1. Introduction
The direct use of molecular oxygen as an oxidant for the selective oxidation of organic compounds requires activation of O2 by transforming the triplet spin state in order to allow the reaction with organic substances [1,2]. The traditional activation of oxygen is done by thermal action at least 400K, with probability of explosion [3]. An alternative activation procedure is using a pathway of lower activation energy, through the formation of a metal-dioxygen complex [M (paramagnetic)-O 2 ] (doublet state): Mn + 3 O2 (.O-O.)( Mn+1(O2). (doublet state) which can selectively react with organic molecules (R-H), following a similar mechanism to autoxidation. Coordination of O2 to a complex with metal oxo (M=O) unit [4-6] permits the transfer of oxygen atom to organic molecules under mild reaction conditions but requires an oxygen donor agent to regenerate the metaloxo center [7]. The (MoVI = O2L) (L is bipyridine, thiocyanate) has been used for Oxygen Atom transfer (OAT) [8, 9]. The OAT process begins by the nucleophilic attack of the compound (X) on an empty Mo=O π* orbital, forming XO and MoIV species [10]. The initial reaction depends on the oxo-donor center nucleophilicity or electrophilicity. Generally, the re-oxidation of MoIV is based on an oxygen donor such as DMSO, which is used as a solvent in the reaction, but it can generate unwanted Bipyroducts [11].
The anchoring of dioxomolybdenum complexes on TiO2: (MoVIO2L/TiO2) favors the OAT to the organic substance under UV radiation and allows to use molecular oxygen as oxidant agent [12]. Our experience showed that the re-oxidation of the reduced metal center (MoIVO)L/TiO2) with O2 and without light is able to continue the catalytic cycle [13].
The OAT kinetics has been studied with several dioxo-molybdenum complexes in solution [14], using triphenylphosphine (PPh3) as the oxygen acceptor. However, there are no studies on the kinetics of a heterogeneous system like MoVIO2L/TiO2 that works with light and molecular oxygen.
In this work, the effect of kinetic parameters (initial concentration of PPh3, photonic flux, and the quantum yield) of the photoinduced OAT were studied to PPh3 with 4,4'-dicarboxylate-2,2'-bipyridine-dioxodichloromolybdene, molybdic acid and molybdenum oxide, anchored to TiO2 with molecular oxygen as the oxidant agent.
2. Experimental methodology
2.1 Catalyst synthesis
4,4’-dicarboxylate-2,2’-bipyridine-dioxo-dichloro molybdenum anchored to TiO2 (BipyMoO2/TiO2)
0.120 g of 4,4’-dicarboxi-2,2’-bipyridine acid (Aldrich, 70% wt) was dispersed on 40 mL of benzene and 0.102 g of 1,3Bis-trimethyl silil urea (Aldrich, 95% wt) and was stirred for 4h at room temperature. After, the solid was filtered and the excess of solvent was evaporated, a white solid called Bipy-Sil (A) was obtained. 0.5 mmol of A was dissolved on 40 mL of benzene and in a solution of 0.5 mmol of MoO2Cl2 in 30 mL of the same solvent, stirring for 4h at room temperature until the formation of a solid (B). Finally, 0.294 g of B in 30 mL of benzene was added to 1 g of dehydrated TiO2 (Degussa P-25) at constant stirring (400 rpm) for 12h. The resultant solid (BipyMoO2/TiO2, Figure 1a) was filtered and washed with benzene. As benzene is a very toxic solvent, other green solvents could be used for this application (Toluene, heptane or DMF that are less toxic and have been used for silylation of secondary amines) [15].
Molybdic acid anchored to TiO2 (H2MoO4/TiO2)
0.294 g of molybdic acid (Aldrich) in 30 mL of benzene was added to 1.0 g of dehydrated TiO2 (Degussa P-25) at constant stirring (400 rpm) for 12 h. Finally, the solid was washed with benzene [Figure 1b). The same consideration for increasing the sustainability of the synthesis could be taken into account, changing the solvent for others such as DMF [15].
