Services on Demand
Journal
Article
Indicators
-
Cited by SciELO -
Access statistics
Related links
-
Cited by Google -
Similars in
SciELO -
Similars in Google
Share
Revista Facultad de Ingeniería Universidad de Antioquia
Print version ISSN 0120-6230On-line version ISSN 2422-2844
Rev.fac.ing.univ. Antioquia no.53 Medellín July/Sept. 2010
Modelo experimental de un motor unipolar
Experimental model of a unipolar motor
Luz Karine Sandoval, Gabriel Plata, Rodrigo Correa*
Universidad Industrial de Santander, Escuela de Ingenierías Eléctrica, Electrónica y de Telecomunicaciones, Apartado Aéreo 678, Bucaramanga, Santander, Colombia.
Resumen
Se describe la caracterización experimental de un prototipo de motor unipolar con el objeto de validar su modelo matemático. Este tipo de motor es bastante controversial a la hora de pretender explicar su modelo y fundamento de operación. Ha existido por cerca de casi dos siglos y aún persiste su misteriosa forma de funcionamiento; parece eludir cualquier explicación convencional a la luz de las ecuaciones de Maxwell. Es un dispositivo que genera una fuerza electromotriz (fem), aunque el flujo magnético que atraviesa el circuito no varía con el tiempo. El prototipo construido mostró la validez del modelo, esto es, una resistencia eléctrica y una fuente de tensión, puesto que al medir la velocidad angular alcanzada durante un intervalo de tiempo, se observó su crecimiento exponencial. La función de transferencia del motor es de primer orden, justo como se esperaba, dado que carece de elementos como bobinas o capacitores; sin embargo, tarda de treinta a cuarenta segundos en alcanzar su estado estable. Esto se debe, según el modelo planteado, a la resistencia eléctrica interna de este dispositivo.
Palabras clave: Motor homopolar, motor unipolar, modelado, inducción electromagnética
Abstract
The experimental characterization of a unipolar motor is described with the objective to validate its mathematical model. This kind of motor is quite controversial to explain not only its model but also how it works. It has been around for about two centuries and it is unknown the way it operates. It seems that can not be explained by using the conventional Maxwell equations; it is a device that generates an electromotive force (emf) although the magnetic flux is time independent. The prototype constructed verified the proposed model correctness, i.e. an electrical resistance and a power generator, because an exponential increasing in its angular velocity was observed. The motor transfer function is of first order, as was expected, since there are not inductors or capacitors; however, it spent about thirty to forty seconds to reach its steady state; this is because of the internal electrical resistance of this device according to the model.
Keywords: Homopolar motor, modeling, electromagnetic induction
Introducción
El motor unipolar originalmente estuvo constituido por un imán cilindrico colgado verticalmente con uno de sus polos sumergido en mercurio, mientras el otro permanecía conectado a una batería. Una vez la corriente fluye por el circuito, el imán comienza a girar alrededor de su eje [1]. La simplicidad del motor causó un gran desconcierto desde su invención; en los albores del siglo XIX se crearon distintas corrientes de pensamiento para explicarlo y fue uno de los tópicos principales de ese siglo. Sin embargo, son pocos los adelantos que se han presentado en la inducción unipolar y solo existen algunos ejemplos. En 1912 la Westinghouse Corporation construyó un enorme generador unipolar que entregó una corriente continua de 7700 A, con