Services on Demand
Journal
Article
Indicators
-
Cited by SciELO -
Access statistics
Related links
-
Cited by Google -
Similars in
SciELO -
Similars in Google
Share
Revista Facultad de Ingeniería Universidad de Antioquia
Print version ISSN 0120-6230
Rev.fac.ing.univ. Antioquia no.64 Medellín July/Sept. 2012
ARTÍCULO ORIGINAL
Classic, fuzzy and predictive dtc strategies for the PMSM using the bacterial foraging algorithmas an online parameter estimator
Estrategias de control directo de par clásico, difuso y predictivo para máquinas sincrónicas de imán permanente utilizando el algoritmo de forraje bacterial como estimador paramétrico en línea
Gabriel Noriega, José Restrepo, Alexander Bueno*, José M. Aller, María I. Giménez, Víctor Guzmán
Universidad Simón Bolívar. Grupo de Sistemas Industriales de Electrónica de Potencia. Caracas 1080A. Venezuela
*Autor de correspondencia: teléfono: + 58 + 212 + 906 3736, fax: + 58 + 212 + 906 3419, correo electrónico: bueno@usb.ve. (A. Bueno)
(Recibido el 28 de enero de 2011. Aceptado el 10 de septiembre de 2012)
Abstract
This work presents a comparison between four control techniques applied to drive a PMSM: Classic DTC, Modified DTC with a Fuzzy Inference System, Predictive DTC and Predictive DTC with Fuzzy Inference System. Parameters estimation for the predictive strategies is performed using a population-based search algorithm (Bacterial Foraging), which is able to calculate on line the PMSM parameters. The electric torque and stator flux linkages experimental results show that the predictive strategies that use the machine parameters estimated by the Bacterial Foraging Algorithm present a significant improvement when compared with non predictive techniques.
Keywords: PMSM, DTC, bacterial foraging, fuzzy inference system, parameter estimation, predictive control
Resumen
Este trabajo presenta una comparación entre cuatro técnicas de control directo de par (DTC) aplicadas al accionamiento de la máquina sincrónica de imán permanente: Clásico, Modificado con un sistema de inferencia difusa, Predictivo y Predictivo con inferencia difusa. La estimación de parámetros para las estrategias predictivas es realizado utilizando un algoritmo de búsqueda poblacional basado en Forraje Bacterial, el cuál es capaz de calcular en línea los parámetros de la máquina sincrónica de imán permanente. Los resultados experimentales del par eléctrico y de los enlaces de flujo del estator muestran mejoras significativas para las estrategias predictivas que utilizan algoritmos de estimación paramétrica mediante Forraje Bacterial cuando se comparan con técnicas no predictivas.
Palabras clave: Máquina sincrónica de imán permanente, control directo de par, forraje bacterial, sistema de inferencia difusa, estimación paramétrica, control predictivo
Introduction
During the last decade, Permanent Magnet Synchronous Machines (PMSMs) have been extensively used in industry, replacing DC motors and AC induction motors in many applications. The outstanding PMSM characteristics are their high efficiency and reliability, power density, simple structure and low maintenance cost. Due to these advantages, PMSM sare ideal for applications where fast and accurate torque control is required.
For AC machines, several methods based on indirect control of the electromechanic torque have been developed, using space vectors and field oriented transformations [1]. Using these techniques it is possible to achieve fast dynamical response, similar to that obtained with DC machine control systems. The most important limitation when field oriented transformations are used resides in the transformation dependence upon machine model parameters, required by the flux linkages estimation, which makes necessary the application of on line direct or indirect parameter estimation procedures that usually increase the system complexity and cost.
The Direct Torque Control (DTC) strategy applied to AC motors [2, 3] reduces significantly the parameter dependence upon the speed regulation techniques, improving the system dynamics. The DTC compares the flux linkages and electric torque variables with their respective references within two hysteresis bands, and uses the corresponding outputs to select, from a space vectors table, the best switching state for the inverter system that reduces the flux and torque errors. The three-phase inverter bridge has 23 = 8 possible commutation states, two of which produce a zero amplitude voltage space vector. In its original version, the DTC keeps constant the selected space vector during the corresponding control interval. Selecting the voltage vector with this technique produces a bang-bang behavior, which results in high torque and current ripples. To reduce this ripple and improve machine operation, several Pulse Width Modulation (PWM) techniques have been proposed, that are able to synthesize in an averaged sense new space vectors from the basic eight vectors generated by the three phase inverter [4].
To improve the DTC strategy applied to a PMSM system, predictive control algorithms are proposed. For these, it is necessary to know the actual PMSM model's machine parameters in real time. To achieve this, a parameter estimator is proposed, based on the Bacterial Foraging algorithm [5-8], which is a recently developed method for solution finding and optimization purposes.
The experimental results shown in this paper demonstrate that it is possible to estimate in real time the PMSM parameters while the machine is being controlled using different control techniques: Classic DTC [3], Modified DTC with Fuzzy Inference System (FIS) [9], Predictive DTC [10] and Predictive DTC with FIS.
Permanent magnet synchronous machine model
Figure 1 shows the PMSM basic scheme with the main machine variables in a, b, c (figure 1a), and d, q (figure 1b) coordinates [11].
The variables and parameters shown in figure 1 are:

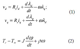
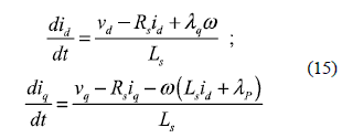
The dynamic model of the PMSM with non- salient poles, in d, q coordinates, is shown in equations [11, 12].

where

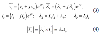
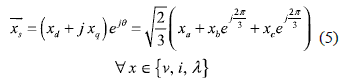
The transformation between a, b, c and space vector coordinates was performed using the following expression [13]

From equation, the PMSM model in space vector coordinates is:

Direct torque control
Direct torque control principles
The DTC is based on [14] calculation of machine's electric torque and stator flux linkage vector from the electric stator variables (voltages and currents). From equation the stator flux linkage vector is:

Replacing in , the electric machine torque is

Equation shows that the flux linkage vector is a direct function of the stator voltage, and equation presents the relationship between flux linkages and electric torque.
The DTC technique selects the appropriate space vector voltage that reduces the flux linkages and electric torque errors, producing the lowest number of inverter switching commutations [3, 13,15].
Figure 2 shows the classic DTC scheme, which is based on the direct computation of the instantaneous flux linkages and electric torque values using the measured voltages and currents at the machine terminals.
Modified DTC scheme with a FIS
In order to reduce the flux linkages and electric torque ripples and to improve the dynamic response, fuzzy techniques can be applied. As shown in figure 3, the voltage space vector is selected using the Classic DTC commutation table [3] and the voltage magnitude is modified using a three variable FIS [9], which includes electric torque Te, electric torque error eTe and stator currents (ia, ib) [14]. The corresponding membership functions are presented in figure 4.
The FIS rules are presented in table 1. In this table, ''Z'' means ''Zero'', ''S'' is ''Small'', ''M'' is ''Medium'' and ''B'' is ''Big''. These rules were heuristically determined and were tested and adjusted with simulations [14].
Predictive DTC
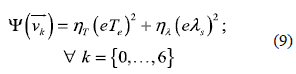
By using a predictive strategy combined with the DTC technique it is possible to calculate the electric torque behavior for a given time. In this way is possible to obtain an optimum control sequence, keeping a constant commutation frequency while having predictable and reduced flux linkages and electric torque ripples. This strategy requires a cost function which in this case is defined by the following equation:

Where Ψ(
) represents the cost function for the k-number voltage space vector, while ηT and ηλ are constants that give more or less weight to the electric torque and flux linkages errors respectively, depending on the operation requirements and the machine characteristics. In order to evaluate the cost function, the machine parameters must be known or estimated.
Figure 5 shows the Predictive DTC scheme. The PMSM model receives the stator voltages and currents as inputs. Then the seven possible electric torque values Tek and flux linkages values λsk for each of the seven possible voltage space vectors in the following VSI operation step are determined. Next, the corresponding flux linkages and electric torque errors are calculated and the cost function values for each of the seven vectors in the PMSM model are obtained. Finally, the voltage space vector that produces the minimum cost function value is selected and applied to the electric machine.
Predictive DTC with a FIS
Both Classic and Predictive DTC strategies are limited because the choices are restricted to only seven space voltage vectors. This limitation can be overcome using Space Vector Modulation (SVM) [4]. This is similar to use an infinite number of voltage space vectors.
In this control strategy, the voltage space vector magnitudes are modified before they are applied to the PMSM model, using the previously determined fuzzy logic rules. Then the flux linkages, electric torque values and their respective errors are calculated for each of the seven modulated voltage space vectors, the corresponding cost functions are evaluated and finally the optimizing algorithm selects the most appropriate voltage space vector, corresponding to the smallest cost function defined in equation.
Bacterial foraging algorithm
Bacterial foraging principles
The Bacterial Foraging, as an optimum solution search technique, proposed in 2001 by Kevin Passino [5], mimics the natural selection process in which Escherichia Coli bacteria seek food and exchange information about their environment [6]. The bacteria movements are affected by the chemical composition of the surrounding environment (chemotaxis), and it will move to search for nutrients and to avoid damaging chemical concentrations.
This behavior can be represented in an algorithm as a kind of group intelligence [6]. The bacterial foraging algorithm mimics the Escherichia Coli behavior in order to search the complete space solution until a global maximum (or minimum) is reached.
In the algorithm, a number S of search elements (bacteria) move in a search space defined by the parameters to be identified. Each bacterium represents a search element looking for the best possible solution to the problem. Initially the bacteria are randomly distributed in the search space, each bacterium position in the p-dimensions space representing a possible solution to the problem, where p is the number of unknown variables. Once the colony is set, the bacteria ''forage'', that is, each bacterium changes its position, Θ, and evaluates its environment seeking the gradient line in which the cost function is reduced from its initial value. Search speed is a direct function of the step size C(i), assigned to each bacterium by the programmer. Long steps produce fast searches, but search accuracy is inversely proportional to the step size.
After a preset number of foraging events, bacterial efficiency is evaluated. Those bacteria that are unable to find a gradient line reducing the cost function are moved, with the same characteristics, to the locations where present bacteria have found a better solution. This is called a reproductive event, and Nc is used to represent the number of search steps that precede each reproductive event. If few search steps pass before a reproductive event is produced, the bacteria will be quickly moved to new positions where better cost functions have been obtained by other bacteria. But if the number of search steps in each reproductive event is too small, the bacteria will not have enough time to find better cost functions in their actual position.
It is possible that control conditions change gradually or suddenly due to an external influence, that is, when some important variable values change, modifying the cost function. Therefore new minimum cost function values can appear, or previously minimum cost function values can disappear. On the other hand, if the search space remains constant, eventually all bacteria will converge at optimal feeding points, but it is possible that the bacteria lock into a local instead of a global minimum. To handle these events, the algorithm, with a probability Ped moves some bacteria after a number of reproductive events (generations). This is called an elimination and dispersion event, and the number of reproductive events preceding each elimination and dispersion event is Nre . Finally Ned , is the number of elimination and dispersion events considered in one program run [6].
Summing up, the optimization function objective is to minimize the cost function Ψ(Θ), Θ
Rp, where Θ is the bacteria position, and Ψ(Θ) is the cost function in this position. The function defined as:

Represents the position of each of the S bacteria colony members in the j-number chemotactit step of the k-number generation of the 1-number elimination and dispersion event. Said that, Ψ( i, j, k, l) represents the cost function for the i-number bacterium in the Θi(j, k, l)
Rpposition.
Search and tracking efficiencies are affected by the quality of the cost function Ψ used, and by internal parameters in the foraging algorithm, such as step size, number of steps per cycle, population size and number of bacteria eliminated or created at the end of each cycle. These parameters must be optimized while working offline in such a way that the on line optimization is done using the best performing algorithm, that is, the one with the cost function and search parameters producing the best performance: faster convergence, lower error, more stable solution, better tracking to parameter change, or any required combination of these and other possible qualities.
PMSM on line parameter identification based on bacterial foraging
The Bacterial Foraging algorithm was applied to estimate the PMSM resistance (Rs) and inductance (Ls) stator values. The objective is to find out the unknown parameter matrix values
while the PMSM is being operated under any conditions, applying any control technique. These values will be used to adjust the actual machine model. The parameter estimation objective will be to minimize the cost function Ψ(Θi), where Θi= [Rsi Lsi] that will be referred to the error of one of the system outputs that can be measured:

In equation (11), e is the error, y is the real or measured system output, and y is the estimated system output, calculated using the machine model, which depends on the parameter matrix Θi.
The cost function Ψ(Θi) will be evaluated for each bacterium position, and must be referred to one of the following variables: the error, the quadratic error, the error integral or the quadratic error integral [7], depending on the specific requirements. Referring the cost function to the quadratic error, the following expression is obtained:

The Bacterial Foraging algorithm includes an additional term called ''bacterium health'', Ψhealth [5]. This term, used to make the last decision about which bacterium has the best position, that is, which bacterium contains the parameters matrix
best estimation, is given by:

As can be observed, the bacterium health is a time integral of each reproduction period. This assures the best estimation of the bacterium with the best cost function during each control cycle. The cost function Ψ(Θi) is also being multiplied by the time variable, in order to give more relevance to the cost function when some time has elapsed and less importance to this function when the bacterium is starting its search period. This assures that the bacterium has overcome the initial instabilities and has had enough time to make good and stable parameter estimation.
Finally, the parameter optimizer objective is to minimize the following function:

As the DTC technique works over a space vector model, shown in equation, the PMSM space vector model will be used to perform the parameter estimation.
The following expressions are the space vector equations for a PMSM model, derived from equations:

The known system output vector is referred to the stator currents vector, which is a known and directly measured (y) and estimated (
) variable from the system:

where the unknown parameters matrix is defined by the variables that have to be estimated:

The cost function for this case is defined by equation, and the bacterium health is defined by equation.
When complex parameter estimation algorithms, such as the one proposed in this paper, are mixed with highly dynamic control strategies having high sampling rate, hence short control cycles, it is necessary to distribute the parameter estimation algorithm between several machine control cycles. This is done to avoid any synchronism losses or increase in the control cycle, so the parameter estimation algorithm must operate during each control cycle spare time, after the control program had sent the corresponding orders for controlling the machine.
Figure 6 presents the flux diagram of the Bacterial Foraging algorithm. As the algorithm has several nested loops, it requires several control cycles to run the complete program, however the program starts performing estimations from the first loop, not being necessary to wait until the estimation algorithm ends.
Experimental results
The experimental work was performed using a test platform described in [16]. Table 2 shows the PMSM characteristics used in the experimental tests.
Parameter estimation
The initial experiment was set to test the designed parameters estimator algorithm while the PMSM is controlled by a classic DTC. The Bacterial Foraging algorithm must work interweaved with the DTC algorithm, without affecting the machine control operations. For this test, the electric torque reference was set at 2 Nm, and the stator flux reference at 1.3 Wb.
The upper trace in figure 7 shows the resistance and inductance estimation process using the Bacterial Foraging algorithm, starting from arbitrary initial values of 0 Ω and 60mH respectively and converging to the final estimated values of 7.125 Ω and 47.4 mH in less than 0.2s. The medium trace shows the measured and estimated speed (ωm, ωest) from start-up to steady state, and the bottom trace shows the speed error Δω and the position error Δθ obtained by integrating the speed error. The position error remains approximately constant showing that the speed error has a zero medium error and peak speed error is lower than 20 rad/s (less than 7% of the steady state speed).
Table 3 presents the estimated parameters final values, compared with the results obtained with off line traditional measurements. The percentage errors for the stator resistance Rs and the inductance Ls are, respectively, 0.04 % and 7.72 % considering that the off line measured values were the exact ones. The same estimation procedure was used for all control strategies.
Control strategies results
Figures 8a and 8b show respectively the electric torque and the stator flux linkages for the four control strategies: Classic DTC, Modified DTC with FIS, Predictive DTC and Predictive DTC with FIS.
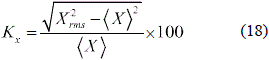
The electric torque results presented in figure 8a show that for the classic DTC algorithm as expected, there is a high electric torque ripple factor [17], almost 29 % of the average electric torque. For the modified DTC with FIS the electric torque ripple factor has been reduced from 29 % to less than 4.5 % but the initial delay time is 220 ms. In the predictive DTC the electric torque ripple factor is almost 12%, which is higher that the ripple factor produced by the FIS DTC technique, but the delay time is lower, 50 ms. Finally, the predictive FIS DTC presents the lowest electric torque ripple factor, less than 4 % and the delay time is about 90 ms.
The flux linkages results presented in figure 8b show that as expected, all the DTC strategies present flux linkages ripple factors lower than 1 %. The highest ripple factor (0.79 %) is presented by the classic DTC while the lowest (0.23 %) corresponds to the Predictive FIS DTC. The main difference is the delay time which is higher for the FIS schemes.
Table 4 shows the calculated ripple factors and delays for the four DTC strategies considered in this work. As can be observed, the use of predictive techniques enhance the performance of both the classic and FIS DTC strategies. The ripple factor defined by [17] is,

