Services on Demand
Journal
Article
Indicators
-
Cited by SciELO -
Access statistics
Related links
-
Cited by Google -
Similars in
SciELO -
Similars in Google
Share
Ingeniería e Investigación
Print version ISSN 0120-5609
Ing. Investig. vol.31 no.3 Bogotá Sept./Dec. 2011
Analysing transfer phenomena in osmotic evaporation
Freddy Forero Longas1, Carlos Antonio Vélez Pasos2
1 Agroindustrial Engineer, Universidad del Tolima.. Ph.D. student in Food Engineering. Universidad del Valle. freddy.forero@correounivalle.edu.co
2 Ph.D. in Food Engineering, University o Universidad de Campinas, Brazil. Professor, Universidad del Valle. carlos.velez@correounivalle.edu.co
ABSTRACT
Osmotic evaporation is a modification of traditional processes using membranes; by means of a vapour pressure differential, produced by a highly concentrated extraction solution, water is transferred through a hydrophobic membrane as vapour. This technique has many advantages over traditional processes, allowing work at atmospheric pressure and low temperatures, this being ideal for heat-sensitive products. This paper presents and synthetically analyses the phenomena of heat and mass transfer which occurs in the process and describes the models used for estimating the parameters of interest, such as flow, temperature, heat transfer rate and the relationships that exist amongst them when hollow fibre modules are used, providing a quick reference tool and specific information about this process.
Keywords: concentration, mass transfer, heat transfer, hydrophobic membrane, diffusion.
Received: February 3th 2011 Accepted: November 20th 2011
Introduction
Osmotic evaporation (OE), a variant of membrane distillation (MD), uses hydrophobic membranes whose pores are filled with the gas phase of fluid to be concentrated, thereby preventing water penetration in such a way that only the volatile components of food can be transported across a membrane (Sur et al., 2008). The difference in liquids' partial pressure separated by a membrane within a system is generally accepted as the driving force, whose value depends on the temperature and composition of the layers adjacent to the membrane surface. A partial pressure gradient can be formed by temperature and concentration differences (Bui et al., 2004; Gryta et al., 2005; Ravindra et al., 2008; Shen et al., 2008).
MD is carried out in several ways, according to how permeate is collected, the mechanism for mass transfer through a membrane and the origin of the driving force; such characteristics have given rise to the nomenclature used for these techniques. The term "osmotic evaporation" has been generalised (Courel et al., 2000; Romero et al., 2003a) without mentioning the words "membrane distillation" to highlight the strong influence of the concentration within the process. It has also been called osmotic distillation, osmotic concentration and isothermal distillation by some authors (Petrotos et al., 2001). This technique has aroused considerable interest in the area of processed food in liquid form, such as concentrated fruit juice concentration, vegetables, milk, instant coffee, tea and other heat-sensitive products (Shaw et al., 2001; Vaillant et al., 2001; Valdes et al., 2009) because it works at atmospheric pressure, low temperature and in almost isothermal conditions (Bailey et al., 2000; Nii et al., 2002), eliminating non-enzymatic browning and Maillard reactions, degradation of colour, flavour and aroma loss and low energy consumption.
Transport phenomena
An EO system's porous membrane element is in intimate contact with circulating liquids, feed temperature is low and close to that of brine. Due to a polymer's hydrophobicity, a membrane cannot be wetted by the liquid, creating a vapour-liquid interface at the entrance to the pores; the difference in water activity between aqueous and brine solution results in a difference in vapour pressure, becoming the driving force for water vapour transport (Figure 1a). Mass transport can be divided into initial and final steps corresponding to water transfer from the diluted solution through evaporation interface and vice versa from the condensing surface to the brine; an intermediate step involves the movement of vapour through porous material (Romero et al., 2003b; Thanedgunbaworn et al., 2009). Vapour pressure difference across a membrane is usually obtained with salts solutions, such as NaCl, CaCl2, MgCl2, MgSO4 (Gryta, 2001; Bandini et al., 2002; Bui et al., 2003), and some organic liquids, such as glycerol and polyglycol (Alves et al., 2002; Celere et al., 2004; Celere et al., 2005) which generally have high solubility, low water activity and high surface tension.
Mass
The basic model for describing the system is given by equation (1) which relates flux and driving force, mass transfer coefficient being a proportionality constant, which is considered as membrane permeability (Cassano et al., 2003; Alves et al., 2004).
As conditions at the interface are not always available, a more complete representation of the process is given by equation (2), where the overall coefficient K integrates multiple resistance to mass transfer (Figure 1b).