Molybdenum trioxide anchored to TiO2 (MoO3/TiO2)
The catalyst was synthesized according to [16]. For this, 5.52 mL of ammonium heptamolybdate tetrahydrate (Aldrich 97% wt) was added dropwise over 2.1077 g of dehydrated TiO2 at constant stirring (400 rpm) for 1 h. Finally, the solid was dried at 383 K for 16 h and calcined in air at 773 K for 6h [Figure 1c)
2.2 Characterization of catalysts
The specific area BET (Brunauer-Emmett-Teller) and the pore volume were determined using the adsorption-desorption isotherms of N2 in a Micromeritics 3 flex equipment at 77 K. Samples were degasified at 523 K for 30 min previously to the analysis. FTIR spectra were taken in an infrared spectrometer Bruker tensor 27 using a NaCl cell at 32 scans. To estimate the amount of anchored complex, TGA was performed using a thermogravimetric analyzer model 5500, with a heating rate of 10°C/min and a nitrogen atmosphere from 298 K to 1073 K. UV-Vis diffuse reflectance measurements were acquired in a Shimadzu UV-Vis RD spectrometer model 2401. For the Raman spectra, an Evolution Horiba confocal microscope was used, with 10x objective, 2s integration time and 10 accumulations. Atomic absorption was performed to determine the amount of metal in all catalysts. For this, 50 mg of each material was dissolved on a mix of HF/HCl/HNO3 and measured in an atomic absorption equipment Philips PU9100X model. The powder XRD was not included because of the quantity of each Mo catalyst is low and only detected phases anatase and rutile of TiO2.
2.3 Catalytic activity
The photocatalytic reactions were carried out in a 15 mL microreactor Batch type (Aceglass), with a pen-ray lamp (λmax= 360 nm), 60 mg of catalyst and 10 mL of 0.01 M of PPh3 (acetonitrile as solvent) was used at 293 K. Initially, the reaction was left 1 h with an atmosphere of nitrogen (purge) and in the darkness to eliminate possible radical species (O2 .-, .OH, HO2 .). Afterward, it was changed under an oxygen atmosphere for 30 min before the light turns. Finally, the catalytic reaction was put in a way (60 mg of catalyst, 10 mL of 0.01 M of PPh3 with acetonitrile as solvent at 293 K). The Selection of the amount of catalyst was based on previous results [17].
The formation of triphenylphosphine oxide (OPPh3) was determined with UV-Vis spectroscopy, measuring the P=O band ( n⟶ π ∗ ) at 265 nm [18] and the PPh3 band at 258 nm [19]. The kinetic study was performed varying the initial concentration of PPh3, photonic flux, and quantum yield.
The determination of photonic flux was carried out using chemical actinometry [20, 21] using the Reinecke salt (K[Cr(NH3)2(NCS)4]) and measuring the absorbance from 350 nm to 750 nm. The measures were performed with two Pen-ray lamps with a λmax=360 (with two different voltages: 280 V and 375 V). The NCS ion generation rate was determined from the complexation with Fe(NO3)3 .9H2O in HClO4 at 432 nm. The photonic fluxes determined were 321.54 μEinsteinL-1min-1 y 8360.13 μEinstenL-1min-1, respectively.
The quantum yield was estimated using the equation reported previously [22, 23] for heterogeneous photocatalytic systems [Equation (1)]:
Where VT represents the total volume of the reactor, Vr the volume used for the reaction,
is the variation of the concentration at the initial time of the triphenyl phosphine and LVRPA is the local volumetric rate of photon absorption LVRPA can be estimated using the equation [Equation (2)] [24, 25].
Where F
e
represents the radiation in the reaction system,
(C
cat
is the concentration of catalyst and K
λ
is the specific absorption coefficient) and φ is the reactor diameter.
3. Results and analysis
3.1 Characterization of the materials
Figure 2 shows the IR spectra for all molybdenum materials. The presence of Mo-pyridine anchored on titanium oxide [Figure 2 a), was determined with the bands at 1395 cm-1 and 1797 cm-1 related to the C-O and C=O vibrations [26]. The presence of the bipyridine ligand was confirmed with the bands at 1591 cm-1 and 1797 cm-1 associated with the C=C and C=N vibrations [27, 28] and the signals at 940 cm-1 and 915 cm-1 corresponding to the symmetric and asymmetric vibrations of the MoO2 group, respectively [29]. The molybdic acid supported on titania [Figure 2 b) shows bands at 500 cm-1 and 600 cm-1 due to TiO2 while that OH group present bands at 1620 cm-1 and 3100 cm-1 (related to geminal and terminal groups of the titanium oxide) [30]. The dioxo-Mo compound show bands at 894 (asymmetric) and 945 cm-1 (symmetric) and at 721 cm-1 associated with the Mo-O stretching vibration [31, 32]. On the other hand, The MoO3/TiO2 [Figure 2 c) system presents bands at 867 and 831 cm-1 [32] related to the symmetric and asymmetric vibrations of the MoO2 group, respectively [30].

