Services on Demand
Journal
Article
Indicators
-
Cited by SciELO -
Access statistics
Related links
-
Cited by Google -
Similars in
SciELO -
Similars in Google
Share
Revista Facultad de Ingeniería Universidad de Antioquia
Print version ISSN 0120-6230On-line version ISSN 2422-2844
Rev.fac.ing.univ. Antioquia no.61 Medellín Dec. 2011
ARTÍCULO ORIGINAL
Oscilador para biosensores basado en microbalanza de cristal de cuarzo (QCM)
Oscillator for Biosensors based on Quartz Crystal Microbalance (QCM)
Yeison Javier Montagut Ferizzola1*, José Vicente García Narbon2, Yolanda Jiménez Jiménez2, Carmen March Iborra3, Angel Montoya Baides3, Róbinson AlbertoTorres Villa1, Antonio Arnau Vives2
1GIBEC – Grupo de Investigación en Ingeniería Biomédica EIA–CES. Escuela de Ingeniería de Antioquia. Km 2 + 200 vía al aeropuerto José María Córdoba. Envigado, Colombia.
2Grupo de Fenómenos Ondulatorios. Departamento de Ingeniería Electrónica. Universitat Politècnica de Valencia. Camino de Vera, s/n, 46022. Valencia, España.
3Instituto Interuniversitario de Investigación en Bioingeniería y Tecnologías Orientadas al Ser Humano. Universitat Politècnica de València. Camino de Vera, s/n, 46022. Valencia, España.
*Autor de correspondencia: teléfono: + 57 + 4 + 354 90 90 ext. 692, correo electrónico: ymontagut@eia.edu.co (Y. Montagut)
(Recibido el 7 de septiembre de 2011. Aceptado el 17 de noviembre de 2011)
Resumen
El cristal de cuarzo generalmente es usado en aplicaciones como microbalanza, aprovechando la capacidad que presenta éste para variar su frecuencia de resonancia de acuerdo a los cambios de la densidad superficial de masa depositada en la superficie del resonador. De esta manera, un cristal de cuarzo puede ser utilizado como transductor en un sistema de inmunosensor piezoeléctrico, para detectar uniones antígeno – anticuerpo.
En este artículo se presenta una interfaz para microbalanzasde cristal de cuarzo, QCM (del inglés Quartz Crystal Microbalance) basado en una versión mejorada de oscilador en configuración diferencial equilibrado y su validación como sistema de caracterización para biosensores. El sistema fue probado con éxito en un inmunosensor piezoeléctrico para la detección del plaguicida Carbaryl.
Palabras clave: QCM, oscilador, biosensor, inmunosensor piezoeléctrico, Carbaryl
Abstract
Quartz crystal is generally used in some applications as a microbalance taking advantage of its capacity to change the resonance frequency according to any surface mass change on the resonator. In this way a quartz crystal can be used as a transducer in a piezoelectric inmunosensor system in order to detect antigen–antibody bonds.
An interface for Quartz Crystal Microbalances, QCM, based on an improved version of an oscillator in balanced differential configuration and its respective validation as a biosensor characterization system is introduced in this paper. The system was successfully tested in a piezoelectric inmunosensor for detecting the pesticide Carbaryl.
Keywords: Quartz Crystal Microbalance (QCM), oscillator, biosensor, piezoelectric inmunosensor, Carbaryl
Introducción
Un biosensor puede definirse como un dispositivo analítico en el que un receptor biológico es inmovilizado sobre la superficie de un transductor. Cuando un analito diana es reconocido por el receptor biológico, la interacción bioquímica es directamente convertida por el transductor en una señal cuantificable [1].
Los biosensores pueden clasificarse de acuerdo a [2]:
a) Tipo de interacción.
b) Detección de la interacción.
c) Elemento de reconocimiento.
d) Sistema de transducción.
Un inmunosensor piezoeléctrico es un biosensor que utiliza un cristal de cuarzo como transductor y un anticuerpo (inmunoreactivo) como elemento de reconocimiento [1, 3–5]. En este caso, el resonador de cuarzo es utilizado como una microblanza (QCM) para detectar los pequeños cambios de masa producidos durante la reacción inmunológica. Desde el punto de vista eléctrico el resonador de cuarzo se puede modelar de manera general mediante un circuito en serie formado por una resistencia, un condensador y una bobina, a su vez en paralelo con un condensador, como lo muestra la figura 1, donde, R: resistencia dinámica del cristal (en la mayoría de los casos la resistencia dinámica del cristal se representa por Rm), L: inductancia dinámica del cristal, C: capacitancia dinámica del cristal y C0: Capacitancia estática del cristal. Para realizar la detección por medio de un resonar de cuarzo, se debe inmovilizar el inmunoreactivo formando una monocapa autoensamblada (del inglés Self–Assembled Monolayer, SAM) sobre la superficie de oro del electrodo del cristal [1, 3]; de tal forma que la interacción inmunoquímica entre el anticuerpo y el antígeno en disolución es monitorizada a partir de las variaciones de la masa que se produce en la superficie de la QCM que están relacionadas con la concentración de antígeno en disolución. Esta variación de masa (Δm) está relacionada con la variación de la frecuencia de resonancia (Δf) del cristal. La ecuación que relaciona los cambios de la densidad superficial de masa y la frecuencia de resonancia se conoce como la ecuación de Sauerbrey [6, 7]:

Dónde: f0: Frecuencia de resonancia en vacio; Zcq: Impedancia acústica característica del cuarzo
; ρq : Densidad del cuarzo;
: módulo de cizalla efectivo complejo del cuarzo); ρs: Densidad de masa superficial (ρs= ρf hf = ms/A; ρf: densidad de la capa depositada sobre el cristal, hf : grosor de la capa depositada sobre el cristal, ms : masa de la capa depositada sobre el cristal, A: superficie efectiva); CSB: Coeficiente de Sauerbrey.
Cuando el cristal se encuentra en contacto con un líquido newtoniano la variación de la frecuencia depende también de las propiedades del líquido, que vienen dadas por la ecuación de Kanasawa y Gordon [7, 8] y que dependen de la densidad y la viscosidad del líquido:

Dónde: ρl: Densidad del líquido; ηl: viscosidad del líquido; Ck: Coeficiente de Kanasawa.
En el caso de los inmunosensores piezoeléctricos, se deben tener en cuenta los dos efectos, el efecto de la variación de la densidad superficial de masa y el efecto producido por el líquido en el cual se encuentra el analito en disolución, en este caso la ecuación de Martin [7, 9] es más apropiada:

El primer término de la ecuación (3) describe el efecto de la densidad superficial de masa y es equivalente a la ecuación de Sauerbrey (ecuación (1)). El segundo término de la ecuación (3), es equivalente a la expresión dada por Kanazawa y Gordon (ecuación (2)), que representa los efectos de las propiedades físicas del líquido en contacto con el cristal.
La ecuación (3) muestra el efecto aditivo de la densidad superficial de masa y de las propiedades del líquido en la respuesta en frecuencia del sensor, al mismo tiempo que demuestra que al medir únicamente la frecuencia de resonancia resulta imposible discriminar el aporte de la masa y del líquido en la respuesta del sensor. De esta manera, se hace necesaria la medida de un parámetro adicional que esté relacionado con las propiedades del líquido.
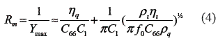
La resistencia dinámica del cristal está relacionada con la densidad y viscosidad del líquido [10], como lo muestra la siguiente ecuación [9]:

Dónde: Rm: Resistencia dinámica del cristal; Ymax: Conductancia del cristal; ηq: viscosidad efectiva del cuarzo; C1: condensador de la rama dinámica del cristal; ρq: Densidad del cristal de cuarzo.
Por lo tanto, es importante garantizar durante todo el experimento que las características del líquido se mantienen constantes para conseguir que los cambios en la frecuencia de resonancia (Δf), se deban exclusivamente a las interacciones con cambio de masa ocurridas sobre el cristal.
La monitorización del comportamiento de la resistencia dinámica es necesaria, para verificar que se cumple que:

Un sistema electrónico que permita la caracterización de una microbalanza de cuarzo deberá medir por lo menos dos variables: la frecuencia de resonancia y la resistencia dinámica del cristal.
Los sistemas que en la actualidad caracterizan la QCM se pueden clasificar de acuerdo a la técnica y al método de caracterización empleado, en [12]:
• Analizador de impedancia o de redes.
• Método de la respuesta al impulso y desvanecimiento.
• Osciladores.
• Sistemas de interfaz para QCM basado en técnicas de enganche
Técnicas de PLL con compensación de la capacidad paralela.
Técnicas de enganche a la frecuencia de máxima conductancia.
Interfaz para aplicaciones de fast–QCM.
• Sistema de caracterización fase–masa [13].
De los sistemas mencionados anteriormente para la caracterización de la QCM, los osciladores llaman especialmente la atención gracias a su alta capacidad de integración, la sencillez del circuito, bajo costo, capacidad de monitorización constante de la frecuencia, posibilidad de trabajar con cristales de alta frecuencia (HFF–QCM) [14] y, eventualmente, pueden ser usados como interfaz para múltiples sensores.
Métodos
Sistema de caracterización propuesto
El sistema de caracterización propuesto se muestra en la figura 2. Como amplificadores se han usado transistores diamante o amplificadores de transconductancia OTA (OPA860), que forman dos ramas, en una de las cuales se encuentra el cristal (Zx) y en la otra rama un condensador (Cv) que debe ser del mismo valor que la capacidad paralela del cristal (C0). Las dos ramas forman un sistema diferencial gracias al circuito integrado AD835 (multiplicador analógico de tensión), que al mismo tiempo permite variar la ganancia del lazo. El control automático de ganancia (AGC) formado por el multiplicador, el filtro pasa bajos y el amplificador integrador, permiten controlar adecuadamente la amplitud de la señal, manteniendo con esto la oscilación en un amplio rango de cargas.
El sistema está basado en el oscilador en configuración diferencial equilibrado presentado por Benes et al [15, 16]. Este tipo de oscilador ofrece como ventaja la compensación de la capacidad paralela, a través de un sistema diferencial, lo cual le confiere una característica especial. Además, el cristal de cuarzo tiene uno de los electrodos conectado directamente a tierra, lo que representa una ventaja en aplicaciones electroquímicas o biológicas y permite un mejor control de los efectos parásitos [17].
El principio de funcionamiento, se basa en la existencia de dos ramas idealmente iguales formando un sistema diferencial que permite la compensación de la capacidad paralela del cristal. El control automático de ganancia (AGC) fija la ganancia del lazo y además proporciona información sobre la resistencia dinámica del cristal.
Los transistores BJT del sistema propuesto por Benes et al [15, 16] han sido remplazados por amplificadores de transconductancia o transistores diamante OTA1 y OTA 2 (OPA86O) para disminuir las no idealidades de los transistores.
El circuito integrado AD835 permite configurar las dos ramas en modo diferencial, al mismo tiempo que permite usarse como amplificador de ganancia variable para el control automático de ganancia (AGC).
Las entradas diferenciales del AD835 permiten, idealmente, realizar la compensación de la capacidad paralela.
El principio de funcionamiento del sistema propuesto se describe de la siguiente manera:
La adecuada selección de la amplitud de la señal de salida del colector del OTA1 y del valor de Rc permite controlar un amplio rango de cargas.
El circuito paralelo CC – LC funciona como un filtro cuya frecuencia central está cercana a la frecuencia de resonancia del cristal.
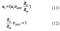
La tensión en la base de los OTA1 (ui) es transferida al emisor:

ix: Corriente que atraviesa el cristal; ui: Tensión en la base de la OTA1; Yx: Admitancia del cristal.
Suponiendo que el resonador está oscilando a su frecuencia de resonancia y que el filtro LC está de igual manera en su frecuencia de resonancia (impedancia infinita, f0=1/(2π(LC)1/2)), La señal en el colector del OTA1 (u1), se podría definir como:

RC: Resistencia en el colector, C0: Capacidad paralela del cristal, Rm: Resistencia dinámica del cristal.
De manera análoga, la señal en el colector de la OTA2 estará dada por:

Si las señales u1 y u2 son aplicadas a la entrada diferencial del multiplicador AD835 y suponiendo que la capacidad paralela está perfectamente compensada (C0= Cv), se obtiene:

Al multiplicar la señal de la ecuación (9) por la señal de control del AGC:

La salida del multiplicador es realimentada a la base de las OTA's

La ecuación (12), proporciona la condición de ganancia del lazo para oscilación a la frecuencia de resonancia serie dinámica del resonador, bajo condición de compensación perfecta de la capacidad paralela C0; de lo contrario la ecuación (12) se puede escribir de una forma más general (teniendo en cuenta la impedancia del resonador).

