Services on Demand
Journal
Article
Indicators
-
Cited by SciELO -
Access statistics
Related links
-
Cited by Google -
Similars in
SciELO -
Similars in Google
Share
Revista Facultad de Ingeniería Universidad de Antioquia
Print version ISSN 0120-6230On-line version ISSN 2422-2844
Rev.fac.ing.univ. Antioquia no.40 Medellín Apr./June 2007
Rev.Fac.Ing.Univ. Antioquia Vol 40. pp. 41-58. 2007
Aproximación a la determinación del impacto de los vertimientos de las aguas residuales domésticas del municipio de Ayapel, sobre la calidad del agua de la ciénaga
Approach to the determination of the impact of the wastewater unloads of the municipality of Ayapel, on the wetland waterquality
Diego Alejandro Chalarca Rodríguez, Roberto Mejía Ruiz, Néstor Jaime Aguirre Ramírez
Grupo de Investigación en Gestión y Modelación Ambiental, GAIA. Universidad de Antioquia. Sede de Investigación Universitaria (SIU). Medellín, Colombia. Calle 62 N.º 52-59, Torre 2, Lab. 230
(Recibido el 02 de noviembre de 2005. Aceptado el 29 de octubre de 2006)
Resumen
En el municipio de Ayapel, departamento de Córdoba, se realizaron cuatro muestreos de campo con el fin de obtener información representativa de las variaciones horarias del agua residual del municipio como también de la calidad del agua en la zona de influencia de éstas en la ciénaga de Ayapel. En el sector donde se presentan las principales descargas del alcantarillado se determinaron las variables fisicoquímicas y microbiológicas del agua residual doméstica y de la ciénaga. Ello con el fin de determinar el posible impacto de las aguas residuales domésticas sobre la calidad del agua de un sector de la ciénaga de Ayapel.
Los resultados del estudio permiten afirmar que existe un impacto de las aguas residuales sobre el complejo cenagoso, sin embargo estas descargas afectan principalmente la calidad ambiental de los sitios aledaños al casco urbano del municipio de Ayapel, principalmente en las épocas de aguas bajas incluyendo la zona pelágica del sector E0.
---------- Palabras clave: aguas residuales domésticas, ciénaga de Ayapel, contaminación hídrica.
Abstract
In the municipality of Ayapel, department of Cordoba, four field samplings were carried out in order to obtain representative information hour variations of the municipality wastewaters, as also of the water quality in the zone of influence of these waters in the wetland Ciénaga de Ayapel. In the sector where almost all sewage waters are spilled the main physical, chemical and microbiological variables of the domestic wastewater and of the wetland Ciénaga de Ayapel were determined. This was carried out in order to determine the possible impact of domestic wastewaters on the water quality of a sector of the wetland Ciénaga de Ayapel.
Results of the study allow to affirm that an impact of wastewaters on the wetland complex exists, nevertheless these waters affect mainly the environmental quality of the sites located near the municipality of Ayapel urban zone, mainly at the low-water level seasons including the limnetic zone of the E0 sector.
---------- Key words: Domestic wastewaters, Ciénaga de Ayapel, water pollution.
Introducción
Colombia presenta cerca de 20 millones de hectáreas de humedales representados por ciénagas, pantanos y turberas, madre viejas, lagunas, sabanas y bosques inundados. Algunas de las funciones de estos ecosistemas son: regulación hídrica y de acuíferos, retención de sedimentos, control de erosión, regulación de ciclos de nutrientes, descomposición de biomasa terrestre como base de la productividad de los sistemas acuáticos; productividad biológica, sistemas productivos y socioculturales, recursos hidrobiológicos y soporte de acuicultura. Algunos humedales sustentan procesos comerciales, como también proveen servicios de recreación, investigación científica y educación [1].
Sin embargo, y a pesar del creciente entendimiento sobre sus valores, atributos y funciones, los humedales son en la actualidad uno de los ecosistemas más amenazados por diferentes actividades antrópicas y además de lo anterior, estos ecosistemas son destruidos o alterados sin tener en cuenta que los impactos ambientales derivados de esta intervención pueden tener efectos a largo plazo que afecten la calidad de vida de la población y del ambiente en general [1].
