Services on Demand
Journal
Article
Indicators
-
Cited by SciELO -
Access statistics
Related links
-
Cited by Google -
Similars in
SciELO -
Similars in Google
Share
Ingeniería e Investigación
Print version ISSN 0120-5609
Ing. Investig. vol.29 no.3 Bogotá Sept./Dec. 2009
Ricardo Andrés Bolaños Ocampo1 , Carlos Adrián Correa Flórez2 y Antonio Hernando Escobar Zuluaga3
1 Ingeniero electricista y M.Sc., Universidad Tecnológica de Pereira, Colombia. Analista Coordinación Operación, XM - Compañía de Expertos en Mercados, Filial de ISA, Medellín, Colombia. rabolanos@xm.com.co
2 Ingeniero electricista y M.Sc., en Ingeniería Eléctrica, Universidad Tecnológica de Pereira, Colombia. Independent Sales Engineer, H-J International, Bogotá D.C., Colombia. carlosadrianc@h-jenterprises.com
3 Ingeniero electricista y M.Sc., en Ingeniería Eléctrica, Universidad Tecnológica de Pereira, Colombia. ©Ph.D. Profesor Asociado, Universidad Tecnológica de Pereira, Colombia. aescobar@utp.edu.co
RESUMEN
En este artículo se presenta una metodología de solución para el problema de planeamiento de la expansión de redes de transmisión de energía eléctrica considerando contingencias simples (N-1). Adicionalmente, se considera incertidumbre para los pronósticos de la demanda futura en cada una de las barras del sistema de potencia. El problema de planeamiento es dividido en un subproblema de inversión que calcula los costos de inversión y un subproblema operativo que resuelve los flujos de carga para determinar el grado de infactibilidad (corte de carga), resultados que son presentados en forma de frentes de Pareto. Para resolver el subproblema de inversión se utiliza un algoritmo evolutivo NSGA-II (Elitist Non Dominated Sorted Genetic Algorithm) modificado, que entrega múltiples propuestas de inversión. Por otra parte, se implementa un método de puntos interiores de alto orden para resolver los problemas de flujo del problema operativo. La metodología propuesta es validada utilizando dos sistemas de prueba de la literatura especializada: el sistema IEEE-24 barras y el sistema Garver o IEEE-6 barras, cuyos resultados, al compararse con los tradicionales, demuestran la validez de la metodología propuesta y corroboran la conveniencia de la metodología multiobjetivo aplicada.
Palabras clave: algoritmos evolutivos, criterio de contingencias simples, incertidumbre en la demanda, métodos de puntos interiores, modelo DC, optimización multiobjetivo, planeamiento de la transmisión.
ABSTRACT
This paper presents a methodology for resolving the transmission expansion planning problem by considering single contingency criteria (N-1). Each bus bar in the power system considered future demand uncertainty. The planning problem was divided into an investment problem (calculating investment costs) and an operative problem (resolving power flows). A modified evolutionary elitist non-dominated sorted genetic algorithm (NSGA-II) was used for resolving the investment problem, determining several investment proposals where feasibility was evaluated by solving the operative problem. On the other hand, a high order interior point (HOIP) method was proposed for solving load flow problems. The methodology was tested by using two systems found in the specialised literature: IEEE-24 bus and Garver or IEEE-6 bus systems. The results, when compared with traditional ones, showed the proposed methods power and the multiobjective techniques convenience.
Keywords: evolutionary algorithm, single contingency criteria, demand uncertainty, interior point, DC model, multiobjective optimisation, transmission expansion planning.