Dónde: Zm: Impedancia de la rama dinámica del sensor. ZCr: impedancia de la capacitancia paralela residual que no ha sido compensada. (Cr = C0 – Cv; ZCr = l/jωCr).
La ecuación (14) presenta una ecuación de ganancia de lazo y de ganancia de fase más general. Sin embargo, sigue asumiendo que las características de los componentes del circuito son ideales, en especial las características de ganancia y fase de los OTA’s, así como de los amplificadores del multiplicador, y asume también que el circuito paralelo que actúa de filtro no produce ningún desfase a la frecuencia de oscilación. Una imagen del sistema de caracterización implementado es mostrada en la figura 3.
Materiales e instrumentos
Se emplearon cristales de cuarzo en corte AT de 10 MHz de frecuencia fundamental, de 13,7 mm de diámetro del cristal y 5,11 mm de diámetro del electrodo de Cr/Au (100Å de Cr y 1000 Å de Au). Además, se usó una celda de flujo de 30µl de volumen, que se muestra en la figura 4. Otros instrumentos utilizados son: Analizador de impedancias HP4291A, frecuencímetro HP53181A, multímetro HP34401A y el sistema de adquisición de datos AWSense IP/AQ–1 desarrollado por la empresa AWSensors
Inmunosensor
Se desarrolló un inmunosensor piezoeléctrico para la detección del plaguicida Carbaryl, como aplicación real, con el fin de validar el sistema de caracterización desarrollado; siguiendo el protocolo descrito por March et al [3].
Sobre la superficie del electrodo de oro del cristal de cuarzo se inmovilizó el conjugado de hapteno para Carbaryl BSA–CNH [18] mediante una monocapa autoensamblada (SAM). Posteriormente el cristal es puesto dentro de la celda de flujo (figura 4) e incorporada al sistema de flujo [1], formado por dos válvulas manuales Rheodyne (5020 y 5011, Supelco) que permiten seleccionar entre el buffer de trabajo (PBST), la solución de regeneración (HCl) y la inyección de la muestra. El sistema de flujo está gobernado por una bomba peristáltica (minipuls 3, Gilson). El circuito de caracterización, el sistema de flujo, la celda con el cristal y las soluciones de trabajo se ponen bajo condición de temperatura controlada, todos los experimentos se realizaron a una temperatura de 25°C ± 0,1°C. El montaje experimental se muestra en la figura 5.
Caracterización de los polvos cerámicos
La detección del insecticida se realizó mediante ensayos competitivos analito–anticuerpo– conjugado de hapteno.
Para la realización de los ensayos, se prepararon patrones del analito–Carbaryl mediante soluciones seriadas en PBS (del inglés Phosphate Buffered Saline – Solución tampón de 10 mM de fosfato, pH 7,45), a partir de una concentración stock inicial de 1mM en dimethylformamide almacenada en viales a –20 °C.
Una cantidad fija del anticuerpo monoclonal LIB– CNH45 [18] a una concentración de 15,6 µg/ml se mezcló con cada una de las soluciones patrón del analito y se dejaron incubar durante 1 hora a temperatura ambiente.
La mezcla anticuerpo + analito se pasó sobre la superficie sensible del cristal. La frecuencia de oscilación y la resistencia dinámica del cristal se monitorizaron en tiempo real mientras ocurrió el enlace entre el conjugado de hapteno inmovilizado y el anticuerpo libre (que no se unió al analito) de la mezcla. Como el analito inhibe el enlace conjugado de hapteno inmovilizado - anticuerpo, entonces una mayor concentración del analito se verá reflejada en una menor reducción de la frecuencia de oscilación del cristal.
La capa sensible del cristal se regenera al hacer pasar una solución de HCl al 0,1M, que rompe los enlaces conjugado de hapteno–anticuerpo.
Los siguientes pasos describen el protocolo de ensayo:
a. Se pasa un flujo de PBST (solución de PBS que contiene 0,005% de Tween 20), durante 1,5 minutos a una velocidad de flujo de 30 µl/min, para estabilizar la línea base.