Es práctica común de las ciudades o municipios descargar sus aguas residuales sin tratamiento al cuerpo de agua más cercano y usualmente se dan mínimas consideraciones a las consecuencias ambientales principalmente por la falta de recursos económicos, como también por falta de conocimiento [2].
Generalmente, la contaminación de los cuerpos de agua está relacionada con los vertimientos de origen doméstico. En el caso de los residuos de ori-gen doméstico, la carga contaminante está representada por altos porcentajes de materia orgánica y microorganismos. La determinación de parámetros básicos de contaminación bacteriológica, orgánica y química del agua de consumo y de vertido, requiere una serie de análisis dirigidos a conocer la calidad de éstas [3].
El municipio de Ayapel por su ubicación geográfica se relaciona con el ambiente hídrico que conforma el río San Jorge y la ciénaga de Ayapel. La ciénaga de Ayapel está siendo afectada entre otros aspectos, por el vertimiento de las aguas residuales provenientes del casco urbano. El peso de la urbanización no planificada y los vertimientos de residuos sólidos y líquidos a los ambientes acuáticos, han convertido a estos en las vías naturales de eliminación de desechos [4].
En el municipio, el servicio de alcantarillado solo tiene una cobertura del 13,5% y las tuberías colectoras se encuentran en mal estado físico y no se cuenta con ningún sistema de evacuación y tratamiento final. La topografía del suelo urbano cuenta con pendientes menores del 3% que se dirigen a la ciénaga de Ayapel, los que facilita la disposición de las aguas residuales domésticas a la ciénaga y la quebrada Ayapel aumentando las cantidades normales de materia orgánica de los cuerpos de agua [4].
Con base en lo anterior, se formuló la siguiente pregunta de investigación: ¿cómo afectan las descargas de aguas residuales domésticas del municipio de Ayapel la calidad del agua de la ciénaga?, y se planteó la siguiente hipótesis: El impacto de las aguas residuales sobre el complejo cenagoso es bajo, sin embargo estas descargas afectan significativamente la calidad ambiental de los sitios aledaños al casco urbano del municipio de Ayapel. Se pretende establecer así una evaluación del efecto de las aguas residuales domésticas del municipio de Ayapel en la calidad del agua de la Ciénaga en el sector de la plaza de mercado el cual es el principal sitio de descarga de las aguas residuales.
Descripción del área de estudio
El río San Jorge nace en el nudo de Paramillo por encima de los 4.000 m. s. n. m., en el extremo norte de la cordillera occidental, desarrolla su cuenca entre las serranías de San Jerónimo y Ayapel, en el departamento de Córdoba. En su llanura aluvial este río tiene asociados varios sistemas de ciénagas de gran importancia como San Marcos, San Benito, la Hormiga y Ayapel [5].
La ciénaga de Ayapel tiene una extensión media de 117,3 km2 con un promedio histórico máximo de 140,1 km2 y mínimo de 20,6 (años 1972-2000). Posee un sistema hidrológico propio que recoge las precipitaciones de las quebradas de los costados oriental y sur (Quebrada Quebradona, Quebrada Escobilla, Caño Trejos, Caño Muñoz, y Caño Don Matías). Su principal nexo hidrológico establece el flujo de intercambio con el río San Jorge por el caño Grande. Como reguladora de los regímenes hidrológicos de la zona, la ciénaga se alimenta de caudales de creciente del río San Jorge, y ocasionalmente del río Cauca. El territorio se ubica en una zona de bosque húmedo tropical, en donde se presenta en general una época de lluvias de abril a noviembre y una época seca de diciembre a marzo. El promedio anual de lluvias fluctúa entre 2.000 y 2.500 mm. La temperatura ambiente alcanza valores mayores a 25 ºC (figura 1) [5].
