Services on Demand
Journal
Article
Indicators
-
Cited by SciELO -
Access statistics
Related links
-
Cited by Google -
Similars in
SciELO -
Similars in Google
Share
Revista Facultad de Ingeniería Universidad de Antioquia
Print version ISSN 0120-6230
Rev.fac.ing.univ. Antioquia no.67 Medellín Apr./June 2013
ARTÍCULO ORIGINAL
Control de un prototipo virtual de una máquina de rehabilitación de tobillo
Control of a virtual prototype of an ankle rehabilitation machine
Andrés Blanco Ortega1*, René Fabián Vázquez Bautista2, Gerardo Vela- Váldes1, Enrique Quintero Marmol1, Guadalupe López López1
1Centro Nacional de Investigación y Desarrollo Tecnológico (CENIDET). Coordinación de Mecatrónica. Interior Internado Palmira s/n col. C. P. 62490. Cuernavaca, México.
2FIEC Universidad Veracruzana. Av. Venustiano Carranza s/n. Col. Revolución. C.P. 93390. Veracruz, México.
*Autor de correspondencia: teléfono: 52 + 777 + 3627770 ext. 115, fax: 52 + 777 + 3627795, correo electrónico: andres.blanco@cenidet.edu.mx (A. Blanco)
(Recibido el 28 de Febrero de 2012. Aceptado el 26 de abril de 2013)
Resumen
En este artículo se presenta un prototipo virtual de un rehabilitador de tobillo que proporciona los tres movimientos realizados en el tobillo. Se presenta el modelado matemático de uno y dos grados de libertad para la dinámica de los movimientos básicos, así como la combinación de dos movimientos. Se propone un control tipo PID para los movimientos desacoplados y un control de par calculado para movimientos combinados con seguimiento de trayectorias suaves planificadas, para ambos casos.
Se incluyen algunas simulaciones numéricas utilizando los modelos matemáticos y resultados de simulación con el prototipo virtual en el ambiente de ADAMS para mostrar la respuesta suave y controlada de los movimientos de rehabilitación. También, se presentan simulaciones para mostrar la robustez de los esquemas de control propuestos, cuando el rehabilitador está sujeto a una fuerza debido a la rigidez presente en la articulación del tobillo.
Palabras clave: Máquina de rehabilitación de tobillo, movimiento pasivo continuo, control de par calculado
Abstract
In this paper a virtual prototype for ankle rehabilitation which provides the whole range of ankle related foot movements is presented. Mathematical models of 1 and 2 degrees of freedom are presented for the dynamic of a single motion and the combination of two movements, respectively. The controllers proposed are a PID control for a single motion and a computed torque control for the combination of two movements. These controllers are designed with trajectory tracking task to provide smooth movements of rehabilitation in a single motion or the combination of two movements. Some simulation results using the mathematical model are presented and compared with the obtained from the virtual prototype simulated under the ADAMS environment.
Keywords: Ankle rehabilitation machine, continuous passive motion, computed control torque
Introducción
A partir de investigaciones realizadas se observó que la inmovilización de las articulaciones después de que han sido sometidas a una cirugía era dañina. Por el contrario, cuando se realizaba un movimiento intermitente se encontró era benéfico, tanto para las articulaciones lesionadas como para las saludables, entonces se concluyó que el movimiento continuo sería más efectivo. Por otra parte, no se esperaba que un paciente pudiera realizar un movimiento constante en una articulación dañada debido a la fatiga del músculo esquelético, por lo que también se concluyó que el movimiento debería ser además pasivo. Adicionalmente, este tipo de movimiento presentaba una ventaja, si era lo suficientemente lento, entonces podría aplicarse casi inmediatamente después de la cirugía [1]. Salter invento el término de Movimiento Pasivo Continuo (MPC) a partir de investigaciones realizadas en pacientes que recibieron diferentes tratamientos ortopédicos, concluyendo que para evitar la degeneración en las uniones sugería no inmovilizarlas [2].
La rehabilitación, en un sentido general, es el proceso por el cual se recuperan las aptitudes físicas perdidas a causa de un incidente traumático mediante terapia física, sobre todo en los casos de las personas que desempeñan un trabajo físico y los deportistas que necesitan volver al mismo nivel de exigencia funcional. La rehabilitación es benéfica para reducir la espasticidad, aumentar su amplitud de movimiento, mejorar su resistencia muscular, aumentar el control de la movilidad muscular (motricidad), mejorar la propiocepción, así como mejorar las condiciones de pacientes con enfermedades neuromusculares. La recuperación suele ser más rápida en pacientes jóvenes y, generalmente, más lento en pacientes de mayor edad [3, 4].
Existen cuatro modalidades de rehabilitación dependiendo del nivel de actividad que requiera el paciente: pasiva, asistida, activa y resistiva, ver figura 1. En la recuperación pasiva es el terapeuta profesional quien moviliza las estructuras sin el esfuerzo del individuo. Una modalidad intermedia es la asistida donde se combinan el esfuerzo del paciente y del terapeuta. La rehabilitación activa es cuando el paciente realiza todo el esfuerzo en los ejercicios y en la resistiva se utilizan sistemas mecánicos donde se presenta una fuerza opuesta al movimiento del paciente, que puede incrementarse gradualmente para mejorar la resistencia muscular [5].