Figure 2 IR spectra of Mo supported heterogeneous catalysts: a) BipyMoO2/TiO2 b) AcMo/TiO2 c) MoO3/TiO2 d) TiO2
Figure 3 show the UV-Vis spectrum of the Mo supported materials which presents an asymmetric band at around 360 nm associated with the charge transference ligand-to-metal (O2+→ Mo6+) [10, 33, 34]. The Mo anchored on TiO2 bandgap is evaluated with the UV-Vis spectra, according to Equation (3) [35, 36].
Where hυ is the photon energy, Al is the independent parameter of the photon energy for the complex transitions, and Eg is the band-gap energy. The calculated values of the band-gap of BipyMoO2/TiO2 give a value of 3.2 eV, with the same values for the other Mo systems, suggesting that the TiO2 band-gap was not affected after anchoring the Mo compounds.

Figure 3 UV-Vis spectra of Mo heterogeneous catalysts: a) BipyMoO2/TiO2 b) AcMo/TiO2 c) MoO3/TiO2 d) TiO2 catalysts
Figure 4 shows the Raman spectra of the AcMo/TiO2 and MoO3/TiO2 catalysts. AcMo/TiO2 [Figure 4a) presents bands at 958 cm-1 related with Mo=O vibration, 950 cm-1 associated with the symmetric vibration of Mo-O-Mo group, symmetric bending at 689 cm-1 and the deformation of Mo-O-Mo at 249 cm-1 [37, 38]. Molybdic acid supported on TiO2 presents the anatase phase of TiO2 signals due to vibrational modes Eg, B1g and A1g at 136, 322, 397, 517, and 639 cm-1 [39, 40]. Also, a small signal is observed at 962 cm-1 that corresponds to the Mo=O bond stretch. In the case of the MoO3/TiO2 catalyst [Figure 4b), a characteristic band at 114 cm-1 related to the vibrational mode of Ti-O (Eg) is present. Bands at 125 cm-1(B3g), 157 cm-1 (Ag, B1g), 663 cm-1 (B2g, B3g), 195 cm-1 (B2g), 217 cm-1 (Ag), 244 cm-1 (B3g), 289 cm-1 (B2g, B3g), 335 cm-1 (B1g, Ag), 336 cm-1 (Ag), 469, 993 cm-1 and 816 cm-1(Ag, B1g) associated with the symmetric vibrations Mo=O, Mo-O-Mo (symmetric and non-symmetric vibration), Mo=O (terminal vibration) and the symmetric and non-symmetric vibrations of the MoO2 were also detected. In-situ Raman and IR spectroscopic studies suggest that dehydrated metal oxide species presents a M = O terminal bond (where M is V, Mo, or Cr) [41].
Table 1 presents the textural properties of the synthesized materials. The system (MoO3/TiO2) has the highest amount of Mo per gram of catalyst and the smallest surface area, with a considerably larger pore diameter in comparison with the bipyridine system. In the case of AcMo/TiO2, which has a lower amount of Mo, it has an intermediary surface area. In all cases, it is observed that the incorporation of Mo on the support considerably decreases the BET surface area. In the case of the AcMo/TiO2 and MoO3/ TiO2 catalysts, the BET area is almost 50% as compared to TiO2. The decreasing of the surface area compared to titanium oxide (Degussa P-25) can be attributed to increasing of the dispersion of Mo species. In contrast with other Mo supported catalysts, it has been showed that, increasing the MoC (Molibdenun carbide) onto TiO2 supported (12.0% wt) presents a similar surface area than TiO2 degussa P25 [42]. AcMo/TiO2 and MoO3/TiO2 presents similar surface area to Mo (0.02%-0.1%) doped TiO2 [43].
