000 simulaciones, por lo cual la inferencia estadística de la función K de Ripley fue realizada de mediante un ejercicio de Monte Carlo al nivel 0,99% de confianza.
IV. DATOS
Los datos provienen del Sistema de Información y Riesgo Empresarial –SIREM–, de la Superintendencia de Sociedades de Colombia para el año 2010. La recolección de la información la realizó la Superintendencia de Sociedades con los registros suministrados por las empresas que están sometidas a la inspección, vigilancia y control de esta entidad y que no estén vigiladas por la Superintendencia Bancaria.
El Decreto 3100 de 19972 de la República de Colombia reglamentó:
''Artículo 1°.- Quedarán sometidas a la vigilancia de la Superintendencia de Sociedades, las sociedades mercantiles que a 31 de diciembre de 1997, o al cierre de los ejercicios sociales posteriores, o en los estados financieros de períodos intermedios que les solicite la Superintendencia de Sociedades, registren:
- Un total de activos, igual o superior al equivalente a veinte mil (20.000) salarios mínimos legales mensuales;
- Ingresos totales iguales o superiores al valor de veinte mil (20.000) salarios mínimos legales mensuales;
- Un total de activos iguales o superiores al equivalente a cinco mil (5.000) salarios mínimos legales mensuales, siempre que una o más sociedades vigiladas por cualquier superintendencia o entidad que ejerza la inspección, vigilancia o control gubernamental posean en ellas, individual o conjuntamente, una participación del 20% o más de su capital social;
- Ingresos totales iguales o superiores al valor de cinco mil (5.000) salarios mínimos legales mensuales, siempre que una o más sociedades vigiladas por cualquier superintendencia o entidad que ejerza la inspección, vigilancia o control gubernamental posean en ellas, individual o conjuntamente, una participación del 20% o más de su capital social...''
Por ello, este estudio se restringe al análisis del sector real de la economía (Decreto 3100 de 1997).
La base de datos del SIREM cuenta con toda la información financiera de las empresas y la Clasificación Industrial Internacional Uniforme (CIIU) Rev. 3.1 A.C. Además, goza del principio de veracidad puesto que la información de cada sociedad es certificada por los administradores, revisores fiscales y contadores de cada una de las empresas conforme en lo consagrado en los artículos 37, 38 y 39 de la Ley 222 de 1995. Asimismo, las empresas catalogan su actividad según la Clasificación Industrial Internacional Uniforme (CIIU) Rev. 3.1 A.C.
Dado que la variable de identificación en la base del SIREM es el Número de Identificación Tributaria-NIT, se realizó la consulta de cada uno de los NIT en la página de la Superintendencia de Sociedades, con el fin de establecer la dirección de los establecimientos. De este modo, se logró acceder al total de las direcciones y una vez consolidada la base, se procedió a realizar el proceso de georreferenciación de las firmas localizadas en Bogotá.
Terminando el anterior proceso se obtuvo un universo de 13.032 establecimientos económicos localizados en Bogotá. En el Mapa 3 cada punto representa un establecimiento económico, la imagen presentada esta sobre la capa de Unidad de Planeamiento Zonal (UPZ), que corresponden a una división política administrativa de la ciudad, que es una segmentación de zonas con características económicas, sociales y urbanísticas homogéneas (ver Anexo 2).
Si bien en la metodología presentada por Duranton y Overman (2005) se seleccionan las observaciones según el nivel de empleo de cada establecimiento, con el fin que se puedan comparar los resultados entre los diferentes sectores. En el presente estudio no se realiza la misma selección de observaciones, puesto que la base de datos disponible acota el universo de empresas por el umbral de ingresos o activos al año, haciendo comparables los resultados de localización de las empresas.
Sin embargo, teniendo en cuenta que la información disponible existe para cerca de 10.000 sectores según la Clasificación Industrial Internacional Uniforme (CIIU) Rev. 3.1 A.C., se procedió a seleccionar los sectores económicos más representativos de la actividad económica de Bogotá. Para ello, se estimó el número de empresas que debería tener un sector económico para ser considerado estadísticamente significativo dentro de la economía bogotana a través de un muestreo simple.
La ecuación para obtener el tamaño de muestra proviene de la definición de error muestral para el muestreo aleatorio simple:

Si se despeja (n) obtendremos el tamaño muestral en función del margen de error (e) y la confiabilidad (1-α)

En donde,

y, N es igual al tamaño del universo.
Dado que el universo está totalmente caracterizado, se utilizó un nivel de prevalencia de 0,92, ya que con este valor se maximiza el tamaño de la muestra. Reemplazando en la ecuación (3) el tamaño del universo de las empresas (marco muestral), con un margen de error del 5% y un nivel de confianza del 95%, se determinó que el tamaño muestral sería de 133 empresas.
De este modo, todos aquellos sectores que tuvieran más de 133 establecimientos económicos eran representativos para la actividad económica bogotana. Así, solo 19 sectores económicos son representativos; es decir, son sectores que tienen una participación igual o superior al 1,3% en el total de establecimientos registrados en el SIREM para Bogotá en el 2010 (Cuadro 1). Por tanto, los sectores relacionados en el Cuadro 1 son los seleccionados para realizar las estimaciones de concentración y productividad.
V. DISTRIBUCIÓN Y LOCALIZACIÓN ECONÓMICA EN BOGOTÁ
A. UNA PRIMERA APROXIMACIÓN A BOGOTÁ
La ciudad de Bogotá es una región de 177 mil hectáreas, de las cuales 38 mil son urbanas. Los límites del área urbana están definidos por la estructura ecológica principal (al oriente por los cerros y al norte y occidente por el río Bogotá). Cuenta con una población de 7,5 millones de habitantes y es el núcleo de la Región Capital (Bogotá, Cajicá, Chía, Cota, Facatativá, Funza, Madrid, Mosquera, Soacha, Tabio, Tenjo, Tocancipá y Zipaquirá) que cuenta con una población en total de 8,7 millones de habitantes, según las proyecciones del DANE para el año 2012.
Bogotá es el centro económico de Colombia, produce el 25,8% del PIB nacional, cercano a 142 billones de pesos, y presenta una tasa de crecimiento económico superior al promedio nacional. Según el último censo de establecimientos del Dane para el año 2005, Bogotá concentraba el 48,2% de los establecimientos de servicios, comercio e industrias del país (Dane, 2006).