Figura1 Localización de la zona de estudio
Metodología
Teniendo en cuenta el sector aledaño al casco urbano del municipio de Ayapel y la zona donde se producen las descargas más importantes del alcantarillado de agua residual se establecieron tres (3) estaciones de muestreo (E0, E1, E2) distribuidas desde la zona litoral de la ciénaga en el sector de la plaza de mercado hasta la zona pelágica en dirección occidente-oriente (W-E). La primera estación (E2) (N 8º 19 8,50 W 75º 8 17,70) se encuentra ubicada en el sector de la plaza de mercado, sitio en el cual se producen la mayoría de descargas de aguas residuales domésticas de la red de alcantarillado del municipio y es el área de intercambio comercial por excelencia del municipio. Las estaciones 2 y 3, (E1) (N 8º 18 48,30 W 75º 8 29,90) y (E0) (N 8º 18 40,90 W 75º 8 17,50), se encuentran distribuidas en dirección opuesta al casco urbano del municipio en la zona pelágica de la ciénaga a 0,20 y a 2,20 km de E2 respectivamente (figura 2).
Figura 2 Ubicación estaciones de muestreo
Los muestreos se realizaron en un escenario de aguas bajas en descenso en febrero de 2005 (muestreo 1, M1). Un periodo de aguas bajas en marzo de 2005 (muestreo 2, M2). Abril que corresponde a aguas bajas en ascenso (muestreo 3, M3) y el periodo de junio de 2005, aguas altas en ascenso (muestreo 4, M4).
En las estaciones E0, E1 y E2 se realizó la toma de muestras instantáneas a diferentes horas del día: mañana (6 a 9 a. m.), al medio día (11 a 2 p. m.) y en las horas de la tarde-noche (4 a 7 p. m.) con un intervalo de 4 horas, éstas fueron reportadas como hora 1, 2 y 3 respectivamente. Las variables fisicoquímicas como: temperatura ambiente, temperatura del agua, oxígeno disuelto (OD), el pH, el potencial redox, y la conductividad eléctrica, fueron medidas in situ a una profundidad de 0,40 m; a esta misma profundidad también se tomaron muestras para el análisis de las variables: nitritos, nitratos, nitrógeno (amoniacal y total), fósforo soluble, fósforo total, sólidos (totales, suspendidos, sedimentables y disueltos), demanda química de oxígeno (DQO), los análisis de estas variables se efectuaron en el laboratorio de Ingeniería Sanitaria y Ambiental de la Universidad de Antioquia.
Una cuarta estación (E3) (N 8º 1910,30 W 75º 8 16,30) fue ubicada en la parte nororiental del casco urbano, en la zona litoral de la ciénaga, en el sector conocido como El Castillo o la Playa. Se considero este punto ya que es de uso frecuente de los pobladores para actividades recreativas (baño). En esta estación solo fueron tomadas muestras subsuperficiales en las horas de la mañana para realizarles luego un análisis microbiológico (coliformes fecales y totales) en el laboratorio de Microbiología Sanitaria de la Universidad de Antioquia. Por lo que fue necesario enviar las muestras tomadas el mismo día de la captación hacia la Universidad de Antioquia.
En la tabla 1 se presentan las variables fisicoquímicas, sus unidades de medición y los métodos para el análisis de la calidad de agua.
Tabla 1 Variables fisicoquímicas, sus unidades de medición y los métodos para el análisis de la calidad de agua [6]
Procesamiento y análisis de la información
Para los datos de las variables fisicoquímicas analizadas en el sector de la ciénaga, se realizó un análisis estadístico no paramétrico con el fin de observar si había diferencias significativas de las variables, en los diferentes periodos, estaciones y horas de muestreo, empleando el software Statgraphics.
Se realizaron perfiles teniendo en cuenta como factores el espacio, el tiempo y la hora del registro de las variables, así como también fueron calculados estadígrafos de tendencia central y variación. Adicionalmente, con el fin de establecer la significancia de las diferencias en el espacio, el tiempo y la hora de los registros del grupo de variables, se utilizó el estimador no paramétrico de Kruskal-Wallis.
Resultados y discusión
Profundidad
En la figura 3 se muestra la distribución temporal y espacial de la profundidad total en la ciénaga de Ayapel en el sector del mercado.
