Services on Demand
Journal
Article
Indicators
-
Cited by SciELO -
Access statistics
Related links
-
Cited by Google -
Similars in
SciELO -
Similars in Google
Share
Revista Facultad de Ingeniería Universidad de Antioquia
Print version ISSN 0120-6230On-line version ISSN 2422-2844
Rev.fac.ing.univ. Antioquia no.53 Medellín July/Sept. 2010
Encadenamiento de trayectorias aplicado al problema del planeamiento de la transmisión
Path-Relinking algorithm applied to transmission system expansion planning problem
Antonio Escobar*, Ramón Gallego, Eliana Toro
Universidad Tecnológica de Pereira, A.A. 97, La Julita, Pereira, Risaralda, Colombia
Resumen
Se presenta una metodología para resolver el problema de la expansión de la red de transmisión de energía eléctrica utilizando un algoritmo que aplica el concepto de encadenamiento de trayectorias (path relinking). Este algoritmo ha mostrado ser muy eficiente cuando se aplica al proceso de solución de problemas de gran complejidad matemática. El método parte de las configuraciones élite obtenidas al final del proceso de optimización de algoritmos combinatoriales eficientes, con el propósito de obtener mejores soluciones. En este trabajo se usa un algoritmo de búsqueda tabú para encontrar el conjunto inicial de configuraciones élite. Los resultados permiten mostrar la potencialidad del algoritmo de encadenamiento de trayectorias para encontrar soluciones alternativas de excelente calidad y más diversas. Como sistema de prueba se usa una de las redes de transmisión que tradicionalmente ha mostrado mayor dificultad para ser resuelta: la red norte-nordeste brasilera. Los mejores resultados reportados para esta red, en la literatura especializada, son mejorados cuando se usa el algoritmo propuesto.
Palabras clave: Encadenamiento de trayectorias, búsqueda tabú, planeamiento de redes de transmisión, optimización combinatorial
Abstract
A methodology to solve the long-term transmission expansion planning problem using the path re-linking algorithm is presented. This methodology starts with the elite configurations obtained from the results of the optimization using efficient metaheuristic algorithms in order to reach better results. This algorithm has showed a very good performance when is used in high mathematical complexity problems. In this work the Tabu Search (TS) algorithm is used to find the initial set of elite configurations. The results show the potentiality of the path re-linking algorithm to find high quality alternative solutions. As a test system the North-Northeast Brazilian power system which is consider as one of the most difficult power system is used. The optimal solutions of this test system, reported in the specialized literacy are improved when the proposed methodology is used.
Keywords: Path-relinking, expansion planning, metaheuristic, optimization, tabu search, transmission network
Introducción
El problema del planeamiento de la expansión de redes de transmisión es un problema no lineal, combinatorial y de gran complejidad matemática, en el que el número de opciones a ser analizadas se incrementa exponencialmente con el tamaño de la red. Este problema presenta la característica de ser multimodal, es decir, posee muchas soluciones alternativas, y los métodos de solución pueden quedar fácilmente atrapados en soluciones sub- óptimas. En un sistema eléctrico resulta de trascendental importancia determinar el plan óptimo debido fundamentalmente a dos aspectos: 1) el alto costo de inversión asociado al planeamiento de la expansión de los sistemas de transmisión y 2) el plan de expansión obtenido sirve de base para otros estudios complementarios, tales como los estudios de seguridad y estabilidad, que involucran también elementos de alto costo. De otro lado, para propósitos prácticos es más conveniente determinar un conjunto de planes de expansión alternativos, que sean topológicamente diferentes y con costos de inversión similares al plan óptimo, que un único plan óptimo. En consecuencia, es necesario avanzar en el desarrollo de algoritmos de optimización que permitan encontrar la solución óptima de redes de energía eléctrica de gran tamaño y gran complejidad matemática, y que además, permitan determinar un conjunto de soluciones su- bóptimas de buena calidad, y con configuraciones significativamente diferentes.
En este artículo se presentan los resultados obtenidos al utilizar un método de optimización combinatorial basado en el concepto de encadenamiento de trayectorias, el cual muestra un excelente desempeño tanto en su capacidad para encontrar soluciones de alta calidad, en sistemas matemáticamente complejos y de gran tamaño, como en la función de determinar un conjunto de soluciones subóptimas interesantes ubicadas en puntos muy diversos del espacio de soluciones. La principal característica de este método es que realiza búsquedas en subespacios de soluciones predefinidos, que han sido poco explorados y que son potencialmente atractivos por encontrarse próximos a soluciones conocidas de buena calidad, para lo cual usa una solución de trabajo, ubicada en la región de interés poco explorada y de buena calidad, la cual va recibiendo atributos de otra solución conocida, también de buena calidad, denominada solución guía. El proceso se realiza paso a paso.