Water vapour pressure at the entrance to the pores regarding both dilute solution and brine is related to temperature and prevailing activity in the membrane interface; this condition is very useful for calculating permeability (K), for which the following expressions can be used:
Diffusion mechanisms
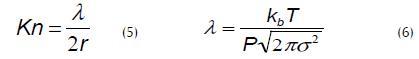
Because air coming from fed fluid is close to atmospheric pressure in the membrane's pores, then theoretically only two mechanisms may be involved in the transfer of steam, Knudsen diffusion and molecular diffusion, according to the kinetic theory of gases (Thanedgunbaworn et al., 2007a). The Knudsen number (Kn) defined by equation (5) is used as a first criterion for determining which of the two diffusion mechanisms may be predominant, by comparing the mean free path (l) of the molecule that diffuses to the radius of the pores in the membrane. (Qtaishat et al., 2008):
For a relatively small pore size, Kn ³10, the molecules tend to collide frequently with the pore walls and the Knudsen model (7) is the most convenient one to use. For example, the mean free path for water vapour is 0.3 mm at atmospheric pressure and 25°C, a value within the range of pore sizes in membranes typically used for OE (Varavuth et al., 2009):
When the pores are large, Kn < 0.01, the gas molecules collide more frequently with each other, molecular diffusion is considered predominant (Celere et al/., 2002) and vapour flow can be described by equation (9), where PAlm is the logarithmic mean pressure within the pores and D (diffusion coefficient) is a function of temperature and pressure (11):
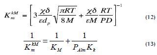
The two phenomena become combined in the transition region, 0.01 < Kn < 10, and the best option in this case is to use a mixed model (12) having type permeability (13) which includes the term PAlm that takes into account the effect of air in the pores (Chen et al., 2009):
The above equations must be handled with care when used for predictive purposes because any membrane has a more or less broad distribution of pore size and irregular shapes, so that calculations based only on nominal diameter are a general estimate of a membrane's current permeability. This diameter must be measured experimentally (Koroknai et al., 2006).
Vapour - liquid equilibrium
A liquid-vapour equilibrium is established in the membrane interface for the OE on both the product and brine sides; this equilibrium may change, being directly affected by the solutions' physical properties and the module's hydrodynamic conditions. Water activity (wa) becomes a critical factor in the process and can be accessed by equation (14) (Bui et al., 2005a; Prausnitz et al., 2000):
where activity coefficient (γ) can be determined experimentally or by theoretical models. The modified UNIquac functional-group activity coefficients (UNIFAC) method can be successfully applied to the feed side when it contains large amounts of simple sugars, such as sucrose, glucose, fructose, which are often found in fruit juice (Starzak et al., 2006; Gaida et al., 2006; Gharsallaoui et al.,2008).
When ion concentrations in brine are low, the average distance between ions is large, in which case only longrange electrostatic forces are important; when concentrations are high, ions start interacting with repulsive (excluded volume effect) and attractive forces (Van der Waals). For this situation, the analytical solution of groups (ASOG) contribution method is very successful in predicting solutes' activity coefficient in solutions formed by salt type (NaCl, CaCl2, KOH), whether binary or multi-component (Huang et al., 2009).
The activity coefficient is calculated using a combination (ln giC) considering each group's shape and size and a residual (in giR) that adds steric interactions between all the groups present in the liquid. In the case of the saline solution, a term (ln giDH) is added to equation 15 representing the effect of electrostatic or Debye- Huckel theory interactions (Correa et al., 1997):
Transfer coefficients
Both feed and permeate can be expressed in their simplest form by equations (16) and (17) regarding the flow of water through polarisation layers, although some authors disregard these polarisation layers for cases in which food is just water and in conditions where it is intended to quantify other membrane parameters (Courel et al., 2001):
Taking resistance due to polarisation during OE into account, concentrations in membrane boundary layers are estimated by the simplified model presented in equations (18) and (19), which does not take into account the change in the distribution of the layer throughout the module:
Semi-empirical models can be applied to predict coefficient ka for hollow fibre modules for which the power flow inside the fibre can be likened to that presented in a pipe. The Sieder-Tate equation and its analogues for mass transfer, equations (20) and (21), can thus be successfully applied (Martínez-Díez et al., 2000):
Several studies have produced models for estimating the kp coefficient outside hollow fibres (shell side) (Wu et al., 2000; Gawronski, 2000; Lipnizki, 2001). Thanedgunbaworn et al., (2007b) have recently developed a new expression (22) to give a better description of the phenomenon, finding that Reynolds number is a function of packing density (Ø ).
