Services on Demand
Journal
Article
Indicators
-
Cited by SciELO -
Access statistics
Related links
-
Cited by Google -
Similars in
SciELO -
Similars in Google
Share
Revista Facultad de Ingeniería Universidad de Antioquia
Print version ISSN 0120-6230
Rev.fac.ing.univ. Antioquia no.77 Medellín Oct./Dec. 2015
https://doi.org/10.17533/udea.redin.n77a05
ARTÍCULO ORIGINAL
DOI: 10.17533/udea.redin.n77a05
Characterization and development of closed-form solutions for axle load spectra associated with trucks circulating the highways of Colombia
Caracterización y desarrollo de ecuaciones analíticas para los espectros de carga por eje asociados con los camiones que circulan las carreteras de Colombia
Luis Fernando Macea-Mercado1, Luis Guillermo Fuentes-Pumarejo1*, Luis Gabriel Márquez-Díaz2
1Departamento de Ingeniería Civil y Ambiental, Universidad del Norte. Km 5 Vía Puerto Colombia. A. A. 1569. Barranquilla, Colombia.
2Escuela de Ingeniería de Transporte y Vías, Universidad Pedagógica y Tecnológica de Colombia. Av. Central del Norte 39-115. A. A. 1094. Tunja, Boyacá.
* Corresponding author: Luis G. Fuentes, e-mail: lfuentes@uninorte.edu.co
(Received October 23, 2014; accepted March 10 2015)
ABSTRACT
An appropriate design of pavement structures requires estimation of the effects produced by traffic loads. For this reason, it is necessary to predict the number of vehicles traveling on road surfaces, identifying the axle configurations and the magnitude of the load. Thirty-eight (38) mobile weigh stations were positioned on different strategic points of the Colombian national road network to characterize the traffic condition of the country, 59.622 trucks were observed. This paper presents Axle Load Spectra that could be used to characterize the traffic condition of the Colombian's highway network. Data showed that the different axle configurations (Single, Tandem and Tridem) exhibit two peaks, associated with loaded and unloaded truck conditions. It was noted that a significant number of axles exceeds the permitted load limit, which could explain the critical state of the road network in Colombia. Finally, a mixture of three (3) theoretical distributions was used to characterize the overall axle load distributions. The proposed model presents acceptable predictive capabilities; therefore, it has potential to be used as a tool in the design process of the pavement.
Keywords: Axle load spectra, Equivalent axes, Load distribution, Traffic projection
RESUMEN
El diseño adecuado de las estructuras de pavimento requiere de la estimación de los efectos producidos por las cargas de tráfico. Por esta razón, es necesario predecir el número de vehículos que se desplazaran sobre superficies de carretera e identificar las configuraciones de ejes y la magnitud de la carga. Treinta y ocho (38) operativos de pesaje móviles fueron colocados en diferentes puntos estratégicos de la red vial nacional colombiana con el objetivo de caracterizar la condición de tráfico del país; en estos operativos se evaluaron 59,622 camiones. Este artículo presenta espectros de carga por eje que podrían ser utilizados para caracterizar el estado del tráfico de la red de carreteras de Colombia con el fin de dimensionar las estructuras de pavimentos. Los datos mostraron que las diferentes configuraciones de ejes (simple, doble y Tridem) muestran dos picos, asociados a las condiciones de camiones cargados y descargados. Se observó que un número significativo de ejes excede el límite de carga permitido, lo que podría explicar el estado crítico de la red de carreteras en Colombia. Por último, una mezcla de tres (3) distribuciones teóricas se utilizó para caracterizar las distribuciones generales de carga por eje. Se observó que los modelos propuestos presentan capacidades de predicción aceptables, por lo tanto, tienen potencial para ser utilizados como una herramienta confiable en el proceso de diseño de pavimentos.
Palabras clave: Espectros de carga por eje, Ejes equivalentes, Distribución de cargas, Proyección de tráfico
1. Introduction
Traffic characterization is necessary to properly define the geometric and structural characteristics of road infrastructure. Historically in Colombia, in the field of Pavement Engineering, designers have chosen the Equivalent Single Axle Load (ESAL) concept to characterize traffic conditions of roads. The ESAL concept provides an effective method to convert the damage caused by repetitions of different axle configurations carrying different levels of loads into a standard variable [1]; however, this methodology does not provide information to assess whether the vehicles circulate with overloads.