En este artículo se propone utilizar un algoritmo basado en el mecanismo de encadenamiento de trayectorias, para realizar una fase de refinamiento y mejora de las soluciones encontradas por los diversos métodos de optimización combinatorial existentes. Para probar la capacidad del algoritmo, se aplica sobre un problema reconocido como NP-completo: el problema de planeamiento de la expansión de la transmisión, y en particular se usa un sistema de prueba de difícil solución: el sistema eléctrico norte-nordeste brasilero.
Como ya se mencionó, el método propuesto inicia el proceso de solución empleando soluciones élite obtenidas aplicando algún método de optimización combinatorial, entre los que se destacan: los algoritmos genéticos [1,2], la técnica de recocido simulado (simulated annealing) [3] y el método de búsqueda tabú [4, 5, 6].
Las soluciones obtenidas con la metodología propuesta en este artículo, resultan ser de mejor calidad que las que se obtienen aplicando únicamente la técnica de optimización combinatorial.
Este artículo está organizado de la siguiente manera: inicialmente se presenta un resumen del método de optimización combinatorial utilizado para obtener las soluciones élite iniciales; a continuación se presentan las características importantes del mecanismo de encadenamiento de trayectorias usado en la segunda parte del proceso de determinación de soluciones para el problema, luego se muestra el modelo matemático del problema de planeamiento de la transmisión; posteriormente, se explican las características de la implementación de la metodología que resuelve el problema del planeamiento de la transmisión; luego se describe el algoritmo propuesto para la solución del problema; seguidamente, se muestran las pruebas y los resultados obtenidos; y finalmente, se presentan las conclusiones más relevantes del trabajo.
Fundamentos de Búsqueda Tabú (BT)
La metodología búsqueda tabú (BT) esta adecuadamente presentada en [5,6]. BT es un método que permite encontrar configuraciones óptimas o cuasi-óptimas de problemas complejos (problemas no convexos, no diferenciables, con variables continuas y enteras, etc.) y con características combinatoriales (problemas cuyo espacio de soluciones crece de manera exponencial con el tamaño del problema) como es el caso del problema del planeamiento de la transmisión. En general, BT, resuelve problemas de la forma: min f(x) s.a. x e X, donde f(x) representa la función objetivo, x representa una solución factible para el problema y X representa el espacio de soluciones factibles. BT realiza una transición de manera similar a una heurística de búsqueda local, así, dada una configuración x , se define una vecindad de x que incluye a las configuraciones que pueden ser encontradas a partir de xa través de un mecanismo de transición. El algoritmo de BT aplicado en este trabajo es diferente a una heurística, basada en búsqueda local, en tres aspectos fundamentales: (1) a partir de la configuración actual se pasa a la mejor solución vecina, así sea de peor calidad que la solución actual, lo que significa que es permitida una degradación de la función objetivo; (2) el conjunto de vecinos de la solución actual x no es identificado de manera estática y, por lo tanto, después de cada transición, se debe definir una nueva vecindad que varía dinámicamente en estructura y tamaño durante todo el proceso de optimización; y (3) usa una estrategia de reducción del número de vecinos candidatos.
El algoritmo BT inicia con una configuración o solución inicial y realiza un número determinado de transiciones hasta cumplir un criterio de parada preestablecido. En cada paso, el algoritmo analiza un conjunto reducido de vecinos, y pasa al mejor si este no se encuentra prohibido, el cual se transforma en la nueva configuración actual. Adicionalmente, el método utiliza una lista tabú que evita retornar a configuraciones ya visitadas, ya que almacena atributos de dichas configuraciones. Una lista tabú que almacena atributos prohibidos reduce bastante los requerimientos de memoria pero presenta la siguiente dificultad: el atributo prohibido, asociado a una configuración ya visitada, puede ser compartido por configuraciones atractivas que se encuentran en la región de búsqueda y que no serán consideradas por tener el atributo prohibido. Esta dificultad puede resolverse utilizando el denominado criterio de aspiración, según el cual, se puede eliminar la prohibición de una configuración candidata si su función objetivo satisface un criterio de aspiración especificado, por ejemplo, si la función objetivo de la configuración prohibida es mejor que las encontradas durante las últimas n transiciones realizadas o si es mejor que las funciones objetivo de todas las configuraciones analizadas durante el proceso (incumbente).