Heat
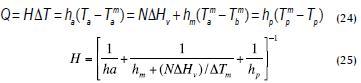
The OE process is considered isothermal, provided that there is no temperature difference across the membrane. However, due to the latent heat from phase change occurring in the walls, evaporation results in a slight cooling of food, and condensation heats the brine; mass transfer is thus associated with heat. The resulting temperature difference causes decay of the vapour pressure gradient, with consequent reduction in driving force (Courel et al., 2000). Figure 2 shows heat transfer mechanisms as a set of resistances and a temperature profile in average conditions; expressions (24) and (25) represent the heat balance in the system's different compartments and total coefficient, respectively.
Such overall heat balance not only applies to flat membrane modules but to hollow fibre. The big difference for both systems is the calculation of transfer coefficients, especially due to the specific geometric and physical characteristics such as porosity, conductivity, tortuosity, fouling and roughness (Drioli et al., 2005) affecting coefficient magnitude. Different hydrodynamic characteristics may also favour transfer in hollow fibre modules (Martínez et al., 2006).
Heat flow through a membrane increases the temperature differential; such process continues until it reaches an asymptotic value DT (26) where the convective heat flux ( ) is exactly balanced by conductive heat backflow (
). The membranes should thus be as conductive as possible. The effect of DTT∞ on the driving force for water transport can be evaluated by the Clausius-Klapeyron equation; the importance of finding T arises from the fact that there will be no heat flow through the system in these operating conditions (Gostoli, 1999). Transmem-brane temperature difference DT is given by Eq (27) when temperatures are controlled and kept constant in both liquids:
Equation (27) has to be modified to specify the temperatures at the liquid interfaces and membrane surface for obtaining two expressions (28) and (29) that calculate these temperatures (Bui et al., 2005b; McCutcheon et al., 2008):
Transfer coefficients
The coefficient of heat transfer by conduction (hm) in a hollow fibre can be calculated by using expression (30) where the membrane's total thermal conductivity is a combination of the gas mixture (air and water) found in the pores and the polymer of which it is made:
The convective heat transfer coefficient (ha) within hollow membranes can be quantified by analogy with the flow in a pipe, applying the Sieder-Tate and Hausen models defined by equations (31) and (32), which make use of the Nusselt number for calculating this parameter (Martínez-Díez et al., 2000):
The calculation for the coefficient (hp) to the outside of the fibres has been little studied for osmotic evaporation, due to the geometric and hydrodynamic complexity of the modules used in this operation; some authors (Gryta et a/., 2005) have suggested using Kern's model (33) applied to shell and tube heat exchangers.
Conclusions
Osmotic evaporation has multiple advantages; the most important is that it operates at low temperatures. It is a simple process from the technical point of view; however, it is highly complex for mathematical and physical analysis of involved simultaneous transfer phenomena. Some general mathematical models have been described but they are always the starting point for parameters which are more difficult to quantify experimentally; care must be used in stating how far the results are applicable . The membrane material, hydrodynamic characteristics of the modules and flow rates are the most crucial parameters regarding the magnitude of the transfer coefficients for both heat and mass, this being one of the areas which should be further investigated in future work to find specific models for optimising and making the process more robust against raw materials' diversity, especially in the case of complex materials such as liquid food.
Nomenclature
A Area (m-2)
a Activity
C Solute molar concentration (mol l-1)
cp Heat capacity (J/K)
D Diffusion coefficient (m-2 s-1)
dh Hydraulic diameter (m)
d Diameter (m)
dp Pore diameter (m)
H Total heat transfer coefficient (W m-2 K-1)
Hv Heat of vaporization (kJ/kg-1)
h Heat transfer coefficient (W m-2 K-1)
K Mass transfer coefficient (kg m-2 h-1 Pa-1)
k Thermal conductivity (W/K.m)
kb Boltzmann constant (1.3807x10-23 J K-1)
L Length (m)
M Molecular weight (kg mol-1)
m Mass (kg)
N Flux vapour, mass (kg m-2 h-1), (mol m-2 s-1).
P Pressure (Pa)
P* Saturated vapour pressure (Pa)
PAlm Logarithmic mean air pressure
Q Heat flux (W m-2)
R Gas constant (8.314J K-1 mol-1)
r Pore radius (m)
T Temperature (°C, K)
X Mass fraction (p/p %)
Symbols
ε Porosity
δ Thickness (m)
Δ Difference
γ Activity coefficient
λ Mean free path (m)
µ Viscosidad dinamica (Pa s)
X Tortuosidad
∞ Valor asintótico
Ø Densidad empaquetamiento
ρ Densidad(kg m-3)
σ Diametro medio de colisión
ν Velocidad media (m s-1)
Números adimensionales
Gz Graetz
Kn Knudsen
Nu Nusselt
Pr Prandtl
Re Reynolds
Sc Schmidt
Sh Sherwood
Subíndices
a Alimentación
i Interno
o Externo
m Membrana
p Permeado
w Agua
k Difusión Knudsen
M Difusión molecular
Superíndices
k Difusión Knudsen
M Difusión molecular
m Membrana
– Promedio
References
Alves, V.D.,Coelhoso, I.M., Mass transfer in osmotic evaporation: effect of process parameters., Journal of Membrane Science. Vol. 208, No. 1 -2, 2002, pp. 171-1 79.
