Services on Demand
Journal
Article
Indicators
-
Cited by SciELO -
Access statistics
Related links
-
Cited by Google -
Similars in
SciELO -
Similars in Google
Share
Revista Facultad de Ingeniería Universidad de Antioquia
Print version ISSN 0120-6230
Rev.fac.ing.univ. Antioquia no.65 Medellín Oct./Dec. 2012
ARTÍCULO ORIGINAL
Prototipo de mano robótica antropométrica sub-actuada
Sub-actuated anthropometric robotic prototype hand
Mauricio Aarón Pérez Romero1, Alejandro Tonatiu Velázquez Sánchez1, Christopher René Torres San Miguel1,3*, Luis Martínez Sáez3, Pedro Francisco Huerta González2, Guillermo Manuel Urriolagoitia Calderón11
1Sección de Estudios de Posgrado e Investigación, Escuela Superior de Ingeniería Mecánica y Eléctrica, Instituto Politécnico Nacional. Av. IPN s/n Lindavista, C.P. 07738. Distrito Federal, México.
2Academia de Ingeniería Electrónica, Ingeniería en Control y Automatización, Escuela Superior de Ingeniería Mecánica y Eléctrica, Instituto Politécnico Nacional. Av. IPN s/n, Col. Lindavista, C.P. 07738. Distrito Federal, México.
3Instituto Universitario de Investigación del Automóvil, Escuela Técnica Superior de Ingenieros Industriales, Universidad Politécnica de Madrid. Carretera de Valencia, km.7, 28031. Madrid, España.
*Autor de correspondencia: teléfono: + 555 + 7 29 600, ext. 54815, correo electrónico: ctorress@ipn.mx (C. Torres)
(Recibido el 10 de julio de 2012. Aceptado el 23 de noviembre de 2012)
Resumen
Este trabajo describe la metodología utilizada para obtener el prototipo funcional de una mano robótica considerando características antropométricas, a partir del análisis y procesamiento de imágenes Tomográficas Computarizadas (TC), que aportan información para el desarrollo del estudio analítico de la síntesis de un mecanismo sub-actuado de cuatro barras, adecuado para la generación de trayectorias óptimas para efectuar la operación de sujeción de objetos en forma puntual, palmar, lateral, cilíndrica y esférica. En este sentido, la relevancia científica y tecnológica que se obtiene de este trabajo, se basa en la diversidad de movimientos que ejecuta el dispositivo además de su capacidad para adaptarse a diversos componentes auxiliares, mismos que realizan la función de unión con el muñón del miembro amputado, por lo que es posible que el sistema diseñado sea aplicable como prótesis. En este sentido, con esta propuesta se obtiene un prototipo funcional con características versátiles óptimas para la manipulación de objetos con diferentes geometrías que tomando en cuenta la funcionalidad del sistema, aportan también apariencia y simetría con el cuerpo humano.
Palabras clave: Antropometría, imágenes TC, manipulador robótico, prótesis
Abstract
This paper describes the methodology applied to obtain a functional prototype of a robotic hand considering anthropometric characteristics. An analysis by image processing is made from computerized tomographics (CT) to generate a model of the prototype which is then utilized for the development of the analytical study for the synthesis of a four bar sub-mechanism suitable to generate optimal trajectories to grasp objects in a manner such as puntual, palmar, lateral, cylindrical and spherical. In this sense, the scientific and technological relevance obtained from this work is based on the diversity of the device executed movements in addition to its ability to adapt different auxiliary components to perform some function with the amputated trunnion member, so that the system is designed to be applicable as a prosthesis. In this sense, this proposal aims to get a working prototype with versatile features to handle objects with different geometries considering the system functionality, appearance and symmetry for the human body.
Keywords: Anthropometry, CT scans, robotic manipulator, prosthetics
Introducción
Por décadas, el hombre ha tratado de sustituir alguna extremidad faltante de su cuerpo por otra que otorgue funcionalidad semejante. En este sentido, el desarrollo de dispositivos artificiales es un proceso profundo y complejo, donde los resultados obtenidos no son totalmente satisfactorios en comparación con el comportamiento natural del cuerpo [1]. Aunado a lo anterior, la mano posee funciones indispensables para el desarrollo de innumerables actividades consolidándose como un instrumento especializado de características versátiles y alta precisión al ejecutar movimientos.
