Services on Demand
Journal
Article
Indicators
-
Cited by SciELO -
Access statistics
Related links
-
Cited by Google -
Similars in
SciELO -
Similars in Google
Share
Semestre Económico
Print version ISSN 0120-6346On-line version ISSN 2248-4345
Semest. Econ. vol.13 no.6 Medellín Jan./June 2010
Desarrollo local en Isla Grande: un modelo probabilístico para la pobreza*
Local development in Isla Grande: a probabilistic model for poverty
Desenvolvimento local em Ilha Grande: um modelo probabilístico para a pobreza
William Orlando Prieto Bustos**
** Economista, Universidad Nacional, Bogotá, Colombia; máster en Políticas Públicas de la Universidad de Rochester, New York, Estados Unidos. Miembro del grupo de investigación del Mercado Laboral de la Universidad de Cartagena, Colombia. Consultor en políticas públicas y socio fundador de la firma de consultoría +POLIS. Dirección: Calle 169A No 55A-49 AP 601, Bogotá, Colombia. Tel: 3114526215. Email: woprieto@ucatolica.edu.co
“A Mariana, la niña del ombligo azul,
Azul como un Eros,
Cuando sea Mujer”
Resumen
El objetivo del presente documento es evaluar el estado actual del desarrollo local en Orika, principal asentamiento humano localizado en Isla Grande, la mayor de las 27 islas que componen el archipiélago de las Islas del Rosario en Cartagena, Colombia. Utilizando la racionalidad del concepto de desarrollo local, un modelo probabilístico para determinar la probabilidad de pobreza y la información proveniente del Censo Poblacional 2007 y la Encuesta de Hogares 2009 implementados por la Fundación Surtigas, se confirma la presunción teórica de que la exclusión y la vulnerabilidad de la población afro-descendiente, en cuanto al mercado laboral y la generación de ingresos, están asociadas a incrementos importantes en la probabilidad de ocurrencia de la pobreza.
Palabras Clave
Economía regional; desarrollo local, modelos econométricos de probabilidad; pobreza. Clasificación JEL: R11; O18; I32; C59
Contenido
Introducción; 1. Desarrollo local; 2. Desarrollo local en Orika; 3. Modelo probabilístico; 4. Impactos de política pública; 5. Conclusiones; Bibliografía; Anexo.Abstract
The purpose of this article is to evaluate the actual status of local development in Orika, main human settlement in Isla Grande, which is the biggest of 27 islands located in Rosario islands archipelago in Cartagena, Colombia. Using the rationality of the local development concept with a probabilistic model that determines poverty‘s probability and information from the 2007 Population Census and the 2009 Household Survey implemented by Surtigas Foundation, the theoretical assumption is confirmed, in where exclusion and vulnerability of the afro descendant population concerning labor market and income generation are associated to important increases in poverty probability occurrence.
Key Words
Regional economics, local development, probabilistic econometric models, poverty. JEL Classification: R11; O18; I32; C59
Content
Introduction; 1. Local development; 2. Local development in Orika; 3. Probabilistic model; 4. Public policy impacts; 5. Conclusions; Bibliography; AttachmentsResumo
O objetivo do presente documento é avaliar o estado atual do desenvolvimento local em Orika, principal assentamento humano localizado em Ilha Grande, a maior das 27 ilhas que compõem o arquipélago das Ilhas do Rosario em Cartagena, Colombia. Usando a racionalidade do conceito de desenvolvimento local, um modelo probabilístico para determinar a probabilidade de pobreza e a informação proveniente do Censo populacional 2007 e o Sondagem de Lares 2009 implementados pela fundação Surtigas, a presunção teórica que a exclusão e a vulnerabilidade da população afro-descendente em quanto ao mercado laboral e a geração de ingresso estão associadas a incrementos importantes na probabilidade de ocorrência da pobreza é confirmada.
Palavras-Chaves
Economia regional; desenvolvimento local, modelos econométricos de probabilidade, pobreza Classificação JEL: R11; O18; I32; C59
Conteúdo
Introdução; 1. Desenvolvimento local; 2. Desenvolvimento local em Orika; 3. Modelo probabilistico; 4. Impactos de política pública; 5. Conclusões; Bibliografia; Anexo
INTRODUCCIÓN
Los procesos de apertura económica y descentralización pública han impuesto nuevos retos y transformaciones al desarrollo local, que ha evolucionado desde los esquemas de intervención de gobiernos centrales basados en programas agresivos de inversión pública en donde las causas del crecimiento y desarrollo eran exógenas, hasta la noción de un desarrollo endógeno que refuerza la cooperación del sector privado, sindicatos, organizaciones comunitarias, y no gubernamentales con el objeto de desarrollar habilidades específicas, recursos y regulación acordes con los objetivos de crecimiento económico local.
El objetivo de este trabajo es evaluar el estado actual del desarrollo local de Orika, principal asentamiento humano de Isla Grande, la mayor de las 27 islas que componen el archipiélago de las Islas del Rosario en Cartagena, Bolívar, Colombia. Utilizando la racionalidad del concepto de desarrollo local, y un modelo probabilístico para determinar la probabilidad de pobreza. Para la estimación de los modelos, se empleó la información proveniente del Censo Poblacional 2007 y de la Encuesta de Hogares 2009, instrumentos implementados por la Fundación Surtigas en las Islas del Rosario y en Isla Grande, respectivamente.
La metodología incluye la estimación de índices de ingresos, de desarrollo humano y de pobreza con el fin de evaluar la situación actual de la población en los ámbitos de educación, salud, e ingresos. Al mismo tiempo, se estima un modelo de respuesta cualitativa en donde la variable dependiente es la condición de pobreza, definida como ingresos per cápita inferiores a la línea de pobreza, y las variables independientes se asocian en categorías conceptuales tales como capital público, capital financiero, capital social, mercado laboral, y educación. El principal resultado indica ausencia de políticas públicas orientadas a la generación de ingresos que garanticen un desarrollo sostenible y auto-sostenido, y una focalización perjudicial, en términos de probabilidad de ocurrencia de la pobreza, en la utilización de políticas públicas pasivas.
El documento se encuentra dividido en cinco secciones. La primera discute el concepto de desarrollo económico local. La segunda sección presenta un análisis de la pobreza en Orika utilizando indicadores de medición de la pobreza de ingresos, y las estimaciones de los índices de desarrollo humano (IDH) y de pobreza humana (IPH) propuestos por el Programa de las Naciones Unidas para el Desarrollo (PNUD). La tercera sección contiene la identificación del modelo estructural de probabilidad, la estimación del modelo empírico y la discusión e interpretación de los efectos marginales de cada una de las variables independientes en la probabilidad de ocurrencia de la pobreza. En la cuarta sección se construye un escenario base para simular escenarios de política pública pasiva y activa, y determinar sus efectos sobre la probabilidad de ocurrencia de la pobreza. La quinta sección resume las principales conclusiones del documento. Al final, se presenta un anexo, en el cual se discute la obtención de los estimadores del modelo estructural de probabilidad.
