Services on Demand
Journal
Article
Indicators
-
Cited by SciELO -
Access statistics
Related links
-
Cited by Google -
Similars in
SciELO -
Similars in Google
Share
Universitas Humanística
Print version ISSN 0120-4807
univ.humanist. no.76 Bogotá July/Dec. 2013
La biotecnología y su paradoja del buen vivir1
Biotechnology and its Paradox of Good Living
Biotecnologia e seu paradoxo do bom viver
María Belén Albornoz2
FLACSO, Quito, Ecuador3
balbornoz@flacso.edu.ec
1Artículo de investigación científica y tecnológica. Este trabajo es parte de la investigación denominada "Análisis socio-técnico de la biotecnología en el Ecuador" ganadora de una beca FDA de FLACSO. La investigación se inició en septiembre de 2012 y está coordinada por María Belén Albornoz. Este artículo presenta unos primeros hallazgos sobre el tema.
2Magíster en Comunicación con mención en Políticas Públicas de Internet. FLACSO Doctora en Sociología de UNCUYO.
3Profesora titular de FLACSO Ecuador desde el 2006. Coordinadora del Programa de Estudios de la Comunicación desde el 2008 hasta el 2012 y actualmente profesora del Departamento de Asuntos Públicos.
Recibido: 23 de enero de 2013 Aceptado: 1 de abril de 2013
Resumen:
Este artículo pretende describir cómo la biotecnología se convierte en un punto de paso obligado dentro del nuevo modelo de desarrollo ecuatoriano y cómo esta contribuye a otorgarle sentido a la noción de buen vivir que rige la retórica política. Utilizando la Teoría Actor-Red, se busca mostrar las distancias que se mantienen entre el discurso político y las prácticas de biotecnología que se llevan a cabo en el país. Es de especial interés en el texto visibilizar las controversias que surgen entre un deber ser de la biotecnología -entendida como respuesta situada a problemas locales y cercana al buen vivir y la pacha mama- y una planificación que apuesta por la transferencia científica y tecnológica a través de modelos como aquellos propuestos por Corea del Sur con sus ciudades del conocimiento.
Palabras clave: Buen Vivir, Biotecnología, Política pública, Ciencia, Tecnología y sociedad, Teoría Actor-Red.
Palabras clave descriptores: Calidad de vida, Desarrollo sostenible, Tecno-ciencia.
Abstract:
This article aims to describe how biotechnology becomes an obligatory passage point in the new Ecuadorian development model and how this helps to give meaning to the notion of good living that governs political rhetoric. Using Actor-Network Theory, we intend to show the distances that are maintained between political discourse and practices of biotechnology that are carried out in the country. It is of particular interest to make visible the controversies that arise between the duty of biotechnology -seen as a response to local problems and close to good living and the Pacha Mama-, and planning committed to science and technology transfer through models such as those proposed by South Korea with their knowledge cities.
Keywords: Good Living, Biotechnology, Public Policy, Science, Technology and Society, Actor Network Theory.
Key words plus: Quality of Life, Sustainable development, Techno-science.
Resumo
Este artigo tem como objetivo descrever como é que a biotecnologia torna-se um ponto de passagem obrigatório no novo modelo de desenvolvimento do Equador e como isso contribui para dar sentido à noção do bom viver que rege a retórica política. Usando a Teoria Ator-Rede, procura-se mostrar as distâncias mantidas entre o discurso político e as práticas da biotecnologia que são realizadas no país. De particular interesse no texto é visibilizar as controvérsias que surgem entre o dever ser da biotecnologia -entendida como uma resposta aos problemas locais pertos do bom vivere da Pacha Mama- e o planejamento que faz aposta na transferência cientifica e tecnológica através de modelos como os propostos pela Coreia do Sul, com suas cidades do conhecimento.
Palavras-chave: Bom Viver, Biotecnologia, Política Pública, Ciência, Tecnologia e Sociedade, Teoria Ator-Rede.
Palavras-chave descritores: Antropologia Qualidade de vida, Desenvolvimento sustentável, Tecnociência.
Después de varias décadas de escasa planificación en ciencia y tecnología, el gobierno ecuatoriano ha iniciado un proceso de generación de política pública para estimular la producción científica a través de proyectos de becas y de impulso a sectores estratégicos como la biotecnología, la nanotecnología, la petroquímica, las energías renovables y las tecnologías de la información y de la comunicación (TIC). Este trabajo busca analizar cómo la biotecnología ha alcanzado un estatuto prioritario dentro de la política científica y por qué tiene como objetivo apoyar el cambio de la matriz productiva del Ecuador en las próximas décadas.
