Services on Demand
Journal
Article
Indicators
-
Cited by SciELO -
Access statistics
Related links
-
Cited by Google -
Similars in
SciELO -
Similars in Google
Share
Revista Facultad de Ingeniería Universidad de Antioquia
Print version ISSN 0120-6230On-line version ISSN 2422-2844
Rev.fac.ing.univ. Antioquia no.52 Medellín Apr./June 2010
Técnica robusta de marca de agua basada en normalización de imágenes
A robust watermarking technique based on image normalization
Manuel Cedillo Hernández*, Mariko Nakano Miyatake, Héctor Pérez Meana
Sección de Posgrado e Investigación, Instituto Politécnico Nacional, Unidad Culhuacan Av. Santa Ana 1000 San Francisco Culhuacan, Coyoacán, México D.F., México
Resumen
En este artículo se presenta una técnica de marca de agua robusta a distorsiones geométricas y otros esquemas de procesamiento de señales. En el método de marca de agua propuesto, se hace uso de una técnica de normalización de imágenes para obtener características invariantes de la imagen ante las distorsiones geométricas. Los procesos de inserción y detección de la marca de agua se realizan en el dominio de la Transformada Discreta del Coseno (DCT). Una clasificación de texturas basada en el domino de la DCT se usa para clasificar cada bloque de la imagen a fin de poder insertar una marca de agua fuerte, manteniendo al mismo tiempo la imperceptibilidad de la misma. La técnica propuesta es una técnica de marca de agua pública, en la cual, la imagen original no está disponible en el proceso de detección de la marca de agua. Los resultados experimentales muestran la imperceptibilidad de la marca de agua y su robustez ante las distorsiones geométricas, como son rotación, escalamiento, transformaciones Affine, y otros esquemas de procesamiento de señales, tales como compresión JPEG, contaminación de imagen por ruido Gaussiano e impulsivo.
Palabras clave: Marca de agua, normalización de imágenes, ataques geométricos, clasificación de texturas, transformada discreta del coseno
Abstract
This paper presents a robust watermarking method against geometric distortions and several other signal processing schemes. In the proposed watermarking method, image normalization is used to get geometric invariant features. The watermark embedding and detection process are carried out in the Discrete Cosine Transform (DCT) domain. A DCT based texture classification is used to classify each image block to embed a stronger as possible watermark, while maintaining watermark imperceptibility. The proposed watermarking scheme is a public watermarking, where the original image is not available for watermark detection. The experimental results show the watermark imperceptibility and robustness against geometric distortion such as rotation, scaling and various other Affine transformation, and common signal processing schemes, such as JPEG compression, Gaussian and impulsive noise contamination.
Keywords: Digital watermarking, image normalization, geometric attacks, texture classification, discrete cosine transform
Introducción
El propietario de derechos de autor de información en forma digital necesita, para obtener una justa remuneración económica por la información que produce, de medios tecnológicos adecuados que permitan la autenticación de dicha información, así como el seguimiento de copias ilegalmente distribuidas. En plena era de la información, las posibilidades que brinda Internet como medio de comunicación ha permitido a los autores que tienen su información en forma digital utilizar Internet para promocionar, publicar y difundir sus obras. Cualquier usuario, desde cualquier lugar y de una manera muy fácil puede acceder a estas obras intelectuales en cuestión de segundos. La posibilidad de digitalización de cualquier tipo de información (imágenes, vídeo, audio, texto, etc.) junto con la existencia de Internet permite realizar copias perfectas de la información digitalizada. Los procesos criptográficos permiten proteger la adquisición legal de la información, pero una vez obtenida la información se pueden revender copias exactas. Por lo tanto, surge la necesidad de un sistema de seguimiento de copias para la protección de los derechos de autor, que también se utilice en el caso de adquisición legal para distribución fraudulenta (copias ilegales). Ante estos riesgos, legislar resulta insuficiente, y por ello se debe hacer uso de otros mecanismos que aseguren y protejan derechos fundamentales como es el derecho de propiedad intelectual. Las marcas de agua digitales han sido propuestas como una solución eficiente para la protección de los derechos de copia y propiedad de los archivos de datos multimedia, posibilitando la identificación de la fuente, autor, propietario, distribuidor o consumidor autorizado, de imágenes digitales, grabaciones de audio o video. La principal ventaja de los sistemas de marca de agua consiste en que la marca es inseparable del contenido del archivo. Sin embargo, existen algunas cuestiones que necesitan ser resueltas, antes de que estas técnicas puedan ser eficazmente aplicadas en los escenarios de la vida real. Durante los últimos 20 años se han desarrollado numerosos algoritmos para este fin [1]. Las técnicas