INTRODUCCIÓN
El comienzo de la era actual trajo consigo una gran cantidad de ideas y variedades tecnológicas que influyen en las distintas áreas de la sociedad, tales como, por ejemplo, la comunicación, economía, educación, salud, entre otros 1, dando inicio al surgimiento de la necesidad de aumentar los conocimientos en relación con esta revolución tecnológica. En cuanto al área de salud, podemos encontrar numerosas investigaciones que permiten un manejo exitoso para las diversas enfermedades existentes, o simplemente para su prevención, que en gran parte tienen un grupo etario dirigido que compone nuestra sociedad actual, que son las personas mayores (PM), logrando tener relevancia e instalarse en el ámbito de la salud, constituyendo una importante herramienta orientada a las diversas condicionalidades y demandas inherentes al proceso de envejecimiento, pudiendo proporcionar una mejora en la condición de salud y autoestima de las personas mayores 2.
Según la información brindada por el Banco Mundial en 2018, se estimó que aproximadamente 673 392 013 personas tienen una edad igual a 65 años o superior a nivel mundial 3. El 11% del total de la población de América Latina y el Caribe tiene más de 60 años de edad, en 2030 representará el 17 % y en 2050, uno de cada cuatro habitantes de esta región será mayor de 60 años 4. Particularmente, en Chile, según el CENSO 2017 5,6, un porcentaje importante de la población nacional corresponde a PM; este grupo etario se ha incrementado debido a distintos indicadores demográficos, en el que un 11,4 % de la población se encuentra compuesto por personas de 65 años o más, proyectándose una mayor cantidad en el futuro. Hasta 2018, según el Banco Mundial 3,7, Chile cuenta con 2 159 435 personas que están dentro del rango etario 65 años o más y se proyecta que para 2050, exista una proporción de 177 adultos mayores por cada 100 menores de 15 años 8.
Existe un aumento en la prevalencia e incidencia de personas mayores, que durante el transcurso de la vida van experimentando diversos cambios a nivel celular, biológico, fisiológico y psicológico. Según Berrezueta (2018), "el envejecimiento se caracteriza por el declive de las funciones fisiológicas del organismo a través de una serie cambios genéticos, moleculares, bioquímicos, histológicos y orgánicos modulados por la influencia del medio ambiente y condiciones sociales, educacionales y económicas" 9. A raíz de esto se presentan múltiples factores que posibilitan la aparición de enfermedades, entre ellas las características propias de cada organismo o individuo, su lugar de residencia, sus condiciones ambientales, entre otras. Dando lugar al envejecimiento patológico, el cual, se atribuye a causas originadas por enfermedades agudas y/o crónicas, factores ambientales, hábitos tóxicos (tabaquismo, el alcohol y otras drogas), presencia de tumores, traumatismos físicos, estrés cotidiano y reacciones secundarias a fármacos, entre otros 10.
Una de las características causadas por el envejecimiento cerebral fisiológico que se presenta en la PM es la desorientación, respecto a la cual se ha demostrado que la persona primero se desorienta en tiempo y posteriormente en el espacio 11. Este signo es comúnmente asociado a la demencia; a nivel mundial, unos 35 millones de personas presentan algún tipo de demencia, cifra que se va duplicando cada 20 años, proyectándose 135 millones para 2050. Entre 6,5 y 8,5 % de las PM de 60 años en las Américas tienen algún tipo de demencia y, de continuar las tendencias actuales, se prevé que estas cifras lleguen a casi el doble en 20 años en la región, de 7,8 millones en 2010 a 14,8 millones en 2030. Este fenómeno demográfico es relevante, considerando que en América Latina y el Caribe se presentará uno de los aumentos más acelerados, ya que pasará de 3,4 millones de personas en 2010 a 7,6 millones en 2030, cifra que supera la proyección de 7,1 millones de personas con este trastorno en los Estados Unidos y Canadá 12. Particularmente en Chile, que se encuentra en los países de medianos y bajos ingresos, se ha estimado que el 1 % de la población presenta demencia, sin embargo, se espera que su prevalencia aumente en un 80 % para 2030 13. Además, comprendiendo las distintas realidades de las PM, hay que considerar el entorno en el que se desenvuelve, debido a que, si asociado a ello se presenta una red social pobre, complica en definitiva su estado de salud general 14.