Con este trabajo esperamos contribuir al entendimiento de los procesos políticos y de planificación de la ciencia en América Latina con un estudio de caso que plantea claramente cómo seguimos aplicando el modelo lineal de desarrollo e imaginando la ciencia en su versión neutral y apolítica.
Utilizando la TAR para reconstruir la política científica y tecnológica
"Lo que creo que ha sido la contribución más útil de la teoría del actor-red es haber transformado lo social desde lo que era una superficie, un territorio, una provincia de la realidad en una circulación". (Latour, 1999, p. 19)
La Teoría del Actor-Red (TAR) es una teoría de las asociaciones, de fluidos y de la circulación de actores en situación de convivencia y pone en evidencia los mecanismos de relación a través de los cuales los actores negocian con otros actores, es decir las formas en que construyen sus colectivos (Callon y Law, 1998). En vez de realizar un análisis lineal de las políticas científicas para explicar de qué manera la biotecnología se instala como sector estratégico, con la TAR se busca reconstruir las asociaciones entre actores (humanos y no humanos) utilizando su principio de simetría general (Latour, 2007). Ello nos permite no solo explicar las asociaciones de la política tecnológica a la noción del buen vivir, sino también comprender sus controversias en los distintos ciclos de la política pública.
La TAR ofrece la posibilidad de explicar cómo funciona el poder en dimensiones donde se lo considera ausente al reconocer el papel del poder (empowerment) para la acción (Brunn y Hukkinen, 2008). Los actores pueden ser "cualquier elemento que reorganiza el espacio alrededor suyo, hacen que los otros dependan de él y traducen su voluntad en un lenguaje propio" (Callon y Latour, 1981, p. 286). Al evitar adoptar los conceptos de sociedad y naturaleza como principios explicativos (Callon, 1987) se puede visibilizar la agencia de los actores no humanos dentro de redes de asociaciones, y con ello, describir los procesos de planificación del Estado donde la biotecnología se va consolidando como punto de paso obligado en la política científica.
En este trabajo se empieza utilizando la TAR para seguir las huellas que dejan los actores en sus asociaciones. La ventaja de usar este marco teórico-metodológico es que permite incluir las agencias como parte de la explicación y a su vez muestra cómo estas inciden de algún modo en el estado de las cosas (Law, 1998). Puesto que una agencia siempre estará acompañada del relato de su acción y siempre dejará huellas observables en las inscripciones que realice, las redes solo pueden ser tejidas a través de operaciones de traducción en las que se inscriben las agencias, las mediaciones y las intermediaciones.
La TAR, a diferencia de las teorías sociológicas generales, propone incluir la agencia de los actores no humanos, pero además se niega a adoptar un punto de vista privilegiado sobre su objeto de conocimiento (Latour, 2005). Seguir las huellas de los actores y dejar que ellos nos cuenten la historia está en la base de la TAR, por ello se rastrean las relaciones entre el buen vivir y la biotecnología desde los instrumentos de política pública, las instituciones y las prácticas a partir de la Constitución de la República del 2008, pues es a partir de este hito histórico que la institucionalidad del país se transforma y los procesos de planificación de política se alinean al sumak kawsay.
Construyendo la red
Puesto que los actores humanos y no humanos que están insertos en el guión actor-red no son fuentes de acción en sí mismos sino blancos móviles de una enorme cantidad de entidades que convergen hacia ellos (Latour, 2005), reconocemos la agencia de los instrumentos de política, al igual que de las instituciones y de los tomadores de decisión, tomando como referencia la acción y no la intencionalidad. La sociología de lo social ha considerado que solo los humanos tienen la capacidad de actuar por sí mismos, por tanto están dotados de agencia, mientras que los no-humanos carecen de ella.
Para la TAR, la agencia tiene que ver con la acción, con la capacidad de generar un efecto de relación o un valor de significación del que son capaces humanos y no humanos (Callon, 1986); puesto que la intencionalidad y la acción propositiva no son propiedades de los objetos, pero tampoco lo son necesariamente de los humanos (Latour, 1988). Del mismo modo, los intermediarios pueden convertirse en actores siempre y cuando tengan la capacidad de poner en circulación a otros intermediarios (alinear y coordinar a otros). Para Callon existen tres tipos de intermediarios: los textos, los artefactos tecnológicos y los seres humanos y sus habilidades (2008).