Un algoritmo BT que realiza un conjunto de transiciones usando una lista tabú de atributos prohibidos y usa un criterio de aspiración es denominado algoritmo BT con memoria de corto plazo y constituye el algoritmo BT más elemental. Algoritmos BT más sofisticados incorporan estrategias adicionales como las denominadas funciones avanzadas de BT, tales como: intensificación, diversificación y uso de configuraciones élite. El uso de las funciones avanzadas, en forma integrada, permite tener un algoritmo BT muy eficiente. Existe una estrategia adicional que puede ser incorporada al método y que mejora significativamente su eficiencia, en el caso particular del problema del planeamiento de sistemas de transmisión, denominada reducción del número de configuraciones vecinas candidatas. En este trabajo se utilizan indicadores de sensibilidad y algoritmos constructivos con el propósito de obtener un número reducido de vecinos y de gran calidad.
Fundamentos de encadenamiento de trayectorias
El encadenamiento de trayectorias tradicional- mente se usa como una función de BT, y es utilizada para encontrar configuraciones potencial- mente atractivas antes de realizar los procesos de intensificación y de diversificación. En este trabajo, el concepto de encadenamiento de trayectorias se aplica para desarrollar un algoritmo independiente de mejoría de soluciones, e integra estrategias de intensificación y diversificación, además de tomar algunas de las características propias del método Scatter Search [6].
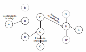
Figura 1 Conexión entre configuraciones de trabajo y guía
Durante el proceso de optimización se almacenan las mejores configuraciones, denominadas configuraciones élite. Dos o más de estas configuraciones pueden ser usadas para generar nuevas soluciones, por exploración de trayectorias, que conecten dichas configuraciones. El proceso se inicia partiendo de una de las soluciones, denominada configuración o solución de trabajo. En esta solución se copian algunos de los atributos existentes en la configuración o solución guía, que no están contenidos en ella. Durante el proceso de búsqueda se explora un camino en el espacio vecino que conecta dichas soluciones. El proceso utiliza memoria de corto plazo, criterio de aspiración y estrategias de intensificación y de diversificación. La intensificación se realiza cada vez que son transferidos atributos de la solución guía a la solución de trabajo. La diversificación se aplica durante el proceso de transferencia de atributos. El grado de la diversificación depende del número de atributos transferidos. De acuerdo con los objetivos propuestos, se selecciona una adecuada composición de atributos para ser transferidos a la solución de trabajo.
En la figura 1 se observa la trayectoria que conecta las configuraciones de trabajo y guía en el espacio de solución. En esta trayectoria se observan soluciones de mejor y de peor calidad respecto a la guía, tomando como referencia un problema de minimización. Las figuras 2 y 3 presentan dos estrategias diferentes para generar trayectorias entre la solución de trabajo (A) y la guía (E). En la figura 2 se presenta un encadenamiento estricto entre las soluciones de trabajo (A) y guía (E). Según este esquema, en cada paso son transferidos atributos de la solución guía a la de trabajo, uno a la vez, y en cada uno de estos se hace uso de la memoria de corto plazo, criterio de aspiración y se ejecuta un proceso de intensificación, lo cual corresponde a la implementación de un algoritmo BT básico, almacenando la mejor solución encontrada (B"), en el proceso de intensificación - diversificación. La solución B" es comparada con la mejor que haya sido encontrada durante todo el proceso, denominada incumbente. Si la solución B" es mejor, reemplaza la incumbente, en caso contrario es descartada. Una vez terminado el proceso de intensificación se pasa a la nueva configuración de trabajo, así por ejemplo en este caso, después de terminado el proceso de intensificación - diversificación se regresa a la configuración B. Siguiendo el mismo procedimiento se pasa de B a C en la próxima iteración, usando un proceso de diversificación, con base en los atributos identificados en la configuración guía. Se contemplan dos criterios de parada el primero consiste en efectuar k procesos de intensificación. El segundo mide la distancia entre la solución de trabajo y la guía, que consiste en establecer las diferencias en atributos entre dichas soluciones.
Figura 2 Trayectoria tipo 1
Figura 3 Trayectoria tipo 2
En la figura 3, después de transferido el atributo a la solución de trabajo, que corresponde a la diversificación, se ejecuta un proceso de intensificación, concluido se selecciona la solución de mejor calidad (B"), que será denominada en adelante solución de trabajo. Esta nueva solución de trabajo establecerá una nueva trayectoria entre ella y la guía, y proseguirá el algoritmo de solución. El criterio de parada es el mismo establecido en el procedimiento anterior.
En el proceso de encadenamiento de trayectorias, entre las configuraciones de trabajo y guía, se pueden encontrar soluciones de mejor calidad que las conocidas, al hacer uso de funciones propias del TS. En este procedimiento de búsqueda también podrían ser integradas metodologías de solución como los algoritmos SA y GA, entre otros.
