Services on Demand
Journal
Article
Indicators
-
Cited by SciELO -
Access statistics
Related links
-
Cited by Google -
Similars in
SciELO -
Similars in Google
Share
Ensayos sobre POLÍTICA ECONÓMICA
Print version ISSN 0120-4483
Ens. polit. econ. vol.33 no.spe76 Bogotá Jan. 2015
https://doi.org/10.1016/j.espe.2015.02.002
http://dx.doi.org/10.1016/j.espe.2015.02.002
Política monetaria convencional y no convencional: un modelo de equilibrio general dinámico estocástico para Colombia*
Conventional and non-conventional monetary policy: A dynamic stochastic general equilibrium model for Colombia
Jesús Alonso Boteroa y Nataly Rendón Gonzálezb,**
a Escuela de Economía y Finanzas, Universidad Eafit, Medellín, Antioquia, Colombia
b Facultad de Economía, Universidad Pontificia Bolivariana, Medellín, Antioquia, Colombia
* Este documento se realizó para optar por el título de Magíster en Economía en la Universidad Eafit.
** Autora para correspondencia.
Correo electrónico: nataly.rendon@upb.edu.co (N. Rendón González).
Historia del artículo:
Recibido el 1 de julio de 2014 Aceptado el 9 de febrero de 2015 On-line el 26 de marzo de 2015
RESUMEN
En este trabajo se aborda un modelo de equilibrio general dinámico estocástico neoclásico para comprobar el efecto de la política monetaria convencional y no convencional sobre la actividad económica y los precios. Los resultados muestran que en una economía abierta y pequeña con tipo de cambio flexible, un choque negativo de política monetaria no convencional, generado a través de una disminución en las reservas internacionales, disminuye el producto, el empleo, empeora la balanza comercial y tiene efectos sobre los precios vía disminución del circulante. Por su parte, un choque negativo de política monetaria convencional (aumento de la tasa de interés) afecta negativamente el producto, disminuye la inflación y genera una reevaluación de la tasa de cambio. Lo anterior es evidencia de que los bancos centrales disponen no solo de la tasa de interés como instrumento principal de política, sino también de intervenciones no convencionales, vía la hoja balance, que pueden afectar también a otras variables, como la tasa de cambio.
Palabras clave: Política monetaria, Hoja de balance, Banco central, Modelo de equilibrio general dinámico estocástico.
Códigos JEL: E52, E58, E65.
ABSTRACT
This paper presents a neoclassical dynamic stochastic general equilibrium model to determine the effect of conventional and non-conventional monetary policy on economic activity and prices. The results show that in a small open economy with a flexible exchange rate, a negative shock of non-conventional monetary policy, generated through a decrease in international reserves, reduce output and employment, deteriorates the trade balance, and has effects on prices via increasing the money supply. Meanwhile, an increase in the interest rate negatively affects the product, decreases inflation, and generates a revaluation of the exchange rate. The aforementioned is evidence that the central banks do not only use interest rates as the main policy instrument, but also non-conventional interventions via the balance sheet, which can also affect other variables such as the exchange rate.
Keywords: Monetary policy, Balance sheet, Central bank, Dynamic stochastic general equilibrium model.
JEL classification: E52, E58, E65.
1. Introducción
Refiriéndose al trilema de la política monetaria Mundell (1963) afirma que esta se enfrenta a 3 grandes objetivos: i) alcanzar un nivel determinado de la tasa de cambio, deseable por los benefícios que genera a nivel comercial; ii) lograr un nivel determinado de la tasa de interés, importante por la trascendencia que esta tiene en las decisiones de consumo e inversión de los agentes; y iii) propiciar la movilidad de capitales, que facilita la asignación del ahorro y la competitividad doméstica. Aunque una economía quisiera apuntar a los 3, la escogencia de uno de ellos generará la renuncia a alguno de los otros 2. En este sentido, solo 2 de ellos podrán lograrse de manera simultánea.
Este trilema se puede abordar de 2 formas, ambas dependiendo de si existe libre movilidad de capitales en la economía. La primera de ellas, direcciona la política monetaria a objetivos como la inflación y el ciclo económico, usando como ancla nominal la meta de inflación o la cantidad de dinero; la segunda hace referencia a un híbrido entre la política monetaria y cambiaria, donde la primera usaría como ancla nominal la tasa de cambio. Sin embargo, muchas economías, entre ellas la de Colombia, definen como objetivo primario la estabilidad de los precios, partiendo de que una inflación baja y estable promueve el crecimiento económico, objetivo que puede alcanzarse a través de estrategias monetarias, cambiarias o de esquemas de inflación objetivo.
La conducción de la política monetaria en Colombia ha pasado por diferentes estrategias a lo largo del siglo xx, resumidas por Gómez (2006) de la siguiente forma: en los años sesenta, la decisión fue conducir la política monetaria en el marco de un ancla híbrida entre monetaria y cambiaria y acercándose gradualmente a una mayor flexibilidad cambiaria. Los setenta se caracterizaron por la ausencia total de movilidad de capitales, y más adelante, en los ochenta, y principalmente en los noventa gracias a la nueva constitución política de 1991, se favorece la movilidad de capitales. Dado que los esquemas híbridos no son muy transparentes y son difíciles de manejar para las autoridades monetarias, finalmente, en la primera década del siglo xxI, la política monetaria adopta el régimen de inflación objetivo.
Bajo este régimen, el objetivo primario de la política monetaria en Colombia es alcanzar y mantener una tasa de inflación baja y estable, así como un crecimiento económico sostenido en el tiempo. El sistema de inflación objetivo se asemeja a una regla de Taylor, en el cual la tasa de interés es ajustada en respuesta del producto y la inflación. Esta estrategia de política monetaria ha sido implementada dentro de un régimen de flexibilidad cambiaria, sujeta a unas reglas de intervención con las cuales se ha buscado mantener un nivel adecuado de reservas internacionales, limitar la volatilidad excesiva de la tasa de cambio en el corto plazo y la moderación de apreciaciones o depreciaciones de la moneda nacional que puedan generar inestabilidades que impidan el alcance de las metas de inflación.
Ho y McCauley (2003) indican que bajo el esquema inflación objetivo, la intervención en el mercado cambiario no es una de las características de este régimen, pero es bastante común que los bancos ejecuten su política monetaria por medio de esta estrategia. En Colombia, el Banco de la República interviene el mercado cambiario bajo una modalidad discrecional y bajo 2 modalidades que siguen reglas determinadas. Gómez (2006) indica que la primera modalidad de intervención es discrecional en cuanto al monto de la intervención y a la tasa a la cual se interviene, la segunda modalidad de intervención es llamada de acumulación o desacumulación de reservas, y la tercera modalidad está relacionada con el control de capitales. Sin embargo, se debe dejar claro que la intervención cambiaria no representa un objetivo primario de política monetaria, puesto que su preocupación no es modificar en ningún sentido la tendencia del mercado mismo.