La red de asociaciones que se produce en torno a la biotecnología se inicia con un intermediario: La Constitución ecuatoriana. Este instrumento legal transporta la noción del buen vivir y propone las bases sobre las cuales se debe llevar a cabo la investigación biotecnológica en el país. El texto constitucional permite la construcción de destinos vinculados entre estos actores (la Secretaría Nacional de Planificación y Desarrollo, SENPLADES, la Secretaría Nacional de Educación Superior, Ciencia, Tecnología e Innovación, SENESCYT, y la Ciudad del Conocimiento, YACHAY), colocando primero la noción del buen vivir como un eje fundador de política y planificación y segundo, incorporando retos y límites a la biotecnología para servir al principio del sumak kawsay.
Es así, que en la red de la biotecnología y el buen vivir se encuentran varios textos normativos y de política pública que conjuntamente con varias secretarías de planificación nacional, equipos técnicos y el proyecto de la ciudad del conocimiento del Ecuador, conforman el primer grupo de asociaciones de esta red.
Para comprender las controversias que la planificación sobre la biotecnología presenta, es fundamental reconocer los rastros que dejan los actores y los intermediarios que intervienen en las relaciones que los actores mantienen. La Constitución sienta las bases del buen vivir que son recogidas por la SENPLADES, institución encargada de establecer los objetivos, políticas estratégicas e inversión pública del Sistema Nacional Descentralizado de Planificación Participativa. A su vez, la SENPLADES genera el instrumento de planificación más importante de esta administración gubernamental: el Plan Nacional del Buen vivir 2009-2013 (PNBV). Y es en el PNBV donde se define el buen vivir y donde se establece a la biotecnología como una nueva estrategia de acumulación y re-distribución a largo plazo.
El Plan empieza entonces a alinear y coordinar a otros actores y se convierte en el eje fundamental de la planificación ecuatoriana. Del mismo modo empieza a traducir una retórica que permea la producción de políticas públicas para alcanzar un nuevo orden de las cosas. Dicho en términos de Latour (1998), traduce para crear un lazo que antes no existía y que modifica a los agentes y a los elementos para crear un punto de paso obligado que logra imponer a otros la solución a un problema (Callon, 1986).
Las relaciones que establece el Plan con su red de mediadores e intermediarios muestra la agencia de los actores que ayudan a comprender, en el mediano plazo, cómo la biotecnología adquiere un estatuto prioritario en la política científica direccionada por SENPLADES y SENESCYT, diseñada por la política científica y tecnológica y aplicada en el proyecto de la ciudad del conocimiento YACHAY.

Para comprender las relaciones entre biotecnología y buen vivir vamos a describir a continuación las inscripciones que los actores e intermediarios producen y puesto que todos los actores, grupos e intermediarios tienen la capacidad de describir una red, se mostrarán estas descripciones para analizar la naturaleza y las formas de relación que los unen.
El buen vivir y el modelo de desarrollo
La noción del buen vivir se inscribe en la Constitución ecuatoriana del 2008 como un principio transversal del proyecto político que la inspira En su preámbulo se indica que: "Decidimos construir una nueva forma de convivencia ciudadana, en diversidad y armonía con la naturaleza, para alcanzar el buen vivir, el sumak kawsay" (Constitución del Ecuador, 2008, p. 13). Este principio es desarrollado luego de forma más explícita en el Plan Nacional del Buen Vivir 2009-2013 (PNBV) donde se lo define como:
Un concepto complejo, no lineal, históricamente construido y en constante re-significación. El Buen Vivir es la satisfacción de las necesidades, la consecución de una calidad de vida y muerte digna, el amar y ser amado, y el florecimiento saludable de todos y todas, en paz y armonía con la naturaleza y la prolongación indefinida de las culturas humanas. El Buen Vivir presupone tener tiempo libre para la contemplación y la emancipación y, que las libertades, oportunidades, capacidades y potencialidades reales de los individuos se amplíen y florezcan de modo que permitan lograr simultáneamente aquello que la sociedad, los territorios, las diversas identidades colectivas y cada uno -visto como un ser humano universal y particular a la vez- valora como objetivo de vida deseable (tanto material como subjetivamente y sin producir ningún tipo de dominación a otro). Nuestro concepto de Buen Vivir nos obliga a reconstruir lo público para reconocernos, comprendernos y valorarnos unos a otros -entre diversos pero iguales- a fin de que prospere la posibilidad de reciprocidad y mutuo reconocimiento, y con ello posibilitar la autorrealización y la construcción de un porvenir social compartido. (Ramírez, 2008, p. 387; Plan Nacional del Buen Vivir, 2009-2013, p. 6)
El buen vivir se convierte en el eje rector de la planificación estatal y propone unos desafíos técnicos y políticos específicos que, según el Plan Nacional del Buen Vivir, implican una ruptura conceptual con una noción de desarrollo ortodoxa y los valores del Consenso de Washington. A través del buen vivir se busca un nuevo paradigma cuyo fin:
[...] no sea los procesos de acumulación material, mecanicista e interminable de bienes, sino que promueva una estrategia económica incluyente, sostenible y democrática; es decir, que incorpore a los procesos de acumulación y redistribución a los actores que históricamente han sido excluidos de las lógicas del mercado capitalista, así como a aquellas formas de producción y reproducción que se fundamentan en principios diferentes a dicha lógica de mercado". (Plan Nacional del Buen Vivir, 2009-2013, p. 6)
Y se plantea también el objetivo de establecer un sistema económico social, solidario y sostenible.
