INTRODUCCIÓN
Para toda sociedad estudiar el fenómeno de la pobreza es un tema fundamental. Por esta razón en las últimas cuatro décadas se ha desarrollado una gran diversidad de investigaciones sobre pobreza, marginalidad y exclusión social, lo cual muestra, no solo la profundidad de la problemática sino también las dificultades para abordarla. En América Latina también ha sido importante el tema de la pobreza tanto en el ámbito científico como en el político. Por tal motivo se ha incluido en las agendas de Venezuela y de Colombia.
Debido a la gravedad del fenómeno de la pobreza, en el año 2000 se reunieron 189 jefes de Estado y de Gobierno, y se comprometieron en la ONU a reducirla antes del año 2015, al firmar los ocho objetivos de desarrollo del milenio (ODM): 1. erradicar la pobreza extrema y el hambre; 2. universalizar la educación primaria; 3. promover la igualdad entre los sexos; 4. mejorar la salud; 5. enfrentar la falta de educación; 6. la falta de acceso a agua y saneamiento; 7. revertir el deterioro ambiental, y 8. fomentar una asociación mundial para el desarrollo.
Según el PNUD (2015) este tema tiene una gran vigencia, ya que el 2015 fue un año de transición, tanto porque finaliza el período previsto para alcanzar los compromisos establecidos en los ODM, como porque se inicia el proceso para la consecución de los objetivos de desarrollo sostenible (ODS) que se plantean en la Agenda 2030 para el Desarrollo Sostenible, entre ellos: la erradicación de la pobreza y el hambre, la mejora de la salud y la educación, la construcción de ciudades más sostenibles, la lucha contra el cambio climático y la protección de los bosques y océanos.
En cuanto al grado de cumplimiento de las metas de los ODM, específicamente del primero, su evaluación al 2015 para el caso de Colombia, el reporte del PNUD (2015) indica un logro del 97,4%; mientras que para Venezuela hasta el 2012 el PNUD (2013, p. 31) señala que la reducción “representa el 92,1%”; sin embargo, no hay información al 2015.
Por otra parte, según el informe del FMI (2015, p. 16):
Venezuela sufrirá, según las previsiones, una profunda recesión en 2015 y en 2016 (-10% y -6%, respectivamente) porque la caída de los precios del petróleo que tiene lugar desde mediados de junio de 2014 ha exacerbado los desequilibrios macroeconómicos internos y las presiones sobre la balanza de pagos. Se pronostica que la inflación venezolana se ubicará muy por encima del 100% en 2015.
También las estimaciones del FMI (2015) indican que en el año 2014 el PIB de Venezuela disminuyó 4%, mientras que el de Colombia aumentó 4,6%. Así, pues, la economía colombiana se mantiene como la cuarta de la región latinoamericana, mientras que la venezolana pasó del cuarto al séptimo puesto.
Al considerar las anteriores observaciones, aunque las condiciones macro económicas de ambos países, son muy diferentes, surgió el interrogante: ¿será el comportamiento de los determinantes microeconómicos de la pobreza también diferente?
De allí que, el objetivo de este trabajo se centra en realizar un estudio compara tivo entre Venezuela y Colombia del perfil de la pobreza e indagar los determinantes microeconómicos que inciden en la probabilidad de que un hogar sea o no pobre, mediante análisis de regresión logística.
El artículo está organizado en cinco secciones. La segunda parte describe la forma como se mide la pobreza en ambos países. La tercera presenta la metodología. La cuarta muestra los resultados de la medición de la pobreza el período 2010-2014; los perfiles de pobreza y sus determinantes. La última presenta las conclusiones de la investigación.
1. MÉTODOS DE MEDICIÓN DE LA POBREZA EN COLOMBIA Y VENEZUELA
Como se mencionó, en las últimas décadas se han desarrollado múltiples metodolo gías para la medición y análisis de la pobreza, con la finalidad de superar la gravedad de este fenómeno. Existen dos métodos para su medición: directo e indirecto, los cuales se aplican en Colombia y Venezuela.
Feres y Mancero, (2001a, p. 8) señalan que:
El método “directo” más conocido y utilizado en América Latina es el de las Necesidades Básicas Insatisfechas (NBI), introducido por la CEPAL a comienzos de años setenta, como una opción para aprovechar la información de los censos demo gráficos y de vivienda, en la caracterización y medición directa de la pobreza. Bajo este método, se elige una serie de indicadores censales que permiten constatar si los hogares satisfacen o no algunas de sus necesidades principales. Una vez establecida la satisfacción o insatisfacción de esas necesidades, se puede construir “mapas de pobreza”, que ubican geográficamente las carencias anotadas.
