Services on Demand
Journal
Article
Indicators
-
Cited by SciELO -
Access statistics
Related links
-
Cited by Google -
Similars in
SciELO -
Similars in Google
Share
Ingeniería e Investigación
Print version ISSN 0120-5609
Ing. Investig. vol.31 no.3 Bogotá Sept./Dec. 2011
Análisis de los fenómenos de transferencia en el proceso de evaporación osmótica
Analysing transfer phenomena in osmotic evaporation
Freddy Forero Longas1, Carlos Antonio Vélez Pasos2
1 Ingeniero Agroindustrial, Universidad del Tolima. Estudiante de doctorado en Ingeniería de Alimentos. Universidad del Valle. freddy.forero@correounivalle.edu.co
2 Doctor en Ingeniería de Alimentos, Universidad de Campinas, Brasil. Profesor titular, Universidad del Valle. carlos.velez@correounivalle.edu.co
RESUMEN
La evaporación osmótica es una modificación de los procesos tradicionales que utilizan membranas; mediante un diferencial de presión de vapor, producido por una solución de extracción fuertemente concentrada, se transfiere agua solo en forma de vapor a través de una membrana que actúa como cuerpo hidrófobo. Este proceso tiene múltiples ventajas comparado con los procesos tradicionales, pues permite trabajar a presión atmosférica y baja temperatura, ideal para productos sensibles al calor. En este documento se presentan y analizan de forma sintética los fenómenos de transferencia de masa y calor del proceso y se describen los modelos usados para calcular parámetros de interés como flujos, temperaturas, coeficientes de transferencia y sus interrelaciones cuando se utilizan módulos de fibras huecas, con el fin de proveer una herramienta de consulta rápida y concreta.
Palabras clave: concentración, transferencia de masa, transferencia de calor, membrana hidrófoba, difusión.
ABSTRACT
Osmotic evaporation is a modification of traditional processes using membranes; by means of a vapour pressure differential, produced by a highly concentrated extraction solution, water is transferred through a hydrophobic membrane as vapour. This technique has many advantages over traditional processes, allowing work at atmospheric pressure and low temperatures, this being ideal for heat-sensitive products. This paper presents and synthetically analyses the phenomena of heat and mass transfer which occurs in the process and describes the models used for estimating the parameters of interest, such as flow, temperature, heat transfer rate and the relationships that exist amongst them when hollow fibre modules are used, providing a quick reference tool and specific information about this process.
Keywords: concentration, mass transfer, heat transfer, hydrophobic membrane, diffusion.
Recibido: febrero 3 de 2011 Aceptado: noviembre 20 de 2011
Introducción
La evaporación osmótica (EO), una de las variantes de la destilación por membranas (DM), utiliza membranas hidrófobas cuyos poros se llenan con la fase gaseosa del fluido que se desea concentrar, lo que previene la penetración del agua, de tal modo que solo los componentes volátiles de la alimentación pueden ser transportados a través de la membrana (Sur et al., 2008). La diferencia de presión parcial de los líquidos que se encuentran separados por la membrana dentro del sistema es generalmente aceptada como la fuerza impulsora, cuyo valor depende de la temperatura y composición de las capas adyacentes a la superficie de la membrana; el gradiente de presión parcial puede formarse por las diferencias de temperatura y concentración (Bui et al., 2004; Gryta et al., 2005; Ravindra et al., 2008; Shen et al., 2008).