Para el diseño e implementación de un sustituto funcional semejante al natural, se hace frente a varios problemas relacionados con diferentes áreas de la Ingeniería [2]. La extremidad superior es un sistema sin igual, con excelente desempeño físico y características especiales, que actualmente no existe forma de reproducirlas completamente [3]. El objetivo principal de un sustituto artificial es reincorporar al paciente a la vida cotidiana, recuperando funcionalidad, imagen y simetría del cuerpo.
Por otra parte, diversas técnicas se han utilizado para obtener dimensiones externas e internas de sistemas naturales, tal es el caso del análisis de radiografías, movimiento por vídeo, elementos sónicos y reconstrucciones tridimensionales a partir de tomografías [4]. Actualmente el modelado en 3 dimensiones se torna como un estudio indispensable en diversas etapas del análisis y diseño de sustitutos artificiales con aplicación médica de alta complejidad, ya que es una técnica que consiste en regenerar y posteriormente caracterizar un sistema real para estudiar su comportamiento sin necesidad de perturbar el sistema original [5]. La tomografía computarizada (TC), es una técnica que utiliza rayos X para obtener imágenes representativas de secciones anatómicas con fines diagnósticos [6]. Con estas mediciones los equipos de cómputo pueden reconstruir imágenes del interior del cuerpo [7]. En este sentido, es relevante mencionar que la capacidad de visualizar con mejor forma, mayor precisión y con menor invasión el interior de un ser vivo, se debe en su totalidad a la invención de la TC. Para generar un modelo en 3 dimensiones, se requiere que la información digitalizada de la TC esté dada en formato compatible para su procesamiento con algoritmos numéricos, tal es el caso de los archivos DICOM (Digital Imaging and Communication in Medicine), que posteriormente se pueden procesar para generar modelos primarios con un equipo de cómputo especializado, que a la postre son base fundamental para la construcción de un modelo en CAD [8].
Para el desarrollo de esta investigación, se estudió la evolución y estado actual de sustitutos robóticos de mano, realizándose una recopilación de los trabajos más destacados en las últimas décadas, además de la descripción anatómica, biomecánica y patológica; elementos relevantes para la comprensión de las funciones prensiles. Posterior, se utilizó un árbol de objetivos para clarificar los lineamientos a cumplir, el cual ofrece una estructura clara, útil y confiable al desarrollar el planteamiento del problema, además de ayudar a mejorar su percepción [9]. Este esquema muestra los objetivos principales y secundarios agrupados en niveles jerárquicos, trazando un diagrama que muestra las conexiones entre sí (figura 1).
De igual forma, se utilizó el acoplamiento de diversas herramientas para establecer funciones, especificar requisitos, alternativas y seleccionar un esquema general donde la función principal del sistema es la sujeción de objetos. Esta función se debe descomponer en múltiples funciones secundarias indispensables para cumplir el objetivo. Lo anterior se representa como un diagrama de bloques que muestra las interacciones entre las funciones secundarias y los límites que definen al diseño (figura 2).
Una vez seleccionado cada componente que brinde la solución a las funciones secundarias, se establece lo que sería una opción general del sistema. Ahora, se requiere encontrar una metodología adecuada que permita obtener dimensiones reales de una extremidad, tanto de los dedos como de los arcos que se forman en su interior, con la finalidad de calcular la síntesis del mecanismo y posteriormente adaptar las barras de transmisión a las falanges de un modelo tridimensional.
Para realizar el prototipo funcional se parte de obtener dimensiones internas y externas de la mano, sección en la cual se obtienen los parámetros iníciales para desarrollar un análisis cinemático óptimo y así obtener un mecanismo de 4 barras que satisfaga de forma funcional los movimientos que el prototipo debe ejecutar. Posteriormente se realiza el diseño de cada parte estructural del prototipo, tratándose de buscar un acoplamiento simple y compacto de los dispositivos y partes que intervienen en el diseño así como la relación existente entre ellos. Después se realiza la implementación del prototipo utilizando el método de estereolitografía para finalmente realizar pruebas iniciales en cuanto a la sujeción de objetos.