El problema de planeamiento de la transmisión
El problema de la expansión de las capacidades de generación y de transmisión de los sistemas de energía eléctrica es un problema de optimización de gran complejidad matemática y resulta ser un problema de optimización de difícil solución ya que involucra un elevado número de variables (continuas y enteras) y de restricciones (lineales y no lineales). Este problema ha sido tradicional - mente simplificado a través del desacoplamiento entre el planeamiento de la transmisión y de la generación, siendo necesario resolver el segundo problema antes que el primero.
El problema del planeamiento de la transmisión puede formularse de diferentes formas, según el esquema que posea el sistema eléctrico. El esquema puede ser vertical o de mercado de electricidad. El modelo presentado en este artículo es el de un sistema eléctrico con estructura vertical [7]. Para este tipo de esquema existen varias propuestas para formular el modelo de la red de transmisión: las basadas en modelos DC [8, 9, 10] y las basadas en modelos AC [11]. En este trabajo se usa el modelo DC para representar la red. Según el número de intervalos en que se divide el periodo de análisis, el modelo formulado se denomina planeamiento estático [7] o multietapa [9]. Todos los modelos resultantes corresponden a problemas de Programación No Lineal Entero-Mixto PNLEM, y pertenecen al conjunto de problemas denominados NP-completos. A continuación se presenta la formulación correspondiente al planeamiento estático utilizando el modelo DC:


Donde cij , yij., nij , nij, fij y fij representan respectivamente, el costo de una línea y/o transformador que puede ser adicionado entre los nodos i-j, la susceptancia del circuito, el número de elementos adicionados entre los nodos i-j, el número elementos en el caso base, y el flujo de potencia total y su correspondiente flujo de potencia máximo entre los nodos i-j. v es el costo de inversión, S es la matriz de incidencia transpuesta nodo-rama del sistema eléctrico, f es el vector de elementos fij, g es el vector de generación con valor límite superior g, nij es el número máximo de elementos que pueden adicionarse entre los nodos i-j , θj es el ángulo del voltaje del nodo j , y Ω es el conjunto de todos los caminos. r es el vector de generadores artificiales con elementos rk, Ωr representa el conjunto de nodos con demanda y a es un parámetro que transforma el corte de carga de MW a US$. La inclusión de generadores artificiales es opcional en el modelo matemático y puede usarse para diferentes propósitos. En este trabajo se utiliza para facilitar el proceso de solución del modelo matemático con el fin de poder resolverlo usando técnicas metaheurísticas. Se consideran como soluciones factibles aquellas propuestas de expansión que no producen corte de carga, esto es, rk = 0; para todo k € Ωr. En el modelo anterior, (2) representa el conjunto de restricciones correspondientes a la primera ley de Kirchhoff (LKC), y (3) representa el conjunto de restricciones correspondientes a la segunda ley de Kirchhoff (LKV). Las demás restricciones corresponden a límites de operación de los dispositivos de transmisión. El modelo resultante es un problema de programación no lineal entero mixto (PNLEM). En el modelo anterior, todas las líneas existentes en la topología base aparecen también en la topología del plan de expansión óptimo futuro. La formulación anterior presenta dos características importantes: 1) presenta el fenómeno de explosión combinatorial de alternativas, cuando se incrementa el número de variables; 2) representa inicialmente una red no conectada, que en sistemas de gran tamaño aumenta la complejidad del problema.
Si se asignan valores a las variables de inversión xij usando alguna metodología, el subproblema resultante es un problema de programación lineal, cuya solución permite determinar la cantidad de potencia no atendida por el plan de expansión propuesto, lo cual sirve como una medida de que tan adecuada o no es la propuesta de inversión, desde el punto de vista técnico. Sólo serán aceptadas como soluciones, aquellas que no presentan corte de carga, es decir, que permiten atender toda la demanda. Puede observarse que el problema planteado es siempre factible, ya que los generadores ficticios atienden la demanda, en los nodos de carga, cuando no existe suficiente capacidad en la red de transmisión propuesta. El factor ∑iαiri en la función objetivo, penaliza la existencia de demanda no atendida en los nodos y debe ser igual a cero en las propuestas de solución que permiten atender toda la demanda. Dado que la generación ficticia representa generación inexistente, el valor de ∑iri representa la demanda total no atendida por el sistema, la cual se convertiría en racionamiento si se tuviera esta condición durante la operación del sistema. El uso de generadores ficticios le permite al método escapar de óptimos locales ya que facilita la aceptación temporal de soluciones que son infactibles para el problema real.