1. DESARROLLO LOCAL
El desarrollo local es una alternativa de fortalecimiento democrático, económico y social, cuyo propósito es impulsar el empoderamiento político y económico necesario para promover las condiciones de vida, el nivel de ingreso y las oportunidades de crecimiento individual y colectivo, necesarias para reducir los niveles de pobreza y garantizar una senda de desarrollo económico y social sostenible en el mediano y largo plazo. Es un proceso a partir del cual el sector público, el sector privado, las entidades no gubernamentales y la comunidad que habita un territorio específico unen esfuerzos para crear espacios de diálogo, concertación e intercambio, que facilitan el desarrollo económico y social de la población.
El desarrollo local es un concepto complejo que requiere para su elaboración de una teoría que incluya elementos económicos y sociales, de modo que el proyecto de comunidad, que resulta de su aplicación, incorpore dentro de sus objetivos no solo la generación de crecimiento económico, sino, al mismo tiempo, equidad, cambio social, cultural, sustentabilidad ecológica, enfoque de género, calidad, equilibrio espacial y territorial (Sosa, 2007). A diferencia de las teorías de crecimiento económico en donde la visión funcional de los procesos de acumulación de capital puede ser inducida por una lógica de arriba-abajo, centro-periferia, el desarrollo local enfatiza en la visión territorial en donde las capacidades del territorio son puestas al servicio de un proyecto comunitario liderado por el recurso humano en torno a un capital sinérgico intangible que hace visible la potencialidad endógena del territorio con el objeto de promover un cambio estructural en la calidad de vida de la población, en una lógica de abajo-arriba y hacia los lados o, si prefiere, de adentro hacia afuera (Boisier, 1999). Las fuerzas y los mecanismos que regulan la acumulación de capital en el ámbito local están asociadas a la difusión de innovaciones, la organización flexible de la producción, el desarrollo urbano, y la dinámica institucional (Vázquez, 2005).
La génesis y transformación de los procesos de desarrollo local planteados por Cohard (2009) describen la metamorfosis que experimenta el desarrollo local en cuatro círculos concéntricos. Al inicio de la transformación, se encuentran los determinantes de la consolidación y el crecimiento asociados a la existencia de empresarios, instrumentos de cooperación, economías de urbanización, y planificación estratégica territorial. La articulación adecuada de dichos determinantes con un territorio que presenta condiciones económicas y sociales propicias para el surgimiento de un cambio estructural tales como disponibilidad de mano de obra abundante y barata, población relativamente joven, y flexibilidad de las empresas locales en los procesos de contratación conduce a una segunda transformación a través de la cual la colectividad territorial innova en la utilización de recursos endógenos con el objeto de encontrar soluciones competitivas a problemas de pobreza. La cooperación y la competencia, aunadas a los mecanismos culturales e institucionales, transmiten el conocimiento mercadotécnico necesario para convertir la innovación en entornos innovadores y distritos industriales cuyo contenido determina la tercera transformación que sugiere la consolidación y la aparición de los desafíos propios al despliegue del sistema productivo. La resolución de des-economías ocasionadas en la adaptación de los proveedores locales al nuevo sistema productivo, y localizadas en los efectos adversos de las proximidades cognitivas señalan la capacidad del sistema económico y social de expandirse en una última transformación que garantiza crecimiento y desarrollo.
La investigación de Cohard (2009) contrasta con la propuesta de Boisier (2009) en cuanto a la importancia del territorio en los procesos de transformación ocasionados por la creatividad. Según Boisier (2009) el argumento inicial de la transformación de la alternativa económica no descansa exclusivamente en condiciones económicas propicias para un cambio estructural; requiere, además, de un elevado stock de capital social y capacidad sinérgica que emerge del territorio en una estructura sistémica dirigida, que se elabora con base en conocimiento codificado, producto de inversiones en investigación y desarrollo, y de conocimiento tácito. Por lo tanto, los factores determinantes del desarrollo local exitoso son la presencia de un recurso endógeno insólito, un conocimiento popular y tácito, una universidad regional, y un fondo estatal de financiamiento entrelazados en un sistema productivo e institucional. De lo anterior se deriva la necesidad de un enfoque sistémico en reemplazo del reduccionismo funcional que ahonde en las tendencias de reproducción del capital social y del capital sinérgico para descubrir las limitaciones que suponen la ausencia de las fuerzas y mecanismos que regulan la acumulación de capital en el ámbito local de Vázquez (2005), y la génesis y transformación propuesta por Cohard (2009).
El desarrollo económico local es entendido entonces como una herramienta del desarrollo local para construir socialmente un territorio. Un incremento sostenido en el ingreso per cápita tendrá efectos duraderos sobre el bienestar de un sujeto colectivo si un sistema económico y social produce en forma eficiente, distribuye en forma equitativa, y favorece la reproducción de capital social y capital sinérgico a través de las instituciones. La aparición de la pobreza, definida como escasez de recursos para garantizar una subsistencia digna, o la falta de oportunidades ocasionada por exclusión social, es un síntoma de una falla de mercado que no ha sido apropiadamente corregida por la acción pública. Debido a que las condiciones de la pobreza se integran a la cotidianidad social según Friedman (1954) a través de elementos relacionados con la movilidad geográfica y social, elementos relacionados con las condiciones biológicas de la población, y elementos relacionados con los valores sociales y las actitudes, a cada nueva generación le resultará más difícil promover cambios de comportamiento que incentiven las condiciones de marginalidad adheridas a la pobreza. En consecuencia, para lograr un progreso económico sostenible en condiciones de pobreza, la naturaleza del entorno social es más relevante que las consideraciones técnicas referentes al ingreso per cápita debido a su impacto en la reproducción de capital social y sinérgico.
Inherente al proceso de cambio estructural, se encuentra la capacidad de la sociedad para transformarse a partir de las decisiones de sus integrantes aglutinados alrededor de un determinado stock de capital social. Los colectivos humanos con un capital social fuertemente arraigado al territorio reducen los costos de transacción involucrados en las transacciones políticas que determinan la ideología y que posteriormente orientan la asignación de recursos a través de políticas públicas, al mismo tiempo que favorecen la difusión por innovación o imitación del progreso tecnológico, como lo describe Alburquerque (1997). Los sistemas institucionales se convierten en una limitación cuando no logran introducir formas específicas de regulación que favorezcan la reproducción del capital social y sinérgico necesario para estimular un entorno de continuo esfuerzo creativo. El desarrollo local se configura como una alternativa de cambio estructural a partir de consensos comunitarios en donde se promueve el liderazgo dinámico y creativo, y en donde existe una fuerte motivación individual para el avance material apoyada en comportamientos sociales en la línea de Friedman (1954). A diferencia del desarrollo endógeno que requiere de la participación directa de la política pública en cuanto al financiamiento de servicios públicos, e infraestructura pesada para promover un cambio estructural, el desarrollo local puede promoverlo sin la presencia directa de la política pública en entornos en los cuales la construcción de ideología ha afectado la asignación de recursos y los mecanismos de reproducción del capital social necesario para la reducción de la pobreza.
Boisier (2009, p. 34) presenta un caso de estudio en el cual se describe la creación de capacidad de sinergia en un territorio:
... con los peores indicadores económicos y sociales en Chile, pero con mucho de aquello anotado por Loigner en el plano de la psicología colectiva y de las emociones, sentimientos como condiciones de entorno para la creatividad, más un conocimiento tácito, un saber popular encriptado en la cultura del territorio, más un científico capaz de descubrir oportunidades donde otros solo ven peligros y dificultades, más una universidad propiamente regional que no solo asume su responsabilidad como “cerebro de la región” como lo sostenía medio siglo atrás Jacques Boudeville, sino que está inmersa en un sistema altamente competitivo, más un sistema nacional de financiamiento de la ciencia y la tecnología, eficiente y transparente.