Respecto al método indirecto, existen diferentes índices de medición; así, en Colombia la pobreza se calcula oficialmente de dos maneras: a partir de los ingresos monetarios de los hogares, conocida como pobreza monetaria, y a través del Índice de Pobreza Multidimensional (IPM) que evalúa cinco dimensiones sobre los hogares que podrían estar en privación, a saber, condiciones educativas del hogar, condiciones de la niñez y la juventud, salud, trabajo, y acceso a los servicios públicos domiciliarios y las condiciones de la vivienda. Ambas medidas son complementarias y no excluyentes; son mediciones desde ópticas diferentes del mismo fenómeno. Para su cálculo se utiliza la información de la Gran Encuesta Integrada de Hogares (GEIH) producida por Departamento Administrativo Nacional de Estadística (DANE).
En Venezuela se mide oficialmente por dos métodos: por la línea de ingresos y por las Necesidades Básicas Insatisfechas. Estos indicadores de pobreza se calculan con los datos de las Encuestas de Hogares por Muestreo (EHM) y de la Encuesta de Precios y Consumo, ambas realizadas por el Instituto Nacional de Estadística (INE). En el primer caso, la metodología utilizada estima la pobreza a través de la comparación del ingreso del hogar con la Línea de Pobreza; esta relaciona el monto del ingreso con el precio de la canasta básica; es un método indirecto. El segundo caso, es el método NBI.
Para la comparabilidad de los indicadores de pobreza entre países, el Grupo de Expertos en Estadísticas de Pobreza, denominado Grupo de Río (2007, p. 133) señala que “Un objetivo importante de la comunidad internacional es la posibilidad de comparar los datos entre países, pero se trata de un tema muy complejo, con muchos requisitos normalmente difíciles de cumplir”. Indican que para alcanzar estimaciones comparables de pobreza se deben considerar muchos temas metodológicos, entre los cuales resaltan:
Utilizar la misma definición de pobreza. Dentro del mismo enfoque, la selección de diferentes indicadores de bienestar (por ejemplo, ingreso o gasto) se traduce en cifras que no son análogas.
Sobre el cálculo de las líneas de pobreza.
La comparabilidad internacional también se ve limitada por las diferencias en las fuentes de información.
El cuarto enfoque para desarrollar cifras de pobreza comparables internacional mente se basa en los indicadores de privación.
Dada las diferencias entre ambos países, se toman en consideración las sugerencias del Grupo de Río (2007) para realizar las comparaciones de interés en la investigación.
De acuerdo con esto, para medir la pobreza en ambos países se utiliza el método de medición de pobreza monetaria, también conocido como método de la línea de ingresos. Las encuestas de hogares EHM y GEIH, respectivamente, tienen cobertura nacional; por tanto, la medición tiene un alcance nacional.
1.1. Acerca de la medición de la pobreza
Sen (1976) señaló que el proceso de medición de la pobreza precisa dos elementos: la identificación de los pobres y la construcción de una medida de pobreza. Feres y Mancero (2001b), Cantó, Del Río y Gradin (2003) y Núñez (2009), entre otros, indican que para analizar la pobreza primero se debe definir el concepto. Así pues, de acuerdo con el tipo de definición se asocia una medida. En términos generales, según el PNUD (1997) la pobreza se refiere a la incapacidad de las personas de vivir una vida digna. Entre los aspectos que la componen se menciona llevar una vida larga y saludable, tener educación y disfrutar de un nivel de vida decente, además de la libertad política, el respeto de los derechos humanos, la seguridad personal, el acceso al trabajo productivo y bien remunerado, y la participación en la vida comunitaria.
Según Feres y Mancero (2001b) debido a la complejidad y dificultad de medirla, los estudios sobre pobreza se han restringido a aspectos cuantificables, relacionados con el concepto de “nivel de vida”, “estándar de vida”, o “insuficiencia de recursos”. Por esto, Barneche y et al. (2010) indican que es posible tener tantas definiciones, y cuantificaciones de pobreza, como aspectos o criterios existan para medirla.
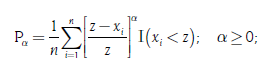
El segundo aspecto del proceso de medición consiste en elegir la medida de pobreza que expresa la agregación del bienestar de los individuos. Sen (1976) postuló que cualquier medida de pobreza debería tener en cuenta tres aspectos básicos asociados al concepto de pobreza: incidencia, intensidad y desigualdad; así como también planteó un conjunto de axiomas que debía cumplir el índice de pobreza, entre ellos, axioma de monotonía y axioma de transferencia1. Se consideraron dichos aspectos y se eligieron los índices FGT, de Foster, Greer y Thorbecke (1984), por ser los mejores exponentes que abarcan las tres dimensiones: incidencia, intensidad y desigualdad. Autores como Cantó, Del Río y Grandin (2003), Feres y Mancero (2001b) y Núñez (2009) señalan también que cumplen las propiedades básicas propuestas por Sen (1976) y es una medida que se puede descomponer aditivamente, la cual tiene la forma:
Donde:
n = Número total de hogares (o individuos)
z = línea de pobreza
xi = ingreso (o consumo) del hogar i-ésimo.