de marca de agua para la protección de derechos de autor deben satisfacer varios requerimientos como son: imperceptibilidad de la marca de agua insertada dentro del material digital, robustez de la misma contra ataques y no ambigüedad de la señal de marca de agua cuando se extrae del material digital, etc. [1, 2]. Para imágenes digitales, la imperceptibilidad de la marca de agua es sinónimo de invisibilidad de la señal de marca en la imagen, es decir, la imagen no debe presentar distorsión visual a causa de la inserción de la marca de agua. La robustez de la marca de agua se refiere a que una vez que la marca de agua ha sido introducida en una imagen digital, está debe sobrevivir a una amplia diversidad de ataques que la distorsionarán, así como a la imagen en la que está se inserta. Según la causa y objetivo que los origina, éstos se pueden clasificar en ataques no intencionales e intencionales. Los ataques no intencionales son aquellos a los cuales la marca de agua está sometida de manera casi inevitable, por ejemplo, la compresión JPEG, el ruido introducido por el canal de transmisión por el que se envía la imagen marcada, entre otros. Los ataques intencionales son manipulaciones que se realizan sobre la imagen marcada con el fin de eliminar la protección de derechos de autor. Aunque en la actualidad algunas técnicas de marca de agua presentan robustez frente a algunos de los ataques antes mencionados, se siguen teniendo problemas de robustez ante ataques que dan lugar a una interpolación de la señal digital que representa la información. En el caso de imágenes, estos ataques pueden realizarse mediante distorsiones geométricas tales como rotación, traslación de un número no entero de pixeles, escalamiento, entre otros. Por lo tanto, se requiere hacer mayor énfasis en combatir las distorsiones geométricas al momento de desarrollar una técnica de marca de agua. No ambigüedad de marca de agua en el proceso de detección significa que la marca de agua extraída o detectada debe ser lo suficientemente clara para poder mostrar la propiedad de autor. Para lograr que la marca de agua cumpla el requerimiento de imperceptibilidad, reducir la energía de la señal de marca de agua es una estrategia directa que se puede tomar, sin embargo, una señal débil es más fácil que se pierda después de cualquier modificación que sufra la imagen, de manera que cuando ésta sea detectada, podría resultar ambigua. Para poder extraer la marca de agua con mayor claridad, se podría incrementar el número de bits que constituyen la marca de agua, sin embargo con esto se perjudican los otros dos requerimientos mencionados anteriormente. Por lo tanto, estos requerimientos se consideran los tres vértices de un triángulo, donde cuando se trata de mejorar uno de los requerimientos, se perjudican forzosamente los otros dos. Desde el punto de vista del proceso de detección, las técnicas de marca de agua se pueden clasificar en técnicas de marca de agua pública y privada, respectivamente. En el caso de la técnica de marca de agua pública, la marca de agua se detecta sin usar la imagen original, mientras que en la técnica privada, la imagen original es usada para detectar la señal de marca de agua. Obviamente, en la técnica de marca de agua privada, la señal de marca de agua puede ser más robusta y menos ambigua al momento de su detección, sin embargo, en muchas aplicaciones, la imagen original no está disponible en el proceso de detección [1,2]. Debido a que la técnica de marca de agua pública requiere una detección a ciegas, cuando la imagen marcada sufre algún ataque, se puede perder la sincronización de la marca de agua entre el proceso de inserción y el proceso de detección, lo que provocaría errores de detección. Distorsiones geométricas, tales como traslación, escalamiento, rotación y cualquier transformada Affine, son algunos de los principales factores causantes de la pérdida de sincronización en el esquema de marca de agua pública. Además, este tipo de ataques ocurre comúnmente en varias aplicaciones prácticas. Por lo tanto, para combatir este problema, se han propuesto varios algoritmos en la literatura [3-13]. Los algoritmos propuestos se pueden clasificar básicamente en cinco categorías, las cuales son: los métodos basados en búsqueda exhaustiva, los que hacen uso de algún dominio invariante a distorsiones geométricas, los que utilizan una señal de re-sincronización, los que hacen uso de características relevantes de la imagen para llevar a cabo una resincronización y los que usan la técnica de normalización de imágenes. El método de búsqueda exhaustiva, como su nombre lo indica, realiza una búsqueda a profundidad para encontrar los factores de distorsión geométrica, tales como factor de escalamiento, ángulo de rotación, relación de aspecto entre ancho y alto de la imagen, etc. Usando los factores geométricos estimados, la imagen marcada se restaura geométricamente antes del proceso de detección. Aunque este método es óptimo para la estimación de factores geométricos, la complejidad computacional es considerablemente alta, lo que hace que este método sea impráctico [3]. En la segunda categoría, la señal de marca de agua se inserta