Services on Demand
Journal
Article
Indicators
-
Cited by SciELO -
Access statistics
Related links
-
Cited by Google -
Similars in
SciELO -
Similars in Google
Share
Ingeniería e Investigación
Print version ISSN 0120-5609
Ing. Investig. vol.31 no.3 Bogotá Sept./Dec. 2011
Algoritmo de aproximaciones estocásticas para la optimización de procesos industriales
Stochastic approximation algorithm for industrial process optimisation
Jesús Everardo Olguín Tiznado1, Rafael García Martínez2, Claudia Camargo Wilson3, Juan Andrés López Barreras4
1 Ingeniero Industrial, Instituto Tecnológico de Huatabampo. Maestro en Ciencias en Ingeniería Industrial, Instituto Tecnológico de Hermosillo. Profesor e Investigador, Universidad Autónoma de Baja California. México. jeol79@uabc.edu.mx
2 Licenciado en Matemáticas, Universidad Autónoma de Nuevo León. Maestro y Doctor en Ciencias en Ingeniería Industrial, Instituto Tecnológico de Ciudad Juarez. Director del Instituto Tecnológico del Valle del Yaquí. México. ra_garcia@ith.mx
3 Ingeniero Industrial, Instituto Tecnológico de Los Mochis. Maestro en Ciencias en Ingeniería Industrial, Instituto Tecnológico de Hermosillo. Profesor e investigador, Universidad Autónoma de Baja California. México. ccamargo@uabc.edu,mx"
4 Ingeniero Industrial, Instituto Tecnológico de Huatabampo. Maestro en Ciencias en ingeniería Industrial, Instituto Tecnológico de Tijuana. Profesor e investigador, Universidad Autónoma de Baja California. jalopez@uabc.edu.mx
RESUMEN
Los algoritmos de aproximaciones estocásticas son métodos alternativos de búsqueda lineal para optimizar o controlar sistemas donde la relación funcional entre la variable de respuesta y los factores controlables de un proceso y su modelo analítico son desconocidos. En estos algoritmos no existe un criterio en la selección de sus medidas de sucesión que garanticen la convergencia, lo cual puede llevar a que al implementarlos en la práctica diverjan, con el consecuente desperdicio de recursos. El objetivo de la investigación es determinar las condiciones óptimas de operación de procesos industriales mediante un algoritmo de aproximaciones estocásticas modificado, donde sus medidas de sucesión son validadas al obtener valores de la variable de respuesta de cada iteración mediante simulación. El algoritmo es presentado en nueve etapas. En sus primeras seis se describen cuáles son las variables independientes y dependientes del proceso, se selecciona la clase del diseño experimental, se asignan y desarrollan los experimentos y se obtienen los modelos de segundo orden; en las últimas tres etapas se desarrolla el algoritmo y se obtienen los valores óptimos de las variables independientes. El algoritmo se validó en tres procesos industriales, demostrándose que es eficiente para determinar las condiciones óptimas de operación de las variables independientes (temperatura y tiempo); en el proceso 1 se obtienen en las primeras tres iteraciones en 66 °C y 3 h 42 min, a diferencia de los procesos 2 y 3, que se obtienen en la primera iteración con 66 °C y 6 h 06 min y 80 ° C y 5 h 06 min, respectivamente.
Keywords: algoritmos de aproximaciones estocásticas, variables independientes, variables dependientes, proceso iterativo, simulación.
ABSTRACT
Stochastic approximation algorithms are alternative linear search methods for optimising control systems where the functional relationship between the response variable and the controllable factors in a process and its analytical model remain unknown. These algorithms have no criteria for selecting succession measurements ensuring convergence, meaning that, when implemented in practice, they may diverge with consequent waste of resources. The objective of this research was to determine industrial processes' optimum operating conditions by using a modified stochastic approximation algorithm, where its succession measurements were validated by obtaining response variable values for each iteration through simulation. The algorithm is presented in nine stages; its first six describe which are process independent and dependent variables, the type of experimental design selected, the experiments assigned and developed and the second order models obtained. The last three stages describe how the algorithm was developed, and the optimal values of the independent variables obtained. The algorithm was validated in 3 industrial processes which it was shown to be efficient for determining independent variables' optimum operating conditions (temperature and time): the first three iterations were obtained at 66°C in 3 hours 42 minutes for process 1, unlike processes 2 and 3 where the first iteration was obtained at 66°C in 6 hours 06 minutes and 80°C in 5 hours 06 minutes, respectively.