La capital colombiana posee una estructura productiva diversificada con propensión hacia las actividades terciarias, de hecho, estas representan el 59,3% del PIB de la capital en 2010. Asimismo, cuenta con la mayor proporción de habitantes de todo el país (16,7%) y registra cerca de 4,3 millones de personas económicamente activas, lo que garantiza mano de obra para desarrollar cualquier tipo de iniciativa económica (Secretaría Distrital de Desarrollo Económico-SDDE, 2012).
Actualmente, la ciudad cuenta con un sistema de estratificación social obligatoria por ley utilizado para subsidios tarifarios cruzados en el pago de servicios públicos e impuestos. La población de mayores ingresos ha ocupado el norte de la ciudad, mientras que las personas de menores ingresos se han asentado hacia el sur, suroccidente y occidente de la ciudad. Según los datos de Catastro Distrital la ciudad cuenta con 2,2 millones de predios de los cuales 1,7 son unidades residenciales; es decir, el 77,1% de los inmuebles de la ciudad.
La ciudad ha tenido una historia de desarrollo urbano desordenado, de hecho, solo hasta el año 2000 se adoptó el primer plan de ordenamiento territorial. Este instrumento de planificación busca dar lineamientos generales de ordenamiento y uso del suelo urbano de la ciudad. Sin embargo, la actividad económica de la ciudad históricamente y tradicionalmente se ha localizado en la zona denominada el centro expandido. Esta área comprende el centro histórico, centro internacional, Chapinero y Chicó. Según el último análisis de centralidades económicas realizado por la Secretaria Distrital de Planeación de Bogotá-SDP, esta zona concentra aproximadamente el 44% de los establecimientos de actividad económica de la ciudad (Secretaria Distrital de Planeación de Bogotá-SDP, 2011).
B. RESULTADOS DE LAS FUNCIONES K
Como se mencionó en la sección III, se estimó la función K de Ripley y se realizó la prueba de hipótesis para determinar la aglomeración de la actividad económica en Bogotá al nivel 99,9 de confianza. Es decir, con la hipótesis de aleatoriedad espacial que para esta investigación fue comprobada mediante 1000 simulaciones de Monte Carlo.
Con el fin de presentar los datos de forma consolidada, se presentaran las actividades código CIIU por ramas de la economía. Por esta razón, a continuación se muestran cuatro subsecciones: industrial, construcción, comerciales y actividades inmobiliarias, con el fin de contrastar los resultados entre actividades pertenecientes al mismo sector y explicar los resultados de las pruebas de aglomeración.
1. Actividades industriales
Las actividades industriales con más establecimientos en Bogotá son ''Confección de prendas de vestir, excepto prendas de piel'' (CIIU 1810) y ''Fabricación de artículos de plástico'' (CIIU 2529) tal como presenta en los Mapas 4 y 5. La localización de estos establecimientos se presenta en un radio de distancia espacial entre 0 y 4,7 km y las gráficas de la función K de estos sectores exhiben que el K-observado está por encima de la envolvente para todas las distancias, por lo cual se puede concluir que la concentración en ambas industrias es estadísticamente significativa.
El Sector 1810 de ''Confección de prendas de vestir'' presenta una mayor concentración respecto al sector 2529 ''Fabricación de artículos de plástico'' (Gráficos 3 y 4). Esta concentración tiene dos puntos de aglomeración, la primera, localizada en zonas industriales de la ciudad (Puente Aranda y Carvajal) y la segunda está concentrada en el eje vial de la calle 80 (Mapa 4).
Entretanto, el sector de 2529 ''Fabricación de artículos de plástico'' está concentrado en zonas industriales de la ciudad tales como: Puente Aranda, Las Américas y Carvajal (Mapa 5). Aunque, se presenten empresas dedicadas a esta actividad fuera de las zonas donde la norma urbanística permite el uso del suelo para actividades industriales, la mayor concentración de esta actividad se exhibe en zonas donde su uso es permitido (ver Anexo 3).
Al contrastar los resultados arrojados en este estudio con los análisis de Enríquez y Sayago (2011) y el Centro de Investigaciones para el Desarrollo-CID (2012), se encuentra que en dichos estudios ambos sectores también presentan aglomeración, aunque la intensidad de la concentración es diferente a la estimada. Esto obedece a la diferencia en el número de empresas analizadas en dichos estudios, puesto que la primera utiliza la encuesta anual manufacturera (3.400 industrias) y la segunda el censo 2005 (362.000 establecimientos).
De otra parte, dado que el análisis aquí presentado es estático, no se puede analizar la dinámica en los cambios de patrones de localización o relocalización de la industria en Bogotá y la región.
2. Actividades de la construcción
La localización de ''Construcción de edificaciones para uso residencial'' (CIIU 4521) ''Construcción de obras de ingeniería civil'' (CIIU 4530) se presenta en un radio de distancia espacial entre 0 y 4 km. La estimación de la función K evidencia que existe una concentración estadísticamente significativa para ambas actividades económicas; esta aglomeración se establece en el centro expandido de la ciudad.
El sector 4521 ''Construcción de edificaciones para uso residencial'', que cuenta con 4,1% de los establecimientos económicos, presenta concentración a una distancia de 3,8 km (Mapa 6 y Gráfico 5). Del mismo modo, el sector de 4530 ''Construcción de obras de ingeniería civil'' presenta un patrón de concentración similar, pero con una distancia inferior a 4 k m (Mapa 7 y Gráfico 6).
Es importante señalar que la actividad productiva de estos sectores no se realiza en un centro de fabricación, sino que se desplaza al destino final del producto para su fabricación. Es por ello que al visualizar la localización de estas actividades se georreferencia las oficinas centrales, mas no donde se realiza la actividad productiva.
Al contrastar las estimaciones realizadas con el estudio del Centro de Investigaciones para el Desarrollo-CID (2012), el patrón de aglomeración e intensidad de estos sectores económicos es muy similar, aunque en esta investigación se presenta un mayor patrón de concentración a lo largo del centro expandido.