La DM se lleva a cabo de varios modos, según la forma de colectar el permeado, el mecanismo de transferencia de masa por la membrana y el origen de la fuerza impulsora, características que han sido utilizadas para generar la nomenclatura usada en estas técnicas. El término "evaporación osmótica" ha sido generalizado (Courel et al., 2000; Romero et al., 2003a) sin necesidad de mencionar las palabras "destilación por membranas", a fin de resaltar la marcada influencia de la concentración en el proceso. Algunos autores la denominan también destilación osmótica, concentración osmótica o destilación isotérmica (Petrotos et al., 2001). Esta técnica ha despertado bastante interés en el área del procesamiento de alimentos líquidos, como la concentración de jugos de frutas (Shaw et al., 2001; Vaillant et al., 2001; Valdes et al., 2009), vegetales, leche, café instantáneo, té y otros productos sensitivos al calor, al poder trabajar a presión atmosférica, temperatura ambiente y condiciones casi isotérmicas (Bailey et al., 2000; Nii et al., 2002), eliminando las reacciones de pardea-miento no enzimático y Maillard, degradación de color, sabor y pérdida de aromas, sumado a todo esto el bajo consumo energético.
Fenómenos de transporte
El elemento poroso de la membrana del sistema de EO se encuentra en contacto íntimo con los dos líquidos circulantes y la temperatura del fluido a concentrar es baja y cercana a la de la salmuera. Gracias a la hidrofobicidad del polímero la membrana no puede ser mojada por los líquidos, creando una interfaz vapor-líquido a la entrada de los poros; la diferencia en actividad de agua entre la solución acuosa y la salmuera se traduce en una diferencia de presiones de vapor, convirtiéndose en la fuerza impulsora para el transporte de agua en forma de vapor (figura 1a). El proceso de transporte de masa puede ser dividido en tres etapas: el paso inicial y final corresponde a la transferencia de agua desde la solución diluida por medio de la interfaz de evaporación y viceversa, desde la superficie de condensación hacia la salmuera; el paso intermedio es el movimiento en fase de vapor a través del material poroso (Romero et al., 2003b; Tha-nedgunbaworn et al., 2009). La diferencia de presión de vapor a través de la membrana se obtiene generalmente con soluciones de sales como NaCl, CaCl2, MgCl2, MgSO4 (Gryta, 2001; Bandini et al., 2002; Bui et al., 2003) y algunos líquidos orgánicos como glicerol y poliglicoles (Alves et al., 2002; Celere et al., 2004; Celere et al., 2005), que en general presentan alta solubilidad, baja actividad de agua y alta tensión superficial.
Masa
El modelo básico para describir el sistema está dado por la ecuación (1) que relaciona el flux y la fuerza impulsora mediante una constante de proporcionalidad (coeficiente de transferencia de masa), la cual es considerada como permeabilidad de la membrana (Cassano et al., 2003; Alves et al., 2004).
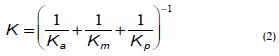
Puesto que las condiciones existentes en la interfaz no siempre están disponibles, una representación más completa del proceso está dada por la ecuación (2), donde el coeficiente global K integra varias resistencias a la transferencia de masa (figura 1b).
La presión de vapor de agua a la entrada de los poros tanto de la solución diluida como de la salmuera está relacionada con la temperatura y actividad prevaleciente en la interfaz de la membrana; esta condición es muy útil al momento de calcular la permeabilidad (K), para lo cual se pueden usar las siguientes expresiones:
Mecanismos difusionales
Debido a que en los poros de la membrana se tiene aire proveniente del líquido alimentado que se encuentra cercano a la presión atmosférica, teóricamente solo dos mecanismos pueden estar involucrados en la transferencia de vapor, difusión de Knudsen y difusión molecular, de acuerdo con la teoría cinética de los gases (Thanedgunbaworn et al/., 2007a). El número de Knudsen (Kn) definido por la ecuación (5) es usado como un primer criterio para determinar cuál de los dos mecanismos de difusión puede ser el predominante, comparando la trayectoria media libre (X) de la molécula que se difunde con el radio de los poros en la membrana (Qtaishat et al., 2008).
Para un tamaño de poro relativamente pequeño, Kn ≥ 10, las moléculas tienden a colisionar frecuentemente con las paredes del poro y el modelo Knudsen (7) es el más conveniente. Por ejemplo, la trayectoria media libre para el vapor de agua es de 0,3 µm a presión atmosférica y 25 °C, valor que se encuentra en el rango de los tamaños típicos de poro en membranas usadas para EO (Varavuth et al., 2009).