Una de las consecuencias directas de la demencia es el aumento de la probabilidad de extravío, tal como nos indica la estadística de estudios en Chile durante 2015 se registró un total de 11 237 personas perdidas, de las cuales un total de 761 personas correspondió a sujetos que tenían una edad mayor de 60 años, en los cuales la principal causa del extravío es la desorientación que se origina a partir de enfermedades que afectan la memoria. Posterior al extravío, las PM presentan un sentimiento de intranquilidad y desesperación, además de la sobrecarga en los familiares del individuo y movilización de distintas instituciones que asisten a la PM afectada 15.
Desde esta problemática, el ámbito clínico busca solventar las consecuencias que surgen debido al proceso de envejecimiento, como por ejemplo, la geolocalización de una persona mayor extraviada; sin embargo, se estima que esta tecnología posee la capacidad de asignar coordenadas geográficas a la información por medio de herramientas informáticas, siendo en la actualidad un implemento de fácil alcance, ya que muchos de los objetos tecnológicos que se encuentran en el mercado, ya sea celulares, computadores, entre otros, disponen de la función que brinda la geolocalización 16. Por otra parte, una página web especializada en temáticas de tecnológica como Techopedia™© define los geolocalizadores como el proceso de encontrar, determinar y proporcionar la ubicación exacta de una computadora, dispositivo de red o equipo permitiendo la ubicación del dispositivo según las coordenadas geográficas y las medidas 17. Existen una variedad de tipos de geolocalizadores, que se diferencian según sus características, tales como el rango de amplitud, receptor de la señal, coordenadas para la ubicación, entre otras. Sin embargo, a la fecha no existen revisiones que se hayan centrado en sintetizar en forma exhaustiva evidencia sobre las características y usabilidad de geolocalizadores en el área de la gerontología. Una revisión sobre esta temática ayudaría a identificar el perfil de las PM que se benefician de esta tecnología, así como las principales características de los geolocalizadores que se utilizan en la actualidad. Sobre la base de lo anteriormente dicho se ha propuesto como objetivo sintetizar la evidencia existente sobre las características y usabilidad de dispositivos de geolocalización utilizado en personas mayores
MATERIALES Y MÉTODOS
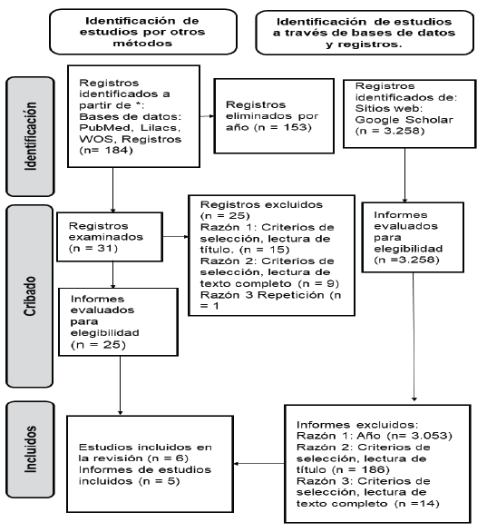
La revisión se realizó de acuerdo con las normas establecidas por la declaración PRISMA para revisiones de alcance (PRISMA-ScR) 18. Adicionalmente, la figura 1 muestra el diagrama de flujo PRISMA con las fases correspondientes de la revisión por alcance.
Estrategia de búsqueda para la identificación de los resultados
Se realizó una revisión de alcance, sin el uso de participantes y de instrumentos, para establecer características y usabilidad en el uso de dispositivos de geolocalización en PM.