una tensión de 264V y nunca fue puesto en producción debido a la masificación de la corriente alterna mostró ser más eficiente en la transmisión de la energía. De esta manera la investigación y estudio de la inducción unipolar fue abandonada; recientemente el motor unipolar ha sido objeto de atención por parte de la comunidad científica. En el año 2005, por solo mencionar un ejemplo, se reportaron investigaciones relacionadas con el diseño y construcción de un motor unipolar que emplea superconductores con el fin de incrementar el campo magnético, eliminado las pérdidas resistivas y aumentando asi su potencia de salida [2]. Este prototipo de 125kW y 120rpm tiene múltiples ventajas con respecto a los motores de corriente alterna. Dada la simplicidad de su funcionamiento es necesario un menor número de partes que para cualquier otro motor, haciéndolo más pequeño, silencioso y liviano que un motor de AC para la misma potencia; a su vez, debido a que trabaja con corriente continua su sistema de control es más simple y directo que los sistemas de los motores de corriente alterna. De acuerdo con esto, es importante disponer de una base teórica de este tipo de motor, donde se den a conocer los fenómenos y fuerzas que gobiernan su funcionamiento, asi como también de un modelo matemático que constituya el punto de partida para el desarrollo de una nueva tecnología.
Fundamentación
El motor unipolar se puede interpretar básicamente como un conductor que gira sobre su eje en un campo magnético constante y por la acción de la corriente que circula a través de éste como se muestra en la figura 1. Corresponde a una variación del dínamo de Faraday de 1831 y es definido por la IEEE como "una máquina de corriente continua donde la tensión generada en los conductores activos se mantiene en la misma dirección con respecto a esos conductores"[1].
Figura 1 Esquema de un motor unipolar
Este motor recibe su nombre de la característica más sobresaliente que posee, esto es, es el único motor hasta ahora conocido que trabaja con corriente continua directamente, a diferencia de los otros que necesitan de conmutadores para alimentar cada uno de sus polos; es conocido en la mayoría de publicaciones como motor homopolar y esto se debe a que funciona conservando la misma polaridad eléctrica [3,4]. También se conoce como motor acíclico evocando otra de sus características, consistente en que su campo eléctrico es irrotacional o acíclico (curl E=0) dado que opera bajo un campo magnético constante. Para conocer más sobre su desarrollo histórico, se remite al lector a las referencias citadas.
El motor unipolar completa a la fecha casi dos siglos de haberse propuesto y a lo largo de su historia han surgido diferentes configuraciones experimentales orientadas principalmente a la interpretación del fenómeno físico que lo gobierna. La literatura reporta varias de ellas y aparecen descritas en detalle en [1,4,5].
Funcionamiento básico de un motor unipolar
Analizando inicialmente el comportamiento del generador creado por Faraday, dada su configuración similar a la de un motor unipolar, cuando se hace rotar el disco junto con el imán, se induce una diferencia de potencial debido a que cada carga se mueve con una velocidad lineal obtenida a partir del giro impuesto en la máquina en presencia de un campo magnético uniforme. Para calcular la diferencia de potencial V [volts] se debe tener en cuenta que un portador de carga b aj o la acción de un campo magnético uniforme (B)[JsC-1m-l] induce una fuerza electromotriz. A partir de esta y otras consideraciones [1,5], se llega a las ecuaciones (1) y (2),