Recibido: septiembre 23 de 2008
Aceptado: octubre 30 de 2009
Introducción
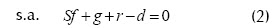
El problema de planeamiento de la expansión de la transmisión tiene como objetivo determinar el tipo, la cantidad, la ubicación y el tiempo de instalación de los nuevos equipos de transmisión para satisfacer la demanda futura con mínimo costo de inversión posible. El problema puede resolverse de manera estática (Bolaños et al., 2007), usando una metodología multietapa (Escobar et al., 2004) o mediante un modelo dinámico (Escobar, 2002), con uno o varios escenarios de generación y demanda, respectivamente. Comúnmente los modelos implementados para la solución del problema en orden de complejidad son: modelos de transportes (Garver, 1970), híbridos (Correa, 2008), DC (Correa et al., 2007), (Rider et al., 2005) y el modelo AC (Rider et al., 2006). En este artículo se aborda el problema de la expansión de la transmisión mediante el modelo DC. Este último es un problema de optimización no lineal entero mixto de gran tamaño, que puede ser convertido en un problema de programación lineal cuando es conocida alguna propuesta de instalación de equipos (Bolaños et al., 2007, Silva et al., 2006); bajo este esquema se resuelven dos problemas, uno de inversión y otro de tipo operativo. Adicionalmente, cada propuesta de inversión se somete a la evaluación de contingencias mediante el criterio N-1 (Bolaños et al., 2007; Gallego, 2005), con el fin de minimizar simultáneamente los costos de inversión y el corte de carga ante contingencias, convirtiendo el modelo en un problema multiobjetivo (Bolaños et al., 2007; Correa et al., 2007). Se aborda el problema de inversión y contingencias mediante un algoritmo evolutivo Non Dominated Sorting Genetic Algorithm (NSGA-II) (Deb, 2001) modificado (Bolaños et al., 2007), y el problema operativo de flujo de carga es resuelto mediante el método de puntos interiores de alto orden predictor corrector (Bolaños et al., 2007; Rider, 2004). Adicionalmente, al esquema multiobjetivo se le incorpora la incertidumbre en las proyecciones de demanda en cada una de las barras del sistema, esperando atender el mayor porcentaje de demanda posible al penalizar bajas atenciones de demanda en el problema operativo (Silva et al., 2006). Finalmente, la metodología implementada es validada usando los sistemas de prueba de Garver de 6 nodos y 15 corredores e IEEE-24 de 24 nodos y 41 corredores.
Modelo de planeamiento considerando incertidumbre y reprogramación
Si al modelo DC básico (Bolaños et al., 2007), se le adiciona la incertidumbre en la demanda de cada una de las barras del sistema en el intervalo [
], el modelo matemático usado para el problema de planeamiento de la expansión de la transmisión es el siguiente:









donde ij representa el corredor entre la barras i y j; asociado a dicho corredor se tiene:
, y , que representan respectivamente, el costo, el flujo, la susceptancia, el número de circuitos adicionados, el número de circuitos del caso base, el flujo máximo y el número máximo de circuitos del corredor ij; S es la matriz de incidencia nodo-rama; g, d, rg, y rc son los vectores de generadores, demandas, ficticias y cargas ficticias, respectivamente; f es un vector cuyos elementos son los flujos fij, θi es el ángulo en el nodo i, y Ω es el conjunto de ramas candidatas. Además, las ecuaciones (2) y (3) representan la primera y segunda ley de Kirchhoff de la red DC equivalente (Bolaños et al., 2007). α representa la penalización por corte de carga y la componente de penalización a la atención de demanda es ponderada por el factor δ ; se acostumbra considerar α = 10δ , dando mayor peso a la desatención de la demanda o corte de carga r cada configuración. Generalmente, el modelo DC suele dividirse en dos subproblemas, donde un algoritmo combinatorial realiza una propuesta de inversión (número de líneas a ser adicionadas, nij), y un subproblema operativo de programación lineal (PL) (Silva et al., 2006), que evalúa el corte de carga, como en (Correa et al., 2007). El problema operativo presentado en las ecuaciones (1) a (8) se resuelve utilizando un método de puntos interiores (MPI) de alto orden predictor corrector (MPC) similar a como se presenta detalladamente en Bolaños et al. (2007), que es el modelo 2 de Silva et al. (2006), adicionando la demanda como variable del problema.
Seguridad en sistemas eléctricos de potencia (SEP)
La seguridad es tal vez el criterio de mayor importancia en la operación de los sistemas eléctricos de potencia (SEP), por lo que es conveniente considerarla en el planeamiento de la expansión de la transmisión, no obstante, la topología más segura puede no ser la más económica, por lo que el problema puede plantearse bajo un enfoque multiobjetivo que considere el costo de inversión y una seguridad eléctrica adecuada, estando estos dos objetivos en conflicto. Es posible que un sistema nunca opere de forma totalmente segura, pero puede hacerlo bajo un riesgo predeterminado y medible (Correa et al., 2007). Una medida de la seguridad se puede realizar bajo el criterio de contingencias simples o criterio N 1, de obligatorio cumplimiento (CREG, 1995), que en Gallego (2005) es presentado bajo un enfoque monoobjetivo y en Bolaños (2008) bajo el enfoque multiobjetivo.