Lo anterior pone en evidencia que aunque la tasa de cambio no representa un objetivo directo de política monetaria, las acciones del Banco de la República en este sentido pueden afectar de alguna forma la volatilidad de dicha variable y a su vez a la economía (tomando la tasa de cambio como una vía de trasmisión de la política monetaria); por el contrario, la volatilidad de la tasa de cambio por diferentes razones exógenas (cambios en el mercado de divisas, por ejemplo) afecta también las acciones de política monetaria del emisor, puesto que en algunos momentos los cambios que se producen pueden afectar el logro de los objetivos primarios del mismo, por lo que el Banco de la República estaría en la obligación de intervenir para cumplir con los objetivos principales de la estrategia de inflación objetivo.
Esto lleva a pensar desde luego que aunque el Banco de la República permite la flexibilidad de la tasa de cambio y busca la estabilidad financiera a través de su política de intervención cambiaria, existen otras razones de fondo por las que este debe preocuparse por los temas cambiarios, tanto desde el punto de vista de la oferta (cambios en los precios de las materias primas importadas y en los costos de producción) como desde el de la demanda (cambio en la balanza comercial y los precios). Además, está claro que el banco central puede generar ciertos ruidos de política monetaria cuando interviene directamente en el mercado cambiario y viceversa.
Por tanto, el presente trabajo está orientado a determinar a través de un modelo de equilibrio general de corte neoclásico, que incluya la hoja de balance del banco central, cómo afecta una intervención de política monetaria en términos de tasa de interés (política monetaria convencional) a la volatilidad de la tasa de cambio y a la actividad económica; asimismo, cómo una acción directa sobre el mercado cambiario (política monetaria no convencional) genera consecuencias sobre el logro de los objetivos del banco en precios y producto. ¿Qué tanto afectan las intervenciones monetarias a la tasa de cambio, y cómo los movimientos de esta afectan la actividad económica?
Los resultados de los ejercicios propuestos muestran que un choque negativo de política monetaria convencional (un aumento de la tasa de interés) afecta negativamente el producto, disminuye la inflación y genera una reevaluación de la tasa de cambio. Al aplicar política monetaria no convencional, en términos de una disminución en las reservas internacionales, se presenta una reducción del producto y del empleo, se deteriora la balanza comercial y se producen efectos sobre los precios vía disminución del circulante, lo que está en concordancia con algunos autores citados en el estado del arte. Lo anterior evidencia que políticas monetarias convencionales y no convencionales tienen efectos sobre las principales variables de la economía.
La investigación se divide en las siguientes partes: una primera sección en donde se explica la importancia del tema y su relevancia en Colombia. En la segunda se realiza una recopilación de los diferentes autores que han abordado el tema a nivel nacional e internacional. En la tercera se explicita la modelación de hogares, inversionistas, empresas, sector financiero y comercializadores, y los balances de fondos de todos los agentes. La sección cuarta presenta los resultados de las simulaciones, y finalmente se presentan las conclusiones.
2. Estado del arte
Al estudiar en detalle la teoría económica en términos de los impactos de la política monetaria en la economía real, puede evidenciarse desde el análisis de los mecanismos de trasmisión que estos son un factor de condición para las autoridades monetarias a la hora de aplicar sus medidas y también de evaluar la eficacia que tienen las mismas. Actualmente los cambios en la política monetaria hacen especial hincapié en los efectos que causan los movimientos de la tasa de interés, actuando esta como instrumento fundamental de las políticas de inflación objetivo que hoy aplican algunos bancos centrales. Sin embargo, no es un secreto que en ocasiones se ha hecho necesario aplicar políticas desde el punto de vista cambiario para poder controlar, impulsar o frenar algunos efectos sobre la actividad económica y los precios.
Al respecto puede afirmarse que son varios los autores que han abordado el tema del impacto de las intervenciones de política monetaria combinadas con «acciones» desde el punto de vista cambiario por parte de los bancos centrales. En especial la preocupación de los mismos se ha reflejado en los efectos de la volatilidad de la tasa de cambio sobre la economía y sobre el logro de los objetivos de política monetaria teniendo en cuenta dicha volatilidad. En este orden de ideas, la literatura trata de explicar si los bancos centrales toman o no partido frente a los movimientos de la tasa de cambio.
Entre los estudios que analizan este tema se encuentran aquellos que enfatizan en el papel que el emisor desempeña a la hora de estudiar los movimientos de la tasa de cambio. Ejemplo de ello son los estudios de Ball (1999) y Svensson (2000) en dónde se afirma que los bancos centrales sí responden a dichos movimientos. Ball (1999) por ejemplo, estudia la efectividad que puede tener la política monetaria cuando la economía se abre. La investigación concluye que la política debe modificarse de manera importante, y que esta afecta la economía a través del canal de la tasa de interés y la tasa de cambio. El autor confirma que cuando se utiliza un objetivo de inflación de largo plazo, en combinación con alguna consideración de la tasa de cambio, se producen mejores niveles de producción, teniendo en cuenta que los movimientos de dicha tasa pueden generar algún cambio en la inflación doméstica (a través del precio de los importados), y es en este sentido que el banco central debe no solo preocuparse por la meta de inflación de largo plazo, sino también por los movimientos de la tasa de cambio.
Natalucci y Ravenna (2002) apoyan esta conclusión cuando encuentran que algunas economías de la zona euro se han preocupado por controlar el régimen de tipo de cambio porque esto tendrá un costo en términos de las volatilidades en el producto y la inflación sobre el ciclo económico. Las conclusiones de Roger, Restrepo y Garcia (2009) son similares. Para economías emergentes, controlar el tipo de cambio genera beneficios sobre las fluctuaciones de la actividad económica principalmente cuando se estudian economías vulnerables en términos financieros. Asimismo, Morón y Winkelried (2005) encuentran que aunque la tasa de cambio no puede ser considerada como una meta de política monetaria de largo plazo, puesto que la política monetaria no puede influir sobre una variable real en este espacio de tiempo, en el corto plazo una apreciación o depreciación podría ser efectiva sobre la actividad económica de las economías financieramente vulnerables.