Es decir, la rotación del disco w[rad/s] y el imán crea una diferencia de potencial V que se mantiene indefinidamente puesto que la energía está entrando continuamente al sistema, como se evidencia por la rotación del imán de radio r, [m]. Como consecuencia, se crea un movimiento de electrones de la periferia al centro del disco que inducirán una nueva fem y una fuerza opuesta inducida dada por,

siendo q la carga [C]. Esta fuerza se opone al movimiento de los discos, obligando así a que la fuerza mecánica con la que gira el imán y el disco, sea mayor que la inducida y es de esta manera como se lleva a cabo la conversión de energía mecánica a eléctrica. Para el caso del motor unipolar, se conecta una fuente entre el eje y la periferia del imán que garantiza un flujo continuo de corriente en el circuito; así, se presenta un desplazamiento de carga que junto con el campo magnético constante induce una fuerza dada por la ecuación de Lorentz que aplicada a los electrones de conducción, genera el movimiento del conjunto imán-disco. Por lo tanto, el comportamiento del motor se analiza fundamentado en la presencia de un campo magnético constante, cargas en movimiento (electrones de conducción del disco) dentro de un conductor en presencia de un campo magnético, que se traduce en una fuerza total aplicada al mismo conductor (el disco) dado que es bien conocido que un campo magnético que ejerce fuerzas sobre los electrones tiende a provocarles un leve cambio de posición y produce un pequeño desplazamiento en los centros de "gravedad" de las cargas positivas y negativas. Las fuerzas de Coulomb entre electrones e iones positivos, sin embargo, tienden a resistir tal desplazamiento, por lo que cualquier intento de mover los electrones tiene como resultado una fuerza de atracción entre estos y los iones positivos de la red cristalina, que es transferida al conductor o a la misma red [6]. Para que se mantenga indefinidamente el movimiento debe haber una entrada continua de energía, que para este caso es suministrada por la fuente, generándose un par necesario para que el conjunto imán-disco se ponga en movimiento; la ecuación (3) predice una tensión inducida de polaridad inversa a la de la fuente, de manera que para mantener el movimiento, el potencial de la fuente debe ser mayor que el inducido. Experimentalmente es posible determinar la fem inducida por la rotación del imán; en el trabajo realizado por Frigerio. et. al., [7], proponen una alternativa experimental para calcularla. Sin embargo, persiste la polémica sobre el lugar en el que se origina la fem y aun hay dudas sobre cual es el elemento principal y responsable de la inducción. Actualmente existen dos teorías al respecto fuertemente apoyadas, la teoría de los Maxwellianos y la de Weber [1-9, 10-12, 14]. La primera asegura que es el disco (imán conductor) en movimiento en presencia de un campo magnético constante el que induce la fem, mientras que la segunda sostiene que es el desplazamiento relativista imán-carga, el responsable del giro del motor.
Modelo matemático
En términos generales se puede decir que un motor unipolar consta básicamente de un imán cilíndrico, un eje que permite conectar el centro del imán a un polo de la batería y de las escobillas. Desde el punto de vista eléctrico cada uno de estos elementos tiene una función:
Eje y Escobillas: se oponen al paso de corriente en proporción equivalente a la naturaleza de su material de construcción y condiciones operacionales, por lo que en el circuito equivalente del motor se representan como una resistencia. Esto los hace muy importantes en el diseño, puesto que el motor opera con gran cantidad de corriente continua.
Imán Cilíndrico: aporta un relativamente fuerte campo magnético uniforme y actúa también como conductor.
Esta configuración eléctrica genera una fuerza f al presentarse el movimiento de portadores de carga a una velocidad v,

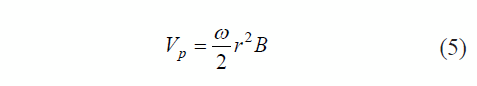
Una vez el imán comience a girar, inducirá una diferencia de potencial Vp entre el eje y la periferia de éste, con la misma polaridad que la de la fuente y que es función tanto del radio como de la velocidad de rotación (w), ecuación (5),

De esta manera, el motor se puede representar mediante el siguiente circuito eléctrico equivalente, figura 2.
Figura 2 Equivalente eléctrico motor unipolar
Una vez obtenido el equivalente eléctrico del motor, se determinara el torque generado.
Torque generado por el motor unipolar
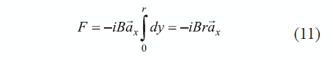
El torque generado por estas máquinas se calcula utilizando la forma diferencial de la fuerza F de Lorentz [N] para un hilo de corriente i[A], ecuación (6),

Dado que se asume que la corriente que fluye a través de la superficie del imán describiendo una trayectoria lineal en dirección radial del borde al eje de éste, la fuerza total en el conductor se obtiene entonces resolviendo la integral a lo largo de la trayectoria C descrita por la corriente, ecuación (7):

Tomando como eje de referencia el centro del imán en coordenadas cartesianas se tienen las ecuaciones (8) y (9):

donde r es el radio del imán. Asumiendo un campo magnético constante a lo largo de la superficie del imán en la dirección del eje Z y definido por la ecuación (10),

se tiene que la fuerza total que experimenta el imán, ecuación (11), es:

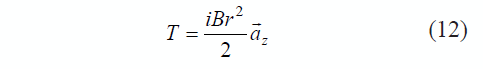
A partir de esta ecuación, el torque T,[Nm], ecuación (12), generado por el motor unipolar es [1, 8, 13, 14],