Incertidumbre en las proyecciones de demanda
Los estudios de planeamiento de SEP de largo, mediano y corto plazo, entre su gran cantidad de variables y supuestos, realizan proyecciones de demanda futura considerando básicamente tres escenarios: uno pesimista, otro optimista, y el valor medio asociado. Dentro de las diferentes métricas que se tienen, la más simple es considerar una demanda futura que crece linealmente con ciertos niveles de incertidumbre o desviación (Figura 1). En general puede considerarse un crecimiento global de la demanda de todo el sistema, modelo 1 descrito en Silva et al. (2006). Otra propues-ta, contemplada en este mismo artículo, modelo 2, que resulta más interesante, es considerar ± 5 % de di de desviación en la de-manda o porcentaje de incertidumbre en cada uno de los nodos del sistema.

Algoritmo multiobjetivo NSGA-II
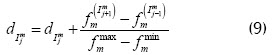
El problema multiobjetivo planteado se resuelve a través de un algoritmo evolutivo Elitista Non Dominated Sorting Genetic Algorithm (NSGA-II) modificado (Bolaños, 2007; Correa, 2007), que trabaja bajo un esquema elitista promoviendo en cada ciclo generacional aquellas configuraciones que pertenecen a los mejores frentes de Pareto (promoción, figura 2). Esta estrategia multiobjetivo es de la familia de los algoritmos evolutivos (Deb, 2001) porque a partir una población base, padres (P), de tamaño N, se genera una población de descendientes, hijos (Q), de igual tamaño, que son obtenidos mediante selección, recombinación y mutación de P (Gallego et al., 2006, pp. 19-77). Con los dos conjuntos, P y Q, se genera una población, R = P ∪ Q, de tamaño aumentado 2N, se evalúan las funciones objetivo (f1: costo de inversión y f2: corte de carga acumulado ante contingencias) de toda la población y se obtiene el conjunto de frentes de Pareto correspondiente. Finalmente, a toda la población R se le aplica selección por torneo dando prioridad a aquellas configuraciones de mejor rango ri, que se asigna según el frente de Pareto al que pertenece dicha configuración, por lo tanto, una propuesta que forma parte del primer frente es de rango 1 y así sucesivamente. En caso de empate (igual rango), entre dos o más configuraciones que vayan a ser promovidas al siguiente ciclo generacional, se seleccionan aquellas que tengan mayor distancia a sus configuraciones vecinas dentro del mismo frente (cuboides, figura 2), dándole cierta diversidad al problema. La distancia de apilamiento
para cada solución j, según un índice I, es determinada algorítmicamente, haciendo uso de:

donde
son el valor máximo y mínimo de la función objetivo m, y
son las soluciones vecinas a la configuración j para cada una de las funciones objetivo m.
Se incorporan algunos cambios con lo que se obtiene un algoritmo NSGAII modificado con el ánimo de potenciar el desempeño del algoritmo multiobjetivo. Para tal fin se usa parte de la filosofía de Chu y Beasley (1997); los cambios más representativos tienen que ver con la inicialización, mejoramiento y tamaño de la población de descendientes y penalización por corte de carga, como se presenta en Bolaños (2008).
Resultados obtenidos
Para implementar la metodología propuesta se desarrolló un programa de computador basado en Matlab 7.0, el cual se adecuó para los sistemas de prueba Garver de 6 nodos y 15 corredores e IEEE-24 de 24 nodos y 41 corredores. A continuación se presentan los resultados sin considerar incertidumbre y el caso donde se considera la incertidumbre en la demanda y reprogramación de la generación. En general, en los frentes de Pareto es posible apreciar que la configuración de menor costo es la más insegura porque concede mayor corte de carga ante contingencias y viceversa.
Resultados sin considerar incertidumbre en la demanda
Las figuras 3 y 4 ilustran los frentes de Pareto obtenidos, para el sistema Garver e IEEE-24 respectivamente, cuando no se considera la incertidumbre en la demanda.


Resultados del sistema de Garver sin incertidumbre y sin reprogramación de la generación
En la figura 3 se observa el mejor frente de Pareto encontrado para el sistema de prueba de Garver. El costo de inversión de 200 [103 U$] corresponde a la solución óptima del este problema bajo el esquema monoobjetivo sin contingencias; sin embargo, 7 contingencias generan desatención de la demanda, que de manera acumulada es de 292 MW. Las adiciones necesarias son:
. Se nota además que la solución para la cual ninguna de las posibles contingencias simples presenta corte carga o f2 es igual a 0 MW, con costo de inversión de 298 [103 U$] dada por:
.
