Services on Demand
Journal
Article
Indicators
-
Cited by SciELO -
Access statistics
Related links
-
Cited by Google -
Similars in
SciELO -
Similars in Google
Share
Revista Facultad de Ingeniería Universidad de Antioquia
Print version ISSN 0120-6230On-line version ISSN 2422-2844
Rev.fac.ing.univ. Antioquia no.58 Medellín Apr./June 2011
Diseño del mecanismo actuador de un dedo robot antropomórfico
Design of the drive mechanism for an anthropomorphic robotic finger
Edgar Portilla Flores1*, Roberto Piña Quintero1, Oscar Avilés Sánchez2, Paola Niño Suárez2, María Molina Vilchis3
1Centro de Innovación y Desarrollo Tecnológico en Cómputo-Instituto Politécnico Nacional, Unidad Profesional Adolfo López Mateos, Av. Juan de Dios Bátiz s/n casi esq. con Miguel Othón de Mendizábal, Col. Nueva Industrial Vallejo, CP 07700, México D. F., México.
2Univesidad Militar Nueva Granada, Carrera 11 N.° 101-80, Bogotá D. C., Colombia.
3Escuela Superior de Ingeniería Mecánica y Eléctrica-Culhuacán- Instituto Politécnico Nacional, Av. Santa Ana N.° 1000, Col. San Francisco Culhuacán, CP 04430, México D. F., México.
Resumen
Los mecanismos pueden ser utilizados en el diseño de dedos robóticos para obtener sistemas de accionamiento adecuado para el posterior agarre o manipulación de objetos. En este trabajo se implementa una metodología de diseño para el mecanismo actuador de un "dedo antropomórfico" desarrollado previamente mediante herramientas computacionales (CAD) en la Universidad Militar Nueva Granada, UMNG de Colombia. La metodología propuesta parte de la obtención de las relaciones matemáticas de los elementos que conforman el sistema actuador y su posterior síntesis dimensional, lo anterior llevando en consideración que el mecanismo cumpla con características antropométricas basadas en la mano humana, para esto son tomadas diez posiciones (suministradas del trabajo realizado en la UMNG) obtenidas en simulación computacional. Se presentan los resultados obtenidos mediante simulación numérica para el mecanismo actuador así como el modelado en CAD de los mecanismos, para finalmente realizar una discusión de los resultados.
Palabras clave: Dedo robot, mecanismo de cuatro barras, ecuación de Freudenstein.
Abstract
Mechanisms may be used in the design of robotic fingers, in order to obtain drive systems which can be used for gripping or manipulating objects. In this work, a design methodology for a drive mechanism of an "anthropomorphic finger" is presented. The finger was previously developed by computational tools (CAD) at the UMNG-Colombia. The proposed methodology takes into account the mathematical relationships between the mechanical elements of the drive mechanism to carry out a dimensional synthesis, taking into account that the mechanism must fulfill the anthropometric characteristics of a human hand based on ten numerical positions (which were obtained from a previous UMNG work). Numerical simulation results and CAD modeling for the drive mechanism are presented. Finally, a discussion about results is included.
Keywords: robotics fingers, four-bar mechanism, Freudenstein's equation.
Introducción
Hoy en día el uso de robots es común en diversas áreas de la vida cotidiana así como en la industria, dichas aplicaciones van desde sencillos equipos de entretenimiento o electrodomésticos hasta complejos sistemas de reconocimiento de voz y datos aplicados a seguridad en edificios inteligentes; así como robots manipuladores, sistemas tele operados e interfaces "hápticas" de gran precisión dentro de procesos industriales de alta velocidad o de peligro para el ser humano. Así mismo, un área de investigación que se mantiene vigente para la comunidad científica es la que se refiere a la aplicación de los sistemas robóticos en la medicina de rehabilitación, por medio del desarrollo de prótesis dinámicas que permitan la restauración parcial o total de miembros ausentes en un individuo.