3. Actividades comerciales
La localización de los establecimientos dedicados al ''Comercio al por mayor de productos diversos'' (CIIU 5190), ''Comercio de partes, piezas y accesorios para vehículos automotores'' (CIIU 5030), ''Comercio al por mayor de materiales de construcción, vidrio, artículos de ferretería y equipo'' (CIIU 5141) y ''Comercio al por mayor de productos farmacéuticos, medicinales, cosméticos y de tocador'' (CIIU 5135) se concentra en un radio de distancia espacial entre 0 y 5 km, obsérvese los gráficos 7, 8, 9 y 10 y los mapas 8, 9, 10 y 11.
Las estimaciones de la función K, muestran que en todos los sectores se presenta concentración estadísticamente significativa, principalmente, en el sector 5190 ''Comercio al por mayor de productos diversos'', que cuenta con una participación de 4,2% del total de establecimientos en Bogotá. Este sector presenta un patrón de concentración en el centro expandido y Puente Aranda, además, se presenta en otros sitios de la ciudad (Mapa 8). De otra parte, el sector 5135 ''Comercio al por mayor de productos farmacéuticos, medicinales, cosméticos y de tocador'' está concentrado en la zona de Usaquén (Mapa 11).
Ahora bien, contrastando los resultados de la estimación con los patrones encontrados en la consultoría del Centro de Investigaciones para el Desarrollo-CID (2012), concuerdan las conclusiones en cuanto a la concentración de las actividades y los patrones de localización. Sin embargo, en la consultoría del CID (2012) se establecían patrones mucho más densos. Esto obedece fundamentalmente a que la base de datos utilizada para realizar los cálculos y estimaciones fue el censo del 2005 que cuenta con 360.000 establecimientos económicos, mientras que la utilizada para este análisis es aproximadamente de 13.000.
4. Actividades inmobiliarias
Las actividades inmobiliarias que cuentan con un mayor número de establecimientos en el área urbana de Bogotá son ''Actividades inmobiliarias realizadas con bienes propios o arrendados'' (CIIU: 7010), ''Actividades de arquitectura e ingeniería'' (CIIU: 7421), ''Actividades de asesoramiento empresarial'' (CIIU: 7414) y ''Publicidad'' (CIIU: 7430). Estos cuatro sectores agregan el 15,2% de todos los establecimientos que registran sus operaciones a la Superintendencia de Sociedades.
Las estimaciones de la función K de Ripley evidencian que hay una alta aglomeración en todos las actividades inmobiliarias analizadas, aunque todas presentan patrones de localización diferentes. Por ejemplo, las ''Actividades inmobiliarias realizadas con bienes propios o arrendados'' (7010) están ubicadas a lo largo del denominado centro expandido y cuentan con presencia de establecimientos por toda la ciudad (Mapa 12 y Gráfico 11). Entretanto, las ''Actividades de asesoramiento empresarial'' (7414) están concentradas fundamentalmente en Chicó y Usaquén (Mapa 14 y Gráfico 13).
Sin embargo, todas las actividades inmobiliarias tienen presencia de concentración en Chicó y Usaquén tal como se observa en los Mapas 13 y 15 y en los Gráficos 12 y 14.
En el cuadro resumen, se presenta una compilación de las localidades y los resultados de los K de Ripley (Cuadro 2). Para mayor detalle de la localización de cada sector ver Anexo 3.
VI. INCIDENCIA DE LAS ECONOMÍAS DE AGLOMERACIÓN EN LA PRODUCTIVIDAD DE LOS SECTORES ECONÓMICOS
A. EVIDENCIA EMPÍRICA DE ECONOMÍAS DE AGLOMERACIÓN
La literatura de economías de aglomeración es muy extensa y, de hecho, existen varios enfoques. No obstante, la mayoría de los enfoques describen los beneficios provenientes de las economías de urbanización y localización y afirman que estos se traducen en: la reducción de los costos de transacción, reducción de los costos de transporte, rendimientos crecientes y aumentos en las tecnologías e incrementos en la innovación de las empresas, entre otros.
Una serie de estudios de productividad han tratado de resolver si las externalidades obedecen a economías de localización o de urbanización. Entre estos estudios se pueden citar los trabajos de Ciccone y Hall (1996), Henderson (1997) y Combes y Linnemer (2000). Dado que determinar la incidencia y procedencia de estas economías es un tema importante para el desarrollo urbano, puesto que si no obedecen a un determinado lugar los aumentos en productividad, los productores no deberían agruparse en unas pocas ciudades especializadas (García y Muñiz, 2009). Sin embargo, si la productividad de una industria está sujeta a las economías de urbanización, los productores deberían buscar la forma de interconectarse más a su entorno local (Henderson, 2001).
Ellison y Glaeser (1999), explican que la aglomeración proviene de dos fuentes, las ventajas del mercado laboral y los recursos con los que dispone la empresa. Entretanto, Duranton y Puga (2000, 2004) plantean que la naturaleza de las externalidades genera que la producción se descentralice en diferentes lugares, de modo que se beneficie de la especialización y la diversificación de las áreas metropolitanas (Duranton y Puga, 2000, 2004).
En términos de la descomposición espacial de los efectos externos, la evidencia en Rosenthal y Strange (2000) sugiere que las externalidades se atenúan fuertemente con la distancia a la aglomeración, a través de la evidencia empírica del nacimiento de nuevas empresas en lugares donde se presenta aglomeración (Henderson, 2001).
Otros estudios de Rosenthal y Strange (2004) sugieren que los empresarios buscan establecerse en las localizaciones que les permita beneficiarse de las economías de aglomeración, de modo que puedan minimizar sus costos; lo cual los conduce a ubicarse en las regiones más productivas (Rosenthal y Strange, 2004; Muñiz, 1998).
Los estudios empíricos de aglomeración que toman a Bogotá como caso de estudio (Enríquez y Sayago, 2010 y 2011; Tamayo y Maldonado, 2006 y CID, 2012) solo han definido el patrón de aglomeración y nivel de concentración que se presenta en la ciudad y no llegan a estimar la incidencia de las aglomeraciones en la productividad de las industrias.
B. MODELO DE PRODUCTIVIDAD
En esta subsección se estima la incidencia de la cercanía al centro de la aglomeración sectorial (como medida de aglomeración) en la productividad de cada sector económico, con el fin de contrastar los diferentes impactos que se presentan en cada uno de ellos.