Resultados del sistema IEEE-24 sin incertidumbre con reprogramación de la generación
En la figura 4 pueden verse las soluciones que hacen parte del mejor frente de Pareto encontrado para el sistema de prueba IEEE-24. El costo de 152 [106 U$] corresponde a la alternativa más insegura, con un número total de 23 contingencias con corte de carga acumulado de 3.599,2 MW. El número de líneas que se deben adicionar en este caso y su ubicación son:
y . Por otra parte, la solución más segura encontrada tiene costo de 441 [103 U$] y la configuración para este caso es:
Resultados considerando incertidumbre en la demanda y reprogramación de la generación
Para los problemas planteados se contemplan variaciones en la demanda de ± 5% de la demanda en cada nodo y generación variable o reprogramación de la generación. A continuación se exhiben los resultados obtenidos para cada sistema de prueba.
Resultados del sistema Garver considerando incertidumbre en la demanda
En la figura 5 se presenta el frente de Pareto obtenido para el sistema de Garver considerando incertidumbre en la demanda. La configuración
y tiene costo de inversión de 110 [103 U$] y corte de carga acumulado ante contingencias de 295,4 MW. Esta configuración es infactible por contar con un corte de carga sin contingencias de 1,1 MW. La configuración correspondiente a esta alternativa se denomina configuración 0. La tabla 1 despliega tres configuraciones óptimas alternativas de costo 110 [103 U$] y corte de carga sin contingencias de 0 MW, con corte de carga ante contingencias mostrado en dicha tabla.

En la tabla 2 se pueden apreciar las demandas atendibles en cada barra en MW, y en la tabla 3 de manera porcentual, cuando se considera incertidumbre en la demanda y reprogramación de la generación; para las soluciones de los extremos del frente de Pareto de la figura 5 (costo 110 [103 U$], y 160 [103 U$]), estos valores son de gran interés dado que representan la configuración menos costosa pero más insegura y costosa, pero totalmente segura ante contingencias de tipo (N 1).


Resultados del sistema IEEE-24 considerando incertidumbre en la demanda
En la tabla 4 se dan las soluciones que hacen parte del mejor frente de Pareto encontrado para el sistema de prueba IEEE-24. El costo de 124 [106 U$] corresponde a la alternativa más insegura con corte de carga acumulado ante contingencias de 3.420,4 MW. Los números de líneas que se deben adicionar en este caso, y su ubicación, son:
. La solución más segura encontrada tiene costo de 387 [106 U$] y la configuración para este caso es:
.


Conclusiones
Una gran contribución de este trabajo es la de que el problema de la expansión de la transmisión hasta ahora no había sido tratado bajo un esquema multiobjetivo, incorporando adicionalmente la seguridad y la incertidumbre en la demanda, que son temas relativamente nuevos en este campo.
Considerar la incertidumbre en la demanda y reprogramación de la generación permite encontrar planes de expansión de menor costo cuando se comparan con los obtenidos con demanda determinística, hecho que para el enfoque que considera la seguridad del sistema es un factor determinante dado que al intentar obtener configuraciones más seguras se presentan sobrecostos importantes en las propuestas de inversión.
Para el esquema multiobjetivo planteado se obtienen soluciones satisfactorias que coinciden con las reportadas en la literatura especializada bajo enfoques monoobjetivo con y sin incertidumbre en la demanda. Un importante aporte radica en que se tiene un conjunto de soluciones que conforman frentes de Pareto.
El algoritmo NSGA-II converge rápidamente a soluciones de buena calidad debido a su característica de ser altamente elitista, manteniendo un nivel de diversidad mediante la estrategia de distancias de apilamiento y evitando concentración de soluciones en torno a uno o varios puntos, sin embargo, la implementación de la etapa de mejoramiento es fundamental y permite evitar que el problema quede atrapado en óptimos locales dado que se remueven circuítos redundantes con base en su costo, orientando siempre el algoritmo a las soluciones de menor costo posible.
A pesar de tener una inicialización completamente aleatoria, para el conjunto de soluciones P0, el algoritmo muestra su capacidad de convergencia; no obstante, dada la complejidad del problema es conveniente tener una estrategia de inicialización para obtener resultados a problemas de mayor envergadura.