Del mismo modo, se reivindican posiciones para revisar y reinterpretar las relaciones entre la naturaleza y los seres humanos, donde se propone "que la actividad humana realice un uso de los recursos naturales adaptado a la generación (regeneración) natural de los mismos" (Plan Nacional del Buen Vivir, 2009-2013, p. 6). Para ello se propone el cambio de la matriz energética, la sostenibilidad, conservación y conocimiento del patrimonio natural, y la inversión para el buen vivir dentro de un marco de macroeconomía sostenible. Asimismo se establece el objetivo de "Garantizar los derechos de la naturaleza y promover un ambiente sano y sustentable" (Plan Nacional del Buen Vivir, 2009-2013, p. 7).
Con el gobierno del presidente Rafael Correa el Estado asume un rol protagónico en la planificación del país, con SENPLADES como institución encargada de la planificación y del diseño de política pública que debe guiar el proceso de cambio hacia un Estado al centro de la política. En su principal instrumento de planificación, es en el Plan Nacional del Buen Vivir 2009-2013, donde encontramos las pistas para reconstruir la controversia entre el buen vivir y la biotecnología como sector estratégico de desarrollo.
Aparición de la biotecnología como área prioritaria
En la Política Nacional de Ciencia, Tecnología e Innovación del Ecuador 2007-2010 diseñada por la SENESCYT, la biotecnología surge como política prioritaria y componente estratégico del sistema nacional. Se la concibe como un medio para contribuir al bienestar de la población y se enfatiza que el desarrollo biotecnológico es capaz de promover productos que respondan a las necesidades del sector productivo y de la sociedad como:
[...] rendimiento superior en los cultivos, reducción de pesticidas, ingeniería de alimentos, mejora en la nutrición, desarrollo de nuevos componentes para materiales, antibióticos, preservación de la vida, bio-remediación ambiental, biocombustibles, etc., en los campos de bioinformática, ciencias ómicas, biotecnología ambiental, selección artificial, terapia genética y celular e ingeniería genética apoyado en principios bioéticos de respeto a la vida en todas sus manifestaciones. (Política Nacional de Ciencia, Tecnología e Innovación 2007-2010. pp. 9-10)
Poco tiempo después, la biotecnología aparece en la Constitución del 2008 ligada a tres campos específicos: la soberanía alimentaria, la biodiversidad y la bioseguridad. Con ello, la biotecnología va adquiriendo un campo de acción más concreto en el que es necesario generar tecnologías e innovaciones encargadas de impulsar la producción nacional, elevar la eficiencia y la productividad y mejorar la calidad de vida de los ciudadanos para contribuir a la realización del buen f¿f¿r(Constitución de la República del Ecuador, 2008, art. 385).
En el 2008 se vincula con más fuerza la biodiversidad y la bioseguridad en términos normativos y se declara, por ejemplo, que el Ecuador no permitirá el ingreso de semillas y cultivos transgénicos. La seguridad alimentaria entra a formar parte de una versión de la biotecnología que empieza a ser regulada por distintos instrumentos de política pública4, empezando por la propia Constitución de la República. Por ejemplo, en su artículo 401 se indica que
El Estado regulará bajo estrictas normas de bioseguridad, el uso y el desarrollo de la biotecnología moderna y sus productos, así como su experimentación, uso y comercialización. Se prohibe la aplicación de biotecnologías riesgosas o experimentales. (Constitución de la República del Ecuador, 2008, art. 385)
Del mismo modo, se plantea en términos constitucionales el desarrollo de la investigación científica y la innovación tecnológica de forma que garantice la soberanía alimentaria. En su artículo 57, numeral 12, se propone "regular bajo normas de bioseguridad el uso y desarrollo de biotecnología, así como su experimentación, uso y comercialización" (Constitución de la República del Ecuador, 2008). También busca proteger los conocimientos colectivos de las comunidades y pueblos, en particular sus ciencias, tecnologías y saberes ancestrales y sus recursos genéticos (diversidad biológica y la agro biodiversidad) (Constitución de la República del Ecuador, 2008).