Cabe señalar que la base de datos con la que se cuenta es la única que brinda la ubicación de las empresas a nivel micro y contiene una variable que pocas veces está disponible para ser incorporada a estudios de análisis espacial, que es el capital de las empresas (Navarro, 2001).
Para establecer una medida de productividad que introduzca la variable aglomeración, se plantea estimar la producción de las empresas de un mismo sector económico (Rubiano, 2010). Se considera que en la función de producción las economías externas suponen cambios en la función de producción (6), es decir para:

Donde, Y es el producto de la actividad económica, i es la empresa y j es la rama en el año 2010, L es el factor empleo, K el factor capital y A recoge el estado de la tecnología.
Para estimar la existencia de economías de aglomeración por sectores se seleccionó la función de producción Cobb Douglas, con dos factores (capital y trabajo), se suponen rendimientos constantes y neutralidad en el sentido Hicks:

Esta función de producción satisface las siguientes propiedades:
- Es cóncava.
- Es continuamente diferenciable.
- La derivada de la función es decreciente (por lo tanto la función es cóncava).
- El conjunto (0, 0, 0, 0) pertenece al conjunto de posibilidades de producción.
- Es regular, siempre va a poder producir un bien.
- La productividad marginal de todos los factores es positiva pero decreciente.
- La función es estrictamente creciente, Yi crece si crece el stock de capital Ki, la cantidad de Li, y/o mejora la tecnología (externalidades) Ai.
Al loglinealizar la ecuación para poder expresar la producción como una ecuación lineal generalizada, tenemos que la ecuación (7) queda transformada en:

Donde las variables son: Yij, corresponde a la producción; Aij, expresa el componente tecnológico, es decir, la productividad total de los factores; Kij, stock de capital; y, Lij, el empleo.
C. VARIABLES
Para realizar las estimaciones de la productividad en cada sector económico en Bogotá, se utilizó la información financiera de las empresas que son sometidas a la vigilancia de la Superintendencia de Sociedades según el Decreto 3100 de 1997 de la República de Colombia. Que nos permite abordar los determinantes sectoriales del crecimiento de la producción de las empresas y que pueden ayudar a explicar el desempeño de la productividad de las actividades económicas dentro de la ciudad de Bogotá.
Ahora bien, dadas las variables necesarias se procedió de la siguiente manera:
Yij, Producción
La variable Yij es la producción de cada empresa, por tanto para estimar dicha variable se seleccionó la cuenta ingresos operacionales que se encuentra en el estado de resultados de cada empresa y que se registra en el SIREM de la superintendencia de sociedades.
Aij, Componente tecnológico
La variable Aij, que expresa el componente tecnológico o productividad total de los factores crece dependiendo de las externalidades que influyan sobre las industrias. Puesto que no puede atribuirse a las variaciones de los factores de producción, capital y trabajo, tiene un componente nacional y otro local (Glaeser et al., 1992).
En la literatura sobre economías de urbanización y localización suele ser capturada a través de las medidas de especialización, diversificación, el tamaño local del mercado, externalidades Marshall-Arrow-Romer (MAR), Jacobs, especialización del capital humano, infraestructura o inversión en investigación y desarrollo.
Sin embargo, como en este trabajo se estima para microdatos y al interior de la ciudad, no es posible incorporar variables de las economías de urbanización puesto que tendríamos la misma variable explicativa para todos los casos y no daría evidencia de su incidencia en la actividad, por tanto solo se podrían tener en cuenta las economías de localización de cada sector económico.
Ahora bien, dentro de las medidas de economías de localización al interior de una ciudad que se podrían incorporar a este estudio se tiene: especialización del capital humano, infraestructura e inversión en investigación y desarrollo, entre otros. Sin embargo, la disponibilidad de información no es suficiente para determinar la variable por cada empresa. Por tanto, como proxy para medir las economías de localización se utiliza la distancia euclidiana que existe entre la empresa i a la aglomeración económica del sector j más cercana.
Por otra parte, como el factor de aglomeración fue determinado en el apartado anterior, donde se estimaron los niveles y patrones de localización de cada rama del sector económico, se procedió a medir la distancia euclidiana que existe entre cada empresa y la aglomeración más próxima. Así pues, a esta variable se le realizó una transformación que permitiera comparar la empresa más cercana a la aglomeración con respecto a la empresa más lejana de la aglomeración. Por tanto, quedó expresada de la siguiente forma:

Kij, Capital
La variable Kij que es el stock de capital con el que cuenta la empresa para su funcionamiento es una de las variables más importantes, y que pocas veces está disponible como microdato.
Al tener en cuenta que la base del SIREM tiene toda la información del balance general y estados de resultados, se procedió a incorporar como proxy de esta variable el capital corriente también denominado capital de trabajo, que se calcula:

Donde se tiene que: CC es el capital corriente o capital de trabajo, P es el Patrimonio, PNC es el pasivo no corriente y ANC es el activo no corriente.
Lij, Empleo
La variable Lij es la mano de obra necesaria para la producción. Esta variable, no se tiene en la base de datos utilizada; sin embargo, como proxy de la misma se incorpora el pago de salarios, ya que existe una fuerte relación entre la productividad del trabajo y el número de empleados.
Ahora, para determinar el monto pagado por salarios, esta variable será el resultado de sumar las cuentas salarios por pagar, aportes E.P.S, pagos a A.R.P, aportes parafiscales, fondos de pensión, cesantías, intereses sobre las cesantías, vacaciones y prima de servicios. De este modo, representa la suma del pago de todos los trabajadores vinculados a la empresa, es decir, se pueden excluir a todos aquellos que estén vinculados por prestación de servicios.
En definitiva, al reemplazar cada una de las variables seleccionadas en la ecuación (4) tenemos que, para el presente trabajo, la función de producción queda expresada de la siguiente forma:

Donde las variables son: Yij, corresponden a la producción;
y expresan el componente tecnológico a través de la estandarización de la distancia euclidiana a la aglomeración; CCij, stock de capital a través del capital corriente; y Sij el empleo se expresa a través de los salarios.