Alves, V. D.,Coelhoso, I.M., Effect of membrane characteristics on mass and heat transfer in the osmotic evaporation process. Journal of Membrane Science. Vol. 228, No. 2, 2004, pp. 159-167.
Bailey, A.F.G., Barbe, A.M., Hogan, P. A., Johnson, R. A.,Sheng, J., The effect of ultrafiltration on the subsequent concentration of grape juice by osmotic distillation. Journal of Membrane Science. Vol. 164, No. 1 -2, 2000, pp. 195-204.
Bandini, S., Sarti, G.C., Concentration of must through vacuum membrane distillation. Desalination. Vol. 149, No. 1-3, 2002, pp. 253-259.
Bui, A.V., Nguyen, H.M., Joachim, M., Prediction of water activity of glucose and calcium chloride solutions. Journal of Food Engineering. Vol. 57, No. 3, 2003, pp. 243-248.
Bui, V.A., Nguyen, M.H., Muller, J., A laboratory study on glucose concentration by osmotic distillation in hollow fibre module. Journal of Food Engineering. Vol. 63, No. 2, 2004, pp. 237-245.
Bui, A.V., Nguyen, H.M., Scaling Up of Osmotic Distillation from Laboratory to Pilot Plant for Concentration of Fruit Juices. International Journal of Food Engineering. Vol. 1, No. 2, 2005a, pp. 1-18.
Bui, A.V., Nguyen, H.M., Joachim, M., Characterisation of the polarisations in osmotic distillation of glucose solutions in hollow fibre module. Journal of Food Engineering. Vol. 68, No. 3, 2005b, pp. 391-402.
Cassano, A., Drioli, E., Galaverna, G., Marchelli, R., Di Silvestro, G., Cagnasso, P., Clarification and concentration of citrus and carrot juices by integrated membrane processes. Journal of Food Engineering. Vol. 57, No. 2, 2003, pp. 153-163.
Celere, M., Gostoli, C., The heat and mass transfer phenomena in osmotic membrane distillation. Desalination. Vol. 147, No. 1-3, 2002, pp. 133-138.
Celere, M., Gostoli, C., Osmotic distillation with propylene glycol, glycerol and glycerol-salt mixtures. Journal of Membrane Science. Vol. 229, No. 1-2, 2004, pp. 159-170.
Celere, M., Gostoli, C., Heat and mass transfer in osmotic distillation with brines, glycerol and glycerol-salt mixtures. Journal of Membrane Science. Vol. 257, No. 1-2, 2005, pp. 99-110.
Correa, A., Comesaña, J.F., Correa, J.M., Sereno, A.M., Measurement and prediction of water activity in electrolyte solutions by a modified ASOG group contribution method. Fluid Phase Equilibria. Vol. 129, No. 1-2, 1997, pp. 267-283.
Courel, M., Dornier, M., Herry, J.M., Rios, G. M., Reynes, M., Effect of operating conditions on water transport during the concentration of sucrose solutions by osmotic distillation. Journal of Membrane Science. Vol. 170, No. 2, 2000, pp. 281-289.
Courel, M., Dornier, M., Rios, G. M., Reynes, M., Modelling of water transport in osmotic distillation using asymmetric membrane. Journal of Membrane Science. Vol. 173, No. 1, 2000, pp. 107-122.
Courel, M., Tronel-Peyroz, E., Rios, G.M., Dornier, M., Reynes, M., The problem of membrane characterization for the process of osmotic distillation. Desalination. Vol. 140, No. 1, 2001, pp. 15-25.
Chen, T.C., Ho, C.D.,Yeh, H.M., Theoretical modeling and experimental analysis of direct contact membrane distillation. Journal of Membrane Science. Vol. 330, No. 1-2, 2009, pp. 279-287.
Drioli, E., Curcio, E., di Profio, G., State of the Art and Recent Progresses in Membrane Contactors. Chemical Engineering Research and Design. Vol. 83, No. 3, 2005, pp. 223-233.