The characterization of the traffic through load spectra has been developed in response to the limitations of the traditional approach [2, 3]. The load spectra represent the percentage of the total axle applications within different load intervals for single, tandem, and tridem axles. Furthermore, it is important to note that the Mechanistic-Empirical Pavement Design Guide (MEPDG) defined the use of axle load spectra to represent the vehicle loads in pavement design [2, 3].
Many researchers have statistically modeled axle load spectra using Log-normal and Normal distributions, and, combinations among them [4-7]. Some authors have proposed the use of a combination of two lognormal and two normal distributions respectively, to characterize axle load spectra [8]. In addition, it has been suggested that closed-form solutions using a mixture of two normal distributions could be used to represent axle load spectra [7]. On the other hand, it is important to highlight that the intermediate section of the distribution associated with the section between the peaks of the spectrum is not fully described by the use of two distributions.
Moreover, different investigations have proposed the implementation of axle load spectra in the pavement design process, using a practical approach to better define pavement thicknesses [9]. In addition, a study evaluated the implementation of load standard spectra for design of pavements in the state of Arkansas, finding that the axle load spectra for the state of Arkansas is significantly different than the default spectra proposed by the MEPDG [10]. Furthermore, it has been shown that the spatial and temporal variations in axle load spectra have a negligible impact on pavement thickness design [11]. More recently, researchers have evaluated the effect of axle load spectra shifts on highway infrastructure damage and M&R costs [12]. The results showed that pavement damage is highly sensitive to changes in load spectra, highlighting the need for accurate load characterization. Likewise, it has been showed that increments on cracking, rutting, and roughness in flexible pavements are caused mainly by axle load distributions having heavier tails with infrequent extreme loads [8].
In Colombia, several studies have been conducted to characterize load spectra and truck factors for the major roads of the country [13-17]. Following this line of research, this paper shows load spectra associated with different economic regions in Colombia, which are useful for estimating traffic loads on roads with similar traffic conditions.
2. Data collection
Thirty-eight (38) mobile weigh stations were positioned on different strategic points of the Colombian national road network to characterize the traffic condition of the country. Weighing operatives involved 17 departments and four of the five economic regions of Colombia. Each weighing operative was carried out for 7 days, with an intensity of 24 hours daily, with the goal of weighing in static condition all the axles of trucks circulating in one direction. Using appropriately calibrated scales, a sample of 59,622 trucks, corresponding to 94,135 axles of different configurations was obtained. Table 1 presents the details of the type of axle configurations observed by department.
3. Load Spectra Modeling
The construction of the load spectra was based on a quantitative and qualitative classification of the evaluated axles, gathering data from each weighing operative on the different economic zones, as proposed by the reference [18]. Figure 1 presents the load spectra of the tandem axle associated to the Colombian Caribbean region.
A methodology provided by the National Road Institute (INVIAS) was used to classify the goods transported on the Colombian roads as follows: agricultural products, animals or animal related products, forest products, mining and mineral products, manufactured products, industrial products, food, and others. The frequency of axles that violate the maximum load according to national standards [19, 20] was determined. In addition, an analysis was performed to evaluate the types of goods transported in overload conditions; frequency distributions were developed by product type in order to identify economic sectors that contribute to the deterioration of roads throughout the country.
Axle load spectra tend to present multiple concentrations of central tendency, predominantly a bimodal shape. Theoretically, one could use a mixture of statistical distributions to characterize the overall axle load spectra [7-9]. Many investigations have shown that two or more normal (or lognormal) probability density functions can be added, with appropriate weight factors, to obtain the axle load spectra of the combined distribution as shown by Eq. (1).

Where:
f*: Combined axle load spectra, n: total number of distributions in the mixed model,
p1:Proportion (weight) for each theoretical probability density function in the model.
f1: Probability density function for each theoretical distribution.
Eq. (1) provides a useful tool with an adequate theoretical and practical interpretation and reduces the number of parameters to be calibrated to characterize the traffic condition of a specific road. Figure 2 presents an overview of mixed models, as it is described by Eq. (1).
This general function of joint probability density has proven adequate in the studies made by researchers who have addressed the issue, however, has limitations, since it does not appropriately describe the full shape of axle spectra that present a wide separation between the main peaks [4]. In the present investigation, the use of a third statistical distribution is proposed to model the area between the main peaks, seeking to improve the model used to describe the general model of axle load spectra.