b. Se inyecta 250 µl de muestra (mezcla anticuerpo + analito), a una velocidad de flujo de 30 µl/min y se deja pasar durante 12 minutos.
c. Se regenera la zona sensible del cristal con HCl al 0,1M durante 4 minutos a una velocidad de flujo de 280 µl/min y posteriormente PBST a una velocidad de 280 µl/min durante 2,5 minutos.
El ciclo completo de ensayo incluyendo regeneración, es de 20 minutos.
Al finalizar el último ensayo, el cristal se lava con agua bidestilada, se seca al aire y se guarda a 4°C.
Resultados y discusión
La figura 6 muestra la respuesta del inmunosensor piezoeléctrico para la detección del insecticida Carbaryl al inyectar 250 µl del anticuerpo LIB– CNH45 a una concentración de 15,625 µg/ml, con una velocidad de flujo de 30 ^l/min. Además la figura 6 muestra cada uno de los ciclos de medida que se dividen en:
a. Línea Base: Señal inicial, estable, que sirve de referencia. Duración aproximada de 1,5 min. Durante este tiempo, está fluyendo PBST sobre el cristal a una velocidad de 30 µl/min.
b. Inyección: Se inyecta la muestra (mezcla anticuerpo + analito) a una velocidad de flujo de 30 µl/min. Durante los dos primeros minutos aproximadamente, llega la muestra al cristal y luego durante 10 minutos se registra la inmunoreacción, que se traduce en una disminución de la frecuencia.
c. Regeneración: Dividida en dos etapas: la primera mientras se hace circular solución de HCl al 0,1 M, a una velocidad de 280 µl/min durante 4 minutos, para romper los enlaces conjugado de hapteno–anticuerpo y la segunda al hacer fluir PBST a una velocidad de 280 µl/min durante 2,5 minutos.
Los tiempos de línea base y regeneración, son los tiempos necesarios para que se estabilice la señal. Lo cual garantiza que se ha cambiado completamente el líquido anterior. Estos tiempos han sido medidos de manera experimental.
La figura 7 muestra la señal que se obtuvo en el ensayo competitivo para la detección del insecticida Carbaryl a distintas concentraciones. La variación de la frecuencia es inversamente proporcional a la concentración del plaguicida. La figura 7 es solo una parte de los ensayos realizados. En este caso se representan las señales obtenidas al inyectar anticuerpo monoclonal (MAb, del inglés Monoclonal Antibody) únicamente y la mezcla de anticuerpo(MAb)+ analito a 10 µg/l, 20 µg/l, 100 µg/l y 500 µg/l, respectivamente. El término MAb que aparece en la figura 7 hace referencia al anticuerpo monoclonal.
Como se observa en la figura 7, el comportamiento constante de la resistencia dinámica del cristal (Rm) (trazo superior de la figura 7), indica que el resonador está trabajando en modo microgravimetrico; por tanto los cambios de frecuencia se deben a variaciones de la masa depositada sobre la superficie del cristal, como efecto de la unión conjugado de hapteno – anticuerpo.
Los resultados obtenidos coinciden con los del que los usados en este trabajo. Pero en el caso de trabajo de March et al [3], que ha utilizado el March se empleó el Maxtek–RQCM [19], como mismo protocolo, tipo de ensayo y reactivos, instrumento de caracterización. Estos resultados validan al oscilador propuesto como método de caracterización para aplicaciones de microbalanza de cristal de cuarzo.
Conclusiones
En este trabajo se propuso una mejora al oscilador en configuración diferencial equilibrado que permite su empleo en el desarrollo de aplicaciones de microbalanza de cristal de cuarzo. El sistema de caracterización propuesto ha sido validado como interfaz para la detección del plaguicida Carbaryl arrojando resultados similares a los sistemas de caracterización comerciales, por lo que se concluye que puede ser empleado en aplicaciones con biosensores piezoeléctricos.
Referencias
1. A. Montoya, A. Ocampo, C. March. ''Fundamentals of piezoelectric immunosensors'' A. Arnau (editor). Piezoelectric transducers and applications. 2nd ed. Ed. Springer. Berlín (Alemania). 2009. pp. 289–306. [ Links ]