Palabras clave: stochastic approximation algorithm, dependent variable, independent variable, iterative process, simulation
Recibido: octubre 22 de 2010 Aceptado: noviembre 15 de 2011
Introducción
El método de aproximaciones estocásticas presentado por Robbins y Monro (1951) es un método de búsqueda lineal de la raíz de la función desconocida que representa al valor esperado de una variable aleatoria. Kiefer y Wolfowitz (1952) lo modifican para que pueda ser usado en la determinación del óptimo de
. Blum (1954) extiende los resultados de los autores anteriores a espacios cartesianos de dimensión mayor que 1.
A partir del trabajo presentado por Blum (1954) se da un incremento en la cantidad de métodos de aproximaciones estocásticas (Kushner y Clark, 1978; Polyak, 1991; Polyak y Juditsky, 1992; Andradóttir, 1995 (i, ii); Delyon, 1996; Kulkarni y Horn, 1996; Maeda, 1996). Pero Andradóttir (1996) asegura que todos estos métodos son procedimientos sin un criterio teórico de determinación, usados para determina X* en , de tal forma que
, donde
es la función que corresponde al vector gradiente de la función
, de la cual se desconoce su expresión analítica, pero es posible cuantificar su valor para una combinación específica de valores o niveles de los factores controlables, medición que está sujeta a un error experimental del que no se establece ningún supuesto en cuanto a su distribución de probabilidad.
Chin (1997) clasifica los procedimientos de aproximaciones estocásticas en dos tipos: el de Robbins-Monro y el tipo KieferWolfowitz. Los primeros se caracterizan por requerir las observaciones directas de h, dentro de los cuales se encuentran: los métodos de Robbins-Monro, pasos ascendentes, NewtonRaphson, análisis de perturbación y tasa de verosimilitud, mientras que los segundos requieren estimaciones o aproximaciones h como lo son: Kiefer-Wolfowitz, diferencias finitas, método de direcciones aleatorias, el método escalado y el algoritmo estocástico de perturbación simultánea). Estos últimos los considera más útiles, dado que no requieren un conocimiento profundo del sistema a optimizar, es decir, son aplicables en situaciones en las cuales se desconoce la relación funcional entre la variable de respuesta denotada como yi y los d factores controlables denotados por el vector (
representa el espacio cartesiano de dimensión d ), situación que se presenta con mayor frecuencia en la práctica. Fu y Ho (1988) y Chin (1997) señalan al algoritmo estocástico de perturbaciones simultáneas como el más eficiente, tanto teórica como prácticamente, ya que presenta mayor tasa de convergencia y requiere de un menor número de observaciones en cada iteración; esta última resulta de gran interés pues de ella depende en forma directamente proporcional el costo económico y la sencillez del trabajo experimental.
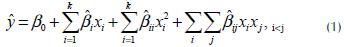
El presente trabajo de investigación propone un algoritmo de aproximaciones estocásticas modificado en el que las sucesiones se validan con simulación y aplicación real mediante modelos de segundo orden al obtener los valores óptimos de operación en las variables de respuesta que intervienen en tres procesos industriales similares, esto debido a un pobre control en las condiciones de operación en dichos procesos, generando con esto desperdicios de productos. Además, demostrar que los algoritmos de aproximaciones estocásticas con perturbación simultánea (AAEPS) son eficientes al trabajar con modelos de segundo orden, como el que se muestra en la ecuación 1:
Desarrollo experimental
Los materiales utilizados para el desarrollo y validación de este proyecto de investigación son: una computadora Pentium PC, portege R200, M, procesador 1,2 GHz y 598 MHz en RAM. Los software para el análisis estadístico de los datos son: Statistica® y Matlab®.