Cuando los poros son grandes, Kn ≤ 0,01, las moléculas de gas colisionan más frecuentemente entre sí, la difusión molecular es considerada predominante (Celere et al/., 2002) y el flujo de vapor puede ser descrito por la ecuación (9), donde PAlm es la presión media logarítmica dentro de los poros y D (coeficiente difusional) es función de la temperatura y la presión (11).
Finalmente, en la región de transición, 0,01 < Kn < 10, los dos fenómenos se combinan y en este caso la mejor opción es utilizar un modelo mixto (12) con una permeabilidad del tipo (13), en la cual se incluye el término PAlm, que tiene en cuenta el efecto del aire presente en los poros (Chen et al., 2009).
Las ecuaciones anteriores deben manejarse con cuidado cuando se usan para propósitos predictivos debido a que cualquier membrana tiene una distribución más o menos amplia de tamaño de poro y formas irregulares, por lo que cálculos basados solo en el diámetro nominal son una estimación general de la permeabilidad actual de la membrana, debiendo este diámetro ser cuantificado experimentalmente (Koroknai et al., 2006).
Equilibrio líquido-vapor
Para el caso de la EO se estable un equilibrio líquido-vapor en las interfaces de la membrana hidrófoba tanto del lado del producto como de la salmuera; este equilibrio puede cambiar al ser afectado directamente por las propiedades físicas de las soluciones y las condiciones hidrodinámicas del módulo; la actividad de agua (aw) se convierte un factor crítico dentro del proceso, cuyo cambio se puede conocer mediante la ecuación (14) (Bui et al., 2005a; Prausnitz et al., 2000).
donde el coeficiente de actividad (γ), puede ser determinado experimentalmente o por medio de modelos teóricos. El método Unifac modificado (Modified UNIquac Funtional-group Activity Coefficients) puede ser aplicado con buenos resultados en la alimentación cuando esta contiene gran cantidad de azúcares simples como sacarosa, glucosa, fructosa, los cuales se encuentran con frecuencia en jugos de frutas (Starzak et al., 2006; Gaida et al., 2006; Gharsallaoui et al., 2008).
Cuando las concentraciones iónicas en la salmuera son bajas la distancia media entre los iones es grande, en cuyo caso sólo son importantes las fuerzas electrostáticas de largo alcance; cuando las concentraciones son altas los iones comienzan a interactuar con fuerzas repulsivas (efecto de volumen excluido) y atractivas (Van der Waals). En esta situación el método de contribución de grupos ASOG (Analytical Solution of Groups) es muy acertado para predecir el coeficiente de actividad en soluciones formadas por solutos del tipo sal (NaCl, CaCl2, KOH), bien sean binarias o multicomponentes (Huang et al., 2009).
Con estas metodologías el coeficiente de actividad es calculado usando tres términos: uno de combinación (ln yiC), el cual considera la forma y tamaño de cada grupo; otro residual (ln yiR), que suma las interacciones estéricas entre todos los grupos presentes en el líquido; y para el caso de la solución salina, en la ecuación 15 se adiciona un término (ln yiDH) que representa el efecto de las interacciones electrostáticas o teoría Debye-Huckel (Correa et al., 1997).
Coeficientes de transferencia
El flujo de agua por las capas de polarización tanto del lado de la alimentación como del permeado, puede ser expresado en su forma más sencilla mediante las ecuaciones (16) y (17), aunque algunos autores desprecian estas capas de polarización en casos donde la alimentación es solo agua y bajo condiciones en las cuales se pretende cuantificar otros parámetros de la membrana (Courel et al., 2001).