Es aquí donde puede decirse que la presión desde el punto de vista financiero se vuelve un factor clave a la hora de analizar los temas de política monetaria. En este sentido, Curdia y Woodford (2011) analizan la reciente crisis financiera de 2008 en EE. UU. y sugieren que es necesario analizar por parte de los bancos centrales el hecho de que la tasa de interés nominal no es el único instrumento de política monetaria que debe llevarse toda la atención. Es también importante que la autoridad monetaria preste atención al tamaño de la hoja de balance, puesto que en esta hay diferentes componentes que desde la política no convencional pueden afectar de manera importante la economía a través de los mecanismos de transmisión.
Lo anterior se refiere específicamente a la variación en las reservas del banco central que pueden convertirse en un instrumento de política monetaria, precisamente por el particular crecimiento que estas presentan en algunas economías desde los recientes acontecimientos financieros, y de esta manera tienen influencia directa sobre la economía en conjunto. Curdia y Woodford (2011) formulan un modelo en donde se incluyen variaciones en el tamaño y la composición de la hoja de balance y la tasa de interés pagada en reservas, y encuentran que cuando los bancos centrales realizan «flexibilización cuantitativa» (el principal instrumento de política monetaria deja de ser la tasa de interés para darle paso a la variación de reservas o en algunas ocasiones la base monetaria) los cambios son importantes, aunque no son efectivos en todo momento.
Vargas, González y Rodríguez (2013) hacen también importantes apreciaciones al respecto. Sugieren que en una economía en donde la política monetaria opere bajo metas de inflación, una intervención esterilizada en el mercado cambiario tendrá efectos no solo en el mercado de divisas, sino también sobre la demanda agregada y la oferta de crédito. Sin embargo, Vargas et al. (2013) sugieren que los efectos serán significativos siempre que el canal de portafolio en la economía sea activo. Asimilares conclusiones llegan Ostry, Ghosh y Chamon (2012) cuando afirman que, en economías emergentes, los bancos centrales han optado por la «combinación» de metas de inflación y flotación administrada de la tasa de cambio, contribuyendo de esta manera al logro del objetivo primario de la política monetaria.
La entrada de capitales financieros a las economías es otro tema que genera algunos efectos sobre las mismas. Lo anterior se suma a que estas entradas pueden generar cambios sobre las decisiones del banco central en términos de reservas. Benigno y Fornaro (2012) explican al respecto que puede comprobarse que los países que crecen más rápido tienen asociadas mayor acumulación de reservas internacionales y reciben mayores niveles de entradas de capital. Los autores utilizan la acumulación de reservas para generar efectos sobre la liquidez de los agentes privados y el crecimiento del sector transable en los períodos de estrés financiero, creando de esta manera un lazo entre las decisiones de la autoridad monetaria en términos de reservas, el sector externo y el crecimiento de la actividad económica, y encuentran que en la medida en que se manejen de manera óptima las reservas, se generarán mayores tasas de crecimiento y superávit en la cuenta corriente en comparación con economías que no ejecuten este tipo de políticas.
En esta dirección, trabajos como los de Clarida, Galí y Gertler (1998) y Calvo y Reinhart (2002) abordan el problema de incorporar las decisiones cambiarias en las funciones de reacción de política para economías desarrolladas y emergentes. Allí se encuentra que la volatilidad de la tasa de cambio genera problemas tanto a los bancos centrales en su hoja de balance como a los intermediarios financieros, por lo que se concluye que hay algunos bancos centrales con «miedo a flotar».
De manera opuesta, otros estudios afirman que la tasa de cambio no desempeña ningún papel en una regla de política monetaria óptima. Uno de los trabajos más relevantes en este sentido es el de Clarida, Galí y Gertler (2001) quienes afirman que cuando existe una trasmisión completa de tasa de cambio a la economía, los bancos centrales deben tener una meta de inflación doméstica y permitir los movimientos de la tasa de cambio a pesar del impacto que esta variabilidad tenga sobre la inflación. En este sentido, Lubik y Schorfheide (2007) afirman que ante variaciones de la tasa de cambio, algunos bancos no alteran su objetivo de tasa de interés. Este hecho puede comprobarse en Australia, Nueva Zelanda y Reino Unido. No obstante, lo anterior sugiere que aunque algunos bancos centrales no se preocupen por la tasa de cambio, en algunos casos esta variable sí proporciona información en términos de la demanda futura que serviría para la toma de decisiones en la economía.
3. El modelo
Las versiones más simples de modelos de equilibrio general dinámico estocástico suponen la identidad entre hogares e inversionistas. Por ello, incluyen en el problema de decisión de los hogares las decisiones de inversión, omitiendo de paso la modelación del «sector financiero», que intermedia recursos entre ahorradores e inversionistas. Pero gran parte de la complejidad de las economías modernas resulta, precisamente, del ajuste de ahorro e inversión, y del papel que en dicho ajuste cumple el sector financiero. En esta parte se aborda, por ello, la construcción de un modelo simple en el que, sin embargo, las decisiones de ahorro e inversión son independientes, y en el que hay lugar para modelar las especificidades del sector financiero.
El modelo analiza una economía sencilla, en la que se producen bienes diferenciados para consumo doméstico o exportaciones. En la producción de dichos bienes interviene un continuo de empresas productivas, que contrata 2 tipos de factores: trabajo y capital. Estos factores son provistos, el primero, por los hogares, y el segundo, por agentes inversionistas, neutrales al riesgo, que maximizan el valor presente neto de sus rentas, obtenidas del arriendo a las empresas de su stock de capital, dado el costo de inversión en que incurren para acumular dicho stock. Un continuo de hogares decide su oferta óptima de trabajo, y su consumo presente y futuro óptimos, determinando así el ahorro que realizan. El ahorro es depositado en entidades financieras, que proveen de recursos a los agentes inversionistas, deseosos de acumular capital. El consumo de los hogares se distribuye entre bienes nacionales y bienes importados, que son aportados por un continuo de comercializadores, que los adquiere en el mercado nacional o en mercados externos, minimizando el gasto que realizan en ellos.