El Plan Nacional del Buen Vivir 2009-2013 incorpora a la biotecnología dentro de las fases de la nueva estrategia de acumulación y re-distribución a largo plazo. El valor de la biotecnología está ligado a la ventaja competitiva que le ofrece al país su biodiversidad, razón por la cual debe ser aprovechada a través de su conservación y de la construcción de industrias de biotecnología y nanotecnología.
En este sentido, la estrategia está orientada a construir en el mediano y largo plazo una sociedad del bio-conocimiento y de servicios eco-turísticos comunitarios. A diferencia de las perspectivas ortodoxas de crecimiento, esta estrategia incorpora al conocimiento, el diálogo de saberes, la información, la ciencia, la tecnología y la innovación como variables endógenas al sistema productivo. (Plan Nacional del Buen Vivir, 2009-2013, p. 56)
Según este Plan, el estímulo a la biotecnología se asienta fundamentalmente en las características de biodiversidad que tiene el país y el conocimiento que proviene de saberes ancestrales. Se hace mención a que más de dos tercios de las especies vegetales del mundo son originales de los países periféricos y semi-periféricos y, que más de 7.000 compuestos medicinales utilizados en la medicina occidental son derivados del conocimiento de plantas. Con lo que se concluye, citando a Boaventura de Sousa Santos, que en el siglo XX:
[...] las comunidades han contribuido significativamente a la agricultura industrial, a la industria farmacéutica y a la industria biotecnológica (...) Las multinacionales farmacéuticas, alimenticias y biotecnológicas se han apropiado de los conocimientos de nuestros pueblos con una inexistente o mínima contrapartida, procesando luego estas sustancias y patentando los procesos y al mismo tiempo los productos que a partir de ellas lanzan al mercado (de Sousa Santos, 2003, p. 146. Citado en el Plan Nacional del Buen Vivir 2009-2013, p. 56).
La biotecnología como punto de paso obligado
Cuando varios actores empiezan a disputar su visión sobre la realidad en un proceso de política pública, algunos de ellos empiezan a traducir su versión, controlando a otros dentro de un complejo proceso de interacciones (Law, 1998). Este proceso de traducción tiene como propósito crear un punto de paso obligado para los demás, donde un actor es capaz de obligar a otros a recorrer unos canales particulares y de obstruir otras posibilidades, imponiéndose de este modo sobre los demás actores (Callon, 1986).
El Plan Nacional del Buen Vivir 2009-2013 desplaza un programa de acción preexistente hacia un nuevo programa, imponiendo una relación entre la política y el buen uiuir que permea la planificación estatal. Igualmente ubica a la biotecnología dentro la estrategia de acumulación y re-distribución en el largo plazo, convirtiéndola en un punto de paso obligado revestida de unas determinadas características.
Una vez que la biotecnología es definida como área prioritaria, una serie de políticas públicas empiezan a ser organizadas en relación a ella. Por primera vez el Ecuador prioriza las ciencias de la vida, y en especial la biotecnología, dentro de su política de becas internacionales5 propuesta por la SENESCYT. De igual modo, se estimula la formación de redes de conocimiento {El Comercio, 2012, octubre 5) sobre biotecnología dentro del proyecto PROMETEO6 destinado a atraer científicos internacionales y ecuatorianos que trabajan en el exterior a estancias de investigación y docencia en el Ecuador.
Por otra parte, la biotecnología aparece como un área estratégica dentro del proyecto de ciudad del conocimiento YACHAY, que se auto-define como "un eco-sistema planificado de innovación tecnológica y de negocios donde se combinan las mejores ideas, talento humano e infraestructura de punta, que generan las aplicaciones científicas de nivel mundial necesarias para alcanzar el buen vivir"7. Se trata del proyecto emblemático de la SENESCYT que busca apuntalar académicamente las siguientes áreas: Petroquímica, TIC, Energía renovable y cambio climático, Ciencias de la vida, Nanociencia y Nanotecnología.
YACHAY albergará a la primera Universidad de Investigación en Tecnología Experimental del Ecuador. Los programas que la Universidad ofertará son un pregrado en nanotecnología y otro en biología molecular y genética, una maestría en neurociencias aplicadas a las TIC y otra en nanomedicina, así como un doctorado en bioingeniería. La política de ciencia, tecnología e innovación diseñada por la SENESCYT pone en el centro a la biotecnología en sus diversos proyectos y programas, y se le otorga un estatuto prioritario dentro de la política científica, convirtiéndola en un punto de paso obligado dentro del nuevo modelo de planificación estatal. Sin embargo, el énfasis en la biotecnología y su relación con el buen vivir no deja de tener escollos que resolver.