Gaida, L. B., Dussap, C.G., Gros, J. B., Variable hydration of small carbohydrates for predicting equilibrium properties in diluted and concentrated solutions. Food Chemistry. Vol. 96, No. 3, 2006, pp. 387-401.
Gawronski, R., Wrzesinska, B., Kinetics of solvent extraction in hollow-fiber contactors. Journal of Membrane Science. Vol. 168, No. 1-2, 2000, pp. 213-222.
Gharsallaoui, A., Rogé, B., Génotelle, J., Mathlouthi, M., Relationships between hydration number, water activity and density of aqueous sugar solutions. Food Chemistry. Vol. 106, No. 4, 2008, pp. 1443-1453.
Gostoli, C., Thermal effects in osmotic distillation. Journal of Membrane Science. Vol. 163, No. 1, 1999, pp. 75-91.
Gryta, M., Tomaszewska, M., Grzechulska, J., Morawski, A. W., Membrane distillation of NaCl solution containing natural organic matter. Journal of Membrane Science. Vol. 181, No. 2, 2001, pp. 279-287.
Gryta, M., Osmotic MD and other membrane distillation variants. Journal of Membrane Science. Vol. 246, No. 2, 2005, pp. 145-156.
Huang, J., Li, J., Gmehling, J. r., Prediction of solubilities of salts, osmotic coefficients and vapor-liquid equilibria for single and mixed solvent electrolyte systems using the LIQUAC model. Fluid Phase Equilibria. Vol. 275, No. 1, 2009, pp. 8-20.
Koroknai, B., Kiss, K., Gubicza, L., Belafi-Bako, K., Coupled operation of membrane distillation and osmotic evaporation in fruit juice concentration. Desalination. Vol. 200, No. 1-3, 2006, pp. 526-527.
Lipnizki, F., Field, R. W., Mass transfer performance for hollow fibre modules with shell-side axial feed flow: using an engineering approach to develop a framework. Journal of Membrane Science. Vol. 193, No. 2, 2001, pp. 195-208.
Martínez-Díez, L., Florido-Díaz, F.J.,Vázquez-González, M. I., Study of Polarization Phenomena in Membrane Distillation of Aqueous Salt Solutions. Separation Science and Technology. Vol. 35, No. 10, 2000, pp. 1485 - 1501.
Martinez, L., Rodriguez-Maroto, J.M., Characterization of membrane distillation modules and analysis of mass flux enhancement by channel spacers. Journal of Membrane Science. Vol. 274, No. 1-2, 2006, pp. 123-137.
McCutcheon, J.R., Elimelech, M., Influence of membrane support layer hydrophobicity on water flux in osmotically driven membrane processes. Journal of Membrane Science. Vol. 318, No. 1-2, 2008, pp. 458-466.
Nii, S., Jebson, R.S., Cussler, E.L., Membrane evaporators. Journal of Membrane Science. Vol. 201, No. 1-2, 2002, pp. 149-159.
Prausnitz, J.M., Lichtenthaler, R.N., Azevedo, E., Termodinámica molecular de los equilibrios de fases, 3a Ed., Madrid, Prentice Hall., 2000, pp. 175 - 200.
Petrotos, K.B.,Lazarides, H.N., Osmotic concentration of liquid foods. Journal of Food Engineering. Vol. 49, No. 2-3, 2001, pp. 201-206.
Qtaishat, M., Matsuura, T., Kruczek, B., Khayet, M., Heat and mass transfer analysis in direct contact membrane distillation. Desalination. Vol. 219, No. 1-3, 2008, pp. 272-292.
Ravindra Babu, B., Rastogi, N. K.,Raghavarao, K. S. M. S., Concentration and temperature polarization effects during osmotic membrane distillation. Journal of Membrane Science. Vol. 322, No. 1, 2008, pp. 146-153.
Romero, J., Analysis of boundary layer and solute transport in osmotic evaporation. AIChE Journal. Vol. 49, No. 11, 2003a, pp. 2783-2792.
Romero, J., Modeling heat and mass transfer in osmotic evaporation process. AIChE Journal. Vol. 49, No. 2, 2003b, pp. 300-308.
Shaw, P. E., Lebrun, M., Dornier, M., Ducamp, M. N., Courel, M., Reynes, M., Evaluation of Concentrated Orange and Passionfruit Juices Prepared by Osmotic Evaporation. Lebens-mittel-Wissenschaft und-Technologie. Vol. 34, No. 2, 2001, pp. 60-65.
Shen, Z., Zhang, L., Mondal, S.,Wickramasinghe, S. R., Suppression of Osmotic Distillation in Gas Membrane Processes. Separation Science & Technology. Vol. 43, No. 15, 2008, pp. 3813-3825.