Nomenclatura
DNA : Demanda no atendida
CREG : Comisión de regulación de energía y gas
MPC : Método predictor-corrector
MPI : Métodos de puntos interiores
NSGA-II : Elitist Non Dominated Sorting Genetic Algorithm
PL : Programación lineal
SEP : Sistemas eléctricos de potencia
Agradecimientos
Los autores expresan sus agradecimientos al Grupo de Planeamiento en Sistemas Eléctricos de Potencia de la Universidad Tecnológica de Pereira, y al Ph.D. Marcos J. Rider, de la Universidad de Campinas, en Sao Pablo, Brasil, por sus aportes en puntos interiores
Bibliografía
Bolaños, R. A., Planeamiento de la Expansión de Sistemas de Transmisión de Energía Considerando Seguridad e Incertidumbre Mediante Optimización Mulltiobjetivo., tesis presentada a la Universidad Tecnológica de Pereira para optar al título de Magíster en Ingeniería Eléctrica, Sep, 2008. [ Links ]
Bolaños R. A., Correa A., Garcés A., Planeamiento de la Expansión de la Transmisión Considerando Contingencias Mediante El Algoritmo Multiobjetivo NSGA-II., Revista Cientia Et Technica, UTP. ISSN 0122-1701, Año XIII, No. 36, 2007. [ Links ]
CREG., Código de Operación, Comisión de Regulación de Energía y Gas, Res. 025 de 1995. [ Links ]
Correa, A., Planeamiento Multiobjetivo de la Expansión de la Transmisión Considerando Múltiples Escenarios de Generación., tesis presentada a la Universidad Tecnológica de Pereira para optar al título de Magíster en Ingeniería Eléctrica, Septimebre, 2008. [ Links ]
Correa A., Bolaños, R. A., Garcés A., Modelo Multiobjetivo para el Planeamiento de la Transmisión Usando una Técnica Evolutiva y Puntos Interiores., Revista Cientia Et Technica, Año XIII, No. 35, 2007. [ Links ]
Correa, A., Bolaños, R. A, Granada, M., Solución del Problema de la Expansión de Redes de Transmisión de Energía Eléctrica Mediante un Algoritmos Genético y Programación Lineal y No Lineal., Revista Ingeniería y Competitividad, Vol. 10, No. 1, Junio, 2008. [ Links ]
Chu, P. C., Beasley, J., A Genetic Algorithm for the Generalized Assignment Problem., Computers Operations Research, 1997. [ Links ]
Escobar, Z. A., Planeamiento Dinámico de la Transmisión en Sistemas de Transmisión Usando Algoritmos Combinatoriales., tesis presentada a la Universidad Tecnológica de Pereira para optar al título de Magíster en Ingeniería Eléctrica, Febrero, 2002. [ Links ]
Deb, K., MultiObjective Optimization Using Evolutionary Algorithms., Department of Mechanical Engineering, Indian Institute Technology, Kanpur India, John Wiley and Sons Ltda. (ed.), England, 2001, pp. 245-261. [ Links ]
Escobar, A., Romero, R., Gallego, R., Multistage and Coordinated Planning of the Expansion of Transmission Systems., IEEE Transactions on Power Systems, Vol. 19, No. 2, 2004. [ Links ]
Gallego, L. A., Planeamiento de la expansión de Redes de Transmisión de energía eléctrica Considerando Contingencias., tesis presentada a la Universidad Tecnológica de Pereira para optar al título de Magíster en Ingeniería Eléctrica, Noviembre, 2005. [ Links ]
Gallego, R. A., Romero, L. R, Escobar, A., Técnicas de Optimización Combinatorial., Universidad Tecnológica de Pereira, Abril de 2006, pp. 1977. [ Links ]
Garver, L. L., Transmission Network Estimation Using Linear Programing., IEEE Trans. Power App. Syst., Vol. 89, Sep./Oct., 1970, pp. 1688-1697. [ Links ]
Rider, M. J., Método de Puntos Interiores para Optimización en Sistemas Eléctricos, Seminario de Optimización en Sistemas de Potencia., Universidad Tecnológica de Pereira, Noviembre, 2004. [ Links ]
Rider, M. J., Romero, R., Mantovani, J. R. S., Transmission Expansion Planning Using the DC Model and Nonlinear-Programming Technique., IEE Proc-Gener. Transm. Distrib., Vol. 152, 2005. [ Links ]
Rider, M. J., Romero, R., Garcia, A. V., Heuristic Algorithm Solve the Short Term Transmission Network Expansion Planning., IEE Proc. Generation, Transmission & Distribution, 2006. [ Links ]
Silva I., Rider M. J., Romero R., Murari C. A., Transmission Network Expansion Planning Considering Uncerinty in Demand., IEEE Transactions on Power Systems, Vol. 21, No. 4, Nov., 2006. [ Links ]