Al mismo respecto, Cohard (2009, p. 46) anota con relación a la experiencia del desarrollo local en Europa: “el proceso que aquí se está explicando se ha llevado a cabo sin intervención pública o al menos intervención pública que tuviera como objetivo el desarrollo de un sistema local de empresas en un determinado territorio para crear empleo territorializado”.
En la caja negra del desarrollo que discute Vázquez (2005) en donde coexisten economías ocultas en los sistemas productivos y sistemas institucionales con altos costos de transacción, se esconden los mayores obstáculos a la consecución de la utopía social del desarrollo. La distancia virtual que asume la reforestación de los procesos de producción con tecnologías de información parece ser demasiado corta para entender la dimensión preponderante de la cercanía, la interacción, y la asociación local como elementos constitutivos de la construcción social de un territorio. El fortalecimiento de la sociedad civil en cuanto a la capacidad de descubrir las economías ocultas en la territorialidad emerge, desde el punto del vista del desarrollo local-endógeno, como un mecanismo más preciso para describir el funcionamiento de las fuerzas que impulsan los procesos de transformación hacia el desarrollo. La consecución de rendimientos crecientes en la utilización de insumos que conduzcan a la aparición de economías internas, externas, de diversidad y de escala, en conjunto con sistemas institucionales que regulan la formación de capital social a través de normas y reglas de juego, que promuevan la confianza y el reconocimiento de sentido colectivo necesario para fortalecer la credibilidad del sujeto colectivo ocurren en entornos con redes sociales que permiten la difusión del conocimiento en una continua estimulación de la innovación.
El redescubrimiento del poder de la ciudadanía en la descentralización política, entendida como un mecanismo de profundización de la democracia, es una condición inaplazable para fomentar el sustento cultural del cual está hecho el espíritu del territorio que descubre economías ocultas y determina la formación de ideología consecuente con las necesidades económicas y sociales del momento histórico de una sociedad. En ese sentido, el concepto desarrollo a escala humana planteado por Max-Neef, Elizalde y Hopenhayn (1986)1 en el cual se avanza hacia la subjetivizacion del desarrollo y la categorización de recursos intangibles facilita la visibilidad en el territorio de lo inmaterial, como lo comenta posteriormente Boisier (1999, p. 20): “el punto de partida está en reconocer que el desarrollo tal y como se le entiende hoy día, pero como siempre ha sido es un proceso que, requiriendo una base material, no oculta su naturaleza intangible, como se discutió inicialmente. Siendo ello así, procede reconocer, con toda lógica, que sus factores determinantes o causales deben ser de igual dimensión y estos varios factores se han agrupado en categorías o diferentes clases de capital intangible”.
En consecuencia, el desarrollo económico local-endógeno en condiciones de descentralización y apertura económica puede ser definido como un proceso en el cual se establecen alianzas entre el sector público, el sector privado, las comunidades, las organizaciones no gubernamentales y demás actores locales, con el objeto de administrar con eficacia y eficiencia los recursos disponibles, de tal forma que se logre generar empleo y estimular la economía de un territorio (Helmsing, 2001). Enfatiza en la participación activa de la comunidad y la gestión de los gobiernos locales, usando el potencial endógeno del territorio e implementando iniciativas con acciones estratégicas, en las cuales los actores de desarrollo cohesionados en torno a un capital social sinérgico intangible, construyen sistemas productivos e institucionales promotores de crecimiento económico y desarrollo.
2. DESARROLLO LOCAL EN ORIKA
Orika2, principal asentamiento afro-descendiente localizado en Isla Grande, la mayor de las 27 islas que componen el archipiélago de las Islas del Rosario, está situada a 45 kilómetros al noroeste de la ciudad de Cartagena de Indias, en la costa norte de la República de Colombia. Al igual que la mayoría de las islas hace parte de uno de los atractivos turísticos más rentables de la costa atlántica, y del parque nacional natural Corales del Rosario y San Bernardo (PNN CRSB), el cual fue creado en 1977 con el objeto de resguardar una de las reservas más importantes de arrecifes coralinos de la costa Caribe. Según la CTC (2009) solo en el 2008 las islas recibieron más de 300 mil personas, tendencia creciente que se consolida con el incremento de 33,7% del flujo de turistas observado en Junio de 2009, y que convierte al archipiélago en uno de los 10 destinos turísticos más atractivos del mundo.
El impresionante desarrollo turístico no se compara con el rezago que se observa en el desarrollo humano de la población raizal afro-descendiente. De acuerdo con el censo población realizado por la Fundación Surtigas (2007) que encuesta a 718 personas, 72% de la población total de las islas residía en Orika (532 personas3), de los cuales 89% percibían ingresos por debajo de $164,055 mensuales, umbral considerado como la línea de pobreza, DNP (2006, p.19). La encuesta de hogares diligenciada por 629 personas y realizada por la Fundación Surtigas (2009) revela un panorama no menos desalentador: la generación de ingresos no ha variado significativamente en relación a 2007, localizando la incidencia de la pobreza en 72%, una ganancia paupérrima si se considera el incremento sustancial en el turismo, principal renglón económico de las islas.
De acuerdo con la información de la Fundación Surtigas (2007, y 2009), en promedio, el ingreso per cápita anual de un raizal afro-descendiente en 2009 es de $1.626.186, lo que equivale a tres salarios mínimos mensuales vigentes, y a un aumento de 32% en relación con el salario per cápita anual en 2007. El incremento en el ingreso no se refleja en una mejora en la distribución del ingreso que continúa presentando alta concentración con relación a 2009 como lo indican las estimaciones de distribución del ingreso que se presentan en el grafico 1 y la tabla 1.
A 2009, 75% de la población recibió 49% de la producción total, solo 4 puntos porcentuales por encima del registro de 2007, mientras 15% de la población obtuvo 51% de la producción total, cuatro puntos porcentuales por debajo del registro de 2007. La brecha entre ricos y pobres se redujo pero continúa en niveles altos para el 5%, 10% y 15% más pobre de la población, que a 2009 obtienen 24, 13, y 9 veces menos que la población más rica.
En 2007 las ocupaciones más frecuentes están localizadas en sectores económicos intensivos en mano de obra, que demandan trabajadores no calificados, situación similar al 2009, que presenta un mercado laboral incipiente caracterizado por la exclusión. Del total de la población en edad de trabajar, la fuerza laboral representa 69%, con una tasa de desempleo de 7,5%; cerca del 8% de los que participan en el mercado laboral han estado buscando empleo durante los últimos 6 meses y 24% no reciben remuneración por la actividad que realizan. La falta de un sistema de transporte que facilite el desplazamiento de la fuerza laboral al mercado de trabajo más cercano reduce las posibilidades de generación de ingresos, mientras favorece la migración como única alternativa de bienestar económico con la consecuente pérdida de identidad y patrimonio cultural. Únicamente la población con edades por encima de 35 años presenta un ingreso per cápita mensual promedio mayor al umbral de ingresos de pobreza definido en $164,055 mensuales lo que indica una ausencia crítica de oportunidades económicas para el mejoramiento de la calidad de vida. De la misma forma que ocurre con los pueblos indígenas, la causa principal de la pobreza no se encuentra en la condición de raizal afro-descendiente, se encuentra en la existencia de una ruptura progresiva de los vínculos entre la participación y la generación de empleo productivo estable en el largo plazo (Bello, 2006).