Starzak, M., Mathlouthi, M., Temperature dependence of water activity in aqueous solutions of sucrose. Food Chemistry. Vol. 96, No. 3, 2006, pp. 346-370.
Sur, D. H., Dagli, J., Osmotic distillation: A separation wonder. Chemical Business. Vol. 22, No. 9, 2008, pp. 47.
Thanedgunbaworn, R., Jiraratananon, R., Nguyen, M.H., Mass and heat transfer analysis in fructose concentration by osmotic distillation process using hollow fibre module. Journal of Food Engineering. Vol. 78, No. 1, 2007a, pp. 126-135.
Thanedgunbaworn, R., Jiraratananon, R., Nguyen, M.H., Shell-side mass transfer of hollow fibre modules in osmotic distillation process. Journal of Membrane Science. Vol. 290, No. 1-2, 2007b, pp. 105-113.
Thanedgunbaworn, R., Jiraratananon, R., Nguyen, M.H., Vapour Transport Mechanism in Osmotic Distillation Process. International Journal of Food Engineering. Vol. 5, No. 5, 2009, pp. 1-19.
Vaillant, F., Jeanton, E., Dornier, M., O'Brien, G. M., Reynes, M., Decloux, M., Concentration of passion fruit juice on an industrial pilot scale using osmotic evaporation. Journal of Food Engineering. Vol. 47, No. 3, 2001, pp. 195-202.
Valdés, H., Romero, J., Saavedra, A., Plaza, A., Bubnovich, V., Concentration of noni juice by means of osmotic distillation. Journal of Membrane Science. Vol. 330, No. 1-2, 2009, pp. 205-213.
Varavuth, S., Jiraratananon, R.,Atchariyawut, S., Experimental study on dealcoholization of wine by osmotic distillation process. Separation and Purification Technology. Vol. 66, No. 2, 2009, pp. 313-321.
Wu, J., Chen, V., Shell-side mass transfer performance of randomly packed hollow fiber modules. Journal of Membrane Science. Vol. 172, No. 1-2, 2000, pp. 59-74.
Alves, V.D.,Coelhoso, I.M., Mass transfer in osmotic evaporation: effect of process parameters., Journal of Membrane Science. Vol. 208, No. 1 -2, 2002, pp. 171-1 79. [ Links ]
Alves, V. D.,Coelhoso, I.M., Effect of membrane characteristics on mass and heat transfer in the osmotic evaporation process. Journal of Membrane Science. Vol. 228, No. 2, 2004, pp. 159-167. [ Links ]
Bailey, A.F.G., Barbe, A.M., Hogan, P. A., Johnson, R. A.,Sheng, J., The effect of ultrafiltration on the subsequent concentration of grape juice by osmotic distillation. Journal of Membrane Science. Vol. 164, No. 1 -2, 2000, pp. 195-204. [ Links ]
Bandini, S., Sarti, G.C., Concentration of must through vacuum membrane distillation. Desalination. Vol. 149, No. 1-3, 2002, pp. 253-259. [ Links ]
Bui, A.V., Nguyen, H.M., Joachim, M., Prediction of water activity of glucose and calcium chloride solutions. Journal of Food Engineering. Vol. 57, No. 3, 2003, pp. 243-248. [ Links ]
Bui, V.A., Nguyen, M.H., Muller, J., A laboratory study on glucose concentration by osmotic distillation in hollow fibre module. Journal of Food Engineering. Vol. 63, No. 2, 2004, pp. 237-245. [ Links ]
Bui, A.V., Nguyen, H.M., Scaling Up of Osmotic Distillation from Laboratory to Pilot Plant for Concentration of Fruit Juices. International Journal of Food Engineering. Vol. 1, No. 2, 2005a, pp. 1-18. [ Links ]
Bui, A.V., Nguyen, H.M., Joachim, M., Characterisation of the polarisations in osmotic distillation of glucose solutions in hollow fibre module. Journal of Food Engineering. Vol. 68, No. 3, 2005b, pp. 391-402. [ Links ]
Cassano, A., Drioli, E., Galaverna, G., Marchelli, R., Di Silvestro, G., Cagnasso, P., Clarification and concentration of citrus and carrot juices by integrated membrane processes. Journal of Food Engineering. Vol. 57, No. 2, 2003, pp. 153-163. [ Links ]
Celere, M., Gostoli, C., The heat and mass transfer phenomena in osmotic membrane distillation. Desalination. Vol. 147, No. 1-3, 2002, pp. 133-138. [ Links ]