El torque generado por el imán y calculado mediante la anterior expresión constituye solo una de las fuerzas a las que está sometido un motor real, puesto que en él intervienen otras que afectan su comportamiento. A continuación se complementa el análisis mecánico válido para un motor unipolar estándar.
Dinámica del motor unipolar
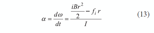
El análisis de la dinámica del prototipo se desarrolla estudiando sus principales componentes. Se puede describir como un sistema rígido con dos discos uniformes concéntricos conectados entre si (el eje y el imán cilíndrico), que experimentan fuerzas de fricción básicamente en el punto de unión del estator y el rotor (periferia del imán y apoyo del eje). La expresión final, correspondiente a la variación de la aceleración angular es descrita entonces por la ecuación (13),

Una vez calculada la aceleración angular del motor unipolar, es posible establecer la velocidad angular que alcanza en función del tiempo.
Velocidad del motor en función del tiempo
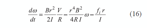
A partir de la ecuación diferencial (13), es posible determinar la velocidad angular y la corriente del motor unipolar en función del tiempo; del circuito equivalente del motor unipolar es claro que, ecuaciones (14) y (15),

Reemplazando estas ecuaciones en la ecuación (13) se llega a la ecuación (16),

Al resolver esta ecuación diferencial teniendo la condición inicial igual a cero, se puede determinar la velocidad angular del motor en función del tiempo y si además se asume que el motor se diseña para que las pérdidas por fricción sean mínimas y para que opere con campos magnéticos grandes, es posible aproximar la velocidad angular a la ecuación (17),

De esta manera, se espera que la velocidad angular del motor crezca exponencialmente hasta alcanzar un máximo de 2V / r2B en un tiempo definido por la magnitud de la resistencia eléctrica del motor unipolar.
Modelo experimental
Prototipos
Para desarrollar el prototipo del motor se evaluaron varios modelos; ninguno de éstos resultó ser el adecuado, puesto que no permiten desacoplar la batería del motor (limitando el tipo de fuente que podría emplear), ni tampoco ofrecen la posibilidad de aprovechar el torque que está generando la máquina (estos modelos carecen de un eje fijo al cual ajustar la carga). De esta manera, se optó por modificar el motor colgado, construyéndolo en forma horizontal, con su eje firmemente acoplado al centro del imán y paralelo a la superficie. Después de varias propuestas como se describe en [13] se llegó al prototipo mostrado en la figura 3.
Figura 3 Modelo funcional
El imán utilizado en el prototipo es de forma cilíndrica, de diámetro 1,7mm, altura 1,5mm y grado 35, con una temperatura de operación máxima de 80°C.
Corriente de operación
Representa un problema puesto que es demasiado elevada (mayor de 10A) y sobrepasa los niveles normales en los que opera la mayoría de dispositivos. La tarea de encontrar una "fuente de corriente" que pueda mantener este nivel constante en el tiempo y a su vez ofrezca un amplio rango de niveles de corriente es dificil; comunmente se utilizan BJTs y potenciometros o trimmers, que en este rango de corriente son de gran tamaño y/o requieren de potenciales elevados para funcionar (mayores de 30V); además sería necesario un proceso de rectificación y un tranformador, incrementando enormemente el costo de este tipo de fuente. Así, en lugar de emplear la red como fuente de energía, se empleó una batería y un banco de resistencias que conectadas en paralelo permiten aumentar cada vez más la corriente que circulará por el motor y de esta forma es posible analizar su comportamiento. Aunque en los modelos experimentales previos se corrigieron las pérdidas por fricción adicionadas al modificar el modelo colgado, el comportamiento del motor distó de ser eficiente, por lo que se consideró simplificarlo aún más retirando el núcleo laminado del motor original, figura 3; con este nuevo modelo se redujo el peso, facilitó el arranque del motor y mejoró la eficiencia eléctrica, obteniendose hasta cuatro veces la velocidad angular del motor unipolar alcanzada para la misma corriente de operación.
Análisis del comportamiento del prototipo
Sistema de medición
Para el desarrollo de las pruebas fue necesario construir un sistema que permite variar la corriente que circula por el motor, éste como se explicó anteriormente, se realizó a partir de una bateria conectada en serie con un banco de resistencias en paralelo que pueden variar de 0 a 40. Para hacer que una resistencia pertenezca al banco se presenta un cambio de diferentes materiales (cobre de la baquelita, el cable que las une y el alambre de la misma), estos representan una caída adicional de tensión y por lo tanto, al conectar una nueva resistencia hay que agregar el aporte del contacto mecánico; de esta manera debe hacerse una estimación de la resistencia real que se adiciona al circuito; para ello se alimentó el sistema con 5,14V y se midió la corriente cuando se adicionan resistencias al sistema. Con esta información y con la ecuación (18),