El gobierno recauda impuestos directos de los hogares, impuestos indirectos (impuestos al valor agregado, causados tanto sobre las ventas domésticas como sobre la importaciones) y aranceles, y utiliza sus fondos para ejecutar un programa de gasto público, cuya cuantía puede no obstante diferir de las rentas, afectando el nivel de endeudamiento público, contraído exclusivamente con prestatarios externos. El cierre macroeconómico involucra 3 mercados: el ahorro se equilibra con la inversión, a través de la tasa de interés; el ingreso y el gasto público se equilibran a través de endeudamiento público externo; y la cuenta corriente de la balanza de pagos se equilibra con transferencias exógenas a los hogares y flujos de endeudamiento públicos, a través de la tasa de cambio.
Así pues, el modelo cuenta con 4 grupos de agentes optimizadores, y tres3 agentes neutrales, que gestionan flujos de fondos. Los agentes optimizadores son los hogares, las empresas, los comercializadores y los inversionistas1. Los primeros deciden acerca de consumo, ahorro y oferta de trabajo; los segundos, acerca del empleo de factores y el destino de la producción (maximizando la renta que obtienen de exportaciones y ventas domésticas, dado el empleo de factores productivos); los terceros, acerca de la mezcla óptima de importaciones y bienes domésticos, con la que atenderán la demanda de consumidores y gobierno; y los últimos, determinando el stock óptimo de capital, que ofrecen a las empresas. Los agentes neutrales que gestionan fondos son el sector financiero, que intermedia recursos entre hogares e inversionistas; el gobierno, que recauda impuestos y gestiona gasto público2 y el banco central que maneja un portafolio de reservas y ofrece dinero en la economía, y define la tasa de interés que los inversionistas involucran en sus decisiones de inversión
Las decisiones de los hogares, las empresas y los comercializadores se modelan de manera convencional: los hogares maximizan el valor presente neto de su utilidad, eligiendo consumo, ocio y depósitos en el sistema financiero. Las empresas minimizan costos (eligiendo el nivel de empleo de trabajo y capital) y maximizan su renta, dada la frontera de posibilidades de producción que es alcanzable con el empleo de factores; los comercializadores minimizan el costo de la canasta de bienes domésticos e importados3, con la que atienden la demanda interna. El problema de los inversionistas, que ha recibió menor atención en la modelación habitual, se abordar a partir del modelo neoclásico de inversión, cuya formulación básica se remonta a Hayashi (1982), y de acuerdo a la cual la decisión de inversión es una decisión optimizadora, que compromete recursos en el presente para obtener rentas futuras. Los inversionistas determinan el stock óptimo de capital que maximiza su flujo de fondos, compuesto por 2 elementos: los ingresos obtenidos del capital instalado y los gastos necesarios para instalarlo.
Técnicamente, el problema no tiene solución si se considera que los inversionistas son neutrales al riesgo, y se aceptan 2 supuestos habituales en la modelación: el supuesto de competencia perfecta y el supuesto de rendimientos constantes a escala. En ese caso, cualquier nivel óptimo de capital puede ser expandido al infinito, ya que es posible duplicar la renta del capital, duplicando el producto (con precios dados) con solo doblar el capital. Así que si la ganancia es positiva, se podrá hacer infinita; o si es cero, no estará acotado el stock óptimo de capital. Por ello, modelar adecuadamente la inversión requerirá, o bien incorporar la aversión al riesgo, o bien eliminar los supuestos de competencia o de rendimientos a escala.
Lo primero se hace habitualmente, cuando se asigna la decisión de inversión a los hogares, que incorporan aversión al riesgo en su función de utilidad, pero a costa (como se señaló) del realismo y la aplicabilidad del modelo. Lo segundo, por su parte, podría hacerse, eliminando por ejemplo el supuesto de competencia perfecta, y vinculando la decisión de inversión a un modelo de competencia monopolística, como el de Dixit y Stiglitz (1975), que introduciría la concavidad requerida en la renta derivada de la inversión. Pero la solución más corriente en la literatura es la sugerida por Hayashi (1982), que en lugar de introducir concavidades en la renta, introduce convexidades en la inversión misma, a través de costos de ajuste. El agente inversionista puede ser neutral al riesgo (medir su ganancia en términos monetarios); la renta puede ser lineal (multiplicar el capital multiplica en igual proporción la renta, porque acrecienta al producto al mismo precio); pero el incremento del capital, en este caso, tiene un costo creciente, asociado a los costos de ajuste de su stock.
3.1. El modelo básico
El modelo considera 7 instituciones internas (hogares, inversionistas, sistema financiero, empresas, comercializadores, gobierno y banco central) y 2 externas (resto del mundo y sistema bancario internacional), cuyos flujos deben modelarse exhaustivamente, a fin de garantizar la consistencia contable del modelo y el cumplimiento de la Ley de Walras. Lo modelación de flujos implica dedicar alguna atención a los stocks de activos en el modelo.
Se consideran 2 tipos de activos: el capital físico (en manos de los inversionistas) y los activos financieros (en manos de los hogares). Los hogares acumulan una riqueza neta, denominada en activos del sistema financiero (bonos, en adelante) cuyo nivel óptimo definen cuando maximizan su utilidad intertemporal. En cuanto a los inversionistas, perciben las rentas del capital existente, y deciden acumular capital, hasta el punto en el cual maximizan el flujo futuro de ganancias. Emplean sus rentas netas de capital para financiar dicha inversión, y recurren al sistema financiero para cubrir la financiación restante, a la tasa de mercado
El sistema financiero emite bonos que los hogares compran, y utiliza los fondos para financiar la inversión que realizan los inversionistas. La operación es neutral, en el sentido de que toda captación es colocada (y toda renta generada es pagada a los tenedores de bonos) de forma tal que la tasa de interés «clarifica» ese mercado.
A continuación se describe la conducta óptima de los agentes:
3.1.1. La conducta de los hogares4
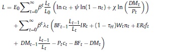
La decisión de los hogares (modelada mediante un «hogar representativo»5) es una decisión intertemporal, que resuelve simultáneamente la cantidad consumida, la oferta de trabajo y el stock de activos financieros que el consumidor desea poseer. El «hogar representativo» recibe rentas de trabajo6, rentas financieras y remesas del exterior. La restricción presupuestaria no incluye rentas de capital, porque se asume que estas son apropiadas completamente por los inversionistas, que sin embargo, deben pagar rentas financieras al sector bancario7.
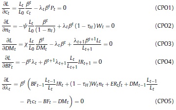
Los hogares maximizan la función de utilidad intertemporal agregada de los consumidores