A continuación describimos el método utilizado en la obtención de la información requerida para el análisis experimental a los fines de determinar las condiciones óptimas de operación de tres procesos industriales analizados, de los cuales se ejemplifica con los datos del proceso 1.
Primero, se elabora una lista de las variables independientes significativas o factores controlables, incluyendo sus rangos; denotados por el vector X=(X1,...Xd) ε Rd donde Rd representa el espacio cartesiano de dimensión d. En esta investigación las variables significativas utilizadas son: X1 representa la temperatura, con un rango de inicio de 60 a 70 °C, y X2 representa el tiempo, con un rango de inicio de 4 a 5 horas en los tres procesos evaluados. En el análisis de los procesos se tiene el inicio para las variables independientes en: X1= 65°C y para X2 = 4 h 30 min de proceso.
Segundo, se elabora una lista de las variables dependientes (respuestas) y sus unidades, denotadas por el vector (nx1) observaciones Y=(Y1,...,Yd) ε Rd. Se listaron las variables de respuestas que darán sustento a la investigación, siendo estas: y1 representa la respuesta 1 de los procesos; su unidad está dada en porcentaje; y2 representa la respuesta 2 de los procesos y su unidad está dada en grados. Los valores nominales o meta que se persigue obtener para las respuestas son de 5% (Target) de humedad final para la variable y1 y 80 (Target) en escala de color de la Hunter Laboratories para la variable y2. Esto con la finalidad de que los procesos cumplan con los requerimientos que solicita el cliente ( de humedad final en el producto y
escala de color).
Tercero, se seleccionó una clase de diseño experimental. En este caso el diseño es generado de un factorial 3k, que significa k factores a tres niveles de análisis experimental (Montgomery, 2009); para este trabajo será de dos factores (temperatura y tiempo) a tres niveles (60, 65 y 70 °C en la variable de temperatura, y 4 h, 4 h 30 min y 5 h para la variable del tiempo). En el paso 1 se mencionó cómo se trabajará en este experimento con los valores iniciales de estas variables por cada proceso.
Cuarto, se asignaron los experimentos aleatoriamente. En cada una de las etapas experimentales las corridas se hicieron aleatoriamente.
Quinto, desarrollo de los experimentos y recopilación de los datos. Se realizaron cinco réplicas en el experimento, bajo las condiciones de los valores iniciales de las variables independientes de cada proceso con respecto a sus valores meta de cada variable de respuesta. Esto, con el fin de obtener la media (µ) y su respectiva desviación estándar (σ).
Sexto, ya recabados los datos se procede a obtener los modelos de segundo orden en las variables de respuestas y1 y y2 para su medida (µ) y su desviación estandar (σ) por cada proceso industrial. Por ejemplo, las ecuaciones de regresión de segundo orden ( ) y (
) en el proceso industrial 1, son:
Séptimo, el algoritmo estocástico de perturbación simultánea (AEPS) se calcula de acuerdo con los siguientes pasos, según Spall J. C. (1998):
Paso 1. Inicialización y coeficiente de selección. Seleccione el índice con tador k=1. Tome un valor supuesto del vector gradiente θ0 y los coeficientes de no negatividad , c, A, y
. Delyon (1996), Spall (2003) y Chien y Luo (2008) establecen que el valor que asume típicamente para
y para
cuando el vector gradiente es igual a la media aritmética de m estimaciones. Valores en la práctica efectivos y teóricamente válidos para
y
son 0.602 y 0.101 respectivamente (los valores óptimos asintóticos de 1.0 y 1/6 pueden ser usados también); los valores de
, c, A pueden ser determinados como se mostrará más adelante. Una guía útil al seleccionar A es hacerlo como si fuera mucho menor que el máximo número de iteraciones permitidas o esperadas, es por ello que se seleccionó A=100,
=0.16, c=1. Los resultados obtenidos con base en los datos mostrados son, para
y
.