D. PRODUCTIVIDAD DE LOS SECTORES ECONÓMICOS EN BOGOTÁ EN EL 2010
Con base en la ecuación (5), que es ecuación log-log, los parámetros se estiman por mínimos cuadrados ordinarios para 183 de los 19 sectores seleccionados en la Sección III y relacionados en el Cuadro 1. Si bien en la literatura la metodología econométrica es muy variada (Ver cuadro 3), el método de mínimos cuadrados ordinarios se utiliza en este estudio, dado que no existen problemas de colinealidad entre las variables y son independientes.
Es importante recordar, que al ser una ecuación log-log, los parámetros estimados de las variables pueden ser interpretados como elasticidades.
Los resultados de la estimación de la producción para los sectores económicos en Bogotá que incorpora la variable distancia (señalada en la ecuación 5), evidencian que esta variable tiene una incidencia positiva para 14 de los 19 sectores analizados.
Los resultados se pueden interpretar de la siguiente forma, por ejemplo, en el caso de la industria de confección de prendas de vestir, excepto prendas de piel, se puede decir que por cada 0,053% que aumente el empleo (salarios) aumentará en un 1% la producción de las empresas de este sector y por cada 0.723% que aumente su capital corriente aumentará en 1% la producción, medida en términos de ingresos operacionales. Entre tanto por cada 97 metros más cerca a la aglomeración se incrementarán la producción o ingresos operacionales de la industria.
De otra parte, las actividades que pertenecen al sector constructor (4521-construcción de edificaciones para uso residencial y 4530-construcción de obras de ingeniería civil) los parámetros estimados de la distancia con significancia estadística al 99,9% tienen una alta incidencia de la actividad y los R2 de estos dos sectores se ajustan. Con lo cual se puede determinar la alta incidencia de la distancia a la aglomeración en estos sectores (Cuadro 4).
Entretanto, la distancia a la aglomeración es un factor que tiene incidencia en las actividades inmobiliarias puesto que las actividades 7010-actividades inmobiliarias realizadas con bienes propios o arrendados, 7421-actividades de arquitectura e ingeniería, 7414-actividades de asesoramiento empresarial y 7430-publicidad. La estimación para estos cuatro sectores evidencia que existe un impacto positivo en la producción de las empresas derivado de la proximidad de las empresas al centro de aglomeración del sector al cual pertenecen (Cuadro 4).
El impacto positivo más alto de la distancia en la productividad lo exhiben las actividades de construcción para uso residencial, pues el beta estimado para la distancia es el muy alto (Cuadro 4). Entretanto, en los otros sectores, aunque la distancia a la aglomeración es significativa, los estimadores no muestran que exista una incidencia alta. Cabe señalar, que esta variable no es estadísticamente significativa para la actividad 2529-fabricación de artículos de plástico, 5153-comercio al por mayor de productos farmacéuticos, 5249-comercialización de otros productos nuevos ncp., 7010-actividades inmobiliarias realizadas con bienes propios y 7499-otras actividades empresariales.
También es importante señalar que la variable capital no arrojó el signo esperado en las actividades de comercio; de hecho, presentó un signo negativo, aun cuando se esperaba que este fuera positivo. Sin embargo, el modelo de incidencia de la aglomeración en la productividad de los sectores usando microdatos espaciales a nivel empresarial, es el primer análisis de este tipo para la ciudad de Bogotá por lo cual no se pueden comparar los resultados.
VII. CONCLUSIONES
Las dos preguntas problema que guiaron la construcción de esta investigación fueron: ¿qué sectores económicos presentan patrones de aglomeración en la ciudad de Bogotá? Y ¿qué incidencia tiene la aglomeración en la productividad de los sectores económicos que están aglomerados en Bogotá?
Respecto a las cuales este documento logró establecer que, efectivamente, existen sectores productivos aglomerados y que existen diferentes niveles de aglomeración (evidencia de ello son los resultados de la función K de Ripley para cada sector).
Ahora bien, respecto a la estimación realizada sobre los 19 sectores código CIIU a cuatro dígitos, con mayor presencia de establecimientos en la ciudad de Bogotá se puede resaltar que:
- Existen heterogeneidades en los patrones de localización de las firmas a pesar de que pertenezcan al mismo sector económico. Esto se puede evidenciar en la localización de las firmas de las actividades comerciales e inmobiliarias.
- La industria presenta menor concentración que otras actividades económicas, tales como de comercio y servicios.
- Hay zonas de la ciudad donde la aglomeración no solo se presenta para una actividad específica sino para varias, como es el caso de: construcción de edificaciones para uso residencial, construcción de obras de ingeniería civil, actividades inmobiliarias realizadas con bienes propios o arrendados, actividades de arquitectura e ingeniería, actividades de asesoramiento empresarial y publicidad, que presentaron una alta concentración en Usaquén y Chico. Fenómeno que podría ser estudiado como posible caso de complementariedad.
A partir de los resultados obtenidos en la prueba de aglomeración se pudo realizar la estimación de la producción de cada sector introduciendo como variable explicativa la distancia. Esta medición permite responder la segunda pregunta de este artículo: ¿qué incidencia tiene la aglomeración en la productividad de los sectores económicos?
Los resultados de esta estimación permiten afirmar y concluir que, efectivamente, la distancia al centro de la aglomeración tiene una incidencia positiva y significativa en la productividad de 14 de los 19 sectores analizados.
De otra parte, este efecto puede aumentar o disminuir dependiendo de la actividad económica a la que pertenezcan las empresas. Los mayores beneficios por aglomeración se presentan en las actividades de construcción e intermediación inmobiliaria.
A. RECOMENDACIONES
Es importante, como agenda de investigación futura, realizar un análisis transversal para determinar el efecto de las economías de aglomeración en el tiempo y por tamaño empresarial, así como determinar exactamente que fuentes de las cuales provienen las economías de aglomeración inciden en la productividad de las empresas, que pueda incluir:
- Análisis que incluya el grado de especialización de los empleados (capital social).
- Determinar si existe contacto entre los trabajadores de las empresas.
De otro modo, realizar este análisis para otras ciudades del país y comparar los resultados entre las regiones puede convertirse en una herramienta para identificar las potencialidades de cada zona del país.