Sujeto a la restricción presupuestaria:

Donde: nt: oferta de trabajo per cápita del período t; ct: consumo per cápita del período t; Pt: precio de los bienes consumidos; Lt: población en el período t; β, ψ, χ: la tasa de descuento subjetiva y los parámetros de preferencia por el ocio y los saldos reales en la función de utilidad; BFt: stock nominal de activos financieros per cápita; IRi: tasa bruta de rendimiento nominal en el mercado financiero; Wt: salario nominal; τH: tasa impositiva aplicable a los hogares8; ERt: tasa de cambio nominal; ƒt: remesas exógenas per cápita del exterior; DMt: saldo nominal de dinero per cápita.
La relación consumo-ocio queda definida por:

La demanda de saldos reales (dmt) viene dada por:

La ecuación de Euler expresada en términos de la tasa de inflación πt) es:

Y la restricción presupuestaria:

Donde: θ =
es la tasa bruta de crecimiento de la población, y bf el stock real de activos financieros per cápita.
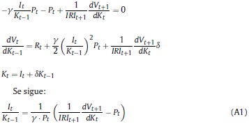
3.1.2. La conducta de los inversionistas
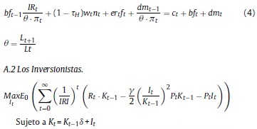
Los inversionistas maximizan el valor presente neto de sus rentas, dados costos cuadráticos de ajuste y rentas proporcionales del capital (Hayashi, 1982)9:
El problema es:

Sujeto a Kt = Kt-1δ + It
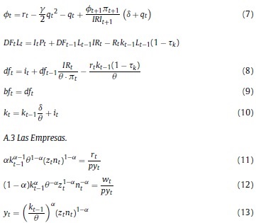
Donde Rt, γ, Pt, δ son respectivamente, la renta al capital, la constante del costo de ajuste, el precio de los bienes de capital y la tasa bruta de depreciación, Kt es el capital, It la inversión privada, e IRI es la tasa bruta de interés, que depende de la tasa de intervención del banco central.
Aplicando el principio de optimalidad de Bellman, se deduce la tasa de inversión óptima (q) en términos de la productividad real del capital (φ), la tasa bruta de inflación y la tasa bruta de interés:

Donde:

Ahora bien, en el óptimo se debe cumplir:

La ecuación (7) define (de manera implícita) el valor de φ(r, IRI, q, β, δ).
El balance de flujos de los inversionistas está compuesto por las rentas de capital (netas de impuestos) y los desembolsos por intereses y pago de inversión. En términos reales y per cápita:

Donde tk es la tasa de impuesto a los inversionistas y dƒ es el saldo de deuda de los inversionistas.
El balance del sector financiero es:

Y la acumulación de capital es:

3.1.3. La conducta de las empresas
Hay un continuo de empresas (indexadas entre 0 y 1) en competencia perfecta, que minimizan costos.
Su problema es, en consecuencia:

Donde ct es el costo total de cada empresa; r, w los precios de los factores; y el producto; z la productividad; y a el parámetro de participación de la función Cobb-Douglas.
Las ecuaciones resultantes del proceso de minimización son:

J.A. Botero, N. Rendón González /Ensayos sobre Pol tica Económica 33 (2015) 4-17

Donde yt, pyt son respectivamente la producción y el precio relativo de la producción, respecto al numerario del sistema.
3.1.4. Comercio exterior
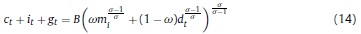
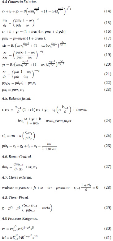
Los comercializadores minimizan el gasto necesario en bienes domésticos e importadores, para atender la demanda interna, dada la función CES de agregación. Las ecuaciones son:

Donde it es la inversión privada, gt es el gasto público y la inversión pública, mi son las importaciones, dt son las ventas domésticas, y σ, ω y B son, respectivamente, la elasticidad de sustitución, el parámetro de participación y el parámetro de escala de la función de agregación de importaciones y bienes domésticos.

Donde: pm, pd son, respectivamente, los precios de las importaciones y de los bienes domésticos, y:

Se define pwmt como precio externo de las importaciones y arant es la tasa arancelaria.
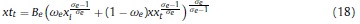
La demanda de exportaciones se deriva de la función CES del resto del mundo:

Donde xtt es el volumen de comercio mundial, xi son las exportaciones per cápita y xx las exportaciones de países competidores; y σe, ωe, Be los parámetros de sustitución, participación y escala de la función que agrega exportaciones del país con exportaciones de otros países.
La senda de expansión es:

Donde pwxt es el precio de las exportaciones (moneda extranjera) y pwt es el precio externo de los bienes que compiten con bienes nacionales.
La oferta de exportaciones se deriva de la frontera de posibilidades de producción CET:

Donde σd, ωd, Bd los parámetros de sustitución, participación y escala de la frontera de posibilidad de producción CET.
La senda de expansión es:

Donde pxt precio doméstico de las exportaciones.
Las ventas totales vienen dadas por:

Donde py es el precio agregado de la producción.
Y el precio de las exportaciones en moneda doméstica es:

3.1.5. El balance fiscal
El gobierno debe recaudar sus ingresos por medio de los impuestos que en este caso son directos, indirectos y aranceles. La destinación de estas rentas es el gasto público, pero además el gobierno debe financiar su déficit con crédito del exterior.