El índice de desarrollo humano (IDH) que integra las dimensiones de la pobreza relacionadas con la esperanza de vida al nacer, la educación, y el ingreso per cápita confirma los avances logrados desde la perspectiva de ampliación de posibilidades de realización personal. El cuadro 2 presenta las estimaciones para cada componente del índice y el índice agregado4.
La principal dificultad en el desarrollo de capacidades es la generación de ingresos. A pesar del incremento observado del índice de ingresos, que como se discutió anteriormente, refleja una mayor participación de los pobres en el ingreso total, no equipara los avances en educación logrados en los dos últimos años. El índice de nivel educativo, por su parte, indica una mayor participación de la tasa de alfabetismo en comparación con la tasa de escolaridad, es decir, el porcentaje de la población mayor de 15 años con escolaridad mayor a tercero de primaria es mayor al porcentaje de la población entre 7 y 24 años que asiste a algún establecimiento educativo. La desagregación del índice de nivel educativo se presenta en el cuadro 3.
Las “regalías” del ingreso que percibe el sector turismo y que deberían favorecer el desarrollo de la comunidad residente no se han transformado en mejoras substanciales en el nivel de vida de los residentes. Solamente en el mes de junio 2009 se percibieron en promedio por concepto de transportes del flujo de turistas hacia las islas $279,000,000 que equivalen a 27,905 personas, CTC (2009) pagando un importe promedio de $10,000 por persona, lo que representa 25 veces la cantidad de dinero requerida para eliminar la pobreza mensual en Orika.
El índice de pobreza humana (IPH) que mide la carencia de condiciones mínimas para la subsistencia describe en mejor forma cómo los esfuerzos de la comunidad por incrementar su escolaridad, aun a costa de un mayor costo de oportunidad, se ven contrarrestados por la disminución en el cubrimiento de variables de política pública como la tasa de no acceso a agua potable, la tasa de no acceso a servicios de salud y la tasa de desnutrición. El cuadro 4 presenta el IPH con sus componentes estimados5.
El índice de conocimientos que representa la privación de educación, medida como la población mayor de 15 años con menos de tres años de escolaridad ha disminuido considerablemente desde el 2004. El índice de condiciones de vida, que representa las privaciones de la población en acceso a agua potable, servicios de salud y nutrición, medida como el porcentaje de la población que carece de acceso a dichos servicios, disminuyó de 2004 a 2007 y aumentó en 2009. La desagregación del índice de condiciones de vida permite obtener una idea más exacta de la evolución en cada variable (Cuadro 5).
La tasa de no acceso a servicio de salud y la tasa de desnutrición aumentaron a 2009, sin tener en cuenta la restricción natural de acceso a agua potable. Ambas variables, salud y desnutrición, parecen completar el cuadro de ausencia de políticas públicas focalizadas y la reducida capacidad de generación de ingresos. La disminución que se observa a 2007 en ambos indicadores refleja más una política asistencialista dados los altos niveles de desempleo y la excesiva concentración del ingreso, que una política activa que conduzca al incremento de oportunidades de generación de ingresos que se transformen en desarrollo auto sostenido para los raizales afro-descendientes de Orika.
Finalmente, es importante destacar cómo el patrimonio cultural que ensancha el significado de riqueza para la comunidad raizal afro-descendiente pone de manifiesto la incapacidad de los indicadores sociales de incluir la diversidad cultural como parte integrante de la medición de pobreza, como lo reconoce Carvajal (2004, p.15) al referirse a las distorsiones en la comprensión de la espacio-temporalidad de los procesos de desarrollo ocasionadas por la modernización: “en tercer lugar, se ha subestimado la importancia de los valores culturales subyacentes a los paradigmas del desarrollo y planificación, sobre los cuales se ha construido y legitimado un orden social particular”. El pueblo de Orika está incrustado en una situación política y económica ajena a su desarrollo histórico cultural, pero que limita su horizonte de desarrollo al imponer restricciones sobre la titularización de la tierra que, a su vez, inciden en forma definitiva sobre su identidad cultural.
3. MODELO PROBABILÍSTICO6
La estrategia de aproximación empírica a la determinación de la probabilidad de ocurrencia de la pobreza se realiza a partir del reconocimiento de que la variable que se observa es el reflejo de un proceso de generación de datos no observado o latente. Dicho proceso ocurre como consecuencia de la interacción subyacente de las variables demográficas, de participación laboral y de entorno, en las decisiones de asignación de recursos escasos en actividades alternativas por parte de cada individuo. El resultado de dichas decisiones se manifiesta en una condición de pobreza determinada por la cantidad de ingresos en relación con la línea de pobreza, umbral que determina la ocurrencia del evento que se observa. El criterio económico establece la ocurrencia de pobreza cuando el costo marginal es mayor al beneficio marginal de las decisiones inmersas en la asignación de recursos. Por el contrario, si el costo marginal es menor al beneficio marginal, la condición no ocurre y, en consecuencia, el ingreso per cápita es mayor a línea de pobreza. Debido a que el beneficio marginal no es observable, se representa como una variable latente, de esta manera:
En donde se asume que la distribución de μ es normal con media cero y varianza logística. Los datos de pobreza que se observan son el resultado del contraste no observado con el umbral lo que determina si el costo marginal es mayor o menor al beneficio marginal, dicho de otra forma:
De donde se obtiene:
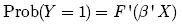
La probabilidad de ocurrencia del acontecimiento Y = 1 puede describirse con base en las ecuaciones (2) y (3) como:
De donde se obtiene:
La ecuación (7) contiene la función de distribución acumulada F(β'X) que determina la probabilidad de ocurrencia del evento. Dependiendo del tipo de supuesto que se realiza sobre la función de distribución acumulada (f.d.a.) se tiene un modelo lineal (f.d.a., lineal), probit (f.d.a., normal), o logit (f.d.a., logística). De lo anterior se sigue,
La ecuación (8) determina el modelo estructural de probabilidad en donde el vector de regresores X está compuesto por 7 bloques de variables que incluyen información demográfica (sexo, edad, estado civil), del mercado laboral (participación, posición ocupacional: obrero particular, jornalero, y cuenta propia), de actividades económicas en el hogar, de afiliación a esquemas de salud contributivo, de educación (primaria, bachillerato, y educación no formal), de capital financiero (tenencia de la vivienda, ahorro), de capital social (participación en actividades ciudadanas) y de participación en programas de asistencia públicos (registro en Sisben, Familias en Acción FA, programas del Instituto Colombiano de Bienestar Familiar ICBF) y de programas privados de responsabilidad social implementados por la Fundación Surtigas PFS (educación no formal, construcción y entrega de un aljibe para la comercialización de agua y de mejoras en las condiciones de habitabilidad de las viviendas con la provisión de paneles solares y baños). La derivación de los estimadores del modelo estructural de probabilidad se presenta en el anexo.