en algún dominio invariante a las distorsiones geométricas, tales como el dominio de la Transformada Fourier- Mellin (FMT) [4] y el uso de histogramas [5, 6]. Teóricamente la FMT es invariante a la rotación, el escalamiento y la traslación (RST), sin embargo, la implementación discreta del mapeo Log-Polar dentro de la FMT realiza una interpolación en los píxeles de la imagen, lo cual provoca una distorsión visual en la imagen marcada. Para imágenes de color, el histograma de la imagen es usado como dominio de inserción y detección de la marca de agua [5, 6]. En los algoritmos basados en el histograma, la marca de agua insertada es robusta a un gran número de distorsiones geométricas, sin embargo, esta no es robusta a esquemas de procesamientos de señales comunes, tales como compresión JPEG, filtraje y contaminación por ruido. En la tercera categoría, una señal llamada plantilla se inserta adicionalmente a la imagen junto con la señal de marca de agua [7, 8]. En el proceso de detección, se hace uso de la plantilla para estimar los factores geométricos y restaurar la imagen marcada con alguna distorsión geométrica a su estado original. La principal desventaja de este método es que la plantilla obviamente causa distorsión visual adicional a la imagen marcada y si ésta se llega a perder por alguna razón, no se puede detectar correctamente la señal de marca de agua. La cuarta categoría trata de resolver las desventajas que presentan los métodos de la tercera categoría, en la cual, se extraen las características relevantes de la imagen y son usadas para estimar los factores geométricos, restaurando así la imagen a su estado original en el proceso de detección [9, 10]. En estos métodos, no se inserta ninguna señal adicional a la imagen, lo cual no provoca distorsión visual a la imagen, además de que las características relevantes de una imagen son más difíciles de perder que la plantilla. La principal desventaja de este método es la alta complejidad para extraer las características relevantes útiles para satisfacer los requerimientos de marca de agua en ambos procesos, el proceso de inserción y el proceso de detección. La última categoría usa la técnica de normalización de imágenes introducido por [11]. Este método está basado en un concepto en el cual, la versión normalizada de una imagen y sus versiones distorsionadas geométricamente son exactamente iguales. Usando este concepto, la inserción y la detección de marca de agua se realizan en la versión normalizada de la imagen, teóricamente el problema de pérdida de sincronización entre ambos procesos no ocurre. En la práctica, debido a que el proceso de normalización contiene interpolación, la imagen marcada sufre una distorsión visual considerable. Dong et al., propusieron dos algoritmos [12], uno de ellos está basado en la normalización de imágenes y detección de la marca de agua a ciegas; mientras que el otro algoritmo está basado en un grafo elástico para una técnica de marca de agua privada. En el primer algoritmo de Dong et al. [12], para evitar una degradación de la calidad en la imagen marcada, la señal de marca de agua se normaliza en lugar de la imagen y se inserta a la imagen en el dominio espacial [12]. El algoritmo de Dong et al. mostró robustez de la marca de agua ante varias distorsiones geométricas, sin embargo para obtener una tasa de bits erróneos (BER) razonablemente baja en el proceso de detección, la energía de la señal de marca de agua se tiene que aumentar y como consecuencia de esto, la distorsión de la imagen marcada no se puede evitar.
En este artículo, se propone un algoritmo de marca de agua basado en la normalización de imágenes, en el cual, un patrón de marca de agua es normalizado usando los mismos factores geométricos obtenidos en la normalización de imagen. Para insertar la marca de agua con mayor energía, sin perjudicar la imperceptibilidad de la misma en el algoritmo propuesto, los bloques de tamaño 8x8 píxeles que contienen coeficientes DCT de la imagen normalizada, se clasifican dependiendo de la complejidad de texturas. Usando la complejidad de cada bloque, se determina la energía o fuerza de inserción de la marca de agua para este bloque. El algoritmo propuesto es similar al algoritmo de Dong et al. [12] desde el punto de vista del uso de la normalización de imágenes, sin embargo el algoritmo propuesto difiere al de Dong et al. En los siguientes aspectos: a) La energía de inserción de la marca de agua es adaptable, considerando la complejidad de texturas de cada bloque de la imagen, b) el algoritmo propuesto fue evaluado con un mayor número de ataques además de los ataques geométricos, c) el comportamiento del algoritmo propuesto es comparado con métodos de marca de agua basados en otras estrategias. Este artículo está organizado de la siguiente manera: en esta sección se realizó una introducción acerca de la técnica de marca de agua y sus antecedentes sobre algoritmos de marca de agua robustos a distorsiones geométricas. Seguidamente, se describe la técnica de normalización de imágenes y el algoritmo propuesto. A continuación se presentan los resultados obtenidos por simulación computacional y finalmente las conclusiones.