se calculó aproximadamente el valor de las resistencias en paralelo que idealmente se estarían adicionando. En la tabla 1 se muestran algunos resultados experimentales.
Tabla 1 Corriente generada al adicionar nuevas resistencias en paralelo
El sistema empleado para realizar las mediciones se muestra la figura 4; por seguridad y comodidad se utilizó un interruptor con capacidad de manejo de media potencia (7,5kW, 500V y 30A), que es el encargado de aislar la bateria.
Otros elementos utilizados para llevar a cabo los ensayos son un multímetro con precisión de tres cifras decimales y un tacómetro óptico de precisión ±0,005 rpm.
Pruebas realizadas
Una vez caracterizado el sistema de medición, se procedió a establecer las características del motor; para ello se diseñaron dos tipos de ensayos, uno en el que se mide la velocidad del motor conforme se varían otros parámetros como la corriente eléctrica y otro donde se mide el torque en un intervalo de tiempo.
Figura 4 Sistema experimental completo
Medición de la velocidad del motor
Se realizó conectando el motor al banco de resistencias alimentado por una batería y con la protección del interruptor; se ubicó un voltímetro entre los extremos del banco para medir indirectamente la corriente de trabajo del motor y un tacómetro para obtener la velocidad de éste al detectar el paso de una tira de marcador que se adhirió a su eje. Manteniendo constante la corriente en el motor, se registraron los valores suministrados por el tacómetro y el multímetro cada segundo; con esta información se obtuvieron los valores de velocidad y corriente del motor en función del tiempo. Se realizaron también varias mediciones con diferente número de resistencias en paralelo y un intervalo de tiempo de aproximadamente un minuto; con esto se construyeron las curvas de velocidad y corriente en función del tiempo. Se verificó la precisión, repetibilidad y reproducibilidad de los resultados. Se realizó un ajuste de curvas utilizando el criterio de mínimos cuadrados. Algunos de los resultados promediados de tres repeticiones se presentan en las figura 5 y 6.
Figura 5 Velocidad registrada (eje Y) en una serie de pruebas. Las resistencias equivalentes para las 15, 16 y 17 resistencias en paralalelo son 0,640, 0,600 y 0,565 Ohm, respectivamente
Figura 6 Corriente registrada en una serie de pruebas. Las resistencias equivalentes para las 15, 16 y 17 resistencias en paralalelo son 0,640, 0,600 y 0,565 Ohm , respectivamente
Cada experimento se llevó a cabo hasta que la batería quedaba completamente agotada, seguidamente se cargaba para realizar otro experimento. Con esta información fue posible examinar varias caracteristicas del motor.
Eficiencia del motor
La eficiencia en estos motores radica en el control de las pérdidas resistivas que se deben mantener al mínimo dado que las corrientes de trabajo de este tipo de motores son muy altas; analizado el diseño, vemos que hay que controlar las pérdidas entre las dos escobillas (el rodamiento y el mercurio). La caída de tensión en el rodamiento es constante y depende del material del que está hecho, mientras que en la escobilla de mercurio la resistencia interna dependerá de las características del contacto eléctrico. En lo posible se busca que sea metálico por lo que ambas superficies deben estar perfectamente limpias.
Velocidad del motor en función del tiempo
Como se puede observar en la figura 5, una vez se conecta el circuito y la corriente es suficiente para mover el motor se produce un incremento progresivo de su velocidad en pocos segundos. Teniendo en cuenta el modelo planteado, para una corriente constante la velocidad del motor en función del tiempo está dada por la siguiente relación:

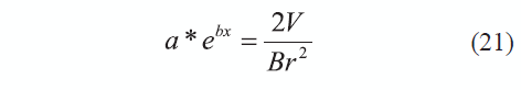
Con esta ecuación en mente se realizó una interpolación de los datos mediante el siguiente modelo,