3.2 Effect of the photocatalytic parameters: Estimation of the oxo-transfer kinetics
The kinetics of the photo-oxidation of triphenylphosphine was performed using BipyMoO2/TiO2, MoO3/TiO2 and AcMO/TiO2 catalysts, taking into account the effect of the initial concentration, photonic flux and the quantum yield. Blank reactions were carried out: without catalyst (oxygen atmosphere) and with catalyst and without light. It is observed that the oxidation of triphenylphosphine is not carried out in presence of oxygen and without light. TiO2 support without light did not show activity towards oxygen transfer to phosphine. In this way, Table 2 shows the catalytic oxo-transfer activity of different Mo supported catalysts. It can be seen that the highest conversion and selectivity to OPPh3 was obtained with BipyMoO2/TiO2. BipyMoO2/TiO2 presents the highest TON (at 30 min), suggesting that the Bipyyridine ligand favor the oxo-transfer to PPh3. Also, the electronic transference from TiO2 favor oxygen donation by decreasing the Mo=O bond order [12].
Table 2 Catalytic activity of the different Mo supported catalysts

Reaction conditions: 0.01 M of PPh3 in acetonitrile (10 mL), 60 mg of catalyst, 450 rpm at room temperature. Conversion and selectivity were calculated at 240 min. TON was calculated as mmol of PPh3 per mmol of Mo (t=30 min). TOF was taken as the first derivate of TON with respect to time at saturation regime and instantaneous conditions (TOF=(dTON/dt) t=1 min). *Other Bipyroducts were obtained but not identified.
Effect of the photonic flux
Figure 5 shows the effect of the radiation intensity in the concentration of PPh3 as a function of time. It can be seen that when increasing photonic flux, the phosphine transforms rapidly. Similar behavior is observed with the three Mo-catalytic systems. The photocatalytic support properties remain the same, which could be associated to the location of Mo species in the material.

Figure 5 Photocatalytic transformation of PPh3 as a function of the time with the lamp of a photonic flux of a) 321.54 µEinsteinL-1min-1 and b) 8360.13 µEinsteinL-1min-1. Reaction conditions: Room temperature, acetonitrile as the solvent (10 mL), constant stirring (450 rpm), and 60 mg of catalyst
The kinetic was evaluated, calculating the specific rate constant, using the Langmuir-Hinshelwood-Hougen-Watson (LHHW) model [Equation (4)], which gives the best fitting in comparison with other pseudo-homogeneous (o polynomial) kinetic models. It was considered that the limiting step corresponds to the surface reaction and that the heat of adsorption is constant in the surface (ideal model) [44, 45].
Where [PPh3] means the concentration of the substrate, k is the kinetic constant (associated with the product of the quantum yield and the volumetric rate of absorption of photons (Fabs)) y K is the adsorption constant [44, 45]. The kinetic was considered as first-order because oxygen is in excess in comparison with the other reactants: solvent and catalyst present in the reaction.
Table 3 indicates the specific rate constants estimated for each catalyst as a function of photonic flux. It can be observed that the catalytic system BipyMoO2/TiO2 presented the highest rate constant for both photonic fluxes. It could be associated with the conductive nature of the bipyridine ligand, which favors the electronic conduction between the dioxo-Mo and the semiconductor surface. It is correlated with the highest generation of the OPPh3.
Given the observed correlation between the increase in photonic flux (8360.13 μEinstenL-1min-1), and the significant increase of the velocity constant, it can be seen that with this lamp, the kinetic constant is almost four times higher than the other one. In the case of the AcMo/TiO2 and MoO3/TiO2 catalysts, there is no noticeable change when increasing the photon flux, which may suggest that the oxidation mechanism is different.

Figure 6 Generation of OPPh3 as a function of the time: a) BipyMoO2/TiO2 b) AcMo/TiO2 and c) MoO3/TiO2. Reaction conditions: Room temperature, acetonitrile as the solvent (10 mL), constant stirring (450 rpm), and 60 mg of catalyst
When the BipyMoO2/TiO2 catalyst is used, the formation of OPPh3 (triphenylphosphine oxide) as a function of time corresponds to 1:1 molar ratio between PPh3 and OPPh3 [Figure 6], which is associated to the transference of the oxygen atom from dioxo-Mo to phosphine, according to the OAT mechanism. While for the other two catalysts [Figure 6b and c), this molar ratio is different, generating other oxidation products via a radical pathway [Figure 7] [46]. This is because between the Mo unit and the support does not exist a good electronic connection as occurs with BipyMoO2/TiO2. Besides, for the AcMo/TiO2 system [Figure 6b), and MoO3/TiO2 [Figure 6c), the stoichiometric ratio is not 1:1 evidencing that the mechanism is a radical pathway instead of an electronic transfer.