Celere, M., Gostoli, C., Osmotic distillation with propylene glycol, glycerol and glycerol-salt mixtures. Journal of Membrane Science. Vol. 229, No. 1-2, 2004, pp. 159-170. [ Links ]
Celere, M., Gostoli, C., Heat and mass transfer in osmotic distillation with brines, glycerol and glycerol-salt mixtures. Journal of Membrane Science. Vol. 257, No. 1-2, 2005, pp. 99-110. [ Links ]
Correa, A., Comesaña, J.F., Correa, J.M., Sereno, A.M., Measurement and prediction of water activity in electrolyte solutions by a modified ASOG group contribution method. Fluid Phase Equilibria. Vol. 129, No. 1-2, 1997, pp. 267-283. [ Links ]
Courel, M., Dornier, M., Herry, J.M., Rios, G. M., Reynes, M., Effect of operating conditions on water transport during the concentration of sucrose solutions by osmotic distillation. Journal of Membrane Science. Vol. 170, No. 2, 2000, pp. 281-289. [ Links ]
Courel, M., Dornier, M., Rios, G. M., Reynes, M., Modelling of water transport in osmotic distillation using asymmetric membrane. Journal of Membrane Science. Vol. 173, No. 1, 2000, pp. 107-122. [ Links ]
Courel, M., Tronel-Peyroz, E., Rios, G.M., Dornier, M., Reynes, M., The problem of membrane characterization for the process of osmotic distillation. Desalination. Vol. 140, No. 1, 2001, pp. 15-25. [ Links ]
Chen, T.C., Ho, C.D.,Yeh, H.M., Theoretical modeling and experimental analysis of direct contact membrane distillation. Journal of Membrane Science. Vol. 330, No. 1-2, 2009, pp. 279-287. [ Links ]
Drioli, E., Curcio, E., di Profio, G., State of the Art and Recent Progresses in Membrane Contactors. Chemical Engineering Research and Design. Vol. 83, No. 3, 2005, pp. 223-233. [ Links ]
Gaida, L. B., Dussap, C.G., Gros, J. B., Variable hydration of small carbohydrates for predicting equilibrium properties in diluted and concentrated solutions. Food Chemistry. Vol. 96, No. 3, 2006, pp. 387-401. [ Links ]
Gawronski, R., Wrzesinska, B., Kinetics of solvent extraction in hollow-fiber contactors. Journal of Membrane Science. Vol. 168, No. 1-2, 2000, pp. 213-222. [ Links ]
Gharsallaoui, A., Rogé, B., Génotelle, J., Mathlouthi, M., Relationships between hydration number, water activity and density of aqueous sugar solutions. Food Chemistry. Vol. 106, No. 4, 2008, pp. 1443-1453. [ Links ]
Gostoli, C., Thermal effects in osmotic distillation. Journal of Membrane Science. Vol. 163, No. 1, 1999, pp. 75-91. [ Links ]
Gryta, M., Tomaszewska, M., Grzechulska, J., Morawski, A. W., Membrane distillation of NaCl solution containing natural organic matter. Journal of Membrane Science. Vol. 181, No. 2, 2001, pp. 279-287. [ Links ]
Gryta, M., Osmotic MD and other membrane distillation variants. Journal of Membrane Science. Vol. 246, No. 2, 2005, pp. 145-156. [ Links ]
Huang, J., Li, J., Gmehling, J. r., Prediction of solubilities of salts, osmotic coefficients and vapor-liquid equilibria for single and mixed solvent electrolyte systems using the LIQUAC model. Fluid Phase Equilibria. Vol. 275, No. 1, 2009, pp. 8-20. [ Links ]
Koroknai, B., Kiss, K., Gubicza, L., Belafi-Bako, K., Coupled operation of membrane distillation and osmotic evaporation in fruit juice concentration. Desalination. Vol. 200, No. 1-3, 2006, pp. 526-527. [ Links ]
Lipnizki, F., Field, R. W., Mass transfer performance for hollow fibre modules with shell-side axial feed flow: using an engineering approach to develop a framework. Journal of Membrane Science. Vol. 193, No. 2, 2001, pp. 195-208. [ Links ]
Martínez-Díez, L., Florido-Díaz, F.J.,Vázquez-González, M. I., Study of Polarization Phenomena in Membrane Distillation of Aqueous Salt Solutions. Separation Science and Technology. Vol. 35, No. 10, 2000, pp. 1485 - 1501. [ Links ]