Metodología
Normalización de imágenes
En el algoritmo propuesto, la imagen y el patrón de marca de agua son normalizados para construir un esquema de marca de agua robusto a distorsiones geométricas. En esta sección, se hace una descripción acerca de la técnica de normalización de imágenes, la cual se basa en la teoría de momentos invariantes propuesta en [11]. Aquí se describen detalladamente los procedimientos de cálculo de momentos invariantes y normalización de imágenes.
Momentos invariantes
Los momentos geométricos mp,q y los momentos centrales μp,q de una imagen f(x,y) se definen en (1) y (2), respectivamente.
donde p, q = 1,2,…, y
es la masa central de la imagen que se obtiene como:

Procedimiento de normalización de imágenes
El procedimiento de normalización de una imagen f (x,y) consiste de las siguientes etapas:
1) Trasladar la imagen f (x,y) con los valores f (dx, dy) para generar una nueva imagen f1 (x,y) = f (xa, ya), cuyo centro es igual a la masa central de la imagen f (x,y). Esta operación está dada por (3) usando una Transformación Affine.
Cuyos elementos son:

Este proceso normaliza una imagen respecto a la traslación.
2) Aplicar una transformación de deformación en la dirección x a la imagen f1 (x,y), usando:

La imagen resultante se denota como f2 (x,y), la cual está normalizada ante el efecto de deformación en la dirección x.
3) Aplicar una transformación de deformación en la dirección y a la imagen f2 (x,y), usando:

La imagen resultante se denota como f3 (x,y), la cual está normalizada ante el efecto de deformación en la dirección y.
4) Cambiar el tamaño de la imagen f3 (x,y) en ambas direcciones, usando:

La imagen resultante se denota como f4 (x,y), la cual está normalizada ante el efecto de escalamiento en ambas direcciones. Finalmente la imagen f4 (x,y) es la imagen normalizada de la imagen original f (x,y). Cabe mencionar que los procedimientos de normalización de imagen son totalmente invertibles, aplicando las matrices inversas de As, Ay, Ax y sumando el vector d a la imagen normalizada f4 (x,y), obtenemos la imagen original f (x,y). Sin embargo, para una implementación discreta de ambos procesos, el proceso de normalización y el proceso inverso requieren de una interpolación, la cual provoca una degradación en la calidad de la imagen. La determinación de los parámetros α,β, Υ y δ esta basada en la siguiente teoría [11]:
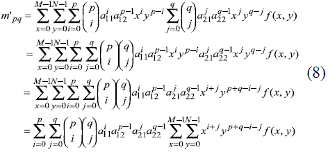
Si la imagen g(x,y) es una imagen transformada de f (x,y), aplicando una transformación Affine general:

g(x,y) está dada por g(x,y) = A • f (x,y). Los momentos invariantes de la imagen g(x,y) m'p,q están dados por:
Aplicando la transformación Affine general A en una coordenada (x,y), se obtiene la coordenada transformada (x',y') :

Sustituyendo las coordenadas (x', y') en (4) se tiene:
Aplicando el teorema binomial en (5):
Sustituyendo (6) y (7) en (5) se obtiene:
Usando la definición de la ecuación (1) se tiene:
Finalmente, sustituyendo (9) en (8) se obtiene:
De igual forma, se obtiene μ'p,q, quedando de la siguiente manera:
Usando esta relación entre los momentos invariantes de la imagen normalizada y la imagen original, se estiman los parámetros α, β, λ, δ de las matrices As, Ay, Ax de normalización.
La figura 1 muestra un ejemplo de normalización de imágenes, en la cual, (c) es la imagen normalizada de ambas imágenes (a) original y (b) distorsionada geométricamente.
Proceso de inserción
Aunque la imagen normalizada ofrece un dominio invariante a todas las distorsiones geométricas, la implementación discreta del proceso de normalización y su proceso inverso produce una degradación visual a la imagen, debido a los procesos de interpolación. Por lo tanto, en el algoritmo propuesto en vez de insertar la marca de agua en la imagen normalizada, el patrón de marca de agua es normalizado antes de su inserción, la normalización de la imagen original es usada solamente para determinar la energía de inserción adecuada, por lo que la inserción de marca de agua se lleva a cabo en el dominio espacial de la imagen sin normalizar. En esta sección se describe la creación del patrón de marca de agua y el proceso de inserción del mismo como sigue:
1) Aplicar el procedimiento de normalización de imágenes descrito en la sección anterior a la imagen original para generar una imagen normalizada.