La deuda pública se define como st, el costo de endeudamiento público es rit, la tasa de impuesto a los hogares es τH y la tasa de impuestos indirectos es ivat.
El costo de endeudamiento externo dependerá de una prima de riesgo que a su vez está influido por el nivel de endeudamiento del país y se determina de la siguiente forma:

Donde:

3.1.6. Banco central
La oferta monetaria (que debe corresponder a la definición de activos totales menos pasivos no monetarios del banco central) evoluciona de acuerdo a:

Donde vrt es la variación de reservas internacionales.
3.1.7. Cierre externo
El equilibrio en el mercado de divisas se genera gracias al ajuste de la tasa de cambio vía demanda de divisas (a través de las importaciones) y oferta de divisas (a través de las exportaciones, las remesas que reciben las familias y el endeudamiento neto externo del gobierno):

3.1.8. Cierre fiscal
El gobierno ajusta su gasto, para mantener un nivel objetivo de endeudamiento:

Donde g0, gk y meta son el gasto público per cápita, el parámetro de ajuste del gasto público y la meta de endeudamiento público externo.
3.1.9. Procesos exógenos
En el modelo se simularon los siguientes choques en las variables de política:

En el anexo, en las tablas B4, B5.1, B5.2 y B5.3 se puede observar el valor de los parámetros calculados así como los valores de estado estacionario para las variables y de las raíces asociadas al sistema, verificando que se cumplen las condiciones Blanchard-Kahn, lo que permite asegurar que el modelo tiene una trayectoria convergente.
4. Mecanismos de transmisión de la política monetaria
Aunque el modelo es «neoclásico» (en el sentido de que los agentes operan como agentes optimizadores y los precios son flexibles), hay 2 características del mismo que afectan la neutralidad del dinero: la primera, la forma como operan las decisiones de inversión de los inversionistas; la segunda, los cierres del mercado de divisas y de las finanzas públicas.
En cuanto a la primera, los inversionistas incorporan en sus decisiones de inversión las expectativas de cambios en la tasa de interés que se generan a partir de la intervención de la autoridad monetaria. Cuando esta se produce, ajustan su nivel de inversión, no por la tasa de interés de equilibrio, sino por la tasa de interés esperada, dado el cambio en la tasa de intervención. Asumen que la tasa de interés de equilibrio se ajustará a la tasa de intervención, e incorporan ese cambio en sus decisiones corrientes de inversión. Si esta aumenta, incorporan de inmediato el cambio en sus expectativas, incluso antes de que este se haya transmitido a la tasa de interés del mercado.
Pero para efectos de los flujos del modelo, la tasa de interés relevante es la tasa de equilibrio del mercado. El costo de su financiación se define por esa tasa, que solo se ajusta gradualmente a la nueva situación. Los hogares, por su parte, reciben la renta correspondiente, porque ejercen los derechos de propiedad totales sobre las rentas del intermediario financiero, que se limita a ajustar la demanda y la oferta de fondos prestables.
En cuanto a lo segundo, el modelo opera así: el gobierno determina las tasas impositivas y su nivel de gasto, y financia su déficit en el mercado externo. El gasto público se determina mediante una regla fiscal simple: se ajusta gradualmente para mantener el endeudamiento público constante como proporción del PIB. En el corto plazo, los resultados fiscales se ajustan a través del mercado de capitales externo.
El mercado externo, por su parte, se ajusta por tasa de cambio (definida en el modelo como el precio de la divisa externa). La cuenta corriente de la balanza de pagos (exportaciones menos importaciones) se equilibra con la cuenta de capital, que incorpora 3 elementos: los flujos netos de capital, que van a los hogares; los flujos de financiación externa, que financian el resultado fiscal del gobierno; y la variación en reservas internacionales, que está definida por el banco central, y que determina la oferta monetaria. Hay pues implícita en el modelo una hoja de balance del banco central (en la que los activos son las reservas internacionales, y los pasivos la oferta monetaria); una hoja de balance del gobierno (que debe financiar en el mercado externo sus faltantes presupuestarios) y la hoja de balance del sector privado (que recibe, a través de los hogares, flujos de capital exógenamente determinados). La hoja de balance de los intermediarios financieros, por su parte, es simple: trasladan a los hogares las rentas totales que perciben de sus colocaciones.
5. Resultados del modelo
La modelación presentada anteriormente permitió calcular los efectos de un choque de política monetaria convencional y no convencional sobre las principales variables macroeconómicas. Este impacto se evaluó por medio de las funciones impulso respuesta a través de varios ejercicios: en primer lugar, se realizaron choques negativos de reservas internacionales equivalentes a un 1%. De manera similar, se simularon choques de tasa de interés en igual proporción. El análisis de los efectos de estos cambios de política se realiza sobre algunas variables de demanda y de oferta10.
5.1. Intervención en la tasa de interés
Cuando la autoridad monetaria incrementa la tasa de interés de intervención, los inversionistas se forman expectativas de incremento en la tasa de interés, y ajustan su demanda de inversión negativamente. La tasa de interés de mercado se incrementa gradualmente en respuesta a la señal del banco central. La inflación cae, por efecto de la menor demanda efectiva, tal como afirman Vargas et al. (2013).
La caída de la demanda efectiva afecta negativamente las importaciones, y produce en consecuencia una revaluación real. Nótese que no hay efectos sobre el flujo de capitales al sector privado, porque estos son exógenos, aunque sí hay efectos sobre la financiación pública, por los cambios en las rentas fiscales que se generan a causa de los cambios en la actividad económica. La caída de la demanda efectiva afectará negativamente las rentas fiscales, generando una demanda adicional de financiación del sector público, que refuerza el efecto sobre la tasa de cambio (fig. 1). En resumen: caen las importaciones (por efecto de la disminución de la demanda efectiva) y aumentan los flujos de capital al sector público (por efecto de la caída de los ingresos fiscales). Los resultados muestran un efecto importante de la intervención monetaria (los resultados en el horizonte de 4 períodos se reflejan en la tabla 1), que seguramente se atenuaría, si se utilizasen mecanismos de ajuste parcial en la decisión de los inversionistas.
5.2. Intervención en el mercado cambiario
El incremento en la oferta de divisas (generado por la desacumulación adicional de reservas internacionales) genera una reevaluación real de la tasa de cambio, que impulsa las importaciones y disminuye las exportaciones11. Ello genera una disminución del PIB real. Las rentas fiscales disminuyen, aumentando la necesidad de financiación externa. Así, el mecanismo de transmisión fundamental opera a través del mercado externo y la tasa de cambio, y se refuerza por efecto de la restricción presupuestaria del gobierno. Por otra parte, la desacumulación de reservas implica una disminución de la oferta monetaria, que se traduce en una disminución de la inflación (fig. 2). Los resultados en un horizonte de 4 períodos se exponen en la tabla 2.
6. Conclusiones
El objetivo de este artículo es entender cómo impactan las acciones de política monetaria convencional y no convencional en la economía en términos de actividad económica, inflación, comercio internacional y endeudamiento. En la construcción del modelo se enfatiza la importancia de incorporar las hojas de balance de los agentes relevantes, relacionándolas cuidadosamente con los flujos de fondos que se producen entre los agentes. Lo anterior se sustenta en la creciente literatura, que afirma que los bancos centrales deben preocuparse también por los cambios en su hoja de balance, que para este caso, se resumen en el hecho de que el banco central acumula reservas y de esta manera influye sobre la oferta monetaria.