Martinez, L., Rodriguez-Maroto, J.M., Characterization of membrane distillation modules and analysis of mass flux enhancement by channel spacers. Journal of Membrane Science. Vol. 274, No. 1-2, 2006, pp. 123-137. [ Links ]
McCutcheon, J.R., Elimelech, M., Influence of membrane support layer hydrophobicity on water flux in osmotically driven membrane processes. Journal of Membrane Science. Vol. 318, No. 1-2, 2008, pp. 458-466. [ Links ]
Nii, S., Jebson, R.S., Cussler, E.L., Membrane evaporators. Journal of Membrane Science. Vol. 201, No. 1-2, 2002, pp. 149-159. [ Links ]
Prausnitz, J.M., Lichtenthaler, R.N., Azevedo, E., Termodinámica molecular de los equilibrios de fases, 3a Ed., Madrid, Prentice Hall., 2000, pp. 175 - 200. [ Links ]
Petrotos, K.B.,Lazarides, H.N., Osmotic concentration of liquid foods. Journal of Food Engineering. Vol. 49, No. 2-3, 2001, pp. 201-206. [ Links ]
Qtaishat, M., Matsuura, T., Kruczek, B., Khayet, M., Heat and mass transfer analysis in direct contact membrane distillation. Desalination. Vol. 219, No. 1-3, 2008, pp. 272-292. [ Links ]
Ravindra Babu, B., Rastogi, N. K.,Raghavarao, K. S. M. S., Concentration and temperature polarization effects during osmotic membrane distillation. Journal of Membrane Science. Vol. 322, No. 1, 2008, pp. 146-153. [ Links ]
Romero, J., Analysis of boundary layer and solute transport in osmotic evaporation. AIChE Journal. Vol. 49, No. 11, 2003a, pp. 2783-2792. [ Links ]
Romero, J., Modeling heat and mass transfer in osmotic evaporation process. AIChE Journal. Vol. 49, No. 2, 2003b, pp. 300-308. [ Links ]
Shaw, P. E., Lebrun, M., Dornier, M., Ducamp, M. N., Courel, M., Reynes, M., Evaluation of Concentrated Orange and Passionfruit Juices Prepared by Osmotic Evaporation. Lebens-mittel-Wissenschaft und-Technologie. Vol. 34, No. 2, 2001, pp. 60-65. [ Links ]
Shen, Z., Zhang, L., Mondal, S.,Wickramasinghe, S. R., Suppression of Osmotic Distillation in Gas Membrane Processes. Separation Science & Technology. Vol. 43, No. 15, 2008, pp. 3813-3825. [ Links ]
Starzak, M., Mathlouthi, M., Temperature dependence of water activity in aqueous solutions of sucrose. Food Chemistry. Vol. 96, No. 3, 2006, pp. 346-370. [ Links ]
Sur, D. H., Dagli, J., Osmotic distillation: A separation wonder. Chemical Business. Vol. 22, No. 9, 2008, pp. 47. [ Links ]
Thanedgunbaworn, R., Jiraratananon, R., Nguyen, M.H., Mass and heat transfer analysis in fructose concentration by osmotic distillation process using hollow fibre module. Journal of Food Engineering. Vol. 78, No. 1, 2007a, pp. 126-135. [ Links ]
Thanedgunbaworn, R., Jiraratananon, R., Nguyen, M.H., Shell-side mass transfer of hollow fibre modules in osmotic distillation process. Journal of Membrane Science. Vol. 290, No. 1-2, 2007b, pp. 105-113. [ Links ]
Thanedgunbaworn, R., Jiraratananon, R., Nguyen, M.H., Vapour Transport Mechanism in Osmotic Distillation Process. International Journal of Food Engineering. Vol. 5, No. 5, 2009, pp. 1-19. [ Links ]
Vaillant, F., Jeanton, E., Dornier, M., O'Brien, G. M., Reynes, M., Decloux, M., Concentration of passion fruit juice on an industrial pilot scale using osmotic evaporation. Journal of Food Engineering. Vol. 47, No. 3, 2001, pp. 195-202. [ Links ]
Valdés, H., Romero, J., Saavedra, A., Plaza, A., Bubnovich, V., Concentration of noni juice by means of osmotic distillation. Journal of Membrane Science. Vol. 330, No. 1-2, 2009, pp. 205-213. [ Links ]
Varavuth, S., Jiraratananon, R.,Atchariyawut, S., Experimental study on dealcoholization of wine by osmotic distillation process. Separation and Purification Technology. Vol. 66, No. 2, 2009, pp. 313-321. [ Links ]
Wu, J., Chen, V., Shell-side mass transfer performance of randomly packed hollow fiber modules. Journal of Membrane Science. Vol. 172, No. 1-2, 2000, pp. 59-74. [ Links ]










text in 