Las investigaciones que se han hecho de diversos dispositivos en dedos robóticos, para lograr la funcionalidad de compresión y la manipulación de objetos, ha llevado a la construcción de innovadores pero costosos prototipos de dedos, para ser utilizados como partes funcionales de robots antropomórficos, tal como se presenta en [1], donde se hace una presentación del estado del arte de este tipo de mecanismos. Uno de los trabajos relacionados con un diseño integral de este tipo de mecanismos es el que se llevó a cabo en la Universidad de Cassino (Italia), dode se desarrolló un Diseño Óptimo de un Mecanismo de arrastre en un dedo antropomorfo de un grado de libertad [2]. El diseño es formulado, usando los criterios de la evaluación para las características fundamentales que describen el movimiento del dedo, en posiciones de agarre manteniendo el equilibrio y la transmisión de la fuerza. Es decir, se obtiene la cinemática del movimiento de dedos humanos, a partir de secuencias de grabación de video y fotos como una metodología para capturar un grupo de puntos que ayudan a determinar una relación matemática de movimiento. En [3] desarrollan el modelo dinámico del dedo llevando a cabo un mapeo de los desplazamientos y las fuerzas entre el espacio articular del dedo. Otro trabajo relacionado se encuentra en [4] donde muestran el diseño óptimo de un efector final (denominado gripper en inglés) con aplicación industrial, en dicho trabajo las variables de diseño son el tamaño, posición y control de fuerza que debe cumplir el mecanismo bajo estudio.
En [5] se describe el desarrollo de un control de posición de un dedo antropomorfo, se presenta un método para calcular la cinemática inversa del mismo y mediante redes neuronales, se controla. En el trabajo presentado en [6], se obtiene el modelo cinemático y estructural de un dedo de dos grados de libertad, su sistema de actuación emula el sistema muscular del dedo humano y se basa en un sistema de transmisión conformado por tendones y motores de corriente continua. Otra aporte de este trabajo es el modelo dinámico del dedo obtenido por un mapeo de los desplazamientos y las fuerzas entre el espacio articular del dedo y el espacio de los tendones. Por otra parte, en la Universidad de Bologna [7] se desarrolló el diseño de un dedo robótico con dos grados de libertad, de bajo peso, que utiliza eslabones rígidos unidos con elementos flexibles, los actuadores empleados son de desplazamiento lineal.
En [8] se lleva a cabo el desarrollo e implemen- tación de un mecanismo denominado "Dedo antropomórfico" el cual cumple la antropometría de la mano para un individuo (Ver figura 1). El movimiento del mecanismo se basa en la cinemática de dos subsistemas mecánicos acoplados entre sí, denominados actuadores; cada uno de ellos son mecanismos cruzados de cuatro barras. Su diseño se realiza utilizando un conjunto de diez posiciones deseadas, obtenidas de manera experimental y haciendo la interpolación gráfica y numérica de los ángulos que debe satisfacer la cinemática de cada mecanismo. La síntesis de los elementos mecánicos de los mecanismos actuadores es llevada a cabo en forma empírica y basada en el punto de vista del ingeniero de diseño con la ayuda de herramientas Computacionales de Diseño Asistido por Computadora (CAD por sus siglas en inglés). Es preciso mencionar que la metodología de diseño utilizada en [8], es desarrollada en forma particular para el conjunto de datos experimentales obtenidos previamente.
En el presente trabajo se lleva a cabo el análisis cinemático de los mecanismos actuadores propuestos en [8], dicho análisis es por medio de la teoría de mecanismos para determinar las relaciones matemáticas entre la geometría y los movimientos de los diversos elementos mecánicos que componen los actuadores. El propósito fundamental de obtener las relaciones matemáticas es llevar a cabo la síntesis y construcción del dedo antropomórfico por completo. Así mismo, dichas relaciones matemáticas se establecen con la finalidad de ser utilizadas para la síntesis de otros mecanismos que serán utilizados para satisfacer un nuevo conjunto de necesidades antropométricas.