Paso 2. Generación del vector de perturbación simultánea. Generado por el método de Montecarlo, un vector de perturbación aleatorio p-dimensional , donde cada uno de los p componentes de
son generados independientemente de una distribución de probabilidad con una media cero. Una simple (y teóricamente valida) opción para cada uno de los componentes
usar una distribución Bernoulli ±1 con probabilidad de 1/2 para cada resultado ±1 . Nótese que variables uniformes y normales aleatorias no son permitidas para los elementos del
por las condiciones regulares del AEPS (Brooks O., 2007; Maryak y Chin, 2008). Por lo tanto, los valores del vector en los tres procesos son:
+ =3°C y el de
- = -0.3 horas, valores dados por el experimentador para los tres procesos industriales con base en sus características.
Paso 3. Evaluaciones de la función a minimizar (3a). Se seleccionan valores iniciales para en los que realizamos la simulación partiendo de las corridas en las cuales se trabajó, de 60, 65 y 70 °C, e incluso de otras que no se efectuaron, de 50, 55, 75 y 80 °C, con 4 h, 4h 30 min, y 5 h, además de 3 h, 3 h 30 min, 5 h 30 min y 6 h, respectivamente. En los procesos se tiene que sus valores iniciales de las variables independientes son:
.
Paso (3b). Después de seleccionar se procede a sustituir los valores correspondientes a las distintas variables independientes en las ecuaciones de regresió yµ y yσ obtenidas anteriormente con los datos del diseño experimental 3k mencionado en el paso tercero. Las ecuaciones de regresión de segundo orden (
) y (
) representan el proceso industrial 1, como sigue:
Las ecuaciones de regresión de segundo orden ( ) y (
) representan el proceso industrial 2, como sigue:
Las ecuaciones de regresión de tercer orden ( ) y (
) representan el proceso industrial 3, como sigue:
Sustituyendo los valores iniciales de y
, en las ecuaciones de regresión de segundo orden (
) y (
) para el análisis del proceso industrial 1 se tiene que los valores de las ecuaciones de regresión de segundo orden son
=5.011 y para
=-1.050.
Paso (3c). Obtenidos los valores de ,
,
y
,
,
para
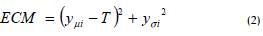
se procede a sustituir los valores en la ecuación (2) a los fines de calcular el error cuadrático medio (ECM) de cada proceso industrial, tal como sigue:
donde yµi representa la variable de respuesta para su media en el proceso i; i =1, 2, 3; T representa el valor meta u objetivo del proceso, llamado también target, y yσi representa la variable de respuesta para su variación en el proceso i, donde i = 1, 2, 3.
Por lo tanto, el ECM en el proceso industrial 1 es 1,103, es de, cir ECM = (5.011 - 5)2 + (-1.050 )2
Paso (3d). Calculado el valor del ECM de y
para
se procede a obtener dos medidas de la función a minimizar basadas en la perturbación simultánea a partir del valor actual
, con las Ck y
de los pasos 1 y 2, utilizando las siguientes ecuaciones para obtener
:
Los resultados obtenidos al sustituir los valores iniciales de las variables independientes del proceso 1 en las ecuaciones 3 y 4 son: X1+ = 67.8°C y X2+ = 4 h 13 min
Paso (3e). Después de calcular se procede a sustituir los valores correspondientes a cada proceso industrial.
En el proceso industrial 1 se utilizan las ecuaciones ( - ) y (
- ); en el proceso industrial 2 se utilizan las ecuaciones (
- ) y (
- ); y en el proceso industrial 3 se utilizan las ecuaciones (
- ) y (
- ). Para el análisis del proceso 1 con los valores de
se sustituyen en la ecuación de regresión de segundo orden, dando como resultado yµ1+ = 4.417 y para
+ = -0.902.
Paso (3f). Obtenidos los valor es de +,
+,
+ y
+,
+,
+ para
se procede a sustituir los valores en la ecuación 2 con la finalidad de calcular el error cuadrático medio (ECM) de
. El ECM para el proceso uno sería de 1.153, es decir,
.