Figura 3 Distribución temporal (a) y espacial (b) de la profundidad total de la columna de agua en la ciénaga de Ayapel, en el sector del mercado
A nivel espacial se presentó una marcada diferencia en la zona de estudio, correspondiendo E0 (media = 3,63 m) a un punto en la zona pelágica de la ciénaga y E2 (media = 0,90 m) a la zona litoral (sector del mercado). Las diferencias en los volúmenes de agua entre las estaciones de estudio son muy evidentes presentando variaciones de aproximadamente 3,0 m de profundidad entre las estaciones E0 y E2. También es importante resaltar las diferencias significativas de la profundidad en los diferentes periodos climáticos para una misma estación, en E2 se encontró una profundidad de 0,23 m en el mes de marzo en contraste con el mes de julio cuya profundidad en esta misma estación era de 2,10 m.
Demanda química de oxígeno (DQO)
En la figura 4se muestra la distribución temporal, espacial y horaria de la DQO en la ciénaga de Ayapel, en el sector del mercado.
En la figura 4 se observa que la DQO no presenta cambios horarios estadísticos significativos en los periodos de muestreo (p = 0,92), sin embargo esta variación sí es estadísticamente significativa en la distribución temporal (mensual) (p = 0,01).
Figura 4 Valores p Kruskal-Wallis y distribución temporal (a), espacial (b) y horaria (c) de la DQO en la ciénaga de Ayapel, en el sector del mercado. (d) Histograma de distribución temporal y espacial de la DQO en la ciénaga de Ayapel, en el sector del mercado
Aunque estadísticamente la variación espacial no es significativa (p = 0,12) en la figura 4(d) se puede apreciar cómo estas variaciones sí son importantes principalmente en las épocas de aguas bajas (M2 y M3) presentando cambios entre las estaciones E0 y E2 en las concentraciones de 58,2 a 163,56 mg/l en el mes de marzo (M2) y de 120,16 a 256,73 mg/l en el mes de abril (M3).
Se puede apreciar con lo anterior cómo los impactos generados por las descargas de ARD en los periodos de sequía, correspondientes a épocas de aguas bajas de la ciénaga, son más importantes que el generado en la época de aguas altas, debido a que en las primeras el volumen de agua que posee la ciénaga no tiene la capacidad de amortiguar las descargas provenientes de la actividad antrópica.
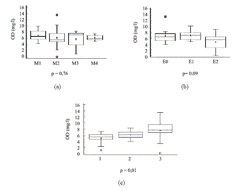
Oxígeno disuelto (OD)
En la figura 5se muestra la distribución temporal, espacial y horaria del oxígeno disuelto subsuperficial en la ciénaga de Ayapel, en el sector del mercado.
Para el oxígeno disuelto, no se encontraron variaciones significativas entre las estaciones de muestreo (p = 0,09), registrando valores medios de 4,77 mg/l en E2 a 6,88 mg/l en E0. Sin embargo hubo variaciones horarias significativas (p = 0,01), temporalmente estas diferencias no fueron significativas en términos estadísticos (p = 0,76).
Figura 5 Valores p Kruskal-Wallis y distribución temporal (a), espacial (b) y horaria (c) del oxígeno disuelto subsuperficial en la ciénaga de Ayapel, en el sector del mercado
En la figura 6se muestran los histogramas de distribución temporal y horaria del oxígeno disuelto subsuperficial en la ciénaga de Ayapel, en el sector del mercado en las estaciones E0 y E2.
En la figura 6se muestran cómo las diferencias temporales horarias en las concentraciones de OD sí son representativas. Por ejemplo, se observa como en E0 el OD subsuperficial aumenta a lo largo del día (6,60 a 8,30 mg/l), siendo este comportamiento normal ya que en esta estación pelágica las comunidades biológicas ya se encuentran establecidas, este incremento posiblemente estuvo acompañado con la reducción de CO2 y un aumento del pH epilimnético lo cual podría indicar un aumento en la tasa fotosintética por parte de la comunidad de fitoplancton. Por el contrario en la estación E2 se aprecia dos comportamientos diferentes: uno en los periodos de aguas altas (febrero y junio) en la cual el OD presenta una variación similar a la descrita anteriormente, aumentando en el día de 4,36 a 9,10 mg/l en febrero y de 5,90 a 7,40 mg/l en junio, y otro muy diferente se presenta en los periodos de aguas bajas (marzo y abril) en el cual se presentan las condiciones más críticas para los valores de OD, registrando para el mes de marzo valores de 2,24 mg/l en horas de la mañana decayendo hasta 0,09 mg/l en horas de tarde. El comportamiento presentado en E2 en los niveles de oxígeno es muy común en sistemas que contiene mucha materia orgánica en descomposición, abundante biomasa de fitoplancton, pero concentrada en sólo pocas especies [7].