Este trabajo se suscribe en el marco de la investigación de sistemas robóticos con características antropomórficas para el posible desarrollo de prótesis de mano humana o para el desarrollo de robots manipuladores, en especial para el desarrollo del elemento actuador. La organización del presente artículo es la siguiente: en la sección I se describe el mecanismo del dedo antropomórfico, ahí se muestra el diseño de CAD y el equivalente funcional de un mecanismo actuador que es un mecanismo cruzado de cuatro barras. El análisis matemático del mecanismo actuador mediante ecuaciones de cierre de circuito para la obtención de la Ecuación de Freudenstein se muestra en la sección II. Los resultados numéricos obtenidos para las ecuaciones de diseño del mecanismo actuador considerando diez posiciones deseadas experimentales así como una discusión de los mismos, se exponen en la sección III. Finalmente, la sección IV contiene las conclusiones y futuros trabajos relacionados con el presente.
Descripción del dedo antropomorfico
Como se ha mencionado previamente, en [8] se desarrolla e implementa un mecanismo denominado dedo antropomórfico. La figura 2 muestra dibujos esquemáticos del mecanismo antes mencionado.
Con el propósito de entender la cinemática del mecanismo completo, se establece que el mecanismo actuador está integrado por dos mecanismos cruzados de cuatro barras acoplados entre ellos (Ver figura 2a). Para claridad de diseño, la falange distal, media y proximal se denominan F3, F2 y F1 respectivamente. Es preciso aclarar que la entrada de movimiento del mecanismo completo es un tornillo sin fin el cual permite la conversión de movimiento rotacional de un micro motor de corriente directa en movimiento lineal por medio de un elemento mecánico denominado tornillo de potencia, dicho tornillo utiliza una corredera la cual se representa por el par cinemático AB de la figura 2b. Por otro lado, en la figura 2b., se puede observar el mecanismo actuador de la falange proximal representado mediante pares giratorios (clase V), para una revisión detallada del tema ver [9]. El eslabón de entrada AB (clase V) se desplaza en forma lineal provocando el movimiento del primer mecanismo conformado por los puntos DHIEJ, que corresponde a la falange (F1) mediante el par rotacional C, así mismo el par rotacional K activa al segundo mecanismo cruzado de cuatro barras GFML, que corresponde a la falange media (F2), igualmente, el par rotacional N activa la falange distal (F3) y por medio del punto P generar la trayectoria de un dedo de la mano humana.
Síntesis de mecanismos
La síntesis dimensional de mecanismos consiste básicamente en hallar una solución a los problemas de generación de trayectoria, función y movimiento. El método que se usa para la síntesis del mismo es analítico por ecuaciones de Freudenstein [10].
En la figura 3 se muestran los dos mecanismos de cuatro barras que constituyen el dedo completo, dichos mecanismos están representados gráfica y vectorialmente, donde xy es un sistema cartesiano de coordenadas fijo.
La figura 3a representa el mecanismo de actuación de la falange proximal; donde HD constituye el eslabón fijo o de tierra, DE es el eslabón de entrada, IE es eslabón acoplador y HI es el eslabón de salida. En la figura 3b muestra el mecanismo de actuación de la falange media y distal; donde GF se considera el eslabón fijo, es preciso mencionar que dicho eslabón se mueve solidariamente en un movimiento relativo que depende del primer mecanismo, GL es el eslabón de entrada, ML es el eslabón acoplador y HI es el eslabón de salida.
Considerando que los dos mecanismos son cruzados y de cuatro barras, la metodología de síntesis es la misma excepto que el segundo mecanismo sufre una rotación con respecto al movimiento relativo del primer mecanismo donde se genera un ángulo α1, por lo que se procederá a desarrollar las ecuaciones matemáticas para un sólo mecanismo y extrapolarlo al otro mecanismo.
En forma general, un mecanismo de cuatro barras de cierre de circuito se representa por la ecuación (1)