Paso (3g). Se procede a obtener la otra medida de la función a minimizar basada en la perturbación simultánea a partir del valor actual , con las Ck y
de los pasos 1 y 2, utilizando las siguientes ecuaciones para obtener
:
Los resultados obtenidos al sustituir los valores iniciales de las variables independientes del proceso 1 en las ecuaciones 5 y 6 X1 =65°C y X2 = 40 h 30 min, la sucesión de números reales Ck = 0.932 y los vectores de perturbación simultánea + =3 y
- = -0.3; se obtienen los valores X1- = 62.2°C y X2- = 4 h 47 min
Paso (3h). Después de calcular se procede a sustituir los valores correspondientes a los procesos industriales.
En el proceso industrial 1 se utilizan las ecuaciones ( - ) y ( ), en el proceso industrial 2 se emplean las ecuaciones (
- ) ( ); y en el proceso industrial 3 las ecuaciones (
- ) y (
- ). El análisis del proceso uno con los valores de
se sustituyen en la ecuación de regresión de segundo orden, dando como resultando
- =5.616 y para
- = -0.883
Paso (3).i Obtenidos los valores de -,
-,
-, y
-
-
- para
se procede a sustituir los valores en la ecuación 2 con el objetivo de calcular el error cuadrático medio (ECM) de
.
El ECM para el proceso 1 sería de 1.160, es decir, .
Paso 4. Aproximación del gradiente. Generar la aproximación de perturbación simultánea del gradiente desconocido como sigue:
Para obtener los resultados de las ecuaciones 7 y 8 en el proceso industrial 1 se sustituyen los valores del y
, la ecuación de sucesión
= 0.932 y la perturbación simultánea
+ =3,y
- =-0.3 por lo que la solución es
+ = -0.001 y
- =0.0012.
Paso 5. Actualizando el valor de estimado. Actualizar el valor de
a un nuevo valor
se hace utilizando las fórmulas estándar del algoritmo estocástico como sigue:
Aplicando los resultados obtenidos en los pasos anteriores, se sustituyen los valores en las ecuaciones 9 y 10 obteniendo los nuevos valores para y para
, resultados que son para iniciar la siguiente iteración del proceso industrial 1 dado en
.
Paso 6. Iteración o terminación. Regresar al paso 2 con k+1 reemplazando k . Terminar el algoritmo si hay un pequeño cambio en el ECM en varias iteraciones sucesivas o el número máximo de iteraciones ha sido rechazado.
Octavo, con la aplicación del procedimiento experimental mencionado en este ejemplo se encontraron los valores óptimos en las variables independientes y
de los tres procesos industriales evaluados, en función del valor mínimo obtenido del ECM. Las simulaciones del AEPS fueron realizadas mediante el software Matlab®, obteniéndose buenos resultados para su validación.
Noveno, obtenidos esos valores óptimos se realizaron corridas de verificación y validación a la réplica 34 en cada proceso industrial.
Resultados
Los resultados obtenidos durante el desarrollo de esta investigación se presentan con base en el procedimiento planteado anteriormente para los tres procesos industriales evaluados. A estos efectos, se obtuvieron los siguientes resultados, mostrados en las tablas 1, 2 y 3.
Los resultados muestran que en el proceso 1 se logra obtener un ECM mínimo en la tercera iteración, llamada 2, ya que en la iteración 4, denominada
3, hubo un aumento del ECM y por tal motivo se detiene el algoritmo, tal y como se menciona en el paso 6, lo cual nos indica que la mejor alternativa para hacer las pruebas experimentales de validación es la obtenida en la tercera iteración con los valores para la temperatura de
= 66°C y para el tiempo de
= 3h 42 min, con un ECM = 0.009 como se muestra en la tabla 1.
En la tabla 2 se ofrecen los resultados del proceso 2, en el cual se logra obtener un ECM mínimo en la iteración inicial llamada ya que en las iteraciones 2 y 3 hubo aumentos considerables del ECM y por tal motivo se detuvo el algoritmo, tal y como se menciona en el paso 6, lo cual nos indica que la mejor alternativa para hacer las pruebas experimentales de validación es la obtenida en la iteración inicial con los valores óptimos para la variable de temperatura de
= 65°C y para la variable de tiempo de
= 6h 06 min, con un ECM = 0.025. Los resultados señalan que para el proceso 3 se logra obtener un ECM mínimo en la iteración inicial, llamada
, ya que en las iteraciones 2 y 3 hubo aumentos considerables del ECM, al igual que en el proceso 2 y por tal motivo se detuvo el algoritmo, tal y como se menciona en el paso 6, lo cual nos indica que la mejor alternativa para hacer las pruebas experimentales de validación es la obtenida en la iteración inicial con los valores óptimos para la variable de temperatura de
= 80°C y para la variable detiempo de
=5h 06 min, como un EMC = 0.004, como se indica en la tabla 3.