Si se tiene en cuenta la resistencia debida a la polarización en la EO, las concentraciones en las capas límites de la membrana son estimadas por el modelo simplificado expuesto en las ecuaciones (18) y (19), que no toma en cuenta el cambio de distribución de la capa a lo largo del módulo.
Al tratarse de módulos de fibras huecas pueden aplicarse modelos semiempíricos para predecir el coeficiente ka, para lo cual el flujo de la alimentación dentro de la fibra puede asimilarse al que se presenta en una tubería. Por tal razón, la ecuación de Sieder-Tate y sus análogas para transferencia de masa - ecuaciones (20) y (21)- pueden ser aplicadas satisfactoriamente (Martínez-Díez et al., 2000).
Se han realizado varios estudios para generar modelos con la finalidad de estimar el coeficiente (kp) por fuera de los fibras huecas -lado de la carcasa- (Wu et al., 2000; Gawronski, 2000; Lipnizki, 2001). Recientemente Thanedgunbaworn y cols. (2007b) desarrollaron una nueva expresión (22), con la cual lograron una mejor descripción del fenómeno, encontrando que el número de Reynolds es una función de la densidad de empaquetamiento ( Ø ).
Calor
El proceso de EO es considerado isotérmico siempre que no exista una diferencia de temperatura a través de la membrana. No obstante, debido al calor latente del cambio de fase ocurrido en las paredes la evaporación genera un ligero enfriamiento en la alimentación y la condensación calienta la salmuera, con lo cual la transferencia de masa está asociada con la de calor; esta diferencia de temperatura resultante se convierte en un decaimiento del gradiente de presión de vapor, con la consiguiente disminución de la fuerza impulsora (Courel et al., 2000). La figura 2 muestra el mecanismo de transferencia de calor como un conjunto de resistencias y un perfil de temperaturas bajo condiciones medias; las expresiones (24) y (25) representan el balance de calor en los diferentes compartimentos del sistema y el coeficiente total, respectivamente.
Este balance general de calor es aplicable tanto a módulos de membranas planas como de fibra hueca. La gran diferencia para estos dos sistemas radica en el cálculo de los coeficientes de transferencia, debido especialmente a las particularidades geométricas y características físicas como porosidad, conductividad, tortuosidad, colmatación y rugosidad (Drioli et al., 2005), entre otros, que afectan la magnitud de los coeficientes; sumado a esto se tienen las características hidrodinámicas diferentes, que generalmente favorecen la transferencia en módulos de fibras huecas (Martínez et al.,2006).
El flujo de calor generado a través de la membrana incrementa el diferencial de temperatura, proceso que continúa hasta que se alcanza un valor asintótico ΔT (26) donde el flux de calor convectivo ( ) es exactamente balanceado por el retroflujo de calor conductivo (
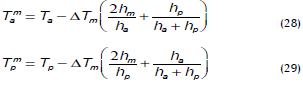
), por tal motivo las membranas deben ser tan conductivas como sea posible. El efecto de ΔT∞ en la fuerza impulsora para el transporte de agua puede ser evaluado por la ecuación de Clausius-Klapeyron; la importancia de encontrar ΔT radica en que bajo esas condiciones de operación no se presentará flujo de calor a través del sistema (Gostoli, 1999). Cuando las temperaturas son controladas y mantenidas constantes en ambos líquidos, la diferencia de temperatura transmembrana ΔT está dada por la ecuación 27.
Para especificar las temperaturas en las interfaces de los líquidos y la superficie de la membrana es necesario modificar la ecuación 27, obteniéndose dos expresiones (28) y (29) que permiten calcular dichas temperaturas (Bui et al., 2005b; McCutcheon et al., 2008).
Coeficientes de transferencia
El coeficiente de transferencia de calor por conducción (hm) en una fibra hueca se puede calcular por medio de la expresión (30), donde la conductividad térmica total de la membrana es una combinación de la mezcla de gases (aire y agua) que se encuentran en los poros y el polímero del que está fabricada.