La Paradoja de la biotecnología
Los problemas que encontramos entre la asociación biotecnología y buen vivir se establecen en dos planos, el del discurso y el de las prácticas. Dentro del discurso de la política pública se intenta mantener una alta coherencia entre la estrategia biotecnológica para el desarrollo y los principios del buen vivir. Sin embargo, en las prácticas esta relación se vuelve contradictoria porque apuesta a un modelo lineal de desarrollo y a una trayectoria de dependencia científica basada en la transferencia de conocimientos y de tecnología, en la política de becas, PROMETEO y YACHAY.
A nivel discursivo, la biotecnología sirve al buen vivir dentro de la generación de innovaciones y tecnologías que mejorarán la producción nacional y con ello la calidad de vida de los ecuatorianos. La noción de biotecnología está altamente vinculada a las de biodiversidad, soberanía alimentaria y bioseguridad. No sólo se pretende mantener al país libre de transgénicos, sino que se busca proteger los conocimientos ancestrales de las comunidades y sus recursos genéticos.
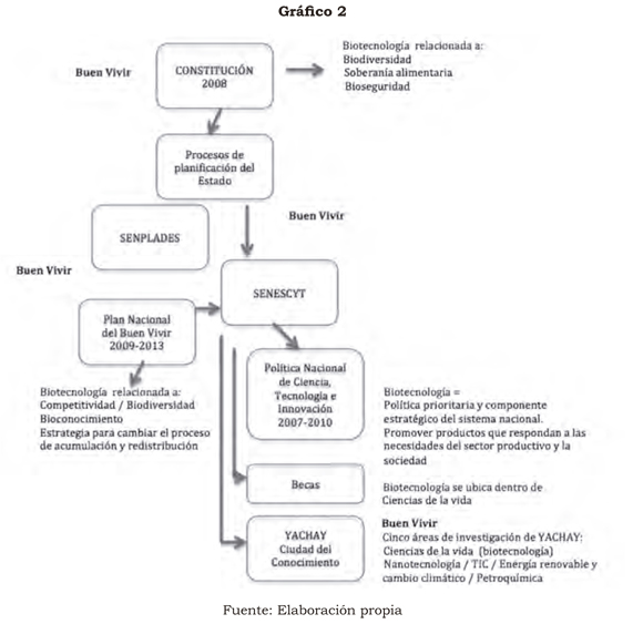
En el siguiente gráfico podemos observar la relación entre biotecnología y buen vivir dentro de las instituciones e instrumentos de política pública.

El problema entre el buen vivir y la biotecnología empieza a delinearse cuando la biotecnología se convierte en punto de paso obligado de la política científica productiva. Tanto en el Plan Nacional del Buen Vivir 2009-2013 como en los proyectos PROMETEO, becas internacionales y YACHAY, la biotecnología se implementa dentro de un modelo lineal de I+D+I de dependencia científica.
Se apuesta todavía a un modelo lineal que basa el desarrollo tecnológico en la producción de ciencia básica y de ciencia aplicada (caso YACHAY) y por otra parte, se recurre a la formación académica marcada por una alta dependencia científica: formación de estudiantes en el exterior, reclutamiento de científicos internacionales en el país para dictar clases, realizar investigación, producir publicaciones y promover redes científicas. Sin fijarse en la invisible dependencia sistemática que un país como el Ecuador mantiene en ciencia y tecnología, se promueve el ideario de hacer ciencia de punta, fortaleciendo la dependencia estructural entre las instituciones nacionales con las de países más avanzados.
Por otra parte, se asume una relación de causalidad entre biodiversidad y biotecnología que permea la política científica. En un país donde la naturaleza es sujeto de derechos, la propia noción de biodiversidad entra en disputa. Lo que para unas entidades del Estado significa conservación y patrimonio, como para el Ministerio de Ambiente y el Ministerio de Coordinación de Patrimonio, para otros es fuente de negocios e innovación, como para el Ministerio Coordinador de Producción. Las prácticas se alejan del discurso que relaciona biotecnología y buen vivir, lo que nos lleva a cuestionar si el buen vivir tiene en algún momento posibilidades de aplicación.