Conclusions
In this work, the Bacterial Foraging algorithm was experimentally tested, obtaining precise and stable results, which demonstrate that this algorithm is a reliable optimizer, that produces good on line parameters estimations.
Four DTC strategies for controlling a PMSM have been presented. The estimated machine parameters obtained with the Bacterial Foraging Algorithm were used in Predictive and Predictive with FIS DTC strategies. The Classic DTC performance was used as the reference. The ripple factor for the Classic DTC is the highest one and the delay is practically zero but this is achived at the cost of very high starting currents. The modified DTC with FIS reduces the electric torque ripple factor but increases the time delay. The Predictive DTC ripple factor lies in between the Classic and Modified with FIS DTC values, but the delay time is shorter than in the Modified with FIS. The Predictive DTC with FIS provides the best ripple factor performance of the control systems considered and its delay is lower than half of the Modified DTC with FIS delay.The execution time is similar for all the tested control strategies, because parameters estimation and model evaluation are performed in the spare time of each control cycle.
References
1. F. Blaschke. ''The principle of field orientation as applied to the new transvektor close-loop control system for rotating field machines''. Siemens Review. Vol. 34. 1972. pp. 217-220. [ Links ]
2. T. Naguchi, I. Takahashi. ''A new quick-response and high eficiency control strategy of an induction motor''. IEEE Trans. on Ind. Appl. Vol. 22. 1986. pp. 820-827. [ Links ]
3. L. Zhong, M. Rahman, W. Hu, K. Lim. ''Analysis of direct torque control in permanent magnet synchronous motor drives''. IEEE Transactions on Power Electronics. Vol. 12. 1997. pp. 528-536. [ Links ]
4. S. Chakrabarti, M. Ramamoorty, V. Kanetkar. ''Reduction of torque ripple in direct torque control of induction motor drives using space vector modulation based pulse width modulation''. Power Electronics and Drive Systems. Vol. 1. 1997. pp.117-121. [ Links ]
5. L. Yanfei, K. Passino. ''Biomimicry of Social Foraging Behavior for Distributed Optimization: Models, Principles, and Emergent Behaviors.'' Journal of Optimization Theory and Applications. Vol. 115. Dec. 2002. pp. 603-628 [ Links ]
6. K. Passino. ''Biomimicry of bacterial foraging for distributed optimization and control''. IEEE Control System Magazine. Vol. 22. 2002. pp. 52-67. [ Links ]
7. D. Kim, J. Cho. ''Disturbance rejection control of induction motor using bacteria foraging''. SCIS and ISIS. 2006. pp. 2277-2282. [ Links ]
8. G. Noriega, J. Restrepo, V. Guzmán, M. Giménez, J. Aller. On line parameter estimation of electric system using the bacterial foraging algorithm. EPE 13th European Conference on Power Electronics and Applications. 2009. pp. 1-7. [ Links ]
9. M. Ortega, J. Restrepo, J. Viola, M. Giménez, V. Guzmán. ''Direct torque control of induction machines with current limitation and ripple reduction using fuzzy logic''. Rev. Téc. Ing. Univ. Zulia. No. 31. 2008. pp. 190-198. [ Links ]
10. I. Sarasola, J. Poza, M. Rodriguez, G. Abad. Predictive direct torque control for brushless doubly fed machine with reduced torque ripple at constant switching frequency. IEEE International Symposium on Industrial Electronics. Vigo. España. 2007. pp. 1074–1079. [ Links ]
11. J. Aller. Máquinas Eléctricas Rotativas. ''La máquina Sincrónica''. Editorial Equinoccio. Caracas. Venezuela. 2008. pp. 343-399. [ Links ]
12. D. White, H. Woodson. Electromechanical Energy Conversion. ''Dynamics of Synchronous Machine''. 1st ed. Ed. The MIT Press. New York. 1959. pp. 508-544. [ Links ]
13. A. Trzynadlowsky. Control of Induction Motors. ''Direct torque and flux control''. Academic Press University of Nevada. Reno. 2000. pp. 137-157. [ Links ]
14. G. Noriega. Forraje bacterialpara identificación de parámetros en línea de una máquina sincrónica con DTC predictivo. Dissertation, Universidad Simón Bolívar. Venezuela. 2009. [ Links ]
15. B. Bose. Modern Power Electronics and AC Drives. ''Control and Estimation of Synchronous Motor Drives''. Prentice-Hall. United States of America. 2002. pp. 439-533 [ Links ]
16. M. Giménez, V. Guzmán, J. Restrepo, J. Aller, A. Bueno, J. Viola, A. Millán, A. Cabello. ''Plataforma: Development of an integrated dynamic test system for power electronics systems performance analysis''. Revista de la Facultad de ingeniería — UCV. Vol. 23. 2008. pp. 1-13. [ Links ]
17. S. Dewan, A. Straughen. Power semiconductor circuits. ''Inverters''. Ed. John Wiley& Sons, Inc. United States of America. 1975. pp. 357-461. [ Links ]
