Figura 6 Histogramas de distribución temporal y horaria del oxígeno disuelto subsuperficial en la ciénaga de Ayapel, en el sector del mercado en las estaciones E2 (a) y E0 (b)
Potencial redox
En la figura 7 se muestra la distribución temporal, espacial y horaria del potencial redox en la ciénaga de Ayapel, en el sector del mercado. Los valores del potencial de oxidorreducción fueron en la mayoría positivos, presentando solo diferencias estadísticas significativas entre los diferentes periodos climáticos (p = 0,01), el valor más alto se registró en febrero (m = 239,5 mV) que corresponden también al periodo de mayor valor medio de oxígeno disuelto (m = 6,98 mg/l).
En la figura 7(d) se observa cómo en la estación pelágica (E0) predomina en los diferentes periodos de muestreo las condiciones oxidantes del sistema acuático, caso contrario al presentado en el sector de las aguas residuales (E2), el cual presenta valores altos en el potencial redox en los meses de febrero y junio (237 y 229 mV respectivamente) y condiciones de poca oxidación en los meses de aguas bajas, marzo y abril (73 y 37 mV respectivamente) los cuales registraron los valores de oxígeno disuelto más bajos en la zona de estudio (2,24 y 1,0 mg/l).
Figura 7 Valores p Kruskal-Wallis y distribución temporal (a), espacial (b) y horaria (c) del potencial redox en la Ciénaga de Ayapel, en el sector del mercado. (d) Histograma de distribución temporal y espacial del potencial redox en la ciénaga de Ayapel, en el sector del mercado
En el mes de abril se registraron los valores más bajos para esta variable con una media de 98,78 mV, indicando un sistema moderadamente oxidante.
pH
En la figura 8 se muestra la distribución temporal, espacial y horaria del pH en la ciénaga de Ayapel, en el sector del mercado.
La ciénaga de Ayapel en la zona de estudio presentó valores esperados de pH reportados para cuerpos de agua de las partes bajas tropicales, los cuales están entre 5 y 9 unidades dependiendo de su estado de eutroficación y alcalinidad [7]. Estos variaron poco entre estaciones de muestreo (m = 7,54 unidades), a nivel espacial se registraron los valores medios más altos en el pH en los meses de marzo y de abril con valores de 7,81 y 8,31 unidades.
Figura 8 Valores p Kruskal-Wallis y distribución temporal (a), espacial (b) y horaria (c) del pH en la Ciénaga de Ayapel, en el sector del mercado
Conductividad eléctrica
En la figura 9 se muestra la distribución temporal, espacial y horaria de la conductividad eléctrica en la ciénaga de Ayapel, en el sector del mercado.
Temporalmente la conductividad eléctrica presentó cambios significativos (p = 0,03) registrando los valores más altos en los meses de marzo y abril (periodo de aguas bajas) con una conductividad media de 70,02 y 70,37 µS/cm respectivamente. Esto se explica porque en la época de aguas bajas las concentraciones de iones se incrementan posiblemente por el aumento en las tasas de descomposición de la materia orgánica. Mientras que en el mes de abril, la resuspensión de los sedimentos por parte de las lluvias hallan aumentada su concentración.
Aunque el análisis estadístico indica que no hay diferencias significativas entre las tres estaciones de muestreo (p = 0,62) en la figura 9(d) se puede observa cómo en los periodos de aguas bajas (marzo y abril) sí hay una diferencia muy importante entre la estación E2 (m = 101,50 µS/cm) y las estaciones E0 (m = 41,83 µS/cm) y E1 (m = 45,54 µS/cm), evidenciando una mayor concentración de iones y de materia orgánica en E2.