2) Dividir la imagen normalizada en bloques de 8x8 píxeles y seleccionar los bloques con textura fuerte. Para estimar una complejidad de textura de cada bloque de la imagen normalizada, se usa la técnica propuesta en [13]. Primero, los coeficientes de DCT de cada bloque son cuantificados usando una matriz de cuantificación que usa una codificación de entropía de JPEG. Si el k-ésimo bloque Fk(u, v), 0 ≤ u,v ≤ 7 satisface la condición de la ecuación (12), este bloque es clasificado como textura fuerte, en otro caso el bloque pertenece a una textura débil.
Figura 1 (a) Imagen original (b) Versión distorsionada de la imagen (a), (c) Imagen normalizada obtenida de ambas imágenes (a) y (b)
donde la notación
es una función de redondeo hacia 0 y la función numero{condición} obtiene el número de elementos que satisfacen la condición, y Q(u, v) es el valor de la matriz de cuantificación en la frecuencia espacial (u, v). T1 y T2 son dos valores umbral predeterminados, el valor de coeficiente de frecuencia cero DC del k-ésimo bloque Fk(0,0) representa el promedio de luminancia del bloque y este se encuentra en un rango de [0 a (2l-1)S] para un bloque de tamaño SxS en nivel de escala de grises. Por ejemplo, si l=8 bits y S=8 (bloque de 8x8), el rango de DC es [0 a (2l - 1)S], de modo que, cuando el bloque es plano y negro en su totalidad, el valor de DC para Fk(0,0) es 0 y, cuando el bloque es plano y blanco en su totalidad, el valor de DC para Fk(0,0) es 2040. Considerando l=5, la intensidad promedio del bloque es 25 = 32 de 255 en la escala de grises. De acuerdo al sistema visual humano SVH, el detalle de esta intensidad es imperceptible, por lo tanto, se propone un valor umbral T1 = 230, el cual fue usado para la simulación computacional. Por otro lado, el rango de valores para número{condición} es [1 a 64], debido a que el tamaño del bloque es 8x8 haciendo un total de 64 coeficientes. Cuando el bloque contiene altas frecuencias, es decir, contiene detalles (por ejemplo una región con textura fuerte), los valores de alta frecuencia obtenidos después de aplicar una cuantificación con la matriz Q deben ser diferentes de cero, por lo tanto, si se desea obtener un bloque con textura fuerte, el número de altas frecuencias diferentes de cero debe ser mayor que un valor umbral T2. La matriz de cuantificación Q usada es la misma que se utiliza para la compresión JPEG con el factor de calidad 50. La combinación de ambas condiciones en la ecuación (12) permite obtener un bloque con textura fuerte y con detalles suficientemente claros para el SVH. Un ejemplo de clasificación de bloques se muestra en la figura 2, en la cual, los bloques blancos son bloques de textura fuerte y los bloques negros son texturas débiles.
Figura 2 Un ejemplo de clasificación de bloques por características de textura
3) Generar un patrón bi-dimensional pseudoaleatorio R, cuyo tamaño es el mismo que la imagen original. Enmascarar un patrón binario M que funciona como molde al patrón pseudo-aleatorio R para generar el patrón MR.
4) Generar un vector de marca de agua binaria W = {wi | wi = -1 o 1, i = 1..n} , cuyos elementos son pseudo-aleatorios y es generado por una llave secreta del propietario de la imagen. Después se multiplica por un factor de ganancia α1 al vector de marca de agua, y se genera W' = {αi wi | wi = -1 o 1, i = 1..n}
5) Dividir el vector de marca de agua W', generado por el paso 4 de este proceso, en N grupos de L elementos. L puede tener un valor desde 1 hasta 22, el cual es equivalente al número de coeficientes de frecuencia media en el bloque de DCT de 8x8 píxeles. Por ejemplo, si la longitud del vector de marca de agua W' es 500 y si el número de coeficientes L que se usan para la inserción de marca de agua es igual a 5, el número de grupos N entonces es 100 (N = 500/5).
6) Los elementos del patrón MR generado en el paso 3 de este proceso, que corresponden a los coeficientes en la frecuencia de banda media de los bloques de textura fuerte de la imagen normalizada, se reemplazan por los elementos de marca de agua W'. La Transformada Discreta del Coseno Inversa (IDCT) se aplica al patrón con la señal de marca de agua y se genera el patrón de marca de agua normalizado MRW.
7) Aplicar el proceso inverso de normalización de imágenes al patrón de marca de agua MRW para obtener un patrón bidimensional de marca de agua WP.