Con base en los resultados obtenidos mediante la aplicación del AEPS a la simulación, se llevaron a cabo pruebas de verificación y validación a la réplica 34 en cada uno de los procesos evaluados. Los resultados promedios de estos experimentos de validación en las variables independientes de temperatura y tiempo, y las variables de respuesta 1 y 2, se exponen en la tabla 4.
Los resultados de la tabla 4 muestran que el proceso 1 trabajará con una temperatura de 66 °C y un tiempo de proceso de 3 h 42 min para obtener un valor promedio de humedad final de 5,3% en el producto terminado y con un valor de 80° en la escala de color. El proceso 2 trabajará con una temperatura de 65 °C y un tiempo de proceso de 6 h 6 min para obtener un valor promedio de humedad final de 4,9% en el producto terminado y con un valor de 79° en la escala de color. El proceso 3 trabajará con una temperatura de 80 °C y un tiempo de proceso de 5 h 06 min para obtener un valor promedio de humedad final de 3,5% en el producto terminado y con un valor de 78° en la escala de color.
Como se puede observar, este proceso no logra establecer condiciones óptimas favorables con respecto al valor meta de la variable de respuesta 1 (T = 5%), ya que nos resulta un valor de humedad final menor al 5% y por debajo del intervalo mencionado al inicio de este artículo (4 al 6%). En la variable de respuesta 2 (color) sí logra obtener un valor dentro del intervalo de 75 a 85° en la escala de color, como se muestra en la tabla 4.
Conclusiones y trabajos futuros
En este trabajo de investigación se propone un algoritmo de aproximaciones estocásticas modificado, el cual trabaja con modelos de segundo orden para determinar el valor óptimo de las variables que intervienen en tres procesos industriales. Los resultados obtenidos son: para el proceso 1 se operará con una temperatura de 66 °C con un tiempo de proceso de 3 h 42 min con la finalidad de obtener un valor promedio de humedad final de 5,3% y con un valor de 80o en la escala de color en el producto terminado. Para el proceso 2, con una temperatura de 65 °C y un tiempo de proceso de 6 h 06 min para obtener un valor promedio de humedad final de 4,9% y con un valor de 79° en la escala de color en el producto terminado. Para el proceso 3, con una temperatura de 80 °C y un tiempo de proceso de 5 h 06 min para obtener un valor promedio de humedad final de 3,5% y con un valor de 78° en la escala de color en el producto terminado. Se concluye que al trabajar con un modelo de segundo orden dicho algoritmo nos proporciona resultados satisfactorios en los procesos 1 y 2 evaluados, en los cuales las variables de respuestas analizadas se encuentran dentro de los parámetros satisfactorios para el cumplimiento de calidad del producto en cuanto a humedad final y color, ya que el proceso 3 en su variable de respuesta 1 está por debajo del parámetro establecido de humedad final, pero sí es satisfactoria la variable de respuesta 2, "color". Además se concluye que es un algoritmo simple dado que no requiere un conocimiento profundo sobre el proceso, ni de la verdadera relación funcional entre la variable de respuesta y los factores controlables, además de ser fácil de usar ya que no requiere ser operado por personal altamente calificado.
Los trabajos futuros de investigación evaluarán el índice de capacidad de los procesos para medir la capacidad o aptitud de los procesos, así como el AAEPS mediante los diseños compuestos centrales (DCC) para analizar si existe una mejor eficiencia con respecto a los diseños 3k.