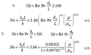
El coeficiente de transferencia convectivo (ha) al interior de membranas huecas puede cuantificarse mediante analogía con el flujo dentro de una tubería aplicándose los modelos de Sieder-Tate y Hausen que se definen según las ecuaciones (31) y (32), las cuales hacen uso del número de Nusselt para el cálculo de este parámetro (Martínez-Díez et al., 2000).
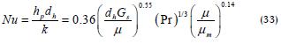
El cálculo del coeficiente (hp) al exterior de las fibras ha sido poco estudiado para la evaporación osmótica debido a las complejidades geométricas e hidrodinámicas de los módulos utilizados en esta operación; algunos autores (Gryta et al., 2005) sugieren usar el modelo de Kern (33) que se aplica para intercambiadores de calor de coraza y tubos.
Conclusiones
La evaporación osmótica tiene múltiples ventajas, donde la más importante es su operación a bajas temperaturas. Es un proceso sencillo desde el punto de vista técnico, pero altamente complejo en el análisis matemático y físico de los fenómenos de transferencia que se presentan, con la particularidad de que son de carácter simultáneo. Algunos de los modelos matemáticos que se han descrito son generales, pero siempre representan el punto de partida en la búsqueda de parámetros más difíciles de cuantificar experimentalmente; ha de tenerse la mesura para saber hasta dónde son aplicables los resultados. El material de la membrana, las características hidrodinámicas de los módulos y las velocidades de flujo son los parámetros más determinantes en la magnitud de los coeficientes de transferencia tanto de calor como de masa, siendo una de las áreas en las que se debe investigar más en futuros trabajos para encontrar modelos específicos que permitan optimizar y hacer más robusto el proceso frente a la diversidad de materias primas, especialmente cuando se trata de materiales complejos como los alimentos líquidos.
Nomenclatura
A Área (m-2)
a Actividad
C Concentración molar soluto (mol l-1)
cp Capacidad calorífica (J/K)
D Coeficiente de difusión (m-2 s-1)
dh Diámetro hidráulico (m)
d Diámetro (m)
dp Diámetro de poro (m)
H Coeficiente total transferencia calor (W m-2 K-1)
Hv Calor de vaporización (kJ/kg-1)
h Coeficiente transferencia calor (W m-2 K-1)
K Coeficiente transferencia masa (kg m-2 h-1 Pa-1)
k Conductividad térmica (W/K.m)
kb Constante de Boltzmann (1,3807x10-23 J K-1)
L Longitud (m)
M Peso molecular (kg mol-1)
m Masa (kg)
N Flux vapor, masa (kg m-2 h-1), (mol m-2 s-1).
P Presión (Pa)
P* Presión vapor saturado (Pa)
PAlm Presión aire media logarítmica
Q Flux de calor (W m-2)
R Constante de los gases (8,314J K-1 mol-1)
r Radio de poro (m)
T Temperatura (°C, K)
X Fracción masa (p/p %)
Simbolos
ε Porosidad
δ Espesor (m)
Δ Diferencia
γ Coeficiente de actividad
λ Trayectoria de media libre (m)
µ Viscosidad dinamica (Pa s)
X Tortuosidad
∞ Valor asintótico
Ø Densidad empaquetamiento
ρ Densidad(kg m-3)
σ Diametro medio de colisión
ν Velocidad media (m s-1)
Números adimensionales
Gz Graetz
Kn Knudsen
Nu Nusselt
Pr Prandtl
Re Reynolds
Sc Schmidt
Sh Sherwood
Subíndices
a Alimentación
i Interno
o Externo
m Membrana
p Permeado
w Agua
k Difusión Knudsen
M Difusión molecular
Superíndices