En la última década empresas de desarrollo tecnológico, instituciones y universidades de varias partes del mundo, han despertado el interés en desarrollar máquinas o dispositivos que ayuden a rehabilitar y fortalecer la parte afectada (por ejemplo: rodilla, tobillo, cadera, etc.), disminuir el trabajo repetitivo de un terapista, incrementar el número de servicio de terapias, reducir el tiempo de recuperación y ofrecer una mayor diversidad de terapias personalizadas con movimientos precisos y seguros. Un ejemplo de máquinas utilizadas en centros e instituciones de salud, para la rehabilitación pasiva de lesiones en el tobillo son las de movimiento continuo pasivo (MCP), que sirven como auxiliar a los pacientes para realizar movimientos repetitivos, figura 2.
Algunos de los rehabilitadores de tobillo que se han propuesto se basan en la configuración de robots paralelos cuya estructura mecánica está formada por un mecanismo de cadena cerrada en donde el efector final se une a la base por al menos dos cadenas cinemáticas independientes. Girone et al. propuso un dispositivo rehabilitador para tobillo llamado ''The rutgers ankle'', ver figura 3.a. Este dispositivo es un robot paralelo de 6 grados de libertad (gdl), a pesar de que el tobillo solo tiene 3 gdl; es controlado con actuadores neumáticos y cuenta con una interfaz para interactuar virtualmente mediante juegos con el paciente. Este dispositivo ayuda a mejorar el equilibrio, la flexibilidad e incrementar la fuerza en los músculos [8 - 10].
Yoon y Ryu [11] proponen un mecanismo paralelo rehabilitador de tobillo conformado por dos placas para soportar el pie, y así proporcionar el movimiento de flexión-extensión de los dedos, ver figura 3.b. El mecanismo paralelo de 4 gdl es controlado con 4 actuadores neumáticos. Permite los movimientos de dorsi/plantarflexión y de inversión/eversión. Saglia et al. [12] proponen un robot paralelo para la rehabilitación de tobillo de 2 gdl, como se muestra en la figura 3.c. El robot es actuado redundantemente para evitar singularidades, proporciona los movimientos de dorsi/plantarflexión e inversión/eversión utilizando un control PD. Liu et al. [13] proponen un robot paralelo de 3 gdl con un eslabón en la parte central que une la base móvil con la fija para darle mayor rigidez a la estructura y limitar el movimiento, ver figura 3.d. Presentan el prototipo físico y resultados de simulación en ADAMS de un prototipo virtual.
Chou et al. [14] desarrollaron un robot asistente para la rehabilitación de tobillo de 1gdl, figura 3.e. El robot proporciona el movimiento de dorsi/plantarflexión para reducir la espasticidad, incrementar el tono muscular y mejorar el control motor. Implementaron un controlador PD difuso combinado con un control integral convencional.
Tsoi y Xie [15] proponen un robot paralelo de 3 gdl que usa 4 actuadores para mejorar su controlabilidad y eliminar las singularidades. Los autores solo presentan el diseño en CAD, ver figura 4.a. Proponen un control de impedancia para proporcionar las fuerzas o torques controlados y así evitar lesionar al paciente. Por otra parte, Syrseloudis et al. [16-18] realizaron experimentos con pacientes saludables, utilizando un escáner 3D y un sensor de inercia, para determinar el comportamiento cinemático del pie. Proponen un diseño de un rehabilitador de tobillo con un mecanismo hibrido serie-paralelo de 2 gdl, ver figura 4.b, que proporciona los movimientos de dorsi/plantarflexión e inversión/eversión.
Homma y Usuba [19] desarrollaron tres versiones de rehabilitadores pasivos de tobillo, con movimiento de dorsi/plantarflexión e inversión/ eversión ajustable, figura 4.c. Mediante la combinación de estos dos movimientos se espera que se tenga una mayor área de contacto entre la base del rehabilitador y la planta del pie para ejercer una fuerza más eficiente al paciente. El prototipo proporciona una velocidad máxima en los movimiento de 2 grados/s.
En la figura 5 se muestran los tres movimientos que puede realizar el tobillo: 1) dorsi/plantarflexión, 2) inversión/eversión y 3) abducción/aducción. En la tabla 1 se muestran los intervalos máximos para cada movimiento [15].
Descripción del sistema rehabilitador
Modelado matemático de 1gdl
El rehabilitador de tobillo que se propone [20] se muestra en la figura 6. Está conformado por una serie de eslabones rígidos que permiten la rotación en los tres ejes para proporcionar los movimientos de dorsi/plantarflexión, inversión/ eversión y abducción/aducción.
El modelo matemático que rige la dinámica del rehabilitador de tobillo, considerando los tres movimientos - 3gdl, es complejo con términos no lineales y acoplados. Es importante mencionar que el análisis del rehabilitador considerando los 3 gdl representaría una posición no usual del tobillo-pie, que ocasionaría esfuerzos en los huesos-tendones del tobillo provocando una molestia. Debido a lo anterior no se realizará un análisis considerando los tres movimientos simultáneamente.
Por lo tanto, como primer etapa para el control de los movimientos del rehabilitador de tobillo, se consideran las dinámicas desacopladas; al inicio de la rehabilitación se realizan movimientos sencillos y de manera suave para evitar lesionar al paciente, lograr el rango de movimiento completo (RMC) y reducir la espasticidad.
Para una rehabilitación pasiva inicial se considera el movimiento de andar de dorsi/plantarflexión, como se muestra en la figura 7, el cual es representado por el ángulo θ, x, y es el sistema inercial fijo, x', y' es el sistema móvil, P denota una fuerza concentrada debido a la fuerza que es parte del peso del tobillo y de la rigidez en las articulaciones del tobillo, d es la distancia con respecto al origen del sistema de referencia fijo y τ es el torque proporcionado por un motor para controlar la posición angular θ.
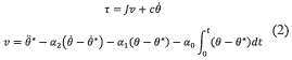
El modelo matemático de 1 gdl puede ser obtenido al aplicar la segunda ley de Newton o el formulismo de Euler-Lagrange y está dado por:

donde J y c son el momento de inercia y amortiguamiento viscoso, respectivamente. El modelo matemático (1) es similar para los otros dos movimientos básicos y desacoplados, solo se tiene que considerar los valores correctos de los parámetros del sistema con respecto a cada eje de rotación (momento de inercia y amortiguamiento viscoso).
Sistema de control con seguimiento de trayectorias
Se propone el siguiente controlador, para el seguimiento de la posición deseada θ*, tipo Proporcional Integral Derivativo-PID con prealimentación de la aceleración de la trayectoria deseada.

donde α0, α1 y α2 son las constantes de la parte integral, proporcional y derivativa, respectivamente. La dinámica en lazo cerrado con el controlador tipo PID propuesto, en donde el error es e=
, está dada por:

Los parámetros α0, α1 y α2 son seleccionados de manera que el polinomio característico de (3) sea Hurwitz (raíces en el semiplano complejo izquierdo), para garantizar que la dinámica del error sea globalmente asintoticamente estable. La trayectoria de posición deseada suave para el movimiento de dorsi/pantarflexión está dada por el siguiente polinomio de Bézier:

donde θi y θf son las posiciones inicial y final deseadas, de manera que la base del rehabilitador inicie desde una posición inicial y vaya a una final con un cambio suave, tal que:

Los parámetros de (4) son γ1=252, γ2=1050, γ3=1800, γ4=1575, γ5=700 y γ6=126 [21].
Resultados y simulación
En la tabla 2 se muestran los parámetros de simulación realizadas con el modelo matemático (1) con la ley de control PID obtenida en (2) para el seguimiento de trayectorias.
En la figura 8 se muestra la respuesta para el movimiento real y deseado de dorsiflexión, utilizando el modelo matemático (1) y el controlador PID (2). Se observa cómo se obtiene un movimiento suave de 0° a 25°, utilizando (4). De manera similar, en la figura 9 se muestra la respuesta para un movimiento de plantarflexión de 0 a 40°. También, se tiene un seguimiento suave, donde el error tiende a cero.
Las simulaciones mostradas en las figuras 8 y 9 fueron corroboradas en el prototipo virtual de tobillo y se muestran en las figuras 10 y 11. El prototipo virtual contiene la información de masas y momentos de inercia reales debido a la geometría de los eslabones y al material asignado, así como la aplicación de la fuerza debido al pie; solo se implementa la ley de control (2) sin introducir el modelo matemático (1). La perturbación constante debido al peso se introduce como una fuerza que gira conforme la base del rehabilitador se mueve de manera rotacional como se muestra en la figura 7. Se puede observar en las figuras 8 - 11, que los resultados del modelo matemático y los obtenidos con el prototipo virtual son similares.
Rehabilitador de tobillo con 2 gdl
El controlador propuesto (2) se puede implementar en el rehabilitador para cada movimiento independiente realizado por el tobillo, ver figura 5. Sin embargo, una segunda etapa en el proceso de rehabilitación requiere la combinación de dos movimientos, por ejemplo, el terapista pide al paciente realizar círculos guiados por el primer dedo artejo (dedo gordo del pie). Para el movimiento circular se combinan los movimientos de dorsi/plantarflexión y abducción/ aducción. En las siguientes secciones se mostrará el desarrollo para el control de este movimiento.
Modelado matemático de 2gdl
Considere que el rehabilitador de tobillo, figura 6, se encuentra en una posición obtenida de la combinación de un movimiento de dorsiflexión (plantarflexión) de θ grados y un movimiento de abducción (aducción) de φ grados, como se muestra en la figura 12.
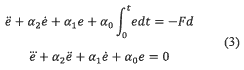
Las ecuaciones diferenciales que rigen la dinámica del rehabilitador de 2 gdl puede ser obtenido al aplicar la segunda ley de Newton o el formulismo de Euler-Lagrange y están dadas por:

donde J1, J2 son los momentos de inercia con respecto a cada eje de dorsi/plantarflexión y abducción/aducción, respectivamente; b1 y b2 son los amortiguamientos viscosos y d es la distancia al centro de masa de la base que soportará el pie. Los torques para controlar los ángulos son τ1 y τ2 y g es la aceleración de la gravedad.
Sistema de control basado en par calculado con seguimiento de trayectorias
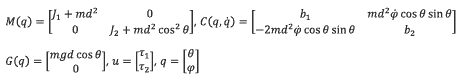
El modelo matemático (12) se puede representar de la siguiente forma:

Donde M(q) es la matriz de inercias, C(
) es la matriz de Coriolis y G(q) contiene los términos de gravedad los cuales son dependientes de la orientación de la placa base, u es el vector de entradas de control externas al sistema, donde:

Se propone la siguiente ley de control basado en par calculado [22] dada por:

donde qd es una trayectoria de referencia deseada, en este caso se considera una trayectoria circular, definida por las siguientes relaciones

donde l es una distancia constante del punto de giro de la base del rehabilitador al plano del círculo de radio r. Las ganancias Kp y Kd se seleccionan al hacer que los polinomios característicos de la dinámica del error en lazo cerrado, al sustituir (14) en (12), sean polinomios Hurwitz. Finalmente, los controladores propuestos están dados por:

Resultados de simulación
En las figuras 13-14 se muestra la respuesta del rehabilitador de tobillo considerando 2 gdl, es decir, combinar el movimiento de dorsi/plantarflexión con abducción/aducción para obtener un movimiento más complejo y trazar un círculo imaginario. Para estas simulaciones se utiliza el modelo matemático (12) con la ley de control de par calculado (16) para el seguimiento de una trayectoria circular, ver figura 14.
En las figuras 15 y16 se muestra la respuesta del prototipo virtual utilizando la ley de control de par calculado (14) para el seguimiento de una trayectoria circular. En las simulaciones del prototipo virtual se utiliza los parámetros reales para los momentos de inercia considerando la geometría de cada componente. En el caso de los parámetros utilizados en la simulación del modelo matemático se utilizó un valor aproximado. Debido a la variación entre los parámetros utilizados (momentos de inercia y masas) en la ley de control no se compensan los términos resultando un error en el seguimiento de la trayectoria circular.
Las figuras 17 y18 se obtuvieron con el prototipo virtual y con la ley de control de par calculado, se consideró una fuerza que denota la rigidez en la articulación del tobillo (ver figura 7) y que se opone al movimiento. Esta es una prueba de robustez al controlador para compensar perturbaciones constantes y a pesar de que no se utilizaron los valores reales en los parámetros se obtuvo una buena respuesta; en la trayectoria circular se tiene un error menor de un grado. Finalmente, en la figura 19 se muestra el prototipo virtual del rehabilitador de tobillo de 3gdl bajo el ambiente de ADAMS. Se observan los eslabones principales del rehabilitador, se omiten los tres actuadores para cada movimiento. También, se observan los íconos de los pares cinemáticos utilizados para definir el movimiento entre los eslabones.
Agradecimientos
Este trabajo ha sido realizado parcialmente gracias al apoyo proporcionado por la Dirección General de Educación superior Tecnológica (DGEST), a través del proyecto titulado ''Sistemas Biomecatrónicos para Rehabilitación de Extremidades Inferiores'' con clave 4534.12-P, ProlFOPEP 2012.
Conclusiones
En este artículo se propone el diseño de un rehabilitador de tobillo que proporciona los tres movimientos. Se analiza un modelo matemático de 1 gdl para obtener los movimientos básicos y desacoplados de dorsi/plantarflexión, inversión/ eversión y abducción/aducción para una rehabilitación pasiva. Para estos movimientos se propone un controlador tipo PID que permite compensar perturbaciones constantes como el peso del tobillo. También, se presenta el modelado para el sistema considerando 2 gdl, la idea es combinar dos movimientos, el de dorsi/ plantarflexión con abducción/aducción, para que el paciente pueda realizar un movimiento más complejo, por ejemplo, un círculo en un plano imaginario trazado por el dedo gordo del pie. En este sistema de 2 gdl se implementó un controlador de par calculado. Ambos controladores mostraron un buen desempeño ante una perturbación constante. Los resultados obtenidos se basaron en la simulación de los modelos matemáticos y las estrategias de control propuestas, y se corroboraron con las simulaciones obtenidas en ADAMS con el prototipo virtual.
Referencias
1. S. O'Discoll, N. Giori. ''Continuous Passive Motion (CPM): Theory and principles of applications''. Journal of Rehabilitation Research and Development. Vol. 32. 2000. pp. 179-188. [ Links ]
2. R. Salter, P. Field. ''The effects of continuous compression on living articular cartilage. An experimental investigation''. Journal of Bone and Joint Surgery. Vol. 42. 1960. pp. 31-49. [ Links ]