Metodología
El proceso de búsqueda a través del algoritmo propuesto de encadenamiento de trayectorias requiere de una solución de trabajo y de una solución guía de alta calidad. Estas soluciones se obtienen utilizando un método de optimización combinatorial. Las configuraciones de trabajo y guía además deberán tener un alto grado de diversidad, la cual es medida por la cantidad de atributos diferentes que existen entre ellas. Una gran diversidad indica que las soluciones pertenecen a regiones diferentes del espacio de solución. Para resolver el sistema de prueba, en este trabajo, se seleccionaron configuraciones con diferentes niveles de diversidad entre la configuración de trabajo y la guía obtenidas con el método de búsqueda tabú, en razón a que es la metodología con la que se han obtenido los mejores resultados para el sistema de prueba propuesto: el sistema norte-nordeste brasilero. La mejor solución conocida para este problema es presentada en [4]. La complejidad de este problema esta asociada al alto grado de desconexión existente en la red inicial, el gran número de circuitos candidatos entre cada par de nodos, hasta 16, y el tamaño del sistema.
En la codificación utilizada, un vector representa una configuración candidata para el plan de expansión. Los elementos del vector, o variables de decisión, representan a los corredores de transmisión donde pueden ser adicionados nuevos elementos (líneas o transformadores) y el contenido de cada elemento del vector representa el número de elementos conectados en paralelo en cada corredor. Los valores de las variables de decisión usan representación de tipo entera.
Un aspecto de bastante importancia es que, en problemas de gran complejidad matemática se requiere trabajar con un número reducido de vecinos. En el problema de planeamiento, la lista de vecinos es una lista reducida de circuitos que pueden ser adicionados, retirados o intercambiados. Para generar esta lista reducida con los mejores vecinos, se usan tres categorías de métodos: (a) los métodos basados en sensibilidad que usan el modelo de transportes tales como Garver [12] y Villasana Garver [13]; los que usan el flujo de potencia DC tales como: el método basado en el criterio de mínimo esfuerzo [14], y los basados en el criterio de mínimo corte de carga [15,16]; (b) los métodos que usan información topológica del sistema, como los que usan información de los circuitos o conjuntos de circuitos que conectan barras que tienen un valor significativo de carga no servida o generación que no puede ser evacuada y (c) los métodos basados en adiciones, retiros o intercambios de circuitos seleccionados aleatoriamente. La lista de vecinos determinada con estos métodos establece un balance entre los algoritmos golosos (los cuales son adecuados para encontrar óptimos locales) y los algoritmos basados en búsqueda aleatoria (que evitan que la solución quede atrapada en óptimos locales).
Encadenamiento de trayectorias
El algoritmo de encadenamiento de trayectorias implementado se muestra esquemáticamente en las figuras 2 y 3. Las configuraciones de trabajo y guía son tomadas de un conjunto de las mejores soluciones halladas con el método de optimización combinatorial de BT. Para el análisis se consideran configuraciones con diferentes grados de diversidad con el fin de explorar diferentes regiones del espacio de solución que se muestran promisorias.
El mecanismo de encadenamiento de trayectorias es una estrategia que permite explorar regiones del espacio de soluciones comprendidas entre soluciones conocidas. Esta exploración es guiada por un mecanismo que va adicionando a la solución de trabajo atributos propios de la solución guía, disminuyendo cada vez la distancia entre ellas y redefiniendo la solución de trabajo en cada iteración. Cada que la solución de trabajo es modificada, un algoritmo simple de búsqueda tabú, que hace uso de memoria de corto plazo, criterio de aspiración y un proceso de intensificación, explora un grupo reducido de soluciones vecinas a esta. Como resultado de este proceso, se pueden obtener soluciones de calidad superior a la configuración actual de trabajo y eventualmente de la mejor solución conocida para el problema (intensificación), o nuevas soluciones que se ubican en regiones apartadas y no visitadas hasta ahora por el algoritmo de búsqueda (diversificación).
Algoritmo propuesto
Basados en las ideas discutidas anteriormente, se desarrolla el siguiente algoritmo para resolver el problema de planeamiento de la expansión de redes de transmisión:
Paso 1: Definir: criterio de parada, máximo número de procesos de intesificación-diversifica- ción, asignar la distancia mínima en atributos entre la configuración guía y la de trabajo, y definir las configuraciones que serán usadas en el proceso (configuraciones de trabajo y configuraciones guía).