8) El patrón de marca de agua WP se inserta en la imagen original usando una inserción aditiva en el dominio espacial. La formula de la inserción está dada en (13).
donde Io e Iw son la imagen original e imagen marcada respectivamente y α2 es la energía de inserción de la marca de agua. A grandes rasgos, en el proceso de inserción de marca de agua del algoritmo propuesto, se genera un patrón bi-dimensional normalizado usando los mismos factores geométricos de la normalización de la imagen original y para que éste patrón de marca de agua sea más robusto a los esquemas de procesamiento de señales, además de mantener su imperceptibilidad, se tomaron en cuenta las características de texturas de la imagen original para realizar una inserción adaptable. Cabe mencionar que la normalización del patrón de marca de agua en lugar de la misma imagen evita una distorsión en la imagen marcada. La figura 3 muestra el proceso de inserción de marca de agua descrito anteriormente.
Figura 3 Proceso de inserción de marca de agua
Proceso de detección
El proceso de detección de marca de agua se describe como sigue:
1) Se aplica el proceso de normalización a la imagen marcada y se obtiene la versión normalizada de la imagen marcada.
2) Se aplica la DCT a los bloques de 8x8 píxeles de la imagen marcada normalizada, después se clasifican los bloques en bloque con textura fuerte y bloques con textura débil. Desde los bloques con textura fuerte, se extraen los coeficientes marcados localizados en el rango de frecuencia media. Concatenando los vectores de coeficientes marcados extraídos desde todos los bloques con texturas fuertes, se genera un vector de coeficientes marcados CW = (cw1, cw2,… cwN-1, cwN).
3) Se extrae el vector de marca de agua, realizando la siguiente operación usando los elementos del vector CW.
donde
, sign (cwk)es una función de signo.
La figura 4 muestra el proceso de extracción de marca de agua.
Figura 4 El proceso de extracción de marca de agua
Resultados experimentales
Para evaluar el sistema se llevaron a cabo simulaciones computacionales en las cuales se emplearon, imágenes de 512 x 512 pixeles en escalas de grises con 8 bits de resolución y dos valores umbrales T1 y T2, los cuales se emplearon para clasificar cada bloque de la imagen en dos clases: bloques con textura fuerte y bloques con textura débil. A estos umbrales se les asignó los valores 230 y 13, respectivamente. El esquema propuesto es evaluado desde el punto de vista de imperceptibilidad, robustez y no ambigüedad de la marca de agua extraída.
Imperceptibilidad de la señal de marca de agua
Un vector de marca de agua binario de 64 bits es insertado 10 veces redundantemente dentro de varias imágenes. El factor de energía de la marca de agua α2 es incrementado por 0,01 desde el valor 0,01 a 0,1, para medir la relación entre este factor y la imperceptibilidad de la señal de marca de agua. Con este fin, la Relación Señal a Ruido Pico (PSNR), dada por (15), entre la imagen original y la imagen marcada fue calculada para cada valor de α2.
donde MxN es el tamaño de la imagen, Io, Iw son la imagen original y la imagen marcada, respectivamente, 255 denota el máximo valor que puede tomar un píxel en la imagen, ya que la resolución de las imágenes usadas es de 8 bits. El valor de α1 usado en el proceso de generación de la secuencia de marca de agua fue el valor 6 en todos los casos. La figura 5 muestra la relación entre el valor de α2 y el promedio de la PSNR obtenido en 10 imágenes aplicando nuestro esquema propuesto y el esquema propuesto por Dong et al. Como podemos observar en la figura 5, la imperceptibilidad de marca de agua expresada por la PSNR con diferentes valores de α2 en ambos esquemas es muy similar y en ambos esquemas, cuando se usan los valores pequeños de α2 ≤ 0,03, la PSNR es mayor que 36dB, lo cual garantiza la imperceptibilidad de la marca de agua.
Figura 5 Relación entre la energía de marca de agua α2 y la imperceptibilidad de la marca de agua en el esquema propuesto y el esquema de Dong et al
Ambigüedad de marca de agua extraída
En el esquema de marca de agua, es muy importante que la señal de marca de agua extraída no sea ambigua, sobre todo si se trata de un mensaje constituido por texto en Código Estadounidense Estándar para el Intercambio de Información (ASCII) o la marca de agua es un logotipo. Considerando esta situación, la tasa de bits erróneos (BER) de la secuencia binaria de marca de agua extraída respecto a la insertada fue calculada, variando el valor de α2. La figura 6 muestra la relación entre α2 y la BER de nuestro sistema propuesto y el propuesto por Dong et al. Como podemos observar en la figura 6, cuando los valores de α2 son menores que 0,03, la BER de nuestro esquema es de 0,05, lo cual indica que la señal de marca de agua es suficientemente clara, así cuando la marca de agua es un mensaje de texto representado por código ASCII, el mensaje extraído es totalmente legible. Mientras que en el esquema de Dong et al., cuando el valor de α2 ≤ 0,03, la BER es mayor que 0,25. Esto significa que aproximadamente un cuarto de bits de la secuencia de marca de agua extraída son erróneos, como consecuencia de esto, cuando la señal de marca de agua es un mensaje, el mensaje extraído en el esquema de Dong et al., no es legible.