Expresada en términos de los componentes del sistema coordenado establecido previamente y considerando que el mecanismo debe cumplir con el conjunto de posiciones deseadas, en la ecuación (2) se presentan los componentes en x:

En la ecuación (3) los componentes en y:

Donde el subíndice i corresponde a la i-esíma posición deseada que debe cumplir el mecanismo. Por otro lado, de la figura 3a se observa que al ser fijo el eslabón r4, su ángulo es constante y de valor conocido, es decir θ4=π. Por tanto, se obtienen las relaciones presentadas en las ecuaciones (4) y (5).


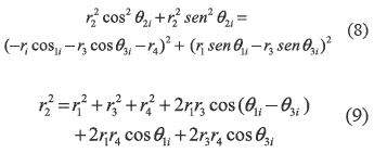
Para encontrar la relación entre el ángulo de entrada θ3 y el ángulo de salida θ1 se debe eliminar el ángulo del eslabón acoplador θ2, como se muestra en las ecuaciones (6) y (7)

Elevando al cuadrado ambos términos de la igualdad y sumando ambas ecuaciones se tienen las ecuaciones (8) y (9).

Despejando el término que involucra las variables de entrada y de salida, se tiene la ecuación (10).

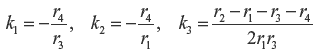
Definiendo las variables k1, k2 y k3 de la siguiente forma,

La ecuación (10) se convierte en la ecuación presentada en (11).

Reescribiendo la ecuación (11) se obtiene la ecuación (12).

Siendo (12) la llamada ecuación de Freudenstein [10]. Esta ecuación determina la relación matemática paramétrica entre el ángulo de entrada y el de salida del mecanismo de cuatro barras.
Minimización del error en las posiciones deseadas
El problema de síntesis dimensional óptima de mecanismos se observa como un proceso de minimización, ya que se requiere que el error estructural sea lo más pequeño posible. Por lo anterior para obtener un mínimo de error en las posiciones que debe cumplir el mecanismo actuador, se aplica el método de mínimos cuadrados [11-12].
Los métodos de optimización que se basan en métodos numéricos con el propósito de obtener las condiciones máximas o mínimas de una función, se formulan como un problema de programación no lineal. La solución óptima se encuentra al realizar la minimización de una función objetivo, que se define como una diferencia entre el movimiento generado y el especificado, conocido como el error estructural [13].
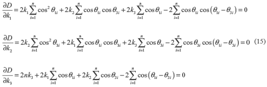
Sea la función definida en términos de la ecuación (13), que establece las posiciones de precisión del mecanismo actuador, es decir:

Donde n es el número de puntos deseados. Tomando en cuenta, que se debe minimizar el error en las posiciones que debe cumplir el mecanismo actuador y observando la dependencia matemática de la función D de los parámetros k definidos anteriormente. Se debe cumplir para obtener el menor error entre los ángulos deseados como se presenta en la ecuación (14).

Desarrollando cada una de las derivadas parciales se obtiene el conjunto de ecuaciones presentadas en (15).

Expresando la ecuación (15) en forma matricial, se obtiene:

Donde los coeficientes k1, k2 y k3 son los coeficientes de la ecuación de Freudenstein. Al resolver el sistema de ecuaciones dado (16), y proponiendo un valor para el eslabón fijo r4 se puede determinar la longitud de los demás eslabones.
Resultados numéricos
Con el propósito de obtener el diseño del mecanismo actuador, se utiliza MATLAB® para el cálculo de las constantes de la ecuación de Freudeinsten de la ecuación (17). En la tabla 1, se muestran las 10 posiciones utilizadas para determinar las dimensiones de los mecanismos, estas posiciones son obtenidas del trabajo realizado en [8].
Debido a que la forma matricial de la ecuación (16) está en función de los ángulos de entrada y salida del mecanismo actuador, se deben obtener los valores de dichos ángulos a partir de sus posiciones deseadas. Con el propósito de obtener dichos ángulos se establece el problema de optimización planteado en la ecuación (18).