Paso 2: Determinar la distancia, en atributos, entre las configuraciones de trabajo y guía. En dos vectores almacenar las adiciones existentes en la solución guía y que no están contenidas en la de trabajo y viceversa, con su correspondiente número de circuitos. Con la información anterior, se conocerán los atributos que tendrían que ser adicionados a la configuración de trabajo y de esta forma marcar la trayectoria entre esta y la configuración guía. Aleatoriamente o a través de algún factor, se selecciona uno de los dos vectores, y se identifican los atributos que deben ser adicionados o retirados de la solución de trabajo. El criterio empleado es la demanda no servida obtenida con la solución del subproblema de programación lineal [17] correspondiente al sistema de ecuaciones presentado en (2). Si la demanda no atendida, obtenida durante el proceso de solución del subproblema (2), y correspondiente a la configuración de trabajo actual, muestra que se esta atendiendo toda la carga, se privilegia el retiro de elementos de transmisión. En caso contrario se privilegia la adición de elementos. Con el atributo identificado se construye un camino de transmisión cerrado, que puede estar conformado por una o varias líneas, para que cuando sea instalado en la red realice un trabajo efectivo y no presente el problema de líneas aisladas por las cuales no circula flujo de potencia. A los caminos identificados se le denomina bloques constructivos. Al adicionar o retirar el atributo, en la solución de trabajo, se está configurando el proceso de diversificación y a la vez se efectúa un acercamiento hacia la solución guía.
Paso 3: Iniciar el proceso de intensificación en estado B, este estado se logra adicionando (retirando) atributos en la configuración de trabajo en el estado A, ver figuras 2 y figura 3. En este paso se hace uso de memoria de corto plazo y criterio aspiración y se somete la configuración a un proceso de exploración (intensificación) en el espacio vecino. Se determina la configuración de mejor calidad como la configuración de mejor función objetivo en dicho proceso, estado B", ver figuras 2 y figura 3. Se compara este valor con la mejor solución encontrada hasta el momento en el proceso iterativo (incumbente). Si es de mejor calidad, la nueva solución reemplaza la solución incumbente.
Paso 4: Criterio de parada. Se usa un número máximo de procesos de intensificación- diversificación I-D (en las figuras 2 y figura 3 se ejecutan 3 procesos de I-D), o una distancia mínima medida en atributos entre la configuración guía y la de trabajo.
Paso 5: Se plantean dos clases de algoritmos como se muestra en las figuras 2 y figura 3. Si la trayectoria es la tipo 1, presentada en la figura 2, se regresa al estado B para iniciar un nuevo proceso de intensificación retornando al paso 2. Si la trayectoria es la tipo 2, presentada en la figura 3, se pasa al estado B" que corresponde a la configuración de mejor función objetivo, que fue encontrada durante el proceso de intensificación y se retorna al paso 2.
Resultados
Los resultados reportados en esta sección ilustran el comportamiento del algoritmo de encadenamiento de trayectorias cuando se aplica al sistema de prueba norte-nordeste brasilero sin redespacho de generación. Este sistema tiene 89 barras y 183 ramas candidatas (Los datos del sistema de prueba están disponibles con los autores). La demanda total es 29.754 MW. No se conoce la solución óptima de este sistema.
A continuación se presentan algunas de las mejores soluciones que han sido reportadas para el sistema de prueba usando diversas metodologías. La mejor solución obtenida usando SA paralelo tiene una inversión de US$2.630.290.000 y su topología se presenta en [3]; en [1] se muestra la mejor solución obtenida usando AG con una inversión de US$ 2.600.595.000; usando el método de BT se encontró la mejor solución conocida para este problema, con una inversión de US$ 2.574.745.000 [4]. Otros métodos de optimización combinatorial no presentan reportes en la literatura especializada donde se utilice este sistema de prueba.
El algoritmo de encadenamiento de trayectorias se implementó siguiendo las ideas presentadas en las figuras 2 y 3.
Para nuestro análisis dos configuraciones son poco diversas entre si, cuando presentan seis o menos atributos de diferencia entre ellas y con, por lo menos, cuatro corredores donde una configuración presente circuitos y la otra no. Se pueden definir dos categorías de atributos, los asociados a corredores donde ya existen circuitos en ambas configuraciones y los asociados a corredores donde existen circuitos en una de las configuraciones y no existen circuitos en la otra configuración. Esta última categoría es más representativa desde el punto de vista de la diversidad, ya que esta asociada a soluciones con topologías diferentes. De otro lado, se considera que existe gran diversidad entre las configuraciones si existen cerca de 38 atributos diferentes entre las soluciones, y con un valor cercano a 24 corredores donde existan circuitos en una de las configuraciones y no existan circuitos en la otra configuración.
En este trabajo se analizaron varios casos para diferentes grados de diversidad entre las soluciones de trabajo y guía. En general, los dos algoritmos representados en las figuras 2 y 3 presentan resultados satisfactorios, sin embargo, se observaron los mejores resultados cuando se utiliza baja diversidad entre las soluciones y el esquema representado en la figura 3, o alta diversidad y el esquema representado en la figura 2.