k Difusión Knudsen
M Difusión molecular
m Membrana
– Promedio
Referencias
Alves, V.D.,Coelhoso, I.M., Mass transfer in osmotic evaporation: effect of process parameters., Journal of Membrane Science. Vol. 208, No. 1 -2, 2002, pp. 171-1 79. [ Links ]
Alves, V. D.,Coelhoso, I.M., Effect of membrane characteristics on mass and heat transfer in the osmotic evaporation process. Journal of Membrane Science. Vol. 228, No. 2, 2004, pp. 159-167. [ Links ]
Bailey, A.F.G., Barbe, A.M., Hogan, P. A., Johnson, R. A.,Sheng, J., The effect of ultrafiltration on the subsequent concentration of grape juice by osmotic distillation. Journal of Membrane Science. Vol. 164, No. 1 -2, 2000, pp. 195-204. [ Links ]
Bandini, S., Sarti, G.C., Concentration of must through vacuum membrane distillation. Desalination. Vol. 149, No. 1-3, 2002, pp. 253-259. [ Links ]
Bui, A.V., Nguyen, H.M., Joachim, M., Prediction of water activity of glucose and calcium chloride solutions. Journal of Food Engineering. Vol. 57, No. 3, 2003, pp. 243-248. [ Links ]
Bui, V.A., Nguyen, M.H., Muller, J., A laboratory study on glucose concentration by osmotic distillation in hollow fibre module. Journal of Food Engineering. Vol. 63, No. 2, 2004, pp. 237-245. [ Links ]
Bui, A.V., Nguyen, H.M., Scaling Up of Osmotic Distillation from Laboratory to Pilot Plant for Concentration of Fruit Juices. International Journal of Food Engineering. Vol. 1, No. 2, 2005a, pp. 1-18. [ Links ]
Bui, A.V., Nguyen, H.M., Joachim, M., Characterisation of the polarisations in osmotic distillation of glucose solutions in hollow fibre module. Journal of Food Engineering. Vol. 68, No. 3, 2005b, pp. 391-402. [ Links ]
Cassano, A., Drioli, E., Galaverna, G., Marchelli, R., Di Silvestro, G., Cagnasso, P., Clarification and concentration of citrus and carrot juices by integrated membrane processes. Journal of Food Engineering. Vol. 57, No. 2, 2003, pp. 153-163. [ Links ]
Celere, M., Gostoli, C., The heat and mass transfer phenomena in osmotic membrane distillation. Desalination. Vol. 147, No. 1-3, 2002, pp. 133-138. [ Links ]
Celere, M., Gostoli, C., Osmotic distillation with propylene glycol, glycerol and glycerol-salt mixtures. Journal of Membrane Science. Vol. 229, No. 1-2, 2004, pp. 159-170. [ Links ]
Celere, M., Gostoli, C., Heat and mass transfer in osmotic distillation with brines, glycerol and glycerol-salt mixtures. Journal of Membrane Science. Vol. 257, No. 1-2, 2005, pp. 99-110. [ Links ]
Correa, A., Comesaña, J.F., Correa, J.M., Sereno, A.M., Measurement and prediction of water activity in electrolyte solutions by a modified ASOG group contribution method. Fluid Phase Equilibria. Vol. 129, No. 1-2, 1997, pp. 267-283. [ Links ]
Courel, M., Dornier, M., Herry, J.M., Rios, G. M., Reynes, M., Effect of operating conditions on water transport during the concentration of sucrose solutions by osmotic distillation. Journal of Membrane Science. Vol. 170, No. 2, 2000, pp. 281-289. [ Links ]
Courel, M., Dornier, M., Rios, G. M., Reynes, M., Modelling of water transport in osmotic distillation using asymmetric membrane. Journal of Membrane Science. Vol. 173, No. 1, 2000, pp. 107-122. [ Links ]