Con este modelo propuesto se procedió a realizar la interpolación con un limite de confianza del 95%. La curva de ajuste obtenida puede observarse en las figura 5. Un ejemplo del valor de los coeficientes y la bondad del ajuste se presentan en la tabla 2.
El resultado de la interpolación muestra que la velocidad del motor se puede modelar mediante la ecuación (19), puesto que el coeficiente b de la ecuación (20), es muy cercano a cero (del orden de 10-4) en todas las pruebas, haciendo que ese término tenga poco efecto sobre la velocidad final predicha. La pequeña diferencia entre las ecuaciones teórica y del modelo de ajuste se puede interpretar como debida a la existencia de parámetros que estan afectando al motor y que no se tuvieron en cuenta en el modelo teórico. Comparando las ecuaciones (19) y (20), se observa que se debe cumplir la siguiente relación para que sean equivalentes, ecuación (21):

Tabla 2 Resultados de la iterpolación en una prueba típica para 15 resistencias
Del análisis de esta relación es claro que r y B permanecen constantes, siendo la tensión de la batería V, la responsable del leve incremento exponencial. Una mayor discusión de este aspecto se presenta en [13, 14].
Torque generado por el prototipo
El torque fue medido de manera indirecta a partir del acople de un motor de corriente continua al prototipo y poniendo este como generador, se midió la velocidad alcanzada por el conjunto, la potencia generada y la tensión entre los bornes del banco de resistencias. Con esta configuración se obtiene el torque, puesto que la potencia entregada es igual al producto del torque y su velocidad. En la figura 7 se muestran los resultados para distintos valores de corriente y una misma carga (motor de corriente continua acoplado); como se esperaba el par del motor está directamente relacionado con la corriente suministrada por el sistema y según los datos recopilados la mejor aproximación es lineal.
Sin embargo, se presentó una gran variabilidad de los datos que se atribuye principalmente a la vibración de los motores durante las pruebas. La línea de ajuste observada en la figura 7 se obtuvo mediante interpolación para un intervalo de confianza del 95%; se determinó un coeficiente de ajuste de 0.90.
Figura 7 Torque del motor en función de la velocidad
Comportamiento del motor con carga
Al comparar la velocidad del motor cuando gira con carga y sin ésta, se observa que disminuye casi en un 70%, ver figura 8. Este comportamiento se observó en todos los ensayos realizados utilizando la misma carga.
Figura 8 Efecto de la carga en el prototipo teniendo la alimentación 15 resistencias en paralelo
Conclusiones
El motor unipolar es la única máquina que verdaderamente funciona con corriente continua, convirtiéndolo en un dispositivo fácil de manipular y de construcción muy sencilla en comparación a otros. El estudio del motor unipolar es aún desconocido y lo han omitido en la mayoría de cursos de máquinas entre otras razones posibles, porque su modelo y funcionamiento está fuera de las explicaciones válidas para motores convencionales. El prototipo construido mostró la validez del modelo matemático del motor unipolar (una resistencia y una fuente de tensión), puesto que al medir la velocidad alcanzada durante un intervalo de tiempo, se observó un crecimiento exponencial, tal y como lo predice el modelo planteado. El modelo real del motor se aproxima al modelo matemático descrito, pero se requerirá modificar este último para incluir entre otros factores, la temperatura de operación y su variación con el tiempo, el flujo turbulento producto del hecho de que la escobilla es un líquido, o la formación de oxidos en la superficie. La función de transferencia del motor es de primer orden, dado que carece de elementos almacenadores de energía; sin embargo, tarda de treinta a cuarenta segundos en alcanzar su estado estable. Esto se debe, según el modelo planteado, a la resistencia interna de este dispositivo. La eficiencia