La búsqueda se realizó utilizando las siguientes bases de datos electrónicas: Medline vía PubMed, Lilacs y Google Scholar, durante el periodo comprendido entre el 1 de agosto de 2018 hasta el 30 de noviembre de 2020. La búsqueda estuvo limitada al uso de tecnología geolocalizadora en PM. Se obtuvieron palabras claves utilizando una sintaxis general de la búsqueda con "Geolocalizador" AND "elderly" OR "aged" OR "older adults", adaptada a cada base de datos.
Selección de los estudios y criterios de inclusión
No se aplicaron criterios de exclusión por género o raza, pero se tuvo en cuenta el idioma; solo se revisaron artículos en español e inglés. Los artículos seleccionados por título y resumen debían cumplir las condiciones indicadas en la tabla 1.
Tabla 1 Criterios de selección
Extracción de datos
En un primer paso se eliminaron los artículos duplicados identificados de las bases de datos utilizando el software Mendeley. A continuación, se seleccionaron los artículos por la lectura del título y resumen. Por último, cuando no se pudo definir su inclusión, se recuperó el texto completo para su lectura.
Se realizó una revisión de alcance, sin el uso de participantes y de instrumentos, para establecer características y usabilidad en el uso de dispositivos de geolocalización en PM consignados en las bases de datos Medline vía PubMed, Lilacs y Google Scholar, en la que se aplicaron estrategias de búsquedas específicas para artículos y estudios que fueron publicados entre el 1 de agosto de 2018 hasta el 30 de noviembre de 2020. Además, se utilizaron artículos y estudios que contuviera los siguientes términos MeSH: anciano, disfunción cognitiva, efectividad, envejecimiento, demencia, enfermedad de Alzheimer, y los de términos de texto libre: geolocalizador, extravío, combinados a través del término booleano: AND y OR.
La información extraída incluyó: características generales de los estudios (autor, año, país, muestra, edad media de la muestra, objetivo, conclusión, cuartil de la revista y categoría de la revista) y principales características de los geolocalizadores utilizados (marca, propiedades, forma de utilización, precio y alcance). El proceso de recolección de datos fue realizado por tres investigadores en forma paralela e independiente, con la finalidad de evitar discrepancia (HC-DM-MQ).
Estrategia para la síntesis de datos
Se realizó una síntesis de carácter narrativa de los estudios incluidos 19-29, los cuales se presentan en la tabla 2, una caracterización de los artículos y de la población; en la tabla 3 se presentan las características de los estudios incluidos y en la tabla 4 las características de los geolocalizadores. Los resultados se ordenaron de forma que se puedan presentar las principales características de los estudios incluidos.
Tabla 2 Características de los artículos y la población

ref: referencia; spu: sin publicación; sp: sin participantes; co: comunidad: inst: institucionalizado; no: no aplica; LdeR: Lugar de residencia
RESULTADOS
En relación con los resultados registrados de las bases de datos, se identificaron un total de 3.442 artículos, correspondiendo en un 94,8% a Google Scholar, un 5,2 % a PubMed y un 0 % a Lilacs. De los 3442 artículos hallados con la estrategia de búsqueda inicial, 3283 fueron evaluados para elegibilidad. Cabe destacar que la mayoría de los artículos que presenta la literatura se refieren a la temática de la vigilancia a través de un sistema de geolocalizador de aves. Finalmente fueron incluidos en esta revisión 6 artículos y 5 documentos y tesis para su análisis (figura 1).