(x i <z) es una función indicadora que tiene el valor igual a 1 si la expresión (x i <z) es verdadera y 0 en el caso contrario.
α = parámetro que mide la aversión a la pobreza
Al sustituir los valores de α=0,1, 2 en la ecuación 1, se obtienen los valores de los índices P0, P1, y P2, respectivamente.
α =0 determina el índice de incidencia/porcentaje de pobres (P0); α =1 es el índice de profundidad (P1) y α =2 se refiere a la severidad/gravedad de la pobreza (P2). 1 P es la brecha de la pobreza, la cual mide la magnitud / profundidad de la pobreza; esta calcula la distancia media relativa de los ingresos de los pobres en relación con la línea de pobreza. Cuando la pobreza se hace más crítica P2 tiende a aumentar, aunque la media de los ingresos de los pobres permanezca constante.
Sobre estas medidas Foster, Greer y Thorbecke (2010) señalan que han tenido una importante contribución al desarrollo de investigación sobre el tema, y al diseño, implementación y evaluación de programas de desarrollo mediante su aplicación. También indican que los axiomas se agrupan en tres categorías: invarianza, dominación, y axiomas de subgrupos. La primera incluye: simetría, invarianza de replicación, de escala, el foco y continuidad. Todas las medidas Pα satisfacen los axiomas de invarianza, excepto P0 que tiene una discontinuidad en la línea de la pobreza. El axioma de invarianza afirma que la pobreza no debería verse afectada por algún cambio en los ingresos.
Esta investigación se centra en el axioma invarianza de escala, ya que se realizará una transformación lineal de los ingresos y línea de pobreza en términos de la paridad de poder adquisitivo a fin de hacer comparables las medidas de pobreza de ambos países.
1.2. Análisis de pobreza mediante perfiles
Diversos autores señalan que el perfil de pobreza permite identificar cuáles son las características distintivas de los hogares pobres, respecto a los no pobres de un país (Bustelo y Lucchetti, 2004; Herrera, 2002). Este análisis se realiza de forma similar al de Torres, Jiménez y Luzardo (2015).
1.3. Determinantes de pobreza según un modelo logit binomial
El análisis de los factores determinantes de la probabilidad de que un hogar sea pobre se realiza mediante un modelo de respuesta binomial tipo Logit; se utilizan las mismas variables explicativas utilizadas por Torres, Jiménez y Luzardo (2015).
Se considera pobre a todo hogar cuyo ingreso es inferior a la línea de pobreza, así: Yi = 1 (Pobre), de lo contrario, Yi = 0 (No Pobre), de modo que
Donde x i es el vector de características que influyen en la elección de cada una de las alternativas, y β es el vector de parámetros asociados a las mismas, que reflejan el impacto particular que tiene cada una de las características en dicha probabilidad.
Su estimación se realiza mediante el método de máxima verosimilitud, con el software SAS® (Statistical Analysis System).
2. METODOLOGÍA
Es una investigación con un enfoque cuantitativo y de tipo analítico e inferencial. En la parte descriptiva se analizan las medidas de pobreza de Foster, Greer y Thorbecke (2010) y perfiles de pobreza; en la inferencial se investigan los determinantes de po breza, para cada país. Los análisis de Colombia se realizan a partir de la información de la GEIH, producida por el DANE, y los de Venezuela, con la EHM proporcionada semestralmente por el INE. Por tal razón los resultados se presentarán por semestres para ambos países. Cada encuesta tiene cobertura nacional, los tamaños de muestra de GEIH son de 115 mil hogares aproximadamente, mientras que en la EHM oscilan en 35 mil hogares. Además, la selección del período de estudio se determinó por dos elementos: uno, para estudiar un período no muy corto y otro, lo más reciente posible2. El procesamiento de la información se realizó con los softwares SAS® (Statistical Analysis System), versión 9.2 e IBM-SPSS®, versión 22.