Se asume la mejor solución conocida para el sistema norte-nordeste, con costo de inversión de US$ 2.574.745.000 [4], como configuración base para medir el grado de diversidad de las soluciones obtenidas. Después de realizadas varias pruebas, usando cada vez diferentes configuraciones élite como soluciones de referencia y de trabajo, se obtuvo un conjunto de soluciones de alta calidad con distintos grados de diversidad.
Al usar baja diversidad y el esquema representado en la figura 3, se obtiene un conjunto de soluciones, algunas con pequeños cortes de carga. Los costos de inversión de las soluciones más representativas, en US$, son: 2.570.760.000; 2.573.170.000; 2.575.570.000; 2.577.540.000; 2.579.300.000; 2.579.690.000; 2.579.890.000; 2.582.300.000; 2.598.770.000. Las soluciones anteriores presentan una diferencia, en atributos, respecto a la configuración de referencia que se encuentra en un rango de 5 a 11 corredores, de los cuales entre 6 a 9 no tenían circuitos. La diferencia total en circuitos se encuentra en el rango de 5 a 16.
Con diversidad media y usando el esquema representado en la figura 3, se obtienen soluciones con los siguientes costos de inversión, en US$: 2.607.320.000; 2.607.760.000; 2.608.420.000; 2.608.860.000; 2.612.590.000; 2.613.930.000; 2.613.690.000; 2.614.430.000; 2.615.820.000. Las soluciones anteriores presentan una diferencia, en atributos, respecto a la configuración de referencia que se encuentra en un rango de 20 a 30 corredores, de los cuales entre 18 a 22 no tenían circuitos. La diferencia total en circuitos se encuentra en el rango de 38 a 41.
Con alta diversidad y usando el esquema representado en la figura 2 se obtienen soluciones, sin corte de carga, con el siguiente costo de inversión en US$: 2.574.383.000; 2.574.820.000; 2.575.790.000; 2.576.230.000; 2.583.750.000; 2.584.710.000; 2.585.788.000; 2.590.020.000; 2.591.660.000. Estas soluciones presentan una diferencia, en atributos, respecto a la configuración de referencia que se encuentra en un rango de 34 a 40 corredores, de los cuales entre 24 a 30 no tenían circuitos. La diferencia total en circuitos se encuentra en el rango de 37 a 51.
En el grupo anterior de soluciones, obtenidas con el algoritmo propuesto, aparece una solución sin corte de carga que supera en costo a la mejor solución reportada en la literatura especializada para este sistema, y que presenta gran diversidad respecto a ella. A continuación se muestra la topología de esta solución encontrada y que presenta una inversión de US$ 2.574.383.000:

Conclusiones
Se propone un algoritmo de encadenamiento de trayectorias para el problema de planeamiento de redes de transmisión, con el propósito de ser aplicado sobre un conjunto de soluciones élite obtenidas usando técnicas metaheurísticas. Este algoritmo busca explorar subespacios de alta calidad cercanos a soluciones élite ya identificadas. Se aplican conceptos del método de búsqueda tabú, de inicialización inteligente, estrategias de oscilación y de reducción del vecindario.
El método propuesto presenta mayor capacidad para explorar subespacios de solución interesantes, cercanos a soluciones ya identificadas, para los cuales las técnicas tradicionales no poseen mecanismos adecuados de exploración.
A pesar de que tanto la intensificación como las diversificación aparecen durante el proceso de aplicación del algoritmo de encadenamiento de trayectorias, en el problema de planeamiento de la expansión del sistema de transmisión, es más evidente el efecto de la diversificación que el de la intensificación, dado que las soluciones élites de inicio son de muy alta calidad y mejorarlas puede requerir mucho esfuerzo, en cambio, encontrar soluciones de costo similar y diversas resulta menos difícil para el algoritmo.
El problema de planeamiento eléctrico estudiado presenta las siguientes características complicantes: gran tamaño, existencia de variables continuas y enteras, no linealidad y existencia de una gran cantidad de nodos aislados en la topología inicial. La presencia de estas características lo convierte en un problema difícil de resolver aún con técnicas metaheurísticas. La metodología propuesta muestra ser muy eficiente al superar los resultados obtenidos con TS, AG y SA para el caso particular de la red norte-nordeste brasilera. La solución aquí encontrada tiene un costo 2,1% menor que la reportada con SA paralelo, 1,0% menor que la reportada con un AG y un 0,015% menor que la mejor solución conocida y reportada con BT. Adicionalmente, el algoritmo propuesto encuentra un conjunto de soluciones diversas y cercanas en costo a la mejor solución conocida, lo que lo hace muy atractivo para construir alternativas iniciales de excelente calidad para resolver los problemas de reactivos, de estabilidad y de seguridad de la red de transmisión, aun sin resolver.