Para evaluar los impactos de las diferentes políticas aplicadas, se simularon choques de tasa de interés y de reservas internacionales. Se encuentra que aumentos en la tasa de interés afectan negativamente la inversión y el producto, generan una apreciación de la tasa de cambio y una disminución de la inflación. Por su parte, los choques negativos a partir de la desacumulación de reservas internacionales generan una disminución de la inversión y del producto, reevaluación real de la tasa de cambio, aumento de la tasa de interés real y disminución de la inflación. Los resultados encontrados están en sintonía con los hallados por Clarida et al., 2001, Morón y Winkelried (2005), Roger et al. (2009) y Benigno y Fornaro (2012).
Estos resultados son importantes, porque se obtienen a partir de un modelo esencialmente neoclásico, en el que no se asumen inflexibilidad de precios y salarios, y en el que la no neutralidad del dinero depende básicamente de la formación de expectativas de los inversionistas y de los mecanismos de ajuste del mercado externo y del balance fiscal. Los efectos podrían ser mayores si se incorporasen otro tipo de inflexibilidades. Según estos resultados, se concluye que el banco central puede considerar la tasa de cambio, y específicamente la variación de las reservas internacionales, como uno de sus instrumentos relevantes a la hora de hacer política monetaria. En este sentido, el trabajo está acorde con las aportaciones de Ostry et al. (2012), en las que se afirma que en una economía con metas de inflación la intervención cambiaria es efectiva. Sin embargo, existen diferencias en cuanto a cómo opera la intervención puesto que la que se analiza en este trabajo es no esterilizada.
Ulteriores desarrollos deben abordar, además de rigideces de precios y salarios, la fundamentación microeconómica de la conducta de los intermediarios financieros y enriquecer el análisis de la hoja de balance del banco central, para incorporar otro tipo de activos y otro tipo de intervenciones no convencionales.
Conflicto de intereses
Los autores declaran no tener ningún conflicto de intereses.
Notas
1 En rigor, el modelo incluye otros grupos de agentes optimizadores: los comercializadores del exterior, que adquieren los bienes exportables del país, minimizando el gasto que realizan para atender las demandas del exterior con esos bienes o con bienes de otras proveniencias.
2 En rigor también, el modelo incluye el sector financiero externo, que provee fondos al gobierno, para equilibrar sus cuentas fiscales.
3 Los bienes domésticos y las importaciones no son sustitutos perfectos, así que su agregación debe modelarse mediante una función de agregación de isocuantas cóncavas.
4 Si el lector desea revisar las derivaciones completas del modelo, se encuentran en el anexo.
5 El problema se puede plantear también a partir de un continuo de hogares, indexado desde 0 a 1.
6 El modelo no hace explícito el tema de las contribuciones a la seguridad social y las prestaciones correspondientes, que quedan incluidas en los flujos de renta que los hogares tienen con los demás agentes económicos.
7 En las Cuentas Nacionales de Colombia, las rentas de capital (denominadas «excedente bruto de explotación») se distribuyen entre hogares, empresas y gobierno. A los hogares les corresponde, en el año 2010 de calibración del modelo, el 13,1% de las rentas; al gobierno el 3,2%, y a las empresas el 83,7%.
8 El modelo asume que la tasa impositiva de los hogares se aplica exclusivamente a las rentas de trabajo, e incluye los aportes a la seguridad social y aportes parafiscales. Las rentas de capital están gravadas en cabeza de los inversionistas. Ello es parcialmente cierto en Colombia, donde no se da doble tributación sobre dividendos, que representan el 49,2% de las rentas de propiedad de los hogares. Sin embargo, los rendimientos financieros y las rentas atribuibles a pólizas de seguros (que representan el 50,8% adicional) son deducibles para las empresas, pero gravados en cabeza de los receptores de esas rentas.
9 La proporcionalidad corresponde al caso de un empresario que minimiza costos en el corto plazo, tiene rendimientos constantes a escala y es tomador de precios.
10 Se muestran los resultados gráficos de los choques en el anexo.
11 La intervención analizada es una intervención no esterilizada. No se asume que se practiquen políticas compensatorias sobre la liquidez.
12 Ver Adda y Cooper (2003, p. 206).
13 Esta fundamentación se realiza con base en la presentación de Juan Pablo Zárate: «PIB potencial y coyuntura externa», realizada en octubre de 2014 en el Foro sobre Perspectivas Económicas y liquidez Global. La versión se puede revisar en la página del Banco de la República en la parte de publicaciones e investigación y la referencia exacta se incluye en la bibliografía de este trabajo (Zarate, 2014).
Bibliografia
Adda, J. y Cooper, R. (2003). Dynamic economics: Quantitative methods and applications. MIT Press. [ Links ]
Ball, L. (1999). Policy rules for open economies. In J. B. Taylor (Ed.), Monetary policy rules. Chicago: University of Chicago Press. [ Links ]
Benigno, G. y Fornaro, L. (2012). Reserve accumulation, growth and financial crises. C.E.P.R. Discussion Papers 9224. [ Links ]
Calvo, G. y Reinhart, C. (2002). Fear of floating. Quarterly Journal of Economics, 177, 379-408. [ Links ]
Clarida, R., Galí, J. y Gertler, M. (1998). Monetary policy rules in practice: Some international evidence. European Economic Review, 42,1033-1067. [ Links ]
Clarida, R., Galí, J. y Gertler, M. (2001). Optimal monetary policyin open vs. closed economies: An integrated approach. American Economic Review, 91(2), 248-252. [ Links ]
Curdia, V. y Woodford, M. (2011). The Central-Bank balance sheet as an instrument of monetary policy. Journal of Monetary Economics, 58, 54-79. [ Links ]
Dixit, A. y Stiglitz, J. (1975). Monopolistic competition and optimum product diversity. The Warwick Economics Research Paper Series (TWERPS) 64. University of Warwick, Department of Economics. [ Links ]
Gómez, J. (2006). La política monetaria en Colombia. Banco de la República, borrador 394. [ Links ]
Hayashi, F. (1982). Tobin's marginal q and average: A neoclasical interpretation, Discussion Papers 457, Northwestern University, Center of Mathematical Studies in Economics and Management Science. [ Links ]
Ho, C. y McCauley, R. (2003). Living with flexible exchange rates: Issues and recent experience in inflation targeting emerging market economies. BIS Working Papers 130, Bank for International Settlements. [ Links ]
Lubik, T. y Schorfheide, F. (2007). Do central banks respond to exchange rate movements? A structural investigation. Journal of Monetary Economics, 54(4), 1069-1087. May 2007. [ Links ]
Morón, E. y Winkelried, D. (2005). Monetary policy rules for financially vulnerable economies. Journal of Development Economics, 76, 25-51. [ Links ]
Mundell, R. (1963). Inflation and real interest. Journal of Political Economy. University of Chicago Press, 71, 280. [ Links ]
Natalucci, F. y Ravenna, F. (2002). The road to adopting the euro: Monetary policy and exchange rate regimes in EU candidate countries. International Finance Discussion. [ Links ]
Ostry, J., Ghosh, A. y Chamon, M. (2012). Two targets, two instruments: Monetary and exchange rate policies in emerging market economies. IMF Working Paper SDN/12/01. [ Links ]
Roger, S., Restrepo, J. y Garcia, C. (2009). Hybrid inflation targeting regimes. IMF Working Paper 09/324. (Washington: International Monetary Fund). [ Links ]
Svensson, L. (2000). Open-economy inflation targeting. Journal of International Economics, 50, 155-183. [ Links ]
Vargas, H., González, A. y Rodríguez, D. (2013). Foreing exchange intervention in Colombia. Borradores de Economía, Num 757. Banco de la República de Colombia. [ Links ]
Zarate, J. P. (2014). PIB potencial y coyuntura externa. Publicaciones e investigación Banco de la República. Disponible en: http://www.banrep.gov.co/es/presentaciones-exposiciones. [ Links ]
ANEXO.
A. El modelo.
A.1 Los hogares.
El Lagrangeano del problema es:
Las condiciones de primer orden que caracterizan la solución son:

De (CPO1) y (CPO2) se sigue:

En términos reales:

Reemplazando (CPO4) en (CPO2):

Y reemplazando (CPO1):

De donde:

De(CPO1)y(CPO4):

De (CPO5):

Que, expresado en términos reales, es:

De acuerdo con el principio de optimalidad de Bellman:

Las condiciones de primer orden, la derivada respecto al capital y la restricción conforman el siguiente sistema de ecuaciones:

Dada la proporcionalidad de la renta, una hipótesis posible sobre la función valor (V) es que tenga la forma12:

Reemplazando en la ecuación (A1):

Donde:

Ahora bien, en el óptimo se debe cumplir:

En términos reales:

También se puede expresar de la siguiente forma:


B. Calibración.
Para la calibración del modelo se ha elegido, dentro de los años para los cuales existen Cuentas Nacionales definitivas, el año 2010, en el que el crecimiento del PIB estuvo cercano al crecimiento estimado del PIB potencial en Colombia (fig. B1)13:
Así mismo, la inflación (3,17%) estuvo cercana a la meta fijada por el Banco Central, que fue para ese año el 3%, con un rango entre 2% y 4%. Si bien en rigor no puede afirmarse que la situación observada en 2010 corresponde al «estado estacionario», sí corresponde a una situación de operación que parece reflejar bien un funcionamiento típico de la misma. Por otra parte, se han presentado cambios importantes en los últimos años en el país, que han elevado en la segunda mitad de la década de los 2000 el crecimiento potencial de la economía, que ha pasado de niveles del orden del 2,5% en el período 2002-2004 al 4,4%. Ello refleja transformaciones importantes en las condiciones económicas, como lo ilustra el grupo de variables que se muestran en la tabla B1 de este anexo.
Esos cambios limitan la utilidad de usar series largas para determinar el estado estacionario, como lo pone de presente el cambio observado en los parámetros estructurales, que definen las condiciones de preferencias y de tecnología vigentes en la economía, y cuya evolución se relaciona en la tabla B2 de este anexo.
Asumiendo pues que los datos de 2010 reflejan las condiciones actuales de funcionamiento de la economía, la estrategia de calibración consiste en hacer que el modelo replique los flujos observados en dicho año, tal y como se resumen en la matriz de contabilidad social que sintetiza dichos flujos (tabla B3).
Para calibrar los parámetros se usaron las ecuaciones del modelo, así:
- De la ecuación 1, se obtiene el parámetro que valora el ocio como
. parte de la utilidad de los individuos: - De la ecuación 3(1= β · ir) se calcula β (factor de descuento de los hogares) derivado de la ecuación de Euler expresada en términos de la tasa de interés real.
- El parámetro de los saldos real(es en) la función de utilidad se deriva de la ecuación 2:

- El valor de la depreciación (8) se calcula a partir de la ecuación 10:

- En las funciones de importaciones y exportaciones, se asume un valor de la elasticidad de sustitución, y se calculan los parámetros de participación y de escala a partir de la senda de expansión y de la función de agregación. Las elasticidades adoptadas son: para la función de demanda de importaciones, 1,5; para la función de demanda de exportaciones, 3; y para la frontera de posibilidades de producción, -2. El primero y el último corresponden a ejercicios econométricos simples de estimación. El segundo refleja una alta elasticidad precio de la demanda de exportaciones.
C. Funciones Impulso Respuesta.



