Sujeto a: - π ≤ θ ≤ π
Donde la solución del problema es el valor del ángulo de salida dado un valor del ángulo de entrada. El cálculo de la solución se realizó mediante el Toolbox de minimización restringida de MATLAB® “fmincon” para cada posición del mecanismo y para cada mecanismo. Donde la variable de salida es θ1, la tabla 2, muestra los valores de los ángulos para cada una de las posiciones deseadas que debe cumplir el mecanismo actuador.
A partir de los datos de la tabla 2, se resolvió el sistema de ecuaciones simultáneas establecido en la ecuación (16). Las dimensiones obtenidas de los eslabones del mecanismo actuador, al resolver dicho sistema, se muestran en la tabla 3.
La figura 4 muestra el mecanismo actuador con las dimensiones obtenidas en las simulaciones numéricas así como el diseño en CAD de la falange proximal.
La figura 5 muestra las trayectorias de dos eslabones de salida, uno en la falange proximal y otro en la media. Los valores graficados son los experimentales así como los obtenidos mediante simulación numérica. Para las trayectorias obtenidas mediante simulación numérica, se muestra un mayor conjunto de puntos que las 10 posiciones deseadas de cada uno de los mecanismos de actuación del dedo antropomórfico.
Como puede observarse en las trayectorias que se muestran, los resultados obtenidos mediante las simulaciones numéricas tienen un comportamiento mejor que el establecido en los datos obtenidos experimentales, lo anterior al describir un arco circular más uniforme respecto del eje de giro del eslabón. Sin embargo, para el eslabón perteneciente a la falange media se observa una variación de trayectorias entre la deseada y la numérica, lo anterior pudo ser ocasionado por la propagación de un error sistemático de cálculo numérico al obtenerse los desplazamientos relativos y ángulos para el segundo mecanismo, ya que como se estableció previamente, el eslabón fijo del segundo mecanismo actuador se mueve en forma solidaria con el eslabón de salida del primer mecanismo actuador.
Por otro lado, las dimensiones que se obtuvieron en el presente trabajo para cada mecanismo actuador, son del mismo orden de magnitud que los reportados en trabajos previos y dado que en general la precisión de las máquinas utilizadas en la construcción de este tipo de mecanismos no permite obtener la precisión de los resultados numéricos, se considera que la metodología utilizada en este trabajo, permite obtener resultados aceptables para su implementación en prototipo experimental. Así mismo es preciso mencionar que el par A,B de entrada al mecanismo completo, no es considerado por lo que este aspecto pudiera propagar un error en el mecanismo.
Conclusiones
En este trabajo se ha presentado una metodología de diseño para la construcción del mecanismo de un dedo robot antropomórfico. El diseño de dicho mecanismo se llevó a cabo mediante el análisis y síntesis de los mecanismos para obtener la relación matemática de las dimensiones que deben tener los componentes mecánicos de dichos actuadores para cumplir con una trayectoria deseada. Los resultados obtenidos analíticamente son comparados con los datos experimentales y se demuestra que la metodología propuesta produce resultados funcionales para el mecanismo en estudio.
Por otro lado, debido a que el diseño del dedo antropomórfico parte de un conjunto de posiciones deseadas obtenidas experimentalmente, es importante mencionar que se debe tener mucha experiencia y cuidado en el proceso de medición de dichas posiciones, conjuntos de datos erróneos producirán diseños mecánicos de pobre rendimiento o inviables en la práctica. Lo anterior debido a que la metodología no percibe dichos conjuntos de datos erróneos.