La ciudad del conocimiento es el proyecto que se deriva de la nueva política científica en el Ecuador, altamente apoyado por el Presidente de la República8, YACHAY se convierte en la praxis del discurso político. Es de particular importancia detenerse en este proyecto porque es aquí, donde se puede encontrar una controversia más entre la retórica y las prácticas.
Una vez que la Constitución del 2008 propone regular el desarrollo de la biotecnología bajo normas de bioseguridad y proteger los conocimientos colectivos de pueblos y comunidades, con especial énfasis en sus tecnologías y recursos genéticos, el Plan Nacional del Buen Vivir 2009-2013 fomenta la biotecnología desde las características de biodiversidad del país y desde el conocimiento que proviene de los saberes ancestrales. Se valora la contribución de las comunidades a la agricultura industrial, la industria farmacéutica y la industria biotecnológica y se propone proteger dichos conocimientos de su inadecuada apropiación por parte de las empresas transnacionales.
Sin embargo YACHAY no recoge estos puntos en su diseño. Su apuesta de biotecnología se basa en salud, biomedicina, bioinformática y ambiente a través de programas de docencia y de investigación liderados por profesores universitarios. No existe un solo espacio en la programación de YACHAY destinado al estudio de las tecnologías, conocimientos y recursos genéticos de las comunidades, o de cómo estos pueden contribuir al desarrollo de una biotecnología destinada a apoyar el buen vivir. Los temas que YACHAY espera resolver se concentran en la investigación científica con fines comerciales. La Universidad de Investigación Científico Experimental de la ciudad del conocimiento, primer eslabón a implementarse, centra sus prioridades en:
- Biomedicina, para proporcionar "herramientas para comprender los mecanismos y mutaciones de enfermedades, así como el desarrollo, con fines comerciales, de biomedicinas".
- Bioinformática, que permitirá "el desarrollo de procesos terapéuticos con menos efectos secundarios, permitiendo mejores métodos de diagnóstico y acciones más eficaces en el tratamiento de enfermedades".
- Sector farmacéutico, que se beneficiará de la instalación de "grandes laboratorios y centros de investigación que impulsen el desarrollo de nuevos fármacos. La mayoría de productos estarán dirigidos al control y cura de varios tipos de cáncer, enfermedades neurológicas, cardiovasculares, esclerosis, obesidad, tratamiento para el control y cura del SIDA entre otras".
- "La biotecnología y bioconocimiento también se utilizarán en el sector ambiental, principalmente en la biorremediación de efectos industriales contaminantes, a través del uso de bacterias desarrolladas en laboratorios de alta tecnología así como el tratamiento de aguas residuales, residuos industriales y pozos sépticos". (Yachay, misión).
La fractura entre los discursos y las prácticas que presenta la implementación de la política científica y tecnológica, termina sosteniéndose en asociaciones deterministas que constituyen elementos de la paradoja de la biotecnología en el país. Como hemos visto, la correlación entre biotecnología y biodiversidad, la apuesta a un modelo lineal de I+D+I, la tácita separación entre el conocimiento científico al que se aspira en YACHAY y el conocimiento de las comunidades que propone la Constitución del 2008, son algunos de los factores que ayudan a explicar los procesos políticos y de planificación de la biotecnología en el Ecuador. Estas controversias en particular nos permiten estudiar los mecanismos de asociación entre actores humanos y no humanos, explicar cómo se construyen los colectivos de la política sobre biotecnología en el país y su paradoja.
Pie de página
4Por ejemplo, la Constitución del 2008 prohibe el ingreso de semillas y cultivos genéticamente modificados y contempla una sola excepción, que dichas semillas y cultivos sean de interés nacional. Se deja en manos de la Presidencia de la República la propuesta fundamentada de ingreso de transgénicos al país con la aprobación de la Asamblea Nacional.
5Llamadas Bases de postulación a Universidades de Excelencia. SENESCYT, 2012.
6Para mayor información ver: http://prometeo.senescyt.gob.ec/portal/web/prometeo/ecuador-destino-cientifico.
7Para mayor información, ver: http://www.yachay.ec/.
8El presidente Correa promueve el proyecto YACHAY en el exterior personalmente, como lo muestra su visita a Kannapolis en Carolina del Norte, donde presenta el proyecto de ciudad del conocimiento a más de 300 PhD a los que espera interesar para extender sus investigaciones al Ecuador. Para más detalles, ver:http://www.telegrafo.com.ec/actualidad/item/rafael-correa-promocionara-yachay-en-carolina-del-norte html.