3.1. Estimación del modelo empírico
El modelo estima la probabilidad de ocurrencia del evento “pobre” en función de las variables binarias sexo, ahorro, tenencia de la vivienda propia, participación en el programa de la Fundación Surtigas de construcción y entrega de un aljibe para la comercialización de agua (PFS), raza, edad, edad al cuadrado para detectar no linealidades con la probabilidad, afiliación a salud en el esquema contributivo, educación primaria (ed1) y educación bachillerato (ed2), participación laboral (pl), posición ocupacional (obrero particular, jornalero, y cuenta propia), actividad económica en el hogar, estado civil (soltero, unión libre), programas del gobierno (ICBF, SISBEN y FA), programas de educación no formal (como por ejemplo la formación en microempresas facilitado por la Fundación Surtigas) y participación en actividades ciudadanas. La estimación captura correlaciones entre las variables, pero debido a que no es posible garantizar independencia en los regresores, las estimaciones no se interpretan como causalidad inequívoca hacia la variable regresada. De esta manera algunas variables estrechamente relacionadas con el evento pobreza, tales como los programas del ICBF, indican la permanencia de la población en regímenes subsidiados cuando eventualmente los ingresos permitan acceder a servicios privados, y no la causalidad del programa subsidiado hacia la reducción de la pobreza.
3.2. Resultados del modelo probit
El cuadro 6 reporta los resultados de estimación de los coeficientes con su correspondiente significancia estadística. La estimación del modelo probit7 se presenta en 7 categorías para facilitar la comprensión relativa de su correlación con la probabilidad de ocurrencia del evento “pobre”.
Las categorías son: características demográficas, mercado laboral, salud, educación, capital financiero, capital social y variables de entorno, las cuales se subdividen en las variables que se presentan en el cuadro 5 que, a su vez, presenta los coeficientes estimados con los correspondientes valores de la probabilidad para cada uno de los “z” estadísticos. Las características demográficas no son estadísticamente significativas para explicar la probabilidad de ocurrencia del evento “pobre”, aunque la dirección del efecto parcial coincide con lo esperado, dada la evaluación económica que se realizó en 2007. Por ejemplo, la probabilidad de pobreza aumenta con la edad a una tasa decreciente, y con la raza a una tasa creciente, mientras que el diferencial de género disminuye la pobreza a favor de los hombres, mientras los hombres solteros o en unión libre tienen menos probabilidad de ser pobres que los hombres casados.
En el mercado laboral las variables de posición ocupacional cuenta propia y actividad económica en el hogar son significativas al 95% y al 99%, respectivamente. Mientras la dirección de los efectos parciales indica que es más probable encontrar a un hombre pobre en aquellos que se desempeñan como cuenta propia que en cualquier otra posición ocupacional. De la misma manera, las familias que desarrollan actividades empresariales en el hogar son más propensas a tener una menor probabilidad de ocurrencia de la pobreza que aquellas que no desarrollan actividades económicas en sus hogares. La participación laboral y las posiciones de obrero particular y jornalero presentan disminuciones en la probabilidad; sin embargo, no son estadísticamente significativas.
El esquema de salud contributivo es estadísticamente significativo y reduce la probabilidad de pobreza. Es mucho más probable encontrar a un individuo no pobre entre aquellos que están registrados en esquemas de salud contributivo que en aquellos que están registrados en esquemas subsidiados. Aunque el desarrollo del mercado laboral sigue siendo incipiente debido a que genera trabajos intensivos en mano de obra, ha permitido que algunos pueden solventar sus gastos de salud en forma estable durante los dos últimos años. Las falencias en demanda y la falta de empleos de calidad aumentan el registro en esquemas subsidiados y, por ende, incrementan la probabilidad de ocurrencia del evento pobreza.
La educación no formal no solo es significativa al reducir la pobreza sino que resulta una mejor inversión que la educación formal. Aquellos que recibieron alguna preparación no formal, que incluye capacitación en cursos de microempresas y en habilidades específicas de comercialización, mercadeo y producción de bienes y servicios, tienen una menor probabilidad de ser pobres en relación con aquellos que realizaron estudios formales de primaria y bachillerato. La escasez de oportunidades laborales estables, unida a una demanda laboral focalizada en mano de obra no capacitada, reduce los retornos de la educación formal, mientras que el desarrollo de nichos empresariales en los hogares articula con mayor facilidad la educación no formal, aumentando su rentabilidad y disminuyendo la probabilidad de ocurrencia de la pobreza.
El capital financiero representa la mejor oportunidad que tienen los residentes de disminuir la probabilidad de pobreza. El ahorro y la tenencia de vivienda propia son altamente significativos y se asocian a reducciones importantes en la probabilidad de ocurrencia de la pobreza. El ahorro es significativo al 99% de confianza, mientras la tenencia de vivienda es significativa al 95% de confianza.
Las variables de entorno hacen referencia a la participación en programas de asistencia social públicos y privados. Dentro de los programas públicos sobresale la significancia estadística de los coeficientes estimados de la relación entre participación en el sistema de identificación de potenciales beneficiarios de programas sociales (Sisben), y beneficiarios de programas del Instituto Colombiano de Bienestar Familiar, aunque con signos opuestos. Debido a que los programas del ICBF no son programas de superación de pobreza sino programas orientados a favorecer el desarrollo adecuado de la niñez en condiciones de pobreza, es mucho más probable encontrar a una persona pobre dentro de los beneficiarios del ICBF que dentro de los beneficiarios del Sisben. Mientras tanto el coeficiente que mide la relación entre los beneficiarios del Sisben y la probabilidad de ocurrencia del evento “pobre” señala que la participación disminuye la probabilidad de pobreza, igual dirección en la correlación se observa en el coeficiente de Familias en Acción y el de proyecto “Aljibe” de la Fundación Surtigas. Aunque la significancia estadística de la participación en dichos programas debería ser un buen síntoma, los coeficientes están sesgados por autoselección, con lo cual la correlación debe interpretarse con cautela hasta no disponer de un dispositivo metodológico que independice los coeficientes de los residuos del modelo y se puedan concluir con mayor precisión los efectos de la participación en los programas sociales sobre la probabilidad de pobreza.
3.3. Efectos marginales
Para evaluar el efecto marginal de cada variable independiente sobre la media condicional de la probabilidad, se estimó la contribución conjunta de las demás variables independientes, utilizando los valores medios de las observaciones con el objeto de separar el efecto de cada variable independiente de interés sobre la probabilidad de ocurrencia de la pobreza, manteniendo el efecto de las demás variables constante. Para facilitar la comprensión del resultado se construyó un índice de variación conjunta para cada variable independiente, y se obtuvo su valor medio y su desviación estándar. Posteriormente el índice se utiliza como variable independiente para estimar la probabilidad de ocurrencia del evento “pobre” cuando la variable de interés es cero y cuando es uno. Las estimaciones se realizan en tres diferentes escenarios para el índice de variación conjunta definido a partir de 1, 2 y 3 desviaciones estándar, respectivamente. De esta manera, se evaluó la sensibilidad del efecto marginal de una variable explicativa cuando va de 0 a 1 en dos ámbitos: uno de aumento de la pobreza, y otro de disminución de la pobreza, cada uno de los cuales define tres rangos establecidos por la desviación estándar de la contribución conjunta para cada caso. El cuadro 7 presenta las variaciones de la probabilidad de ocurrencia del evento “pobre” para cada variable explicativa.