Figura 9 Valores p Kruskal-Wallis y distribución temporal (a), espacial (b) y horaria (c) de la conductividad eléctrica en la ciénaga de Ayapel, en el sector del mercado. (d) Histograma de distribución temporal y espacial de la conductividad eléctrica en la ciénaga de Ayapel, en el sector del mercado
Sólidos disueltos totales
Como se muestra en la figura 10 los SDT no muestran una variación significativa en el día, pero esta variación si es importante en el espacio y en tiempo, especialmente en los meses de aguas bajas (marzo y abril), periodos en los que se registraron valores medios de 112,20 y 83,11 mg/l respectivamente, el valor alto registrado en el mes de abril se puede atribuir posiblemente a la resuspensión del material disuelto y particulado causado por el inicio de la temporada de lluvias en la ciénaga. Estos valores se encuentran dentro del rango reportado para la mayoría de los lagos y ríos neotropicales el cual es 10 y 200 mg/l [7].
En la figura 10 se puede apreciar cómo en la estación E2 los valores de SDT tienen variaciones temporales muy marcadas, encontrándose para el mes de marzo el registro más alto 200,22 mg/l en contraste con el obtenido en E0 para el mismo mes el cual fue de 82,83 mg/l.
Figura 10 Valores p Kruskal-Wallis y distribución temporal (a), espacial (b) y horaria (c) de los SDT en la Ciénaga de Ayapel, en el sector del mercado. (d) Histograma de distribución temporal y espacial de SDT en la Ciénaga de Ayapel, en el sector del mercado
Los resultados muestran nuevamente las diferencias tan marcadas entre los periodos de aguas bajas y aguas altas, indicando cómo en el mes de marzo las condiciones en la zona en la que se producen las descargas de aguas residuales municipales (E2), sufre un impacto mayor que el generado en la época de junio.
Nitrógeno amoniacal
En la figura 11 se observa la distribución temporal, espacial y horaria de la concentración de amonio en la ciénaga de Ayapel, en el sector del mercado.
El nitrógeno amoniacal presenta diferencias significativas entre estaciones (p = 0,001), observándose cómo para las estaciones E1 y E0 las concentraciones medias de esta variable son bajas (0,13 y 0,10 mg/l respectivamente), típicos de sistemas que no reciben cargas contaminantes orgánicas importantes.
Figura 11 Valores p Kruskal-Wallis y distribución temporal (a), espacial (b) y horaria (c) de la concentración de amonio en la Ciénaga de Ayapel, en el sector del mercado. (d) Histograma de distribución temporal y espacial de la concentración de amonio en la Ciénaga de Ayapel, en el sector del mercado
Temporalmente la variación en la concentración de amonio fue significativa, presentando además un aumento en las concentraciones medias, pero hay que tener en cuenta que estos valores medios se ven influenciados por los valores medios presentados en la estación E2 (m = 1,36 mg/l) en los diferentes periodos climáticos (figura 11(d)), confirmando la presencia de una carga orgánica en esta estación.
También se puede apreciar cómo las concentraciones de amonio son mayores en las épocas de aguas bajas, presentando su valor máximo en el mes de marzo con una concentración de 2,19 mg/l, valor que era de esperarse si tenemos en cuenta las condiciones poco oxidativas del sistema, la baja concentración de OD y los valores altos en la conductividad eléctrica que se presenta para este mismo mes y estación. Caso contrario ocurre en el mes de junio en el cual la concentración de amonio en la estación E2 fue baja, posiblemente ocasionado por el efecto de oxigenación que se presenta debido a las aguas altas.
Figura 12 Valores p Kruskal-Wallis y distribución temporal (a), espacial (b) y horaria (c) de la concentración de ortofosfatos en la ciénaga de Ayapel, en el sector del mercado. (d) Histograma de distribución temporal y espacial de la concentración de ortofosfatos en la ciénaga de Ayapel, en el sector del mercado
Altas concentraciones de amonio pueden tener grandes implicaciones ecológicas, ya que la oxidación demanda mucho oxígeno, lo que va en detrimento con las comunidades acuáticas. Concentraciones mayores a los 0,25 mg/l de amonio, afectan el crecimiento de los peces y superiores a los 0,5 mg/l se pueden considerar letales [7].