Bibliografía
Brunn, H. y Hukkinen, J. (2008). Cruzando fronteras: un diálogo en tres formas de comprender el cambio tecnológico. En Thomas y Buch (Coord.). Actos, actores y artefactos. Sociología de la Tecnología (185-216). Quilmes: Universidad Nacional de Quilmes. [ Links ]
Callon, M. (1986). Some Elements of a Sociology of Translation: Domestication of the Scallops and Fishermen of St. Brieuc Bay. En Law, J. (Ed.) Power, Action and Belief: a New Sociology of Knowledge? (196-233). London: Routledge. [ Links ]
Callon, M. (1987). El proceso de construcción de la sociedad. El estudio de la tecnología como herramienta para el análisis sociológico. En Domènech y Tirado (Ed.) Sociología Simétrica. Ensayos sobre ciencia, Tecnología y Sociedad (pp. 143-170). Barcelona: Gedisa. [ Links ]
Callon, M. (2008). La dinámica de las redes tecnoeconómicas. En Thomas y Buch (Coord.) Actos, actores y artefactos. Sociología de la tecnología. Quilmes: Editorial Universidad Nacional de Quilmes. [ Links ]
Callon, M. y Latour, B. (1981). Unscrewing the Big Leviathan: How Actors Macro-Structure Reality and How Sociologists Help Them To Do So. En Knorr-Cetina y Cicourel (Ed.) Advances in Sociological Theory and Methodology: Toward an Integration of Micro and Macro Sociologies (pp. 277-303). Londres: Routledge. [ Links ]
Callon, M. y Law, J. (1998). De los intereses y su transformación: Enrolamiento y contraenrolamiento. En Domènech y Tirado (Ed.) Sociología Simétrica. Ensayos sobre ciencia, Tecnología y Sociedad (pp. 51-62). Barcelona: Gedisa. [ Links ]
Constitución de la República del Ecuador (2008) Obtenido en enero de 2012. Recuperado de: http://www.asambleanacional.gov.ec/documentos/Constitucion-2008.pdf. [ Links ]
El Comercio (2012, octubre 5). Senescyt se reunió con los docentes. Recuperado de: www.elcomercio.com/sociedad/Senescyt-reunio-docentes_0_785921522.html [ Links ]
Latour, B. (1988). Science in Action: How to Follow Scientist and Engineers Through Society. Cambridge: Harvard University Press. [ Links ]
Latour, B. (1991). La tecnología es la sociedad hecha para que dure. En Domènech y Francisco Tirado (Ed.) Sociología Simétrica. Ensayos sobre ciencia, Tecnología y Sociedad (pp. 109-142). Barcelona: Gedisa. [ Links ]
Latour, B. (1999). La esperanza de Pandora. Barcelona: Gedisa. [ Links ]
Latour, B. (2005). Reassembling the Social: An Introduction to Actor-network Theory. New York: Oxford University Press. [ Links ]
Latour, B. (2007). Nunca fuimos modernos. Ensayo de una antropología simétrica. Argentina: Siglo XXI Editores. [ Links ]
Law, J. (1998). Del poder y sus tácticas. Un enfoque des de la sociología de la ciencia. En Domènech y Tirado (Ed.) Sociología Simétrica. Ensayos sobre ciencia, Tecnología y Sociedad (pp. 63-107). Barcelona: Gedisa. [ Links ]
Plan Nacional del Buen Vivir 2009-2013 (2008). Recuperado de: http://plan.senplades.gob.ec/ [ Links ]
Política Nacional de Ciencia, Tecnología e Innovación 2007-2010 (2006). Obtenido en septiembre de 2012. Recuperado de: http://www.somosciencia.gob.ec/index.php?option=com_sobi2 & sobi2Task=sobi2Details & catid=1 & sobi 2Id=49 & Itemid=45 [ Links ]
PROMETEO (s. f.). Recuperado de: http://prometeo.senescyt.gob.ec/portal/web/prometeo/ecuador-destino-cientifico [ Links ]
SENESCYT, Secretaría Nacional de Educación Superior, Ciencia, Tecnología e Innovación (s. f.). Recuperado de: http://www.senescyt.gob.ec [ Links ]
SENESCYT, Secretaría Nacional de Educación Superior, Ciencia, Tecnología e Innovación (s. f.). Programa de Becas. Recuperado de:http://www.senescyt.gob.ec/web/infoprogramadebecas [ Links ]
SENPLADES, Secretaría Nacional de Planificación y Desarrollo (s. f.). Visitado en enero de 2012. Recuperado de: http://www.senplades.gob.ec [ Links ]
YACHAY Misión. Ciencias de la vida. Recuperado de: http://www.yachay.ec/ innova/ciencias-de-la-vida/ [ Links ]