2. V. G. Rumayor, E. García Iglesias, O. Ruiz Galán, L. Gago Cabezas. Informe de vigilancia tecnológica: aplicaciones de biosensores en la industria agroalimentaria. Ed. Elecé industria gráfica. Madrid (España). 2005. pp.14–18. [ Links ]
3. C. March, J. J. Manclús, Y. Jiménez, A. Arnau, A. Montoya. ''A piezoelectric immunosensor for the determination of pesticide residues and metabolites in fruit juices.'' Talanta. Vol. 78. 2009. pp. 827–833. [ Links ]
4. J. C. Vidal, P. Duato, L. Bonel, J. R. Castillo. ''Use of polyclonal antibodies to ochratoxin A with a quartz–crystal microbalance for developing real–time mycotoxin piezoelectri immunosensors'' Anal Bioanal chem. Vol. 394. 2009. pp. 575–582. [ Links ]
5. I. Navrátilová, P. Skládal, V. Viklicky. ''Development of piezoelectric immunosensors for measurement of almuninuria.'' Talanta. Vol. 55. 2001. pp. 831–839. [ Links ]
6. G. Sauerbrey. ''Verwendung von schwingquarzen zur wagung dünner schichten und zur mikrowagung'' Z. Phys. Vol. 79. 1959. pp. 206–222. [ Links ]
7. R. Lucklum, D. Soares, K. Kanazawa. ''Models for resonant Sensors''. A. Arnau (editor). Piezoelectric transducers and applications. 2nd ed. Ed. Springer. Berlín (Alemania). 2009. pp. 63–96. [ Links ]
8. K. K. Kanazawa, J. G. Gordon. ''The oscillation frequency of a quartz resonator in contact with a liquid''. Anal. Chem. Vol. 57. 1985. pp. 1770–1771. [ Links ]
9. S. J. Martin, V. E. Granstaff, G. C. Frie. ''Characterization of a quartz crystal microbalance with simultaneous mass and liquid loading''. Anal. Chem. Vol. 63. 1991. pp. 2272–2281. [ Links ]
10. R. Lucklum, P. Hauptmann. ''The quartz crystal microbalance: mass sensitivity, viscoelasticity and acoustic amplification''. Sensors and ActuatorsB. Vol. 70. 2000. pp. 30–36. [ Links ]
11. A. Arnau, D. Soares. ''Fundamentals of piezoelectricity''. A. Arnau (editor). Piezoelectric transducers and applications. 2nd ed. Ed. Springer. Berlín (Alemania). 2009. pp. 1–38. [ Links ]
12. A. Arnau, V. Ferrari, D. Soares, H. Perrot. ''Interface electronic systems for AT–Cut QCM sensors: A comprehensive review''. A. Arnau (editor). Piezoelectric transducers and applications. 2nd ed. Ed. Springer. Berlín (Alemania). 2009. pp. 117–186. [ Links ]
13. Y. Montagut, J. García, J. Jiménez, C. March, A. Montoya, A. Arnau. ''Validation of a Phase–Mass characterization concept and interface for acoustic biosensors''. Sensors. Vol. 11. 2011. pp. 4702–4720. [ Links ]
14. E. A. Bustabad, G. García, L. Rodriguez Pardo, J. Fariña, H. Perrot, C. Gabrielli, B. Bucur, M. Lazerges, D. Rose, C. Compere, A. Arnau. ''A biosensor for detection of DNA squences based on a 50MHz QCM electronic oscillator circuit''. Sensors. 25–28. Octubre. 2009. pp. 687–690. [ Links ]
15. E. Benes, M. Groschl, W. Burger, M. Schmid. ''Sensors based on piezoelectric resonators''. Sensors and Actuators. A. Vol. 48. 1995. pp. 1–21. [ Links ]
16. E. Benes, M. Schmid, M. Groschl, P. Berlinger, H. Nowotny, K.C. Harms. Solving the cable problem between crystal sensor and electronics by use of a balanced bridge oscillator circuit. Frequency and time forum, 1999 and the IEEE international Frequency Control Symposium, 1999. Proceedings of the 1999 meeting of the European. 2. Besançon (Francia). 1316. Abril. 1999. pp. 1023–1026 [ Links ]
17. C. Barnes ''Some new concepts on factors influencing the operational frequency of liquid–inmersed quartz microbalances''. Sensors and Actuators A – Physical. Vol. 30. 1992. pp. 197–202. [ Links ]
18. A. Abad, J. Primo, A. Montoya. ''Development of an enzyme–linked immunosorbent assay to Carbaryl. 1. Antibody production from several haptens and characterization in different immunoassay format''. Journal of agricultural and food chemistry. Vol. 45. 1997. pp. 1486–1494. [ Links ]




