Ortofosfatos
En la figura 12 se muestra la distribución temporal, espacial y horaria de la concentración de ortofosfatos en la ciénaga de Ayapel, en el sector del mercado.
A nivel temporal, los periodos de aguas altas (febrero y junio) mostraron las más bajas concentraciones medias: 0,17 y 0,15 mg/l respectivamente, los periodos de aguas bajas (marzo y abril) registraron los valores más altos medias: 1,20 y 0,37 mg/l respectivamente.
Las concentraciones de ortofosfatos en la zona de estudio varían en un rango que podría considerarse entre medio y alto lo cual es un indicativo de que el sistema tiende a la eutrofia [8, 9, 10].
Se repite también la tendencia observada para las diferentes formas de nitrógeno; marzo muestra la media más alta de ortofosfatos y las diferencias observadas resultan estadísticamente significativas. Indicando que durante todo el periodo de muestreo la ciénaga de Ayapel experimentó variaciones considerables en las concentraciones de fósforo como ortofosfatos, alterando la disponibilidad de nutrientes a lo largo de los diferentes escenarios climáticos. Sin embargo, las concentraciones registradas en los periodos lluviosos no pueden considerarse bajas y por tanto, no parece existir una limitación por fósforo para los productores primarios en la ciénaga de Ayapel en la zona de estudio.
Coliformes totales y fecales
En la tabla 2 se muestra la distribución temporal y espacial de coliformes totales y fecales en la ciénaga de Ayapel, en el sector del mercado.
Tabla 2 Distribución temporal y espacial de coliformes totales y fecales en la ciénaga de Ayapel, en el sector del mercado
En la tabla 2 se observa cómo el número de microorganismos, E. coli y coliformes totales, en el sector asociado al casco urbano (E2 y E3), presenta valores muy altos teniendo en cuenta los valores criterio de calidad de agua admisible para la destinación del recurso para fines recreativos mediante contacto primario o secundario establecidos por el Decreto 1594 de 1984 del Ministerio del Medio Ambiente los cuales son de 200 microorganismos/ml para coliformes fecales y de 1.000 microorganismos/ml para coliformes totales (NMP/100 ml) para contacto primario y de 5.000 microorganismos/ml para coliformes totales (NMP/100 ml) para contacto secundario [11], ocasionando posiblemente problemas de salubridad y enfermedades de origen hídrico y más aún si se tiene en cuenta que en estos sectores se dan las principales actividades de intercambio comercial y uso de la ciénaga con fines recreativos.
Aunque se observó una atenuación en los valores de coliformes totales y fecales entre las estaciones de muestreo debido principalmente al factor de dilución, se aprecia cómo esta disminución no es suficiente y no cumple con los valores criterio de calidad de agua admisible para la destinación del recurso con fines recreativos mediante contacto primario o secundario establecidos por el Decreto 1594 de 1984 del Ministerio del Medio Ambiente [11].
Conclusiones
Los impactos generados por las descargas de ARD en los periodos de sequía, correspondientes a épocas de aguas bajas de la ciénaga, son más importantes que el generado en la época de aguas altas, debido a que en las primeras el volumen de agua que posee la ciénaga no tiene la capacidad de amortiguar las descargas provenientes de la actividad antrópica.
Es aconsejable instalar un adecuado sistema de alcantarillado, pues en la actualidad la ciénaga presenta contaminación bacteriológica alta en los alrededores de la Plaza de Mercado y, en menor proporción, en el sector del Castillo y en la anterior bocatoma del acueducto en la desembocadura de la quebrada Quebradona.