Courel, M., Tronel-Peyroz, E., Rios, G.M., Dornier, M., Reynes, M., The problem of membrane characterization for the process of osmotic distillation. Desalination. Vol. 140, No. 1, 2001, pp. 15-25. [ Links ]
Chen, T.C., Ho, C.D.,Yeh, H.M., Theoretical modeling and experimental analysis of direct contact membrane distillation. Journal of Membrane Science. Vol. 330, No. 1-2, 2009, pp. 279-287. [ Links ]
Drioli, E., Curcio, E., di Profio, G., State of the Art and Recent Progresses in Membrane Contactors. Chemical Engineering Research and Design. Vol. 83, No. 3, 2005, pp. 223-233. [ Links ]
Gaida, L. B., Dussap, C.G., Gros, J. B., Variable hydration of small carbohydrates for predicting equilibrium properties in diluted and concentrated solutions. Food Chemistry. Vol. 96, No. 3, 2006, pp. 387-401. [ Links ]
Gawronski, R., Wrzesinska, B., Kinetics of solvent extraction in hollow-fiber contactors. Journal of Membrane Science. Vol. 168, No. 1-2, 2000, pp. 213-222. [ Links ]
Gharsallaoui, A., Rogé, B., Génotelle, J., Mathlouthi, M., Relationships between hydration number, water activity and density of aqueous sugar solutions. Food Chemistry. Vol. 106, No. 4, 2008, pp. 1443-1453. [ Links ]
Gostoli, C., Thermal effects in osmotic distillation. Journal of Membrane Science. Vol. 163, No. 1, 1999, pp. 75-91. [ Links ]
Gryta, M., Tomaszewska, M., Grzechulska, J., Morawski, A. W., Membrane distillation of NaCl solution containing natural organic matter. Journal of Membrane Science. Vol. 181, No. 2, 2001, pp. 279-287. [ Links ]
Gryta, M., Osmotic MD and other membrane distillation variants. Journal of Membrane Science. Vol. 246, No. 2, 2005, pp. 145-156. [ Links ]
Huang, J., Li, J., Gmehling, J. r., Prediction of solubilities of salts, osmotic coefficients and vapor-liquid equilibria for single and mixed solvent electrolyte systems using the LIQUAC model. Fluid Phase Equilibria. Vol. 275, No. 1, 2009, pp. 8-20. [ Links ]
Koroknai, B., Kiss, K., Gubicza, L., Belafi-Bako, K., Coupled operation of membrane distillation and osmotic evaporation in fruit juice concentration. Desalination. Vol. 200, No. 1-3, 2006, pp. 526-527. [ Links ]
Lipnizki, F., Field, R. W., Mass transfer performance for hollow fibre modules with shell-side axial feed flow: using an engineering approach to develop a framework. Journal of Membrane Science. Vol. 193, No. 2, 2001, pp. 195-208. [ Links ]
Martínez-Díez, L., Florido-Díaz, F.J.,Vázquez-González, M. I., Study of Polarization Phenomena in Membrane Distillation of Aqueous Salt Solutions. Separation Science and Technology. Vol. 35, No. 10, 2000, pp. 1485 - 1501. [ Links ]
Martinez, L., Rodriguez-Maroto, J.M., Characterization of membrane distillation modules and analysis of mass flux enhancement by channel spacers. Journal of Membrane Science. Vol. 274, No. 1-2, 2006, pp. 123-137. [ Links ]
McCutcheon, J.R., Elimelech, M., Influence of membrane support layer hydrophobicity on water flux in osmotically driven membrane processes. Journal of Membrane Science. Vol. 318, No. 1-2, 2008, pp. 458-466. [ Links ]
Nii, S., Jebson, R.S., Cussler, E.L., Membrane evaporators. Journal of Membrane Science. Vol. 201, No. 1-2, 2002, pp. 149-159. [ Links ]