Metodología
Después de revisar la literatura correspondiente al tema en cuestión, se establecen las etapas siguientes para construir el prototipo:
• Obtención de dimensiones
• Procesamiento de imágenes
• Generación de modelos primarios
• Estudio cinemático
• Dibujo del modelo en CAD
• Obtención de dimensiones
En primera instancia se obtuvo la tomografía de la mano derecha (dominante) de un varón de 25 años de edad, 1.73 m de alturay 81 kg de peso, estudio realizado en un tomógrafo con 16 detectores que entregó como resultado 295 cortes de 1 mm de espesor (figura 3). Al generarse la tomografía, se crean los archivos DICOM (Digital Imaging and Communication in Medicine), los cuales son utilizados para el intercambio, almacenamiento, impresión y transmisión de imágenes médicas que condescienden en la interacción con estaciones de trabajo, impresoras y hardware de red, lo que permite guardar dicho estudio en formato DVD (Digital Versatile Disc) para su fácil manipulación. En este punto se pueden identificar algunas dimensiones en la plataforma del archivo, tal es el caso de las longitudes de metacarpos, falanges, y arcos.
Procesamiento de imágenes
Ya obtenidas las imágenes TC, se importaron los archivos al programa especializado ScanlP ®. Este paquete de cómputo posee características especiales para segmentar imágenes además de ser un apoyo en la visualización de regiones de interés en los datos volumétricos en 3 dimensiones. Al momento de la apertura de archivos DICOM, se generan en el programa de cómputo los planos sagital, coronal y axial (figura 4), donde posteriormente se eligió uno para procesar y delimitar las secciones de interés en las imágenes.
La plataforma utilizada en este punto del procesamiento de imágenes, permite ir seleccionando milímetro a milímetro en los planos sagital, coronal y axial, lo que admite una elección adecuada de las partes que conformarán los modelos primarios en 3 dimensiones.
Generación de modelos primarios
Ya con los archivos DICOM introducidos en ScanlP ®, se definió la parte ósea de la extremidad corte por corte. Lo anterior se realizó para generar un modelo óseo con la finalidad de obtener las distancias entre articulaciones cuando el modelo primario se exporte a CAD. Una vez generado el modelo es conveniente realizar un rectificado de la imagen tridimensional para homogeneizar la superficie, esto se realizó utilizando el comando render de la plataforma. Por otra parte, fue indispensable generar otra imagen en 3 dimensiones para el exterior de la extremidad, lo que permitió obtener dimensiones de la palma, eminencias y longitudes externas de los dedos. De igual forma se generó un modelo en conjunto de la parte ósea y exterior de la mano para identificar las distancias entre el sistema óseo y los extremos de la superficie (figura 5).
Los modelos primarios obtenidos hasta este punto, no permiten obtener dimensiones de las distancias deseadas de forma directa, sin embargo estas imágenes segmentadas acopladas pueden ser exportadas como archivos STL (STereoLithography) o IGES (Initial Graphics Exchange Specification), para el análisis mediante programas de CAD (SolidWorks ®). Por otra parte, estos archivos también pueden ser importados directamente a los programas comerciales para el análisis por el Método de Elemento Finito [10] y [11].
Después de exportar los modelos primarios, se determinaron las dimensiones faltantes, tal es el caso de longitudes de hueso, distancia entre articulaciones, dimensiones de los arcos y eminencias musculares de la palma etc. Por consiguiente las dimensiones obtenidas a raíz del procesamiento de imágenes, pueden estudiarse a detalle cómo se presenta en [12].
Estudio cinemático
Ya obtenidas las dimensiones entre las articulaciones, distancias entre el sistema óseo y el exterior de la mano, se resolvió la síntesis de un mecanismo partiendo del estudio de los mecanismos de 4 barras, determinando su longitud y posición de modo que cumplieran con la trayectoria adecuada, partiendo de la cinemática directa e inversa utilizando los parámetros de Denavit-Hartenberg (D-H). Con esto se obtuvo una relación entre posiciones y aceleraciones que actúan en los dedos, estudiando las condiciones bajo las cuales es posible manipular un objeto de forma estable [13]. El primer paso para realizar la síntesis, corresponde a la asignación de coordenadas en cada una de las articulaciones (figura 6).