Referencias
Andradóttir, S., A stochastic Approximation Algorithm with Varying Bounds., Operations Research, Vol. 43, número 6, 1995i, pp 1037-1048. [ Links ]
Andradóttir, S., A method for Discrete Stochastic Approximation., Management Science, Vol. 41, número 12, 1995ii, pp 1946 -1961. [ Links ]
Andradóttir, S., A Scaled Stochastic Approximation Algorithm., Management Science, Vol. 42, número 4, 1996, pp 475-498. [ Links ]
Blum, J.R., Multidimensional Stochastic Approximation Methods., Annals of Mathematical Statistic, Vol. 25, 1954, pp 737-744. [ Links ]
Brooks, O., Solving Discrete Resource Allocation Problems using the Simultaneous Perturbation Stochastic Approximation (SPSA) Algorithm, Proceedings of the Spring Simulation Multi-conference, 25-29 March 2007, Norfolk, VA, USA, pp. 55- 62. [ Links ]
Chien, S.I., Luo, J., Optimization of Dynamic Ramp Metering Control with Simultaneous Perturbation Stochastic Approximation., Control and Intelligent Systems, scheduled for fall 2008 issue, pp 8-10. [ Links ]
Chin, D.C., Comparative Study of Stochastic Algorithms for System Optimization Based on Gradient Approximation., IEEE Transaction on Systems, Man, and Cybernetics-partb:Cybernetics, Vol. 27, número 2, 1997, pp 244-249. [ Links ]
Delyon, B., General Results on the Convergence of Stochastic Algoritms., IEEE Transaction on Automatic Control, Vol. 41, número 3, 1996, pp 1245-1255. [ Links ]
Fu, M.C., Ho, Y.C., Using perturbation analysis for gradient estimation, averaging and updating in a stochastic approximation algorithm., Winter Simulation Conference Proceedings of the 20th conference on Winter simulation, 1988, pp 509-517. [ Links ]
Kiefer, J., Wolfowitz, J., Stochastic Estimation of the Maximum of a Regression Function., Annals of Mathematical Statistic, Vol. 23, número 3, 1952, pp. 462-466. [ Links ]
Kulkarni, S.R., Horn, C.S., An Alternative Proof for Convergence of Stochastic Approximation Algorithms., IEEE Transactions on Automatic Control, Vol. 41, número 3, 1996, pp 419-424. [ Links ]
Kushner, H.J., Clark, D.J., Stochastic Approximation Methods for Constrained and Unconstrained Systems., New York, Springer-Verlag, 1978. [ Links ]
Maeda, Y., Time difference Simultaneous Perturbation Method., Electronic Letters, Vol. 32, número 11, 1996, pp 1016-1017. [ Links ]
Maryak, J.L., Chin, D.C., Global Random Optimization by Simultaneous Perturbation Stochastic Approximation., IEEE Transactions on Automatic Control, vol. 53, número 3, 2008, pp. 780-783. [ Links ]
Montgomery, D.C., Desing and Analysis of Experiments, Seventh ed., NJ, John Wiley & Sons, 2009. pp 360-368 [ Links ]
Polyak, B.T., New Method of Stochastic Approximation Type Procedures., Automatica I telemekhanika, Vol. 51 (1990) pp 98-107 en Ruso, trasladado al Inglés en Automatica Remote Control, Vol. 51, 1991, pp 937-945. [ Links ]
Polyak, B.T., Juditsky, A.B., Acceleration of Stochastic Approximation by Avering., SIAM Journal on Control and Optimization, Vol. 30, número 4, 1992, pp 838-855. [ Links ]
Robbins, H., Monro, S., A Stochastic Approximation Method., Annals of Mathematical Statistic, Vol.22, 1951, pp 400-407. [ Links ]
Spall, J.C., Implementation of the Simultaneous Perturbation Algorithm Stochastic Optimization., IEEE Transactions on Aerospase end Electronic Systems, Vol. 34, Número 3, 1998, pp 817-823. [ Links ]
Spall, J.C., Introduction to Stochastic Search and Optimization Estimation., Simulation and Control, NJ, John Wiley & Sons, Hoboken, NJ. 2003. [ Links ]










text in 