NOTAS
1 Todas las densidades se calculan usando un Kernel Gaussiano.
2 Para una descripción detallada sobre las empresas sometidas a vigilancia de la Superintendencia de Sociedades ver el Decreto 3100 de 1997 que se presenta en el Anexo 1.
3 El sector 7421-Actividades de arquitectura e ingeniería y actividades conexas de asesoramiento técnico no se estimó debido a que la completitud de la información no permitió tener un número de observaciones adecuadas.
REFERENCIAS
1. Aláez, R.; Longás, J. C.; Ullibarri, M. ''La relación entre efectos externos y aglomeración: una aproximación a su estudio a partir de la evidencia empírica disponible. Universidad pública de Navarra''. Revista de Estudios Regionales, núm. 61, pp. 151-167, 2001. [ Links ]
2. Camagni, R. Economía urbana. Barcelona, Antoni Bosch Editor, 2005. [ Links ]
3. Capello, R. Regional Economics. Londres, Routledge, 2007. [ Links ]
4. Capello, R. ''Macroeconomic Regional Growth Models: Theoretical, Methodological and Empirical Contributions'' Scienze Regionali, Franco Angeli Editore, vol. 8, núm. 3, pp 59-78, 2009. [ Links ]
5. Casanova, M.; Orts, V. ''Assessing the Tendency of Spanish Manufacturing Industries to Cluster: Co-localitation and Establishment Size'', Working Papers. Serie EC 2011-03, Instituto Valenciano de Investigaciones Económicas, S.A. 2011. [ Links ]
6. Centro de Investigaciones para el Desarrollo- CID. Informe de consultoría: ''Identificación, diagnóstico y caracterización de las concentraciones y aglomeraciones productivas, clúster, formas asociativas, cadenas productivas, y otras forma productivas en el Distrito Capital''. Universidad Nacional de Colombia, 2012. [ Links ]
7. Ciccone, A.; Hall, R. E. ''Productivity and the Density of Economic Activity'' American Economic Review, vol. 86, núm. 1, pp. 54-70, marzo 1996. [ Links ]
8. Combes, P. P.; Linnemer, L. ''Intermodal Competition and Regional Inequalities'' Regional Science and Urban Economics, vol. 30, núm. 2, pp 131-184, marzo 2000. [ Links ]
9. Córdova, H. Naturaleza y sociedad: una introducción a la geografía. Lima: Fondo Editorial Pontificia Universidad Católica del Perú, 2002. (En línea) (20 octubre de 2011) Disponible en: http://books.google.com.co/books?id=ZSLs2XfY8QCpg=PA32lpg=PA32dq=C%C3%93RDOVA,+H.+(2002).+Naturaleza+y+sociedad:+una+introducci%C3%B3n+a+la+geograf%C3%ADa.source=blots=4aALufsI97sig=DOMf723fxN6VqKMhVNxdJB8gHy8hl=essa=Xei=QsvCT4D8BIP49QTH0b26Cwved=0CE0Q6AEwAA. [ Links ]
10. Christaller, W. Central Places in Southern Germany, In translation (1966), translated by Baskin, New Jersey, C.W. Prentice - Hall, Englewood Cliffs, 1933. [ Links ]
11. De la Cruz, R. M. Introducción al análisis de datos mapeados o algunas de las (muchas) cosas que puedo hacer si tengo coordenadas, 2006. (En línea). (2 Marzo de 2012) Disponible en: URL: http://www.revistaecosistemas.net/articulo.asp?Id=448Id_Categoria=1tipo=portad. [ Links ]
12. Decreto 3100 de diciembre 30 de 1997. País de referencia: Colombia. Por el cual se determinan las personas jurídicas sujetas a la vigilancia de la Superintendencia de Sociedades. [ Links ]
13. Departamento Administrativo Nacional de Estadística. (2006). Anexos estadísticos de oferta-Precios Constantes-IV trimestre de 2011 (xls). [ Links ]
14. Devereux, M. P.; Griffith, R.; Simpson, H. ''Agglomeration, Regional Grants and Firm Location'' Open Access publications from University College London http://discovery.ucl.ac.uk, University College London, 2004. [ Links ]
15. Duranton, G.; Overman, H.G. ''Testing for Localization Using Micro-Geographic Data''. Review Economic Studies, Vol.72,pp. 1077- 1106, (2005). [ Links ]
16. Duranton, G.; Overman, H. G. ''Exploring the Detailed Location Patterns of U.K. Manufacturing Industries Using Microgeographic Data''. Journal of Regional Science, Vol. 48, pp. 213-243. 2008. [ Links ]
17. Duranton, G.; Puga, D. ''Micro-Foundations of Urban Agglomeration Economies'' in: Henderson, J. V.; J. F. THISSE (ed.), Handbook of Regional and Urban Economics, vol. 4, pp. 2063-2117, 2004. [ Links ]
18. Duranton, G.; Puga, D. ''Nursery Cities: Urban Diversity, Process Innovation, and the Life- Cycle of Products,'' CEPR Discussion Papers 2376, C.E.P.R. Discussion Papers, 2000. [ Links ]
19. Ellison, G.; Glaeser, E. L. ''Geographic Concentration in U.S. Manufacturing Industries: A Dartboard Approach'' Journal of Political Economy, University of Chicago Press, vol. 105, núm. 5, pp. 889-927, octubre, 1997. [ Links ]
20. Ellison, G.; Glaeser, E. L. ''The Geographic Concentration of Industry: Does Natural Advantage Explain Agglomeration?'' American Economic Review, American Economic Association, vol. 89, núm. 2, pp. 311-316, mayo, 1999. [ Links ]
21. Enríquez, H.; Sayago, J. T. Testing for Spatial Location Patterns of Bogota's Small and Medium Size Manufacturing Firms (2006- 2008). Working paper: En el IV World Conference. Chicago, 2010. [ Links ]
22. Enríquez, H.; Sayago, J. T. Testing for Co-Agglomeration Between Industrial Sectors in Bogota, Colombia. 2008. Informes de Investigación Universidad Central, 2010. [ Links ]
23. Espa, G.; Giuliani, D.; Arbia, G. ''Weighting Ripley's K-Function to Account for the Firm Dimension in the Analysis of Spatial Concentration''. Department of Economics, University of Trento, núm. 14, 2010. [ Links ]