Por último, es de importancia mencionar que para trabajos futuros se pretende considerar el par o eslabón de entrada en el análisis y síntesis del mecanismo completo, tomando en cuenta el motor actuador del sistema y el controlador de dicho motor. Así mismo, se considerará una función que cuantifique el desempeño del sistema completo desde el punto de vista mecánico o energético. Lo anterior, para realizar el diseño en el contexto de diseño integrado de sistemas mecatrónicos.
Referencias
1. O. F. Avilés Sánchez, P. León Simanca, G. Calle. "Dedos para grippers Robóticos". Scientia et technica. Vol. 11. 2005. pp. 97-103. [ Links ]
2. M. Ceccarelli, N. Eduardo Nava Rodríguez, G. Carbone. "Optimal Design of Driving Mechanism in a 1-D.O.F. Anthropomorphic Finger". Mechanism and machine theory. Vol. 41. 2006. pp. 897-911. [ Links ]
3. F. García, J. Martínez Alvarez, R. J. Saltarén Pazmiño, A. Guerrero González, J. López Coronado. Diseño Mecatrónico de un Dedo Antropomórfico (Parte 1) Universidad Politécnica de Cartagena. Murcia. España. http://www.ceautomatica.es/actividades/jornadas/XXII/documentos/H_05_R.pdf. Consultada el 24 de noviembre de 2009. [ Links ]
4. Yi Gu, Xin, Hua Weng, Ruqing Yang, Tao Song. "Kinematic Design of Radius-Variable Gripper with 1-D.O.F. used In High-voltage Hot-line Cleaning Robot". International Journal of Advanced Robotic Systems. Vol. 5. 2008. pp. 107-114. [ Links ]
5. F. García, José. Martínez Alvarez, Roque J. Saltarén Pazmiño, A. Guerrero González, Juan López Coronado. Diseño Mecatrónico de un Dedo Antropomórfico (Parte 1).Universidad Politécnica de Cartagena. Murcia. España. http://www.cea-ifac.es/actividades/jornadas/XXII/documentos/H_05_R.pdf. Consultada el 29 de noviembre de 2009. [ Links ]
6. F. García, J. Martínez Alvarez, R. J. Saltarén Pazmiño, A. Guerrero González, J. López Coronado. Diseño Mecatrónico de un Dedo Antropomórfico (Parte 2). Universidad Politécnica de Cartagena. Murcia. España. http://www.cea-ifac.es/actividades/jornadas/XXII/documentos/H_05_R.pdf. Consultada el 29 de noviembre de 2009. [ Links ]
7. F. Lotti, G. Basura. A Novel Approach to Mechanical Design of Articulated Fingers for Robotic Hands. http://www.diem.ing.unibo.it/personale/lotti/Articoli_UBhandIII%5CIROS_02.PDF. Consultada el 2 de noviembre de 2009. [ Links ]
8. O. F. Avilés, P. L. Simanca, P. A. Niño. "Diseño y Construcción de un Dedo para Grippers Robóticos". Congreso Iberoamericano de Ingeniería Mecánica. Cusco (Perú). 2007. pp. 41-47. [ Links ]
9. R. Norton. Diseño de maquinaria: síntesis y análisis de máquinas y mecanismos. Ed. Mc Graw Hill. New York. 1995. pp.201-210. [ Links ]
10. J. Edward Shigley, J. J. Uicker. Teoría de Máquinas y Mecanismos. Ed. Mc Graw Hill. México. 1988. pp. 117-128. [ Links ]
11. H. C. Such, W. C. Radcliffe. Kinematics and Mechanisms Design. Ed. John Wiley and Sons. New York. 1978. pp. 97-113. [ Links ]
12. H. C. Such. "Optimum Design of Mechanisms with the Use of Matrices and least Squares". Mechanism and Machine Theory. Vol. 8. 2003. pp. 479-495. [ Links ]
13. R. Peón Escalante, J. Méndez Gamboa, C. Villanueva López, D. Pech Oy. "Síntesis Dimensional Óptima de un Mecanismo Planar RRRR Usado Algoritmos Genéticos". Revista Académica de la FI-UADY. Vol. 13. 2009. pp. 5-16. [ Links ]
(Recibido el 23 de marzo de 2010. Aceptado el 31 de agosto de 2010)
*Autor de correspondencia: teléfono: + 52 + 555 + 729 60 00 ext. 52539, fax: + 52 + 555 + 729 60 00 ext. 52541, correo electrónico: apor-tilla@ipn.mx. (E. Portilla)





