Para describir la relación de traslación y rotación entre los elementos de una cadena cinemática, se obtuvo la representación D-H de un cuerpo rígido en función de cuatro parámetros geométricos asociados a cada elemento, los cuales describen la relación espacial entre sistemas de coordenadas, los resultados de esto que concuerdan con los obtenidos por [14], se muestran en la tabla 1.
Conforme a los parámetros anteriores, se obtuvieron las matrices de rotación independientes acorde a la asignación del sistema de coordenadas, y después de resolverlas se obtuvo la matriz de transformación homogénea 4x4, que describe la relación entre el sistema de coordenadas de cada eslabón con respecto al sistema de coordenadas previo, como lo indica la ecuación (1). Con esto se expresa la orientación y posición del extremo del manipulador (dedo robótico), en función de sus coordenadas articulares, con lo que se resuelve el problema cinemática directo.

El problema cinemático inverso se resolvió para obtener los valores que deben adoptar las coordenadas articulares del manipulador para que su extremo se oriente y posicione de acuerdo a una localización determinada. Posterior a la obtención de la cinemática inversa del sistema, fue necesario simplificar el problema estimado del mecanismo propuesto estableciendo 2 eslabones o barras de transmisión específicas (figura 7)
Se entiende que este mecanismo se conforma por 2 eslabones con diferentes puntos fijos y se pueden analizar de forma individual como un mecanismo de 4 barras (figura 8).
Para analizar los eslabones propuestos es necesario realizar un diagrama correspondiente que muestre de forma vectorial el comportamiento de los elementos y distancias requeridas (figura 9).
Asimismo, el diagrama vectorial debe descomponerse en dos mecanismos independientes, es decir, debe analizarse de forma individual cada uno de los eslabones internos del dedo, mediante un estudio basado en un mecanismo de cuatro barras que conforman el dedo [14]. Eslabón proximal figura 10A y eslabón distal figura 10B.
Ya que se requiere proporcionar una exactitud adicional, los ajustes que se deben hacer en los puntos de precisión para la aproximación siguiente [14], se realizan aplicando el método descrito por Freudenstein.
Para formular la ecuación de diseño de Freudenstein, la condición de cadena cinemática abierta se expresa como:

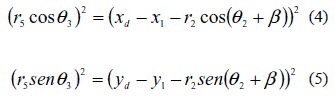
Despejando r5 de las expresiones (2) y (3), y elevando al cuadrado se tiene:

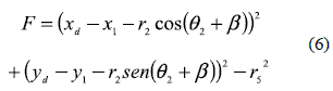
Sumando las expresiones (4) y (5) además de aplicar la identidad trigonométrica cos2θ + sen2θ = 1, se puede establecer la función que resuelve la ecuación cinemática de la cadena abierta conforme al siguiente procedimiento:

De forma similar, se realizó la deducción para obtener las ecuaciones de cadena cerrada. De acuerdo a la figura 8 se tiene:

Despejando r4 y elevando al cuadrado las ecuaciones (7) y (8) para posteriormente sumarlas, se obtiene la ecuación cinemática de cadena cerrada como sigue:

Una vez obtenidas las funciones de cadena abierta y cerrada respectivamente, se obtuvieron los valores correspondientes para formar un sistema de 22 ecuaciones con 5 incógnitas para cada caso, esto es un conjunto de ecuaciones simultaneas no lineales que contienen la información que el mecanismo debe satisfacer. Para resolver este conjunto de ecuaciones se usa el Método Numérico de Newton-Raphson. Con los datos obtenidos a partir de la cinemática, es posible determinar el espacio de trabajo y la trayectoria generada por los eslabones, mismos que se pueden comparar con los trabajos realizados por [14] y [15], estudios relevantes referentes a dimensión de mecanismos y dedos antropomorfos. En este sentido, el espacio de trabajo y la trayectoria de cada eslabón obtenidos en las investigaciones mencionadas, son similares a los generados en este trabajo. Por otra parte, existen pequeñas desviaciones debidas a la variación de la longitud de cada falange en los casos de estudio correspondientes.