24. García, M. Á.; Muñiz Olivera, I. El impacto espacial de las economías de aglomeración y su efecto sobre la estructura urbana. El caso de la industria en Barcelona, 1986-1996. Documentos de trabajo. Departamento de Economía Aplicada. Universidad de Barcelona, núm. 5, 2009. [ Links ]
25. Glaeser, E.L.; Kallal, H.D.; Scheinkman, J.A.; Shleifer, A. ''Growth in Cities''. Journal of Political Economy, vol. 100, núm. 6, pp. 1126-1152, 1992. [ Links ]
26. Henderson, V. ''Medium Size Cities''. Regional Science and Urban Economics, núm. 27, pp. 583-612, 1997. [ Links ]
27. Henderson, V. ''Marshall's Scale Economies''. Journal of Urban Economics, Elsevier, vol. 53, pp. 1-28,, 2003. [ Links ]
28. Krugman, P. Geography and Trade. Cambridge, The MIT Press, 1991. [ Links ]
29. Krugman, P. ''Increasing Returns and Economic Geography'' Journal of Political Economy, University of Chicago Press, vol. 99, núm. 3, pp. 483-99, junio 1991a. [ Links ]
30. Krugman, P. The Role of Geography in Development. Documento presentado en: Annual Bank Conference on Development Economics, 1998. The World Bank, Washington, 1999. [ Links ]
31. Ley 222 de 1995. País de referencia: Colombia. Por la cual se modifica el libro II del código de comercio, se expide un nuevo régimen de procesos concursales y se dictan otras disposiciones. [ Links ]
32. Marshall, A. Principios de Economía. Aguilar, Madrid, 1957. [ Links ]
33. Muñiz Olivera, I. ''Externalidades, localización y crecimiento: una revisión bibliográfica''. Revista de Estudios Regionales, núm. 52, pp. 155-175, 1998. [ Links ]
34. Navarro Arancegui, M. ''El análisis y la política de Clusters''. Documentos de trabajo del Instituto de Análisis Industrial y Financiero. Universidad Complutense de Madrid, núm. 27, p. 30, 2001. [ Links ]
35. Ripley, B.D. ''The Second-Order Analysis of Stationary Point Processes'', Journal of Applied Probability, vol. 13, núm. 2, pp. 255-266, 1976. [ Links ]
36. Ripley, B.D. ''Modelling Spatial Patterns (with discussion)'', Journal of the Royal Statistical Society, vol. 39, pp. 172-212, 1977. [ Links ]
37. Rosenthal, S.; Strange, W. ''The Determinants of Agglomeration'' Journal of Urban Economics, Elsevier, vol. 50, núm. 2, pp. 191-229, septiembre 2000. [ Links ]
38. Rosenthal, S.; Strange, W. ''Evidence on the Nature and Sources of Agglomeration Economies.'' In Handbook of Regional and Urban Economics. Amsterdam, NorthHolland, 2004. [ Links ]
39. Rubiano, M. ''Determinantes endógenos y exógenos de la localización industrial metropolitana: un análisis no paramétrico para el caso de la Sabana de Bogotá''. Universidad del Rosario, Territorios, núm. 23, pp. 59-100, 2010. [ Links ]
40. Secretaria distrital de desarrollo económico. Informe mercado laboral, núm. 20, marzo de 2012. [ Links ]
41. Secretaria distrital de planeación-Alcaldía Mayor de Bogotá. Documento Técnico de Soporte, Modificación del Plan de Ordenamiento de Bogotá, 2011. [ Links ]
42. Superintendencia de sociedades, 2010. ''¿Qué es el SIREM?''. (En línea). (10 noviembre de 2011) Disponible en: http://sirem.supersociedades.gov.co:9080/SIREM/index.jsp. [ Links ]
43. Tamayo, A.; Maldonado, N. ''Localización Industrial: una Aproximación Empírica a los hechos estilizados de Bogotá'', Working paper. Universidad Sergio Arboleda. 2006. [ Links ]
44. Von Thünen, J. The Isolated State in its Relations to Agriculture and National Economy. Pergamon, Press Ltda. Primera edición 1966. [ Links ]
45. Weber, A. Theory of the Location of Industries. Chicago, University of Chicago, 1929. [ Links ]
ANEXOS
Decreto número 3100 de 1997 ''Por el cual se determinan las personas jurídicas sujetas a la vigilancia de la Superintendencia de Sociedades''.
El Presidente de la República de Colombia, en ejercicio de las facultades que le confieren los numerales 11 y 24 del artículo 189 de la Constitución Política, los artículos 80, 82, 83 y 84 de la Ley 222 de diciembre de 1995 y el artículo 3° de la Ley 333 de 1996,
Decreta:
Artículo 1°. Quedarán sometidas a la vigilancia de la Superintendencia de Sociedades, las sociedades mercantiles que a 31 de diciembre de 1997, o al cierre de los ejercicios sociales posteriores, o en los estados financieros de períodos intermedios que les solicite la Superintendencia de Sociedades, registren:
a) Un total de activos, igual o superior al equivalente a veinte mil (20.000) salarios mínimos legales mensuales;
b) Ingresos totales iguales o superiores al valor de veinte mil (20.000) salarios mínimos legales mensuales;
c) Un total de activos iguales o superiores al equivalente a cinco mil (5.000) salarios mínimos legales mensuales, siempre que una o más sociedades vigiladas por cualquier superintendencia o entidad que ejerza la inspección, vigilancia o control gubernamental posean en ellas, individual o conjuntamente, una participación del 20% o más de su capital social;
d) Ingresos totales iguales o superiores al valor de cinco mil (5.000) salarios mínimos legales mensuales, siempre que una o más sociedades vigiladas por cualquier superintendencia o entidad que ejerza la inspección, vigilancia o control gubernamental posean en ellas, individual o conjuntamente, una participación del 20% o más de su capital social.
Parágrafo 1°. Para los efectos previstos en este artículo los salarios mínimos legales mensuales se liquidarán con el valor vigente al 1° de enero siguiente a la fecha de corte y en el caso de los estados financieros de períodos intermedios con el valor vigente a la fecha a la que correspondan los mismos.