Actualmente la ciénaga de Ayapel esta siendo afectada por la contaminación de agua residual doméstica hasta el sector de E0, lo que afecta las aguas pelágicas de este sector. Es importante considerar el hecho de que solo el 13,5% de la población del municipio se encuentra conectada al sistema de alcantarillado. Teniendo en cuenta esto, se podría pensar que en un futuro, un porcentaje mayor de la población se conectase al sistema de alcantarillado, la ciénaga sería mayormente afectada y no tendría la capacidad de amortiguar estos aportes de agua residual doméstica.
Los resultados del estudio permiten afirmar que hay un impacto de las aguas residuales sobre el complejo cenagoso, sin embargo estas descargas afectan principalmente la calidad ambiental de los sitios aledaños al casco urbano del municipio de Ayapel, principalmente en las épocas de aguas bajas incluyendo la zona pelágica del sector E0.
Agradecimientos
El autor agradece al grupo de Investigación en Gestión y Modelación Ambiental, GAIA, de la Universidad de Antioquia y el Apoyo de Colciencias, proyecto N.º 11151313962, Análisis de la relación río-ciénaga y su efecto sobre la producción pesquera en el sistema cenagoso de Ayapel, Colombia, como también el apoyo de Corpoayapel, según convenio de cooperación interinstitucional N.º 8703-003-2004.
Referencias
1. República de Colombia. Ministerio del Medio Ambiente. Consejo Nacional Ambiental. Política nacional para humedales interiores de Colombia. Estrategias para su conservación y uso racional. Bogotá, Colombia. 2001. pp. 4-10. [ Links ]
2. H. Salas. Emisarios submarinos alternativa viable para la disposición de aguas negras de ciudades costeras en América Latina y el Caribe. Centro Panamericano de Ingeniería Sanitaria y Ciencias del Ambiente, CEPIS. Lima, Perú. 2000. pp. 1-24. [ Links ]
3. C. C. Pinilla. Indicadores de contaminación fecal en aguas. En: Agua potable para comunidades rurales, reuso y tratamientos avanzados de aguas residuales domésticas. RIPDA- CYTED© CYRA-UAEM Cap. 20. México. 2003. pp. 30-239. [ Links ]
4. Plan Básico de Ordenamiento Territorial-PBOT. San Jerónimo de Ayapel. 2001. Tomo III Documento Resumen. pp. 138-196. [ Links ]
5. Instituto Geográfico Agustín Codazzi IGAC. Subdirección Agrológica. Estudio general de suelos de los municipios de Ayapel, Buenavista, Planeta Rica y Pueblo Nuevo (Departamento de Córdoba). Bogotá D. E. 1986. pp. 282. [ Links ]
6. WPCF, APHA, AWWA. Métodos normalizados para el análisis de aguas potables y residuales. 17.a ed. Ediciones Díaz de Santos S. A. 1992. pp. 1816. [ Links ]
7. G. J. Roldán. Fundamentos de limnología neotropical. Medellín: 1.a ed. Editorial. Universidad de Antioquia. 1992. pp. 225-351. [ Links ]
8. D. Chapman. Water quality assessments: a guide to the use of biota, sediments and water in environmental monitoring. Londres. 2.a Ed. Deborah Chapman. 1996. pp. 319-366 [ Links ]
9. R. A Vollenweider. Scientific Fundamentals of the Eutrophication of lakes and flowing waters, with Particular Reference to Nitrogen and Phosphorus as factor in Eutrophication. Paris Rep. Organization for Economic Cooperation and Development (DAS/CSI/68.27). 1968. p. 192. [ Links ]
10. R. G. Wetzel. Limnología. Barcelona: Ed. Omega, S. A. 1981. pp. 679. [ Links ]
11. Ministerio de Agricultura. 1984. Decreto 1594. Por el cual se reglamenta parcialmente el Título I de la Ley 9 de 1979, así como el Capítulo II del Título VI-Parte III- Libro II y el Título III de la Parte III Libro I del Decreto Ley 2811 de 1974 en cuanto a usos del agua y residuos líquidos. [ Links ]
* Autor de correspondencia: teléfono: +57+4+ 210 65 64, fax: +57+4+210 65 62, correo electrónico: dachalarca@yahoo.com (D. Chalarca)



