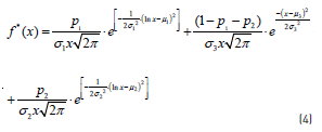
A mixed distribution model consisting of three statistical distributions was used to simulate the full form of the load spectra; two Log-normal probability functions ( f1 and f2 ) to capture the peaks of the spectrum and a Normal probability function ( f3 ) to capture the intermediate distribution between the two peaks, as it is described in Eq. (2).

Where p1, p2 and p3 represent the proportions (weights) of the probability functions f1, f2 and f3respectively. Note that p3 proportion, corresponding to the intermediate distribution, can also be expressed as a function of the other distributions as presented in Eq. (3):

Finally, the mixed distribution model used to simulate the full form of the load spectra is presented in Eq. (4).

This model also requires the estimation of the following parameters:
μ1, μ2 and μ3: Means of the probability functions f1, f2 and f3
σ1, σ2 and σ3: Standard deviation for probability functions f1, f2 and f3
It is important to note that each of these parameters have a practical meaning. Standard deviations σ1, σ2 and σ3 explain the variations in the axle weight of empty and fully loaded trucks, while μ1, μ2 and μ3explain the average magnitude of the axle loads of trucks on the analyzed roads. The Levenberg-Marquardt technique was used to calibrate the general model [21]. The Levenberg-Marquardt technique represents an optimization algorithm that uses the weighted least squares technique to estimate the parameters presented on Eq. (4).
4. Results and analysis
A detailed description of the shape and the practical significance of the load spectra obtained for the single directional axles, single standard axles, tandem and tridem axles, having as reference the departments of the Colombian Andean region is presented. Figures 3, 4, 5 and 6 illustrate the axle load spectra associated with different departments of the Colombian Andean region.
4.1. Load spectra for directional single axle
This axle is characterized by a consistent trend in the distribution of loads for all the analyzed cases, characterized by a single peak with a certain degree of asymmetry (Figure 3). This is explained considering that this axle remains indifferent to changes in the amount of cargo carried, meaning that overloaded trucks transfer a small proportion of the load to the directional axle, especially in trailer trucks. On the other hand, higher loading frequencies recorded in this spectrum are mainly due to the weight of the mechanical systems of the vehicle, such as the engine, a situation that explains the homogeneity of the different distributions presented.
Furthermore, in more than 90% of the cases, this axle did not exceed the maximum permissible load in Colombia, which is a common feature in other regions included in the present study [13, 15].
4.2. Load spectra for standard single axle
Figure 4 shows the load spectra of the single standard axles, which, according to the results shown in Table 1, is one of the most common in Colombia. The load spectra of the single standard axles are characterized by the consistent presence of two peaks, associated with the loaded and unloaded condition. In addition, load spectra presented in Figure 4 shows that the standard single axles are traveling with significant levels of overloads over national roads, which can lead to serious damage to the pavement structure, as previous studies have described [14]. In addition recent studies have demonstrated that, independently from the other factors, the damage caused by standard single axles is greater than that caused by tandem or tridem axles, considering that heavy loads are concentrated over small areas, thus producing relative higher strains at the bottom of asphalt pavements [22].
4.3. Load spectra for tandem and tridem axles
Tandem and tridem axles have a similar shape to that of the standard single axle. However, the peaks shown in these load distributions are further apart from one another (see Figures 5 and 6), considering that tandem and tridem axles are more frequently found in trailer trucks with higher load capacity. Figures 5 and 6 illustrate a high frequency of axles travelling with overloads. This condition could be used to explain the extensive rutting damage found in Colombian roads. In addition, the reported low frequency of axles travelling with conditions of intermediate load can be associated by the low profitability and high costs associated with mobilizing freight trucks to transport goods at half capacity. Freight cargo companies increase their profits by optimizing their operations; hence, companies are looking to load their trucks as much as possible. This policy is detrimental to the integrity of road infrastructure.
4.4. Models of basic load spectra by regions of Colombia
The load spectra, for different axle types, were modeled using a mixed distribution approach for axles transiting through roads located on the principal regions of Colombia. Calibrated statistical models are presented in Figures 7 and 8. The modeling was carried out for different regions of the Colombian territory. The analysis focused on the tandem and tridem axles considering that these present a wider separation between the peaks on the load spectra, hence would require the use of a third distribution.