Parágrafo 2°. En el valor de los activos y en el de los ingresos totales a que se refiere este artículo deben entenderse incluidos los ajustes integrales por inflación.
Artículo 2°. Se sujetarán a la. vigilancia de la Superintendencia de Sociedades por acto administrativo particular del Superintendente, aquellas sociedades comerciales comprometidas en un proceso de extinción de dominio, respecto de bienes como los descritos en el artículo 3° de la Ley 333 de 1996.
La Dirección Nacional de Estupefacientes, una vez tenga conocimiento de la iniciación de una acción de extinción de dominio, o lo haga en forma directa, le comunicará a la Superintendencia de Sociedades en los tres días hábiles siguientes, el ejercicio de la respectiva acción, cuando la misma recaiga sobre los bienes a que se refiere el presente artículo.
Artículo 3°. También estarán vigiladas por la Superintendencia de Sociedades aquellas compañías que señale el Superintendente por acto administrativo particular, cuando el análisis de la información jurídica, contable, económica y administrativa de la sociedad o con ocasión de cualquier investigación administrativa, adelantada de oficio o a petición de parte, se establezca que la misma incurre en cualquiera de las siguientes irregularidades:
a) Abusos de sus órganos de dirección, administración o fiscalización, que impliquen desconocimiento de los derechos de los asociados o violación grave o reiterada de las normas legales o estatutarias;
b) Suministro al público, a la Superintendencia o a cualquier organismo estatal, de información que no se ajuste a la realidad;
c) No llevar contabilidad de acuerdo con la ley o con los principios de contabilidad generalmente aceptados;
d) Realización de operaciones no comprendidas en su objeto social.
Artículo 4°. Las sociedades sujetas a la vigilancia por determinación del Superintendente de Sociedades en los términos de los artículos 2° y 3° de este decreto, podrán quedar exoneradas de tal vigilancia cuando desaparezcan las razones que dieron lugar a la misma, conforme a la Constitución Política y a la ley.
Artículo 5°. Quedarán sujetas a la vigilancia de la Superintendencia de Sociedades las Empresas Unipersonales pertenecientes a empresarios sometidos a la vigilancia de cualquier Superintendencia, así como las que se encuentren incursas en cualquiera de las causales indicadas en los literales a) y b) del artículo 1° del presente decreto.
Artículo 6°. Estarán igualmente sometidas a la vigilancia de la Superintendencia de Sociedades:
a) Las Sociedades Administradoras de Consorcios Comerciales;
b) Las Bolsas de Productos Agropecuarios;
c) Las Sociedades Prestadoras de Servicios Técnicos o Administrativos a las instituciones financieras;
d) Los Fondos Ganaderos que no se organicen en los términos del Decreto 663 de 1993 y que no reúnan los requisitos mínimos que exija la Superintendencia Bancaria, de acuerdo con lo estipulado en el artículo 15 de la Ley 363 de 1997;
e) Las Empresas Multinacionales Andinas;
f) Las Sucursales de Sociedades Extranjeras.
Parágrafo. Respecto de las sociedades señaladas en este artículo, la vigilancia se ejercerá en los términos que indican las normas legales pertinentes en relación con cada una de ellas.
Artículo 7°. Al tenor del artículo 3° del Decreto 702 del 30 de marzo de 1994, estarán vigiladas por la Superintendencia de Sociedades las compañías mercantiles que pierdan su calidad de Emisores de Valores.
Parágrafo. Con relación a las sociedades mencionadas en este artículo, la vigilancia se ejercerá por un año, a partir de la fecha de cancelación de la inscripción de sus títulos en el Registro Nacional de Valores e Intermediarios, a menos que al vencimiento de ese término se registre cualquier otra causal de vigilancia, caso en el cual la sociedad continuará sometida a la vigilancia estatal por conducto de la Superintendencia de Sociedades.
Artículo 8°. La Superintendencia de Sociedades ejercerá la vigilancia en forma permanente sobre las sociedades comerciales no vigiladas por otra Superintendencia.
Artículo 9°. En ejercicio de la facultad de inspección prevista por el artículo 83 de la Ley 222 de 1997, la Superintendencia de Sociedades podrá conocer en cualquier momento la situación jurídica, contable, financiera o administrativa de cualquier sociedad comercial, con excepción de aquellas que se encuentren vigiladas por la Superintendencia Bancaria.
Artículo 10. La vigilancia de las personas jurídicas que se encuentren en cualquiera de las circunstancias previstas en los literales a) y b) del artículo l° de este decreto, cuando se trate de cierre de fin de ejercicio, iniciará el primer día hábil del mes de abril del año siguiente a aquél al cual corresponda el respectivo cierre contable; para el caso de estados financieros de períodos intermedios iniciará al cabo de los dos meses siguientes a la fecha a la cual correspondan tales estados financieros. En ambos eventos la vigilancia continuará aun cuando los montos señalados en esos literales se reduzcan.
Artículo 11. Para los efectos de los literales c) y d) del artículo 1°, la vigilancia se iniciará en el momento en que concurran los dos requisitos exigidos para que opere la respectiva causal, y cesará tan pronto desaparezca uno cualquiera de los dos.
Artículo 12. Las sociedades comerciales que venían sometidas a la vigilancia permanente de la Superintendencia de Sociedades en atención al monto de activos señalado en el Decreto 1258 del 30 de junio de 1993 y su aclaratorio 1423 de 21 de julio del mismo año continuarán sometidas a la vigilancia hasta el primer día hábil del mes de julio de 1998, salvo que a 31 de diciembre de 1997 o en estados financieros de períodos intermedios solicitados por la Superintendencia de Sociedades registren una o varias de las causales indicadas en el presente decreto, caso en el cual la vigilancia continuará en consideración a la nueva causal.
Artículo 13. El presente decreto rige a partir de la fecha de su publicación y deroga los Decretos 1258 del 30 de junio de 1993 y su aclaratorio 1423 del 21 de julio del mismo año, salvo lo previsto por el artículo anterior.
Publíquese y cúmplase.
Dado en Santa Fe de Bogotá, D.C., a 30 de diciembre de 1997.
ERNESTO SAMPER PIZANO
















