Figura 6 Relación entre la energía de marca de agua α2 y la BER en el esquema propuesto y el de Dong et al
La tabla 1 muestra una comparación de la BER entre el sistema propuesto y el sistema de Dong et al., usando imágenes bajo las mismas condiciones, tales como imperceptibilidad de la señal de marca de agua en términos de la PSNR (36 dB), numero de bits de marca de agua (64 bits), lo más parecidas posible. Los valores de α1 y α2 usados en el esquema propuesto en este documento son 6 y 0,03, respectivamente.
Tabla 1 Comparación de Ambigüedad de marca de agua extraída entre el método de Dong et al y el sistema propuesto en este artículo
De la tabla 1, podemos concluir que en nuestro esquema propuesto, la secuencia de la marca de agua extraída es menos ambigua, comparado con el de Dong et al.
Robustez de marca de agua
Para evaluar la robustez de la marca de agua en el esquema propuesto, se aplicaron varios ataques a imágenes marcadas. La tabla 2 muestra la robustez de marca de agua en términos de la tasa de bits erróneos (BER) de la marca de agua extraída después de los correspondientes ataques aplicados. En todos los casos, los valores de α1 y α2 son 6 y 0,03 respectivamente.
Tabla 2 BER de la marca de agua extraída después de aplicar distintos ataques
De la tabla 2, podemos observar que la señal de marca de agua es suficientemente robusta a todos los tipos de distorsión geométrica así como a la mayoría de los procesamientos de señal comunes, tales como compresión de imágenes JPEG, contaminación por ruido y filtrado, ya que la BER de la señal de marca de agua extraída respecto a la original es menor que 0,11, excepto con la compresión JPEG con un factor de calidad 25 (en este caso BER=0,14). Este resultado garantiza una legibilidad de texto extraído, cuando la señal de marca de agua es una secuencia de código ASCII que representa un texto. Cuando la marca de agua es una imagen de logotipo, la imagen de marca de agua extraída es totalmente clara. Respecto a las imágenes comprimidas usando el esquema de compresión JPEG con un factor de calidad menor a 25 estas imágenes se distorsionan considerablemente por la alta tasa de compresión, por lo tanto en la mayoría de las ocasiones, la imagen pierde su valor comercial.
Finalmente, el comportamiento del algoritmo propuesto es comparado con tres métodos basados en estrategias diferentes a la propuesta en este artículo. El primer método utilizado en la comparación es el propuesto por Ruanaidh y Pun en [4], el cual está basado en el uso de la FMT como dominio invariante para insertar y detectar la marca de agua. El segundo método en la comparación fue propuesto por Pereira y Pun en [7], el cual está basado en el uso de una plantilla que es utilizada como señal de re-sincronización de marca de agua en el proceso de detección. El tercer y último método es propuesto por Tang y Hang en [10]. Este método utiliza las características relevantes de la imagen para estimar factores geométricos que sirven para restaurar la imagen a su estado original en el proceso de detección. Los parámetros utilizados para realizar la comparación del comportamiento del algoritmo son: tipo de detección y longitud de marca de agua utilizados en el método, y robustez ante los siguientes ataques: compresión JPEG, escalamiento, cambio de aspecto, rotación, deformación en planos paralelos, filtrado mediano y contaminación de imagen con ruido Gaussiano. En la tabla 3 se muestran los resultados del comparativo en cuestión de comportamiento. Un guión corto en la tabla indica que el parámetro de comparación no es reportado en el método. Los resultados muestran que el método propuesto en este artículo presenta un mejor comportamiento con respecto a los métodos usados en el comparativo.