Figure 7 Formation of different products of the oxidation of PPh3 on time towards a radical pathway. Modified from reference [46]
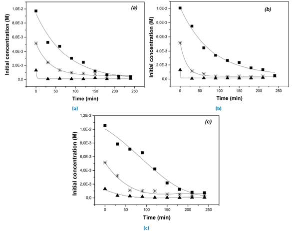
Effect of the initial concentration
The initial concentration of the reactant affects the oxidation rate. To evaluate the effect of concentration, the following solutions of PPh3 0.01, 0.005 and 0.001 M were taken, and the catalytic activity was observed at the same reaction time, using a photonic flow of 321.54 μEinstenL-1min-1.
Figure 8 shows the effect of the concentration for each catalyst. The increase in concentration generates an increase in the specific reaction rate constant in each case [Table 4].
It was observed that the BipyMoO2/TiO2 catalyst showed that the rate constant is a function of the concentration. The activity of AcMo/TiO2 changes slightly with the initial concentration, and its value does not increase significantly as a function of concentration. At the same time, in the other two cases, the specific constant varies significantly. When the concentration is 0.01 M, the constant presents a maximum for BipyMoO2/TiO2. In contrast, for the concentration of 0.005 M, the kinetic behavior was higher for MoO3/TiO2, perhaps associated with its higher concentration of Mo.

Figure 8 Effect of the initial concentration for Mo-heterogeneous catalysts: a) BipyMoO2/TiO2 b) AcMo/TiO2 and c) MoO3/TiO2. Reaction conditions: Room temperature, acetonitrile as the solvent (10 mL), constant stirring (450 rpm), and 60 mg of catalyst. (Symbols indicate the tendency of each initial concentration; squares=0.01 M, asterics=0.006 M and triangles=0.002 M)
Estimation of the quantum yield and their effect
Estimation of the quantum yield was calculated using the Equations (1) and (2). Figure 9 shows the variation of the reaction kinetic constant as a function of the quantum yield for each Mo catalyst. Increasing the quantum yield, the initial reaction rate increases for all catalysts; nevertheless, the behavior is different for the MoO3/TiO2 material, where the increase of reaction rate is slowest; this fact could be associated with the amount of Mo. As for both BipyMoO2/TiO2 and AcMo/TiO2 catalysts, the same amount of Mo was added, a similar quantum yield behavior was achieved. Other reason for this fact could be associated with the variation of the reaction rate, the photonic flux and the absorption coefficient, which are associated mainly with the TiO2 support. It was assumed that only TiO2 contributes to the photocatalytic properties of the material, and besides, that other properties are considered constant (scattering and absorption coefficients). The quantum yields are lower than 25 Einstein min-1; the reaction rate appears to be the same for the three catalysts and by increasing the quantum yield, the reaction rate increases exponentially for all materials.

Figure 9 Effect of the quantum yield for Mo heterogeneous catalysts. Reaction conditions: room temperature, acetonitrile as the solvent (10 mL), constant stirring (450 rpm), and 60 mg of catalyst
As no detailed kinetics have been reported, the current study shows references values of quantum yield (at different conditions) of Mo catalysts supported on TiO2, characteristic of photocatalysts used in different applications. As can be seen in Table 5, all heterogeneous catalysts present a quantum yield in a range between 0 and 0.9 Einstein s-1, being our system AcMo/TiO2, the higher as compared with the other materials. It is essential to highlight that in all cases, only TiO2 was used. The lowest value was achieved for the colloidal TiO2 used for the degradation of formaldehyde (0.019). Similar yields were obtained towards the degradation of phenol with TiO2 (Degussa P-25) (0.11-0.1275). Also, the quantum yield obtained for the MoO3/TiO2 catalyst showed the same value that TiO2 (Degussa P-25) used for the degradation of 2,6-dimethylphenol.
4. Conclusions
The kinetics of the oxygen atom transfer reaction to triphenylphosphine with several Mo heterogeneous catalysts anchored to TiO2 stimulated with the light was studied. The rate constant increases as the concentration of the triphenylphosphine as does the photonic flux and the quantum yield increases.
Molybdic acid, as molybdenum oxide anchored on TiO2, does not allow oxygen atom transfer reaction, suggesting the importance of the bipyridine ligand as an electronic connector between the Mo complex and TiO2 that favor the transfer of oxygen.
This work corresponds to the first report of the kinetic effects of a reaction of heterogeneous photo-oxidation with dioxo-Mo compounds anchored to TiO2.