Chi-square test was used to determine the goodness of fit of the proposed models. This method compares the difference in magnitudes between the observed and modeled data. Results presented on Figures 7 and 8 indicate that there is no statistical significant difference between the two set of distributions that were evaluated, the observed distributions and the modeled distributions. P-values less than 0.05 would suggest the rejection of the null hypothesis, however, the values presented on Figures 7 and 8 are significantly higher than 0.05. These results suggest that the proposed models adequately represent the axle load spectra of the different regions of Colombia. Furthermore, the coefficient of determination (R2 values) was obtained in a complementary form for each model. It can be seen that for all cases, R2 values are close to 1, which suggest that the models present sufficient explanatory power to represent the behavior of the entire population.
4.5. Relationship between types of products transported and overloads
Figure 9 shows the frequency distribution by type of products transported under conditions of overload within different regions of Colombia; Table 2 details the overall information of the evaluated trucks. These results suggest that the types of products that are commonly associated with overloads are related to mining, agriculture and industrial use.
Furthermore, it is clear that the Caribbean and the Andean region are experimenting significant levels of overloads, with 14% and 7% respectively. This situation should encourage local agencies to implement control measures that guarantee that vehicles circulate without overloads, especially in the Caribbean and the Andean region.
5. Conclusions
An evaluation of truck overloads on the Colombian highway network was conducted. Truck data associated with various vehicle categories were obtained from thirty-eight (38) mobile stations that were placed in different strategic points of the Colombian national road network to characterize the traffic condition of the country. An overview of loads transiting the Colombian territory was evaluated; results showed that a large percentage of axles with overloads circulate over Colombian roads. A detailed description of the shape and the practical significance of the load spectra obtained for the single directional axles, single standard axles, tandem and tridem axles of the Colombian Andean region was presented. In addition, load spectra were modeled using a mixed distribution approach for axles circulating roads located on the principal regions of Colombia.
A mixed distribution model consisting of three statistical distributions was used to simulate the full form of the load spectra; two Log-normal probability functions to capture the peaks of the spectrum and a Normal probability function to capture the intermediate distribution between the two peaks. The analysis focused on the tandem and tridem axles considering that these present a wider separation between the peaks on the load spectra, hence require the use of a third distribution. Results showed that the models present sufficient explanatory power to represent successfully the load spectra of the evaluated roads.
Moreover, an analysis was performed to evaluate the types of goods transported in overload conditions; frequency distributions were developed by product type in order to identify economic sectors that contribute to the deterioration of roads throughout the country. It was found that the industrial, agricultural and mining products are the most common goods associated with overloads; particularly, the transportation of coal contributes to the significant deterioration observed in pavement structures. Finally, it was found that a large proportion of vehicles travel with overloads; a significant proportion of the vehicles do not comply with the provisions defined on the Resolution No. 4100 of December 28, 2004, issued by the Ministry of Transport of Colombia. One possible cause of this phenomenon is derived from the difference between the income earned by transporting goods in overload conditions and the value of the penalty, which is significantly lower. Under this condition, transporters prefer to travel with overloads even if it means that they have to pay a fine, considering that the punitive policy in Colombia associated with overload does not lead to the immobilization of the offending vehicle.
It is recommended that agencies responsible for the condition of the Colombian road infrastructure define a clear policy for overload control in the country; the implementation of tougher sanctions on vehicles that do not comply with the regulations, since these vehicles undermine the integrity of the country's infrastructure. In addition, it should be ensured that the funds collected from these sanctions are destined at repairing pavement structures.
6. Acknowledgements
The authors express their gratitude to the Universidad del Norte in Barranquilla, the Volvo Research and Educational Foundations (study visit grant, SVG-2015-02), the National Roads Institute of Colombia (contract No. 1326 of 2011), the research project Diamante Caribe (BPIN: 2014000100012, Contract No 25, May 30 2014), and the research project LOGPORT (Project 20120001001911050672, Agreement No. 0103-2013-000016) for funding this research.