El diferencial de género favorece a los hombres en condiciones de disminuciones de pobreza, mientras que en aumentos continuos de la pobreza, la probabilidad de ocurrencia del evento pobre no discrimina entre hombre o mujeres. Los jóvenes de 18 años y los adultos de 36 años tienen la misma probabilidad de ser pobres en casi todos los escenarios, exceptuando fuertes disminuciones de la pobreza en donde la probabilidad de ser pobre aumenta para los jóvenes. La tenencia de vivienda está fuertemente correlacionada con disminuciones en la probabilidad de ocurrencia de la pobreza; en la medida en que disminuye la pobreza medida por la variación covariada la tenencia de vivienda propia se asocia con niveles más bajos de la probabilidad de ser pobre, y en la medida que aumenta la pobreza, la tenencia de vivienda sigue estando asociada con disminuciones en la probabilidad de ser pobre. De igual forma ocurre con la educación, en donde se observa una mayor correlación de la educación secundaria con disminuciones en la probabilidad de ser pobre en todos los escenarios, y en la participación en el mercado laboral.
Ante aumentos en los niveles de pobreza, la posición ocupacional que mejores dividendos presenta en términos de la disminución de la probabilidad es la de jornalero, mientras que en escenarios de aumento de la pobreza la ocupación con mayores disminuciones en la probabilidad de ser pobre es la de cuenta propia. Los solteros, en relación con los casados, se asocian con menores probabilidades de ser pobres en situaciones de disminuciones en la pobreza, mientras las personas en unión libre tienen la misma probabilidad de ser pobres que los casados en situaciones de disminución o aumentos de la pobreza. Debido a que el objetivo de los programas del ICBF es subsidiar el cuidado de infantes de las familias pobres, los beneficiarios de dichos programas se asocian con aumentos en la probabilidad de ser pobres en condiciones de aumentos y disminuciones de la pobreza medida por las variaciones en la contribución covariada.
Los beneficiarios del Sisben y de Familias en Acción, se asocian fuertemente con disminuciones en la probabilidad de ser pobres en todos los escenarios de aumentos y disminución de la pobreza. Las disminuciones más sustanciales en la probabilidad se asocian a los beneficiarios de los programas de educación no formal, que han recibido capacitación a través de los programas de la Fundación Surtigas entre los cuales se cuentan capacitaciones en la formación de microempresas y en habilidad específicas relacionadas con la producción y el mercadeo de productos. La participación ciudadana en actividades comunitarias se asocia más fuertemente con disminuciones en la probabilidad de ser pobre en el escenario de disminuciones de la pobreza que en el escenario de aumentos de la pobreza. Finalmente, el programa de construcción y entrega del aljibe como empresa comercializadora de agua por parte de la Fundación Surtigas a los habitantes de Isla Grande, se asocia con disminuciones en la probabilidad de ser pobre en especial en un escenario de disminución de pobreza, aunque sigue reduciendo la probabilidad de ocurrencia del evento, aun en una situación de incremento leve de la pobreza medida por una desviación estándar de la contribución covariada.
El efecto marginal de las variables explicativas con mayor impacto sobre la disminución de la probabilidad de pobreza se presenta en los gráficos 2, 3 y 4. El gráfico 2, compuesto por un panel de tres gráficos, representa el efecto marginal de la variable explicativa “actividad económica en el hogar” cuando va de 0 a 1, manteniendo constante la contribución conjunta de los demás variables independientes para 1, 2 y 3 desviaciones estándar de la variación conjunta, respectivamente. La primera grafica del panel presenta la probabilidad de ocurrencia del evento pobre para los tres escenarios de variación conjunta descritos anteriormente. Como se observa, en todos los casos la ocurrencia de una “actividad económica en el hogar” se asocia con disminuciones en la probabilidad de ocurrencia del evento pobre.
La segunda gráfica presenta el efecto parcial para la variación conjunta sin modificaciones. Como se observa, la probabilidad de ocurrencia de la pobreza descrita sobre la línea gris del grafico que representa la probabilidad estimada incluyendo la variable explicativa “actividad económica en el hogar” se asocia con menores niveles de probabilidad en relación a los niveles de probabilidad estimada con la no ocurrencia de la variable explicativa, y descritos sobre la línea negra.
De esta manera, para todo el rango de la contribución conjunta, el efecto marginal de la variable explicativa “actividad económica en el hogar” se asocia con disminuciones en la probabilidad de ocurrencia del evento pobre. La tercera gráfica presenta las diferencias entre la existencia y la no existencia de la variable explicativa (diferencia geométrica entre la línea gris y la línea negra) en el modelo, de la cual se infiere que la existencia de actividades económicas en el hogar está más fuertemente asociada con menores probabilidades de ser pobre.
El gráfico 3 y el gráfico 4 presentan el efecto marginal de los regresores “Beneficiarios de los programas Sisben” y “Beneficiarios de programas de educación no formal”. Los programas de Sisben se asocian más fuertemente con menores probabilidades de ser pobre en el escenario de disminución de la pobreza, mientras los programas de educación formal están fuertemente correlacionados con disminuciones en la probabilidad de ser pobre en ambos ámbitos de aumento y disminución de la pobreza.
4. IMPACTOS DE POLÍTICA PÚBLICA
Las estimaciones de los parámetros del modelo se utilizaron para realizar simulaciones de política pública en dos escenarios: un escenario de política pública activa, compuesto por la presencia simultánea de las variables educación no formal, el esquema de salud contributivo, la participación laboral y alguna actividad económica en el hogar, y un escenario de política pública pasiva elaborado a partir de programas públicos y privados de asistencia, tales como el registro en Sisben, FA y en el programa de construcción y entrega de un aljibe para la comercialización de agua por parte de la Fundación Surtigas a los residentes de Isla Grande. El cuadro 8 presenta los resultados de las simulaciones.
El escenario base lo constituye un hombre jefe de hogar de 23 años en unión libre con casa propia, que no es beneficiario de programas públicos ni privados, es raizal afro-descendiente, participa en el mercado laboral como cuenta propia, no desarrolla ninguna actividad económica en el hogar, recibe subsidios del ICBF, no cotiza en esquema de salud contributivo y participa en actividades ciudadanas.
La presencia simultánea de programas de educación no formal, con una participación laboral a través de microempresas familiares sólidas que garantizan un flujo suficientemente estable de ingresos como para financiar esquemas contributivos de salud, se asocia con una reducción considerable en la probabilidad de ocurrencia del evento pobre. La implementación de la política pública activa sobre el escenario base resulta en un ganancia de más de 40 puntos porcentuales en contra de la probabilidad de ocurrencia del evento pobre. Aunque la existencia de endogeneidad en el modelo de respuesta cualitativa probit no permite concluir con certeza que se trata de una causalidad estricta, los intervalos de confianza elaborados para la correlación de cada regresor en el escenario de política pública activa coinciden en reafirmar la persistencia de los movimientos a favor de una disminución en la probabilidad de ocurrencia del evento pobre (Cuadro 9).