Dibujo del modelo en CAD
Ya obtenida la síntesis del mecanismo, se realizó el dibujo de las piezas para construir un modelo de cada falange hasta completar una estructura final. El modelo en CAD fue realizado mediante una serie de cortes, extrusiones y revoluciones que se basan en figuras geométricas primarias (figura 11), las cuales permiten la adaptación de las barras de transmisión así como los elementos complementarios (motores, cableado, engranes etc.).
El modelo obtenido a raíz del procesamiento de imágenes TC, posee un elevado nivel antropométrico y antropomorfo, sin embargo existen geometrías que fueron dibujadas en base a figuras simples, lo anterior con el fin de que posteriormente se fabrique en cualquier centro de maquinado convencional sin necesitar herramientas especiales.
El archivo CAD fue guardado con formato STL, que permite realizar impresiones en 3 dimensiones mediante estereolitografía (figura 12). Estructura que permitió montarse en un brazo robótico para realizar pruebas básicas de sujeción de objetos.
Rangos de movimiento
El movimiento desarrollado por los dedos se midió desde el grado máximo de flexión hasta el grado máximo de extensión. La flexión de los dedos obtenida en las articulaciones MCF, forma un ángulo aproximado de hasta 97° desde el punto de referencia en la palma. Por otra parte, la extensión de los dedos es hasta 45° en dirección opuesta, es importante mencionar que está limitada por el actuador lineal y no por el modelo tridimensional.
Las articulaciones IFP no pueden desarrollar movimientos de extensión. Sin embargo, la flexión de los dedos, se puede dar hasta por 100° aproximadamente. La flexión de los dedos en las articulaciones IFD puede formar un ángulo aproximado de 90°. La extensión de los dedos es de máximo 10° aproximadamente en dirección opuesta. Por otro lado, en este modelo no puede desarrollarse la abducción y aducción de las articulaciones, además de que los movimientos del pulgar están restringidos por solo tener 2 grados de libertad. El movimiento de oposición del pulgar puede desarrollarse sin ningún problema, cumpliendo con los ángulos descritos en [16], La flexión y extensión de la articulación MCF en el pulgar, transcurre de forma transversal, y desarrolla un ángulo de movimiento aproximado de 50° con respecto al dedo índice. El rango de movilidad de la flexión en la articulación IF es aproximadamente de 90°, mientras que la extensión del dedo es de 20°. El rango de movimiento de las distintas articulaciones de la mano comprende valores aproximados en flexión y extensión, de ésta forma el rango de movimientos desarrollados por el modelo se detalla en la tabla 2.
El movimiento de las articulaciones IFP, IFD y MCF de los dedos, cumple con los movimientos primarios en un plano bidimensional, sin embargo no se desarrolla la aducción y abducción en ningún punto del sistema.
Sujeción de objetos
Dada la clasificación de movimientos para sujeción de objetos presentada en [17], se entiende que los principales tipos de sujeción son: puntual, lateral, palmar, gancho, cilíndrico y esférico. El agarre puntual es cuando se sujetan objetos de geometrías pequeñas y finas, utilizando regularmente las puntas del pulgar y el índice (figura 13A). El agarre lateral es utilizado para sostener objetos delgados y planos (como una llave), donde la sujeción del objeto se lleva a cabo generalmente con la parte palmar del pulgar y la parte lateral exterior del dedo índice (figura 13B). La sujeción palmar se utiliza para sostener objetos con geometrías de mayor longitud además de involucrar todos los dedos, también influye el contomo interno de la palma lo que provee de estabilidad y firmeza al sujetar un objeto (figura 13C). La sujeción de gancho se aplica para levantar, jalar o sujetar objetos donde se ven involucrados los 5 dedos de la extremidad (figura 13D). La sujeción cilindrica se emplea para efectuar un agarre prensil de objetos con geometrías continuas como barras, mientras que el esférico se emplea para sujetar objetos con una circunferencia definida (figura 13E).