Investigaciones previas mostraron que métodos de programación matemática basados en descomposición de Benders y análisis binario, son efectivos en la solución de problemas de tamaño pequeño y medio. En otros estudios se muestra que las técnicas metaheurísticas son muy efectivas para encontrar soluciones de alta calidad en sistemas de alta complejidad matemática. El algoritmo de encadenamiento de trayectorias propuesto logra reunir conceptos tomados de los otros métodos de la optimización combinatorial para mejorar la calidad de la solución en sistemas de gran complejidad matemática.
Referencias
1. R. A. Gallego, A. Monticelli, R. Romero. "Transmission system expansion planning by extended genetic algorithm". IET Proceedings Generation, Transmission and Distribution. Vol. 145. 1998. pp. 329-335. [ Links ]
2. R. A. Gallego, A. Escobar, E. M. Toro. Técnicas Metaheuristicas de Optimización. Taller de publicaciones Universidad Tecnológica de Pereira 2008. pp. 1-360. [ Links ]
3. R. A. Gallego, A. B. Alves, A. Monticelli, R. Romero. "Parallel Simulated Annealing Applied to Long Term Transmission Network Expansion Planning". IEEE Transactions on Power Systems. Vol.12. 1997. pp. 181-188. [ Links ]
4. R. A. Gallego, A. Monticelli, R. Romero. "Tabu search algorithm for network synthesis". IEEE Transactions on Power Systems. Vol. 15. 2000. pp. 490-495. [ Links ]
5. M. Laguna. Tabu Search Tutorial. II Escuela de Verano Latino-Americana de Investigación Operativa. 1995. pp. 1-20. [ Links ]
6. F. Glover, G.A. Kochenberger. Handbook of Metaheuristics. Kluwer Academic Publishers. Boston (USA). 2003. pp. 1-100. [ Links ]
7. G. Latorre, R. D. Cruz, J. M. Areiza, A. Villegas. "Classification of publications and models on transmission expansion planning". IEEE Transactions on Power Systems. Vol. 18. 2003. pp. 938-946. [ Links ]
8. R. Romero, A. Garcia, S. Haffner. "Test systems and mathematical models for transmission network expansion planning". IET Proceedings Generation, Transmission and Distribution. Vol. 149. 2002. pp. 27-36. [ Links ]
9. A. H. Escobar, R. A. Gallego, R. Romero. "Multistage and coordinated planning of the expansion of transmission systems". IEEE Transactions on Power Systems. Vol. 9. 2004. pp. 735-744. [ Links ]
10. C. W. Lee, Simon K. K. Ng, J. Zhong, F. Wu. "Transmission Expansion Planning From Past to Future". IEEE Power Systems Conference. Vol. 1. 2006. pp. 257-265. [ Links ]
11. M. Rider, A. García, R. Romero. "Power system transmission network expansion planning using AC model". IET Generation, Transmission and Distribution. Vol. 1. 2007. pp. 731-742. [ Links ]
12. L. L. Garver. "Transmission Network Estimation Using Linear Programming". IEEE Transactions on Power Apparatus and Systems. PAS. Vol. 89. 1970. pp. 1688-1697. [ Links ]
13. R. Villasana, L.L. Garver, S.J. Salon. "Transmission network planning using linear programming". IEEE Transactions on Power Apparatus and Systems. PAS. Vol. 104. 1985. pp. 349-356. [ Links ]
14. A. Monticelli, A. Santos Jr., M.V.F. Pereira, S. Cunha, J.G. Praca, B. Park. "Interactive Transmission Network Planning Using a Least-Effort Criterion". IEEE Transaction on Power Apparatus and Systems. PAS. Vol. 101. 1982. pp. 3919-3925. [ Links ]
15. M. Pereira. Aplicaçao de Analise de Sensibilidade no Planejamento da Expansao de Sistemas de Geraçao/ Transmissao. Tese (Doutorado) COPPE-UFRJ. 1985. pp. 1-150. [ Links ]
16. M. Pereira, L. Pinto. "Application of sensitivity analysis of load supplying capacity to interactive transmission expansion planning". IEEE Transactions on Power Apparatus and Systems. PAS. Vol. 104. 1985. pp. 1606-1615. [ Links ]
17. R. A. Gallego, A. Escobar, E. M. Toro. Programación Lineal y Flujo en Redes. Taller de publicaciones Universidad Tecnológica de Pereira. 2007. pp. 1-446. [ Links ]
(Recibido el 11 de mayo de 2009. Aceptado el 15 de febrero de 2010)
*Autor de correspondencia: teléfono: + 57 + 6 + 313 72 40, fax: + 57 + 6 + 321 32 06, correo electrónico: aescobar@utp.edu.co (Antonio Escobar)
