En relación con la caracterización de los estudios y de la población, podemos decir que el 18 % de los estudios presentados fueron realizados en Estados Unidos, mientras que el 27 % tiene un origen europeo, donde predomina Suiza. Un 54 % del total de los estudios consultados tiene un origen sudamericano, aunque solo el 9% fue publicado en una revista científica. El 36 % de los documentos fue publicado en revistas del área médica, y un 18 % en revistas del área de las ciencias de la computación. Un 18 % de las publicaciones se encuentra en revistas del cuartil Q1, al igual que Q2 y Q3. Así como la mayor parte de las publicaciones se encuentra en el año 2019, con un 54 %. Sobre las características de la población, la edad media de los participantes del estudio que especificaban su muestra fue de 60,5 años promedio, predominaron los estudios en género femenino, la población residía en su mayoría (63 %) en la comunidad y el 36,6% padecía algún trastorno cognitivo (tabla 2).
Sobre las características de los estudios, se evidenció que el 36 % de los documentos consultados tiene entre sus objetivos generales crear, implementar o diseñar un sistema de geolocalización para personas mayores de la comunidad. Sobre las variables estudiadas, el 27 % tuvo la ubicación de las personas como variable principal y el 18 % la rapidez de respuesta y la seguridad de los usuarios como sus principales variables (tabla 3).
Con respecto a las características de los geolocalizadores, se encontró que el 72 % de los dispositivos tiene un alcance de radio urbano y el 54 % tiene un costo bajo o gratuito en su implementación o ejecución. Sobre las propiedades de la usabilidad de los geolocalizadores, el 54 % utiliza teléfonos inteligentes y el 9 % posee sensor de frecuencia cardiaca o botón de emergencia (tabla 4).
DISCUSIÓN
Los principales resultados de la revisión fueron que la mayor parte de los estudios (54 %) son de origen sudamericano, aunque muy pocas investigaciones son publicadas en revistas científicas (9 %). Con respecto a la caracterización de los estudios, el 36 % son publicados en revistas del área médica, aunque un número no menor es publicado en revistas del área de las tecnologías y la computación (18 %). Entre las características de la población encontramos que la edad media de los participantes del estudio que especificaban su muestra fue de 60,5 años promedio, predominaron los estudios en género femenino, la población residía en su mayoría en la comunidad.
La principal característica de los estudios es que el 36% de los documentos consultados tiene entre sus objetivos generales crear, implementar o diseñar un sistema de geolocalización para personas mayores de la comunidad. Por último, con respecto a las características de los geolocalizadores, encontramos que el 72 % de los dispositivos tiene un alcance de radio urbano y el 54 % un costo bajo o gratuito en su implementación o ejecución.
Al parecer, en la actualidad no existe la suficiente evidencia de alta calidad sobre el tema, ya sea por no estar publicado en revista científica o por estar en un cuartil bajo para este tipo de estudio. Probablemente esto es así porque el tema es novedoso y emergente, está constantemente en crecimiento. Al parecer aún falta consolidación de la temática de geolocalizadores en personas mayores en ámbitos sanitarios, lo que pareciera ya haber iniciado en otras áreas como las ingenierías, computación y tecnologías. Por último, se debe agregar también que en la actualidad la mayoría de los documentos son trabajos de tesis de pregrado, lo que nos hace pensar en que existe una inquietud creciente por la temática de parte de futuros profesionales.
Con respecto al perfil del usuario incluido en la revisión, fueron personas mayores jóvenes, de género femenino predominantemente, autovalente y que vive en la comunidad. Esto obedeció a que usuarios con estas características son más accesibles a estudios, que personas mayores de un rango etario mayor o institucionalizadas y/o hospitalizadas. Lo que demuestra una brecha existente, en que no se han realizado estudios en el grupo etario de personas mayores de mayor edad, de género masculino e institucionalizadas, o con dependencia funcional.
La contribución que genera esta revisión incorpora diferentes ideas que se desarrollan mediante el análisis de los datos obtenidos de los artículos científicos y documentos, y tesis, de los cuales se destaca de la evidencia recolectada, el uso de geolocalizadores en personas mayores, permitiendo aportar información acerca de esta tecnología médica que puede lograr solventar diversas problemáticas en el futuro.