La política pública pasiva, a diferencia de la activa, se caracteriza por la implementación de programas de subsidios y asistencia pública o privada en la forma de programas sociales cuyo objetivo es mejorar el cubrimiento en servicios de salud o las condiciones de vida de las familias a través de mejoras en los servicios públicos y en la habitabilidad de las viviendas. Para la implementación del escenario de política pública pasiva se incorporaron los programas de registro al Sisben, el programa de Familias en Acción y el programa de construcción y entrega de un aljibe para la comercialización de agua por parte de la Fundación Surtigas al escenario base. La participación simultánea en los tres programas se asocia con una disminución de 4 puntos porcentuales en la probabilidad de ocurrencia del evento pobre.
Debido a la existencia de autoselección los intervalos de confianza y la significancia estadística no resultan tan precisos como en el caso de la política pública activa. La persistencia en la contribución negativa de cada regresor a la probabilidad de ocurrencia del evento pobre es menos significativa e incluye puntos mínimos positivos en un intervalo de 95% de confianza (Cuadro 10).
5. CONCLUSIONES
El desarrollo económico local-endógeno enfatiza en la participación activa de la comunidad y la gestión de los gobiernos locales, usando el potencial endógeno del territorio, e implementando iniciativas con acciones estratégicas, en las cuales los actores de desarrollo cohesionados en torno a un capital social sinérgico intangible construyen sistemas productivos e institucionales promotores de crecimiento económico y desarrollo.
El impresionante desarrollo turístico de las Islas del Rosario no se compara con el rezago que se observa en el desarrollo humano de la población raizal afro-descendiente. Aunque se observa un incremento en los ingresos con una mejora en la distribución debido a una mayor participación de los pobres en el ingreso total, la estrechez y exclusión del mercado laboral dificultan su sostenibilidad y empeoran aún más la situación de vulnerabilidad de ingresos, disminuyendo las oportunidades de desarrollo auto-sostenible en el largo plazo. El ahorro, la tenencia de la vivienda, la educación no formal y el establecimiento de actividades económicas en el hogar determinan un perfil económico asociado a una menor probabilidad de ocurrencia de la pobreza.
La política pública pasiva, definida como la participación en los programas sociales públicos del Sisben, Familias en Acción, y el programa “Aljibe” de la Fundación Surtigas está asociada con una disminución en 4 puntos porcentuales en la probabilidad de ocurrencia de la pobreza, mientras la política pública activa, definida como la participación en educación no formal, incrementos en las actividades económicas en los hogares, participación laboral y la suscripción a un esquema contributivo de salud, está asociada con una disminución en 40 puntos porcentuales en la probabilidad de ocurrencia de la pobreza.
A pesar de las dificultades que plantea el problema de endogeneidad, el modelo de respuesta cualitativa probit ofrece una primera aproximación a la dirección de la correlación que, aunque sesgada, focaliza la atención en los programas públicos al mismo tiempo que controla por la mayor cantidad de variables representativas con el objeto de aislar del residuo los componentes asociados a los regresores incorporados. Los resultados del modelo econométrico confirman la presunción teórica de que la exclusión y la vulnerabilidad de la población afro-descendiente en cuanto al mercado laboral y la generación de ingresos están asociadas a incrementos importantes en la probabilidad de ocurrencia de la pobreza.
BIBLIOGRAFÍA
1. Alburquerque, F. (1997). El proceso de construcción social del territorio para el desarrollo económico local. Instituto Latinoamericano y del Caribe de Planeación Económica y Social, CEPAL - Consejo regional de Planificación, pp. 1-23. [ Links ]
2. Alarcón, Diana (2001). Medición de las condiciones de vida. [En línea] Documento de trabajo del Instituto Interamericano para el desarrollo social (INDES), Banco Interamericano de Desarrollo. Disponible en: <http://idbdocs.iadb.org/wsdocs/getdocument.aspx?docnum=387793>. [Consultado el 11 de agosto de 2009]. [ Links ]
3. Bello, Álvaro. (2006). Desafíos metodológicos y políticos para la medición de la pobreza desde la perspectiva de los pueblos indígenas. [En línea] Documento presentado en: Género, pobreza, raza, etnia: estado de la situación en América Latina. Santiago de chile, noviembre de 2006. Disponible en: <http://www.rimisp.org/boletines/bol73/doc9.zip>. [Consultado el 11 de agosto de 2009]. [ Links ]
4. Boisier, S.; Hilhorst J., G. M. y Uribe Echavarría, F. (1982). Experiencias de planificación regional en América Latina: una teoría en busca de una práctica. Editorial SIAP-CEPAL, Santiago de Chile. [ Links ]
5. Boisier, S. (2009). Sinergia e innovación local. En: Semestre Económico, Vol 12, No. 24, pp. 21-35. [ Links ]
6. Boisier, S. (1999). Desarrollo local: ¿de qué estamos hablando? Documento comisionado por la Cámara de Comercio de Manizales, Colombia, 24 p. [ Links ]
7. Cameron, A. y Trivedi, P. (2009). Microeconometrics using Stata. 1a ed., Ed. Stata Corp., 655 p. [ Links ]
8. Carvajal, A. (2004). Cultural y desarrollo local. Escuela de Trabajo Social y Desarrollo Humano, Universidad del Valle, 71 p. [ Links ]
9. Cohard, J. (2009). Los procesos de desarrollo local desde la perspectiva Europea: génesis y transformación. En: Semestre Económico, Vol 12, No. 24, pp. 37-55. [ Links ]
10. CTC -Corporación de Turismo de Cartagena- (2009). Islas del Rosario, la más atractiva. [En línea] Julio 7 de 2009, 3 p. Disponible en: <http://www.turismocartagenadeindias.com/es/muestra-noticias.htm?20990541>. [Consultado el 11 de agosto de 2009]. [ Links ]
11. DNP (2006). Construcción de canastas normativas de alimentos para trece ciudades resto urbano, y zona rural. Departamento Nacional de Planeación, 39 p. [ Links ]
12. El universal (2009). Islas del Rosario, entre los 10 destinos más atractivos. [En línea] Disponible en <http://www.eluniversal.com.co/v2/cartagena/local/islas-del-rosario-entre-los-10-destinos-mas-atractivos>. [Consultado el 11 de agosto de 2009]. [ Links ]
13. Friedmann, J. (1954). Notes on the social conditions of economic progress. Ethics, Vol. 64, No. 4. pp. 302-306. [ Links ]
14. Greene, William (1999). Análisis econométrico. 3ª ed., Madrid, Ed. Prentice Hall Iberia, Cap. 19, p.749-771. [ Links ]
15. Gujarati, Damodar (2004). Econometría. 4ª ed., México, Ed. McGraw Hill Interamericana, Cap. 15 y 16, pp. 560-631. [ Links ]
16. Helmsing, A. H. J. (2001). Partnerships, mesoinstitutions, and learning. New local and regional economic development initiatives in Latin America. [En línea] Institute of Social Studies, The Hague, The Netherlands. Disponible en: <http://www.ucl.ac.uk/dpu-projects/drivers_urb_change/urb_economy/pdf_glob_SAP/ISS_Helmsing_.pdf>. [Consultado el 11 de agosto de 2009]. [ Links ]