El prototipo diseñado, es capaz de llevar acabo sin problemas las acciones de sujeción de objetos mencionadas en el párrafo anterior, sin embargo, hasta el momento no se ha determinado la magnitud de la fuerza con la que se sujetaron dichos objetos, debido a las propiedades mecánicas del material utilizado en la impresión tridimensional. Aunado a lo anterior, el prototipo también es capaz de realizar diferentes movimientos además de los antes mencionados, tal es el caso de saludar de mano, contar, flexión de las articulaciones distales, así como otro tipo de señales utilizadas en la vida cotidiana.
Discusiones
Es evidente que se puede lograr un elevado nivel antropométrico, sin embargo es necesario mantener un equilibrio entre la apariencia y la funcionalidad del sistema diseñado. En este contexto, el nivel de similitud que posee el prototipo con respecto al sistema natural puede ser afectado por los métodos de manufactura, es decir, que si bien existen métodos para fabricar piezas con elevada complejidad, estos tienden a aumentar costos de manera considerable.
Los avances en el procesamiento de imágenes, han sido posibles gracias a los avances tecnológicos y por supuesto a la generación de nuevos algoritmos para la reconstrucción total o parcial de imágenes. En este contexto, las imágenes TC son un método eficaz para diferentes aplicaciones y es una herramienta adecuada para aplicación a estudios biomecánicos y el diseño y manufactura de dispositivos que posteriormente deban ser analizados por MEF. De igual forma, está claro que el uso de estos paquetes de cómputo son un gran apoyo para generar sistemas con elevado nivel antropométrico y antropomorfo, donde una de las ventajas al aplicar este tipo de técnicas, es el hecho de que no se tienen que hacer estudios destructivos, lo cual hace posible utilizar los especímenes físicos para otro tipo de pruebas experimentales.
Conclusión
Se corroboró que los datos obtenidos de forma analítica a partir de la cinemática directa e inversa, fueron patrones determinantes en la síntesis del mecanismo, con lo que se obtuvieron parámetros adecuados para desarrollar un prototipo que ejecuta trayectorias de forma óptima. Lo anterior fue comprobado por estudios previos que definitivamente son un parámetro importante para determinar que el trabajo aquí descrito es fiable y satisface las necesidades del diseño.
Fue posible obtener formas dimensionales similares al sistema natural, sin embargo todavía es notable la diferencia en la forma del conjunto. Se requiere desarrollar más trabajo con objeto de refinar la forma de los distintos elementos para replicar la apariencia del sistema sin pérdida de capacidad funcional.
No obstante que, para la realización de este trabajo se requirió reducir el número de grados de libertad que tiene el sistema completo de la mano a solo 15, con los mecanismos propuestos para cada dedo, fue posible reproducir los movimientos de flexión, extensión e hiperextensión; se omitieron los movimientos de abducción y aducción de los dedos y muñeca. Asimismo, se puede afirmar que el prototipo obtenido tiene una capacidad de operación del 70% en comparación con la mano del ser humano. El porcentaje de pérdida puede afectar mayormente al manejo de objetos grandes, sin embargo al sistema desarrollado le es posible aplicar la sujeción de objetos en forma puntual, palmar, lateral, cilíndrica y esférica que se requieren para los agarres de precisión.
Acknowledgements
Este trabajo ha sido realizado parcialmente gracias al apoyo proporcionado por gobierno Mexicano mediante el Consejo Nacional de Ciencia y Tecnología (CONACYT), el Instituto de Ciencia y Tecnología del Distrito Federal (ICyTDF proyecto PIFUTP08-88) y el Instituto Politécnico Nacional (IPN).