del prototipo depende en gran medida de la calidad del contacto con la escobilla; entre mas limpia se encuentre, se obtendrá una mayor velocidad, como se observó durante la ejecución de una gran cantidad de ensayos. En estos, se manutuvo un mismo número de resistencias en paralelo obteniéndose una amplia variación en la velocidad de salida; en varios casos cayó incluso casi a un 23.7% del valor promedio, entre una prueba y otra y lo único que se modificó fue el estado de la escobilla. En la actualidad se desconoce la razón por la cual el giro del imán no afecta el campo magnético y hay controversia en el lugar donde se origina la fuerza, aunque es de general aceptación, que es el movimiento de los electrones en el imán, los que inducen la fuerza. El experimento desarrollado en el 2002 por Guala-Valverde, desafía aparentemente esta teoría, mostrando resultados contrarios a los esperados; éstos le permitieron afirmar que la fem se produce en los conductores y se debe a que tanto el campo magnético como las cargas eléctricas, se encuentran en movimiento relativo. Sin embargo, algunos autores cuestionan la validez misma del experimento como prueba irrefutable del movimiento relativo de la inducción homopolar, por lo que el debate continúa. Finalmente, el desarrollo y continuidad de estas máquinas unipolares en el futuro, van a la par con los nuevos materiales y con el uso de otras formas de energía. Este tipo de motor ha probado ser cada vez más ventajoso principalmente debido al desarrollo de superconductores [14].
Referencias
1. T. Valone. The homopolar handbook. A definitive guide to faraday disk and n-machine technologies. Ed. Integrity Research Institute. Washington (DC). 2004. pp. 1-59. [ Links ]
2. General Atomics. San Diego. California: http://www.ga.com/atg/EMS/homopolar.php. Consultada el 5 de marzo de 2008. [ Links ]
3. A. Martín. "Motor Homopolar". Revista Eureka sobre enseñanza y divulgación de las ciencias. Vol 4. 2007. pp. 352-354. [ Links ]
4. J. Schlichting, C. Ucke. "Un motor eléctrico de construcción sencilla, bajo costo y alta tecnología". Physik in unserer Zeit. Vol 35. 2004. pp. 272-273. [ Links ]
5.Motor unipolar. Disponible en: ttp://exa.unne.edu. ar/depar/areas/fisica/electymagne/teoria/elecmagnet/ inducción / homopolar / homopolar.htm. Consultada el 3 de noviembre de 2007. [ Links ]
6. W. Hayt. Teoría electromagnética. 5a. ed. Ed. Mc Graw Hill. New York. 2005. pp. 298. [ Links ]
7. P. Frigerio, G. Labruna, M. Larreguy. Generador de faraday de una sola pieza. Universidad Favaloro. Buenos Aires. 2001. pp. 6-42. [ Links ]
8. H. Montgomery. "Unipolar Induction: a neglected topic in the teaching of electromagnetism". Eur. J. Phys. Vol. 20. 1999. pp. 271-280. [ Links ]
9. M. Superczynski, D. Waltman. "Homopolar motor with high temperature superconductor field windings". IEEE transactions on applied superconductivity. Vol. 7. 1997. pp. 336-342. [ Links ]
10. A. Ampere. "Reponse a La Lettre De M. Van Beck Sur Une Nouvelle Experience Electro-Magnetique". Journal de Physique. 1821. T. XCIII. http://sidam. at.tut.by/en.html. Consultada el 5 de diciembre de 2007. [ Links ]
11. H. Montgomery. "Some Comments on J. Guala- Valverde's Experiments on Unipolar Induction". Apeiron. Vol. 14. 2007. pp. 34-37. [ Links ]
12. D. López, G. Acuña. Motor-generador unipolar. Facultad de ciencias exactas y naturales. Universidad de Buenos Aires. 2005. pp. 435-441. [ Links ]
13. K. Sandoval. Modelado y caracterización de un motor unipolar. Trabajo de grado. Universidad Industrial de Santander. 2008. pp. 1-82. [ Links ]
14. A. Crapo, J. Lloyd. "Homopolar dc Motor and Trapped Flux Brushless dc Motor Using High temperature Superconductor Materials". IEEE Transactions on Magnetics. Vol. 27. 1991. pp. 234-239. [ Links ]
(Recibido el 5 de Febrero de 2009.Aceptado el 15 de febrero de 2010)
*Autor de correspondencia: teléfono: +57 +7 + 634 40 00, ext. 2366, correo electrónico: crcorrea@uis.edu.co (R. Correa).