17. ILPES (2001). El uso de indicadores socioeconómicos en la formulación y evaluación de proyectos sociales, aplicación metodológica. Manual 15, 109 p. [ Links ]
18. Leibovich, J. y Núñez, J. (1999). Los activos y recursos de la población pobre en Colombia. Working Paper 5-359, Banco interamericano de desarrollo, pp. 1-38. [ Links ]
19. Lora Eduardo (2005). Técnicas de medición económica. 3ª ed., Colombia, Ed. Alfaomega. Cap. 1-4, pp. 1-103. [ Links ]
20. Congreso de Colombia (1993). LEY 70 de 1993. [En línea], disponible en <http://www.dnp.gov.co/archivos/documentos/DDTS_plan_integral_afro/LEY_70_1993_AFRO[1].pdf>. [Consultado el 30 de marzo de 2010]. [ Links ]
21. Maillat, D. (1998) Innovative milieux and new generations of regional policies. En: Entrepreneurship and Regional Development, Vol. 10, pp. 1-16. [ Links ]
22. Max-Neef, M.; Elizalde, A. y Hopenhayn, M. (1986). Desarrollo a Escala Humana. En: Development Dialogue, Número especial 1986, Fundación Dag Hammarskjold, Uppsala, 96 p. [ Links ]
23. Muñoz, Manuel y Rivas, Guillermo (2006). Construcción de canastas normativas de alimentos para trece ciudades resto urbano, y zona rural. Departamento Nacional de Planeación, 39 p. [ Links ]
24. Pulsenelli, María; Ciampalini, Francesca; Tiezzi, Enzo y Zappi, Carlo (2006). The index of sustainable economic welfare for a local authority. En: Ecological Economics, Vol. 60, No. 1, pp. 271-281. [ Links ]
25. Prieto William (2008). Desarrollo local en las Islas del Rosario. En: Revista Panorama Económico, No. 15, Facultad de Ciencias Económicas, Universidad de Cartagena, pp. 1-60. [ Links ]
26.Prieto William. (2007). Estudios socioeconómico y plan de desarrollo local para las Islas del Rosario, Convenio Fundación Surtigas-Universidad de Cartagena, Mimeo, 150 p. [ Links ]
27. Sosa, Gloria (2007). Desarrollo regional y local: realidades y desafíos del trabajo social. Conferencia presentada en el 12 Congreso Nacional de Trabajo Social 2007, Desarrollo Regional y Local, Realidades y Desafíos para el siglo 21. [ Links ]
28. Stohr, W. y Taylor, F. (1981). Development from above or below? The dialectics of regional planning in developing countries, pp. 9-26. En: Mabogunje, Akin L. y Misra, Rameshwar Prasad (Ed.) (1981) Regional Development Alternatives: International Perspectives. Wiley, London, 322 p. [ Links ]
29. Vázquez, A. (2005). El desarrollo urbano de las regiones periféricas de la nueva Europa. El caso de la ciudad de Vigo en Galicia. Ciudad y Territorio, Estudios Territoriales, Vol. XXXVII, No. 143, pp. 43-59. [ Links ]
30. World Bank (s.f.). Making local economic development strategies: a trainer‘s manual. [En línea] Department for International Development. Disponible en: <http://www.worldbank.org/urban/local/toolkit/docs/trainers-guide-manual.pdf>. [Consultado el 11 de agosto de 2009]. [ Links ]
Recibido: agosto 13 de 2009 Aprobado: mayo 06 de 2010
* El presente artículo de investigación es producto del proyecto de investigación “Pobreza y desarrollo en Isla Grande”, el cual se llevó a cabo con financiación de la Fundación Surtigas en convenio con la firma consultora en políticas públicas +POLIS. Las opiniones y conclusiones del estudio son responsabilidad del autor. El autor agradece los comentarios y sugerencias de los estudiantes del seminario “políticas públicas y desarrollo local” de la Universidad Católica de Colombia
1 Citado por Boisier (1999, p. 5)
2 Orika, princesa africana, hija de Benkós Bioho, víctima de la esclavitud en Cartagena.
3 La población se encuentra distribuida en cinco regiones: Orika, Caño Ratón, El Silencio, El Palmar, y Petare.
4 La metodología de estimación se puede consultar en ILPES, (2001, p.84)
5 La metodología de cálculo de estos indicadores se presenta en ILPES (2001, p.87).6 El anexo técnico estadístico de la estimación del modelo que incluye las pruebas estadísticas relacionadas con la selección del modelo y la programación en el software Stata se encuentra disponible a solicitud del lector interesado.
7 En los modelos probit y logit los coeficientes y z estadísticos son muy similares, indicando que los errores estándar se ajustan en forma similar en los dos modelos. Dado que las estimaciones de los modelos son muy similares se elige al modelo con la mayor función logarítmica de verosimilitud (f.l.v.), en este caso, el modelo probit presenta la f.l.v. menos negativa de los tres modelos implementados; modelo lineal, logit y probit.
ANEXO:
ESTIMACIÓN DEL MODELO ESTRUCTURAL DE PROBABILIDAD
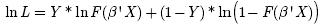
Debido a que la variable cualitativa dependiente tiene dos valores de respuesta mutuamente excluyentes, la probabilidad de ocurrencia del evento Y = 1 se distribuye en forma binomial con media p y varianza p (1p), en donde p es la probabilidad de ocurrencia del evento “pobre” y (1p), es la probabilidad de ocurrencia del evento “no pobre”. Por lo tanto, la probabilidad de ocurrencia del evento (L) se describe por:
Transformando la ecuación (9) utilizando logaritmos para obtener la versión lineal de la relación, se obtiene:
Cuando i > Y = 1, sustituimos la probabilidad por el modelo descrito en la ecuación (7), por lo tanto,
Asumiendo que la fda es una distribución normal tipificada sustituimos F(β’X) por N(β’X) se obtiene:
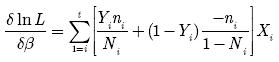
La ecuación (12) es la función objetivo del problema de maximización y es conocida como el logaritmo de la función de verosimilitud. Evaluando la ecuación (12) para todas las observaciones de una muestra aleatoria de tamaño t, y derivando parcialmente con relación al parámetro β se obtiene:
La ecuación (13) es la condición de primer orden para el parámetro β en donde ni es la función de densidad de probabilidad, y Ni es la f.d.a de probabilidad. Debido a que la función de de distribución normal tipificada toma valores entre 0 y 1 la función logarítmica de verosimilitud es negativa y está definida para los valores del parámetro β. El estimador de Máxima Verosimilitud (MV) maximiza (13), es decir, estima el parámetro β de tal manera que la probabilidad de observar el valor determinado de Y sea tan grande como sea posible, manteniendo todos los demás regresores constantes. La estimación se realiza solucionando las condiciones de primer orden para cada regresor, y posteriormente evaluando las condiciones de segundo orden para verificar que se trate de un máximo Green (1999, p. 759).
No hay una solución explícita para los estimadores, puesto que las condiciones de primer orden con respecto a cada parámetro β incluyen términos no lineales, con lo cual la solución del problema de optimización del estimador requiere de un método de solución no lineal numérico. Aunque no es posible obtener las condiciones de maximización explícitas para cada regresor, la teoría de Máxima Verosimilitud garantiza que el estimador en muestras grandes es consistente, asintóticamente normal, y asintóticamente eficiente Wooldridge (2006, p. 626)








