Referencias
1. M. Pérez, A. Velázquez, G. Urriolagoitia, H. Hernández, G. Urriolagoitia, O. Juárez. Antecedentes históricos de las prótesis de extremidad superior. XV Convención Científica de Ingeniería y Arquitectura CUJAE. Cuba. 2010. pp. 1-5. [ Links ]
2. J. Dorador, P. Murillo, I. Luna, A. Juárez. ''Robótica y prótesis inteligentes''. Revista Digital Universitaria. Vol. 6. 2005. pp. 1-15. [ Links ]
3. M. Pérez, G. Urriolagoitia, L. Hernández, A. Velázquez, C. Torres San Miguel. ''Relevancia del estudio cinemático de una mano robótica multi- articulada aplicable como prótesis''. 5to Congreso Científico Tecnológico de la Carrera de Ingeniería Mecánica Eléctrica. México. 2010. pp. 1-5. [ Links ]
4. J. Pfaeffle, B. Blankenhorn, K. Stabile, J. Imbriglia, R. Goitz, D. Robertson. ''Development and validation of a computed tomography-based methodology to measure carpal kinematics''. Journal of Biomechanical Engineering. Vol. 127. 2005. pp. 541-548. [ Links ]
5. E. Ruíz, J. Beltrán, R. Rodríguez, L. Hernández, G. Urriolagoitia, G. Urriolagoitia. ''Técnicas de modelado en 3D aplicado a casos de vértebras porcinas por medio de un escáner 3D y tomografías''. XXV Congreso Nacional de Investigación Biomédica. Monterrey, México. 2009. pp. 1-10. [ Links ]
6. A. Álvarez, E. Arámbula y S. Caro. ''Tomografía computarizada con rayos-x y sistema de imágenes de agregados (AIMS) para el estudio de mezclas asfálticas y agregados''. Revista Ingeniería e Investigación. Vol. 28. 2008. pp. 142-151. [ Links ]
7. E. Bosch, ''Sir Godfrey Newbold Hounsfield y la tomografía computada, su contribución a la medicina moderna''. Revista Chilena de Radiología. Vol. 20, 2004. pp. 183-185. [ Links ]
8. A. Fuerte. Caracterización de vértebras porcinas para su uso en aplicaciones biomecánicas. Tesis de Maestría. SEPI ESIME IPN. México. 2010. pp. 127–34. [ Links ]
9. N. Cross. Métodos de diseño: Estrategias para el diseño de productos. Capítulo 2 Proceso de diseño y Capitulo 3 Método de diseño. Ed. Limusa Wiley. 1a Ed. Distrito Federal, México. 2008. pp. 29-174. [ Links ]
10. C. Müller, M. Cerrolaza. ''Un nuevo método para la simulación de la estructura ósea mediante la versión P de elementos finitos''. IMME. Vol. 39. 2001. pp. 23-54. [ Links ]
11. F. Buroni, P. Commisso, A. Cisilino. ''Determinación de las constantes elásticas anisótropas del tejido óseo utilizando tomografías computadas. Aplicación a la construcción de modelos de elementos finitos''. Mecánica Computacional. Vol. 13. 2004. pp. 1-34. [ Links ]
12. M. Pérez. Análisis cinemático e implementación de una mano robótica servo-articulada aplicable como prótesis. Tesis de Maestría. SEPI ESIME IPN. México. 2011. pp. 83-105. [ Links ]
13. K. Fu, R. González, K. Lee. Robótica: Control, Detección, Visión e Inteligencia. Capítulo 2 Cinemática del brazo robot. Ed. McGraw Hill. Madrid, España. 1990. pp.13-79. [ Links ]
14. A. Velázquez. Caracterización cinemática e implementación de una mano robótica multiarticulada. Tesis de Doctorado. SEPI ESIME IPN. México. 2008. pp. 33-67. [ Links ]
15. F. Lotti, P. Tiezzi, G. Vassura y A. Zucchell. Mechanical Structures for Robotic Hands based on the ''Compliant Mechanism'' Concept. 7° ESA Workshop on Advanced Space Technologies for Robotics and Automation. Holanda. 2002. pp 1-8. [ Links ]
16. M. Nordin, V. Frankel. Biomecánica básica del sistema musculoesquelético. Capítulo 2 Extremidad superior. 3° Ed. McGraw-HiMnteramericana. Madrid, España. 1974. pp. 370-399. [ Links ]
17. F. skinner. Design of a multiple prehension manipulator system. American Society of Mechanical Engineers, Design Engineering Technical Conference. N. Y., Estados Unidos. 1974. pp. 13. [ Links ]



