Sobre las características de los estudios, el 36 % tiene entre sus objetivos generales crear, implementar o diseñar un sistema de geolocalización para personas mayores de la comunidad y el 54 % son del año 2019; esto nos hace reflexionar sobre la importancia que está adquiriendo el tema, sobre todo actualmente, en que estamos viviendo la década del envejecimiento saludable según la OMS/OPS, aunque creemos que aún la temática está en una etapa incipiente y aún no hay estudios con muestras grandes; en ese sentido no se dimensiona claramente el impacto social que tendría esta temática en la comunidad. Lo que esperamos en un futuro sea considerado dentro de lineamientos de las políticas públicas de los diversos países de la región.
Por último, cuando generamos un perfil de las características de los dispositivos de geolocalización, diremos que son la mayoría de bajo costo, tienen un alcance urbano y necesitan que los usuarios dispongan de teléfonos inteligentes. Creemos que, dado este perfil, es de suma importancia potenciar la alfabetización digital en la comunidad en general, lo que les proporcionará herramientas tecnológicas para mejorar su calidad de vida 30. También, debido a sus características, nos atrevemos a decir que en el futuro se masificará su uso en personas mayores, lo que abre un mundo de posibilidades 31.
La información que nos aportan los artículos incluidos indica que el uso y los beneficios de la tecnología geolocalizadora genera una mejora en la calidad de vida de las personas mayores, transmitiéndoles seguridad tanto a ellos como a su entorno.
Esperamos que la revisión sistemática realizada sea un impulso de numerosos estudios a futuro que permitan tanto a los expertos en el área de la salud como profesionales de otras áreas generar una conclusión colectiva que nos permita ahondar más en el tema y concordar en un nuevo concepto para no encontrarse con limitaciones al momento de la búsqueda. Es por eso que consideramos que este nuevo término podría ser definido como gerontolocalización, el cual deriva de los conceptos de gerontología y de herramientas enfocadas en la localización, logrando unir el ámbito clínico y lo tecnológico.
Limitaciones
La limitación principal de esta investigación radica en que el término geolocalizador posee varios resultados en el área de la ecología e ingeniería, por lo que al momento de la búsqueda se presenta una gran cantidad de artículos enfocados al seguimiento de animales, objetos extraviados, bio-marcadores y nuevas funciones del geolocalizador. Siendo un término relativamente nuevo en el ámbito clínico.
Cabe destacar que el uso de la tecnología en las personas mayores ha tomado impulso en años recientes, sobresaliendo el concepto de las tecnologías de información y comunicación (TIC). Así, las TIC se gestionan como una oportunidad para tener beneficios en cuanto a la comunicación, información, productividad, ocio, aprendizaje, autonomía y actividades de la vida diaria de la persona mayor 30.Sin embargo, las TIC deben tomar en cuenta la integración de las posibles discapacidades asociadas al envejecimiento, como un caso pertinente de una persona mayor que utilice un reloj inteligente, incorporar una característica geolocalizadora, siendo complementario a su condición, haciéndolos más partícipe de la sociedad. Por último, las limitaciones deben convertirse en oportunidad de generar futuras investigaciones en el área de la gerontología.
CONCLUSIÓN
Los 11 estudios incluidos en esta revisión de alcance dan cuenta de un perfil de las principales características de los geolocalizadores y de las personas mayores incluidas en los estudios. Actualmente los geolocalizadores están siendo estudiados en personas mayores jóvenes, de sexo femenino predominantemente, autovalentes y que viven en la comunidad. Los geolocalizadores se caracterizaban por ser de bajo costo, con alcance urbano y que necesitan un teléfono inteligente.
Para finalizar, podemos agregar que la mayoría de los estudios está en una etapa incipiente; la mayoría de los trabajos no están publicados en revistas científicas. Por lo que creemos que es una oportunidad generar evidencia científica en esta nueva línea de investigación, con la finalidad de aportar en el entendimiento de los beneficios y el aumento de la calidad de vida en familiares y cuidadores de personas mayores con demencia.

