Prausnitz, J.M., Lichtenthaler, R.N., Azevedo, E., Termodinámica molecular de los equilibrios de fases, 3a Ed., Madrid, Prentice Hall., 2000, pp. 175 - 200. [ Links ]
Petrotos, K.B.,Lazarides, H.N., Osmotic concentration of liquid foods. Journal of Food Engineering. Vol. 49, No. 2-3, 2001, pp. 201-206. [ Links ]
Qtaishat, M., Matsuura, T., Kruczek, B., Khayet, M., Heat and mass transfer analysis in direct contact membrane distillation. Desalination. Vol. 219, No. 1-3, 2008, pp. 272-292. [ Links ]
Ravindra Babu, B., Rastogi, N. K.,Raghavarao, K. S. M. S., Concentration and temperature polarization effects during osmotic membrane distillation. Journal of Membrane Science. Vol. 322, No. 1, 2008, pp. 146-153. [ Links ]
Romero, J., Analysis of boundary layer and solute transport in osmotic evaporation. AIChE Journal. Vol. 49, No. 11, 2003a, pp. 2783-2792. [ Links ]
Romero, J., Modeling heat and mass transfer in osmotic evaporation process. AIChE Journal. Vol. 49, No. 2, 2003b, pp. 300-308. [ Links ]
Shaw, P. E., Lebrun, M., Dornier, M., Ducamp, M. N., Courel, M., Reynes, M., Evaluation of Concentrated Orange and Passionfruit Juices Prepared by Osmotic Evaporation. Lebens-mittel-Wissenschaft und-Technologie. Vol. 34, No. 2, 2001, pp. 60-65. [ Links ]
Shen, Z., Zhang, L., Mondal, S.,Wickramasinghe, S. R., Suppression of Osmotic Distillation in Gas Membrane Processes. Separation Science & Technology. Vol. 43, No. 15, 2008, pp. 3813-3825. [ Links ]
Starzak, M., Mathlouthi, M., Temperature dependence of water activity in aqueous solutions of sucrose. Food Chemistry. Vol. 96, No. 3, 2006, pp. 346-370. [ Links ]
Sur, D. H., Dagli, J., Osmotic distillation: A separation wonder. Chemical Business. Vol. 22, No. 9, 2008, pp. 47. [ Links ]
Thanedgunbaworn, R., Jiraratananon, R., Nguyen, M.H., Mass and heat transfer analysis in fructose concentration by osmotic distillation process using hollow fibre module. Journal of Food Engineering. Vol. 78, No. 1, 2007a, pp. 126-135. [ Links ]
Thanedgunbaworn, R., Jiraratananon, R., Nguyen, M.H., Shell-side mass transfer of hollow fibre modules in osmotic distillation process. Journal of Membrane Science. Vol. 290, No. 1-2, 2007b, pp. 105-113. [ Links ]
Thanedgunbaworn, R., Jiraratananon, R., Nguyen, M.H., Vapour Transport Mechanism in Osmotic Distillation Process. International Journal of Food Engineering. Vol. 5, No. 5, 2009, pp. 1-19. [ Links ]
Vaillant, F., Jeanton, E., Dornier, M., O'Brien, G. M., Reynes, M., Decloux, M., Concentration of passion fruit juice on an industrial pilot scale using osmotic evaporation. Journal of Food Engineering. Vol. 47, No. 3, 2001, pp. 195-202. [ Links ]
Valdés, H., Romero, J., Saavedra, A., Plaza, A., Bubnovich, V., Concentration of noni juice by means of osmotic distillation. Journal of Membrane Science. Vol. 330, No. 1-2, 2009, pp. 205-213. [ Links ]
Varavuth, S., Jiraratananon, R.,Atchariyawut, S., Experimental study on dealcoholization of wine by osmotic distillation process. Separation and Purification Technology. Vol. 66, No. 2, 2009, pp. 313-321. [ Links ]
Wu, J., Chen, V., Shell-side mass transfer performance of randomly packed hollow fiber modules. Journal of Membrane Science. Vol. 172, No. 1-2, 2000, pp. 59-74. [ Links ]










text in 