7. References
1. American Association of State Highway and Transportation Officials (AASHTO), Guide for Design of Pavement Structures. Washington, D. C., USA: AASHTO, 2002. [ Links ]
2. National Cooperative Highway Research Program (NCHRP) ''Guide for mechanistic-empirical design of new and rehabilitated pavement structures'', NCHRP, Washington, D. C., USA, Project Rep. 1-37A, 2004. [ Links ]
3. Y. Wang, D. Hancher and K. Mahboub, ''Axle Load Distribution for Mechanistic–Empirical Pavement Design'', Journal of Transportation Engineering, vol. 133, no. 8, pp. 469-479, 2007. [ Links ]
4. D. Timm, M. Tisdale and R. Turochy, ''Axle Load Spectra Characterization by Mixed Distribution Modeling'', Journal of Transportation Engineering, vol. 131, no. 2, pp. 83-88, 2005. [ Links ]
5. J. Prozzi and F. Hong, ''Optimum statistical characterization of axle load spectra based on load-associated pavement damage'', International Journal of Pavement Engineering, vol. 8, no. 4, pp. 323-330, 2007. [ Links ]
6. S. Haider and R. Harichandran, ''Relating Axle Load Spectra to Truck Gross Vehicle Weights and Volumes'', Journal of Transportation Engineering, vol. 133, no. 12, pp. 696-705, 2007. [ Links ]
7. S. Haider, R. Harichandran and M. Dwaikat, ''Closed-Form Solutions for Bimodal Axle Load Spectra and Relative Pavement Damage Estimation'', Journal of Transportation Engineering, vol. 135, no. 12, pp. 974-983, 2009. [ Links ]
8. S. Haider and R. Harichandran, ''Effect of Axle Load Spectrum Characteristics on Flexible Pavement Performance'', Transportation Research Record: Journal of the Transportation Research Board, vol. 2095, pp. 101-114, 2009. [ Links ]
9. D. Timm, J. Bower and R. Turochy, ''Effect of Load Spectra on Mechanistic–Empirical Flexible Pavement Design'', Transportation Research Record: Journal of the Transportation Research Board, vol. 1947, pp. 146-154, 2006. [ Links ]
10. N. Tran and K. Hall, ''Development and Influence of Statewide Axle Load Spectra on Flexible Pavement Performance'', Transportation Research Record: Journal of the Transportation Research Board, vol. 2037, pp. 106-114, 2007. [ Links ]
11. R. Turochy, M. Baker and D. Timm, ''Spatial and Temporal Variations in Axle Load Spectra and Impacts on Pavement Design'', Journal of Transportation Engineering, vol. 131, no. 10, pp. 802-808, 2005. [ Links ]
12. D. Timm, K. Peters and R. Turochy, ''Effects of axle load spectra shifts on highway infrastructure damage and cost'', in International Conference on Heavy Vehicles, Paris, France, 2008, pp. 453-458. [ Links ]
13. A. Castellanos and J. Rojas, ''Espectros de carga vehicular para la zona urbana de Bogotá D.C.'', M.S. thesis, Universidad de Los Andes, Bogotá, Colombia, 2005. [ Links ]
14. J. Troncoso, ''Evaluación del espectro de carga y coeficientes de daño en el corredor de la Avenida Boyacá, Bogotá D. C'', M.S. thesis, Universidad Nacional de Colombia, Bogotá, Colombia, 2011. [ Links ]
15. F. Wilches, ''Espectros de carga y factores daño de vehículos de carga en carreteras de la Región Caribe Colombiana'', M.S. thesis, Universidad del Norte, Barranquilla, Colombia, 2010. [ Links ]
16. L. Macea, ''Espectros de carga y factores camión de la flota vehicular colombiana en vías del territorio nacional'', M.S. thesis, Universidad del Norte, Barranquilla, Colombia, 2012. [ Links ]
17. L. Macea, L. Fuentes and A. Alvarez, ''Evaluación de factores camión de los vehículos comerciales de carga que circulan por la red vial principal colombiana'', Rev. Fac. Ing. Univ. Antioquia, no. 66, pp. 57-69, 2013. [ Links ]
18. A. Ulloa, G. Badilla, J. Allen and D. Obando, ''Determinación de factores camión en pavimentos de Costa Rica'', Infraestructura Vial, no. 19, pp. 30-39, 2008. [ Links ]
19. Ministerio de Transporte, ''Resolución 4100 de 2004'', Diario Oficial 45777, Bogotá, Colombia, Dec. 28, 2004. [ Links ]
20. Ministerio de Transporte, ''Resolución 1782 de 2009'', Diario Oficial 47343, Bogotá, Colombia, May 8, 2009. [ Links ]
21. D. Marquardt, ''An algorithm for least-squares estimation of nonlinear parameters'', Journal of the Society for Industrial and Applied Mathematics, vol. 11, no. 2, pp. 431-441, 1963. [ Links ]
22. K. Chatti, A. Manik and N. Brake, ''Effect of Axle Configurations on Fatigue and Faulting of Concrete Pavements'', in 10th International Symposium on Heavy Vehicle Transport Technology, Paris, France, 2008 pp. 117-126. [ Links ]