Tabla 3 Comparación de comportamiento con métodos basados en diferentes estrategias
Conclusiones
En este artículo se propuso un algoritmo de marca de agua robusto a distorsiones geométricas, tales como rotación, escalamiento, traslación y transformación general Affine. En la etapa de inserción de la marca de agua, la técnica de normalización de imágenes es empleada para generar un patrón de marca de agua invariante a distorsiones geométricas, en lugar de realizar una inserción en la imagen normalizada. Para poder proporcionar mayor robustez a la marca de agua, manteniendo la imperceptibilidad de la misma, se llevó a cabo una inserción adaptable de la marca en la imagen. Para realizar esta inserción adaptable, se estiman las características de las texturas de los bloques de la imagen usando los coeficientes de la DCT de la imagen. La extracción de la señal de marca de agua se llevó a cabo usando un esquema de normalización de imágenes y una transformación en el dominio DCT. Los resultados obtenidos por simulación computacional muestran la imperceptibilidad y no ambigüedad de la señal de marca de agua, además en el sistema propuesto, la marca de agua es suficientemente robusta contra las distorsiones geométricas y los esquemas de procesamiento de señales, tales como compresión JPEG y contaminación por ruido, entre otros. El funcionamiento del sistema propuesto fue comparado con otro esquema robusto a distorsiones geométricas el cual fue: el esquema de Dong et al., mostrándose una ventaja importante. Finalmente, el comportamiento del algoritmo propuesto es comparado con tres métodos basados en estrategias diferentes a la propuesta en este artículo. Los resultados muestran que el método propuesto en este artículo presenta un mejor comportamiento con respecto a los métodos usados en el comparativo.
Agradecimientos
Los autores quieren agradecer al Consejo Nacional de Ciencia y Tecnología (CONACyT) de México y al Instituto Politécnico Nacional por el apoyo económico durante la elaboración de este trabajo.
Referencias
1. I. J. Cox, M. L. Miller, J. A. Bloom. Digital Watermarking, San Francisco CA. Ed. Morgan Kaufmann. 2002. pp. 1-40 [ Links ]
2. G. C. Langelaar, I. Setyawan, R. L. Lagendijk. Watermarking Digital Image and Video Data. IEEE Signal Processing Magazine. Vol. 17. 2000. pp. 20-46. [ Links ]
3. M. Barni. Effectiveness of exhaustive search and template matching against watermark desynchronization. IEEE Trans. on Signal Processing Latter. Vol. 12. 2005. pp. 158-161. [ Links ]
4. J. O. Ruanaidh, T. Pun. Rotation, scale and translation invariant digital image watermarking. Proc. ICIP' 97. Atlanta. Vol. 1. 1997. pp. 536-539. [ Links ]
5. S. Roy, E. Chang. Watermarking Color Histograms. Proc. ICIP 2004. Vol. 1. 2004. pp. 2191-2194. [ Links ]
6. Z. Fan, Y. Zhao. Image Watermarking Resisting to Geometrical Attacks Based on Histogram. Proc. Int. Conf. on Intelligent Information Hiding and Multimedia Signal Processing. 2006. pp.79-82. [ Links ]
7. S. Pereira, T. Pun. Robust template matching for affine resistant image watermarks. IEEE Trans. On Image Processing. Vol. 9. 2000. pp. 1123-1129. [ Links ]
8. J. L. Dugelay, S. Roche, C. Rey, G. Doërr. Still- Image Watermarking Robust to Local Geometric Distortions. IEEE Trans. on Image Processing. Vol. 15. 2006. pp. 2831-2842. [ Links ]
9. E. Izquierdo. Using Invariant Image Features for Synchronization. Eurasip Journal on Applied Signal Processing. Vol. 2. 2002. pp. 410-417. [ Links ]
10. C. Tang, H. M. hang. A Feature-Based Robust Digital Image Watermarking Scheme. IEEE Trans on Signal Processing. Vol. 51. 2003. pp. 950-959. [ Links ]
11. M. K. Hu. Visual Pattern Recognition by Moment Invariants. IRE Trans. on Information Theory. Vol. 8. 1962. pp. 179-187. [ Links ]
12. P. Dong, J. B. Brankov, N. P. Galatsanos, Y. Yang, F. Davoine. Digital Watermarking robust to geometric distortions. IEEE Trans. on Image Processing. Vol. 14. 2005, pp. 2140-2150. [ Links ]
13. J. Huang, Y. Q. Shi. Adaptive image watermarking scheme based on visual masking. IEEE Electronics Letter. Vol. 34. 1998. pp. 748-750. [ Links ]
(Recibido el 29 de agosto de 2008. Aceptado el 23 de septiembre de 2009)
*Autor de correspondencia: teléfono + 52 + 5 + 624 2000 ext 73256, fax: + 52 + 5 + 656 20 58, correo electrónico: mcedillohdz@hotmail.com (M. Cedillo)



