3. W. Prentice. Técnicas de rehabilitación en la medicina deportiva. 3a. ed. Barcelona, España: Paidotribo. 2001. pp. 44-55. [ Links ]
4. L. Chaitow, J. Walker. Aplicación clínica de las técnicas neuromusculares. Extremidades inferiores. 2a. ed. Barcelona, España: Paidotribo, 2007. pp. 165-191. [ Links ]
5. http://www.stroke-rehab.com/stroke-rehab-exercises.html. Consultado el 31, octubre, 2011. [ Links ]
6. http://www.lifescientz.com/ankle-cpm.htm. Consultado el 31, octubre, 2011. [ Links ]
7. http://www.1-800-medical.com/cpm/cpm.htm. Consultado el 31, octubre, 2011. [ Links ]
8. M. Girone, G. Burdea, M. Bouzit. ''The Rutgers Ankle Orthopedic Rehabilitation Interface''. Proceedings of the ASMEHaptics Symposium. Vol. 67. 1999. pp. 305-312. [ Links ]
9. M. Girone, G. Burdea, M. Bouzit, V. Popescu, J. Deutsch. ''Othopedic Rehabilitation Using the Rutgers Ankle Interface''. Proc. of Medicine Meets Virtual Reality 2000. IOS Press. pp. 89-95. [ Links ]
10. J. Deutsch, J. Latonio, G. Burdea, R. Boian. Rehabilitation of Musculoskeletal Injuries Using the Rutgers Ankle Haptic Interface: Three Case Reports. Eurohaptics Conference, Birmingham UK. Vol. 6. 2001. pp. 1-4. [ Links ]
11. J. Yoon, J. Ryu. A Novel Reconfigurable Ankle/Foot Rehabilitation Robot. International Conference on Robotics and Automation - IEEE. 2005. pp. 22902295. [ Links ]
12. A. Saglia, N. Tsagarakis1, J. Dai1, D. Caldwell. A High Performance 2-dof Over-Actuated Parallel Mechanism for Ankle Rehabilitation. IEEE International Conference on Robotics and Automation. 2009. pp. 2180-2186. [ Links ]
13. G. Liu, J. Gao, H. Yue, X. Zhang, Guangda Lu. Design and Kinematics Simulation of Parallel Robots for Ankle Rehabilitation. IEEE International Conference on Mechatronics and Automation. 2006. pp. 11091113. [ Links ]
14. K. Chou-Ching, M. Ju, S. Chen, B. Pan. ''A Specialized Robot for Ankle Rehabilitation and Evaluation''. Journal of Medical and Biological Engineering. Vol. 28. 2008. pp. 79-86. [ Links ]
15. Y. Tsoi, H. Xie, S. Q. Design and Control of a Parallel Robot for Ankle Rehabiltation. International Conference on Mechatronics and Machine Vision in Practice. 2008. pp. 515-520. [ Links ]
16. C. Syrseloudis, I. Emiris. A Parallel Robot for Ankle Rehabilitation-Evaluation and its Design Specifications. 8th IEEE International Conference on Bioinformatics and Bioengineering. 2008. pp. 1-6. [ Links ]
17. C. Syrseloudis, I. Emiris, C. Maganaris, T. Lilas. ''Design Framework for a Simple Robotic Ankle Evaluation and Rehabilitation Device''. IEEE Engineering in Medicine and Biology Society. 2008. pp. 4310-4313. [ Links ]
18. C. Syrseloudis, I. Emiris, T. Lilas, A. Maglara. ''Design of a Simple and Modular 2-DOF Ankle Physiotherapy Device Relying on a Hybrid Serial- Parallel Robotic Architecture''. Journal of Applied Bionics and Biomechanics, Special Issue on Assistive andRehabilitation Robotics. Vol. 8. 2011. pp.1-14. [ Links ]
19. K. Homma, M. Usuba. Development of Ankle Dorsiflexion/Plantarflexion Exercise Device with Passive Mechanical Joint. 10th IEEE International Conference on Rehabilitation Robotics. 2007. pp. 292297. [ Links ]
20. A. Blanco, H. Azcaray, L. Vela, R. Vázquez Bautista. Prototipo virtual de un rehabilitador de tobillo. IX Congreso Internacional sobre Innovación y Desarrollo Tecnológico - CIINDET 2011. Cuernavaca, México. Noviembre 23-25. 2011. pp. 1-6. [ Links ]
21. H. Sira, ''Sliding Mode Control of the Prismatic- Prismatic-Revolute Joint mobile Robot with a Flexible Joint''. Lecture Notes in Control and Information Sciences. Vol. 259. 2000. pp. 421-441. [ Links ]
22. M. Spong, S. Hutchinson, M. Vidyasagar. Robot Modeling and Control. 2a. ed. John Wiley & Sons Inc. 2005. pp. 253-267. [ Links ]
