3. RESULTADOS Y ANÁLISIS
3.1. Medición de la pobreza en Venezuela y Colombia3
En los gráficos 1 y 2 se presenta el nivel de pobreza, medido por la familia de índices Pα para diferentes valores del parámetro de aversión a la pobreza α. Se puede observar que el 36,3% de los hogares venezolanos, en el primer semestre de 2010, tenía un nivel de ingreso insuficiente como para adquirir la canasta básica de consumo (gráfico 1). En el 2014 dicho índice aumentó 10,2 puntos porcentuales, lo cual indica que el 46,5% de los hogares venezolanos es pobre.
En el primer semestre de 2010 el 35,2% de los hogares colombianos también era pobre; mientras, en el 2014-1 la tasa de incidencia de pobreza disminuyó 7,1 puntos porcentuales al pasar de 35,2 a 28,1% (gráfico 2).
Para Venezuela la tasa de profundidad 1 P fue 14,3% en el 2010-1 y aumentó un 3,9%, al pasar a 18,2% en el 2014-1 (gráfico 1). Sin embargo, dicho índice para Colombia en el mismo semestre de 2010 fue 15,7%; en el 2014-1 este disminuyó un 4% al pasar a 11,7% (gráfico 2).
Por último, la tasa de severidad 2 P en Venezuela aumentó de 7,5% en el 2010-1 a 12,1% en el 2013-1 y luego, una leve disminución en el 2014-1 (gráfico 1); no obstante, en el quinquenio, aumentó 2,4%. Para Colombia en el 2010-1 dicha tasa fue 9,3% y disminuyó en el 2014-1 a 6,8%, lo cual indica que la reducción fue de 2,5% (gráfico 2).
En el gráfico 1 se puede observar que la pobreza en Colombia ha disminuido en el período considerado, mientras que en Venezuela ha aumentado (gráfico 2).
Dado que para el cálculo de las medidas FGT se realizó una transformación lineal tanto de los ingresos como de las líneas de pobreza mediante los PPA, se pudo comprobar el axioma de invarianza de escala. Según Foster, Greer y Thorbecke (2010) este axioma establece que las medidas de pobreza no son afectadas por cualquier cambio en los ingresos y en la línea de pobreza.
3.2. Perfil de pobreza en Venezuela y Colombia
Este análisis considera tres categorías de variables: características individuales del jefe de hogar (edad, género, estado civil, nivel educativo y condición laboral del jefe), características del hogar (número de miembros, tasa de dependencia económica del hogar, tasa de escolaridad del hogar, y composición demográfica del hogar (número de miembros y el porcentaje de niños menores de 14 años), tipo de vivienda, tipo de paredes, si posee agua, baño, electricidad, teléfono, número de habitaciones y tenencia de la misma). Las tablas 1 y 2 de los anexos muestran el perfil de pobreza de cada país, que refiere la proporción de pobres, no pobres y total de la población por categorías y por año. Las variables continuas: edad del jefe del hogar, número de habitaciones, porcentaje de niños, tasa de dependencia, tasa de escolaridad, tasa parental, número de miembros se presentan en sus valores promedio.
La tabla 1 presenta el perfil de pobreza de Colombia. En el período analizado, la edad promedio del jefe de hogar para el grupo pobre es de 46 años, mientras la del no pobre es 48 años. Se observa que existe predominio del sexo masculino, y el riesgo relativo es mayor si el hogar está bajo la jefatura femenina (gráfico 3).

Fuente: elaboración propia con base a GEIH del DANE
Gráfico 3 Riesgo relativo según género, Colombia, primer semestre
Sobre el estado civil del jefe del hogar, resalta que en el grupo pobre la mayoría vive en unión libre, mientras en el grupo no pobre están casados. En ambos grupos el nivel de escolaridad que predomina es ninguno o Primaria; sin embargo, para el grupo pobre representa más del 50%, en tanto que en el no pobre representa un tercio del mismo. Además, en promedio el 56% de los jefes pobres están ocupados, mientras que en el grupo no pobre representan dos tercios (ver tabla 1).
Al analizar los riesgos relativos de las anteriores características del jefe de hogar, se aprecia que uno de los factores más importantes asociados al riesgo de pobreza es el nivel educativo del jefe del hogar. En el gráfico 4 se observa para cada uno de los años estudiados que el riesgo disminuye a medida que se incrementa el nivel educativo.

Fuente: elaboración propia con base a GEIH del DANE
Gráfico 4 Riesgo relativo según nivel educativo, Colombia, primer semestre
Tan importante como el nivel educativo es el estatus laboral del jefe del hogar. El riesgo relativo del jefe desempleado es superior al de un jefe ocupado o uno inactivo. Así, un jefe ocupado no tiene riesgo de pobreza, mientras, si lo tienen los desempleados e inactivos (gráfico 5).

Fuente: elaboración propia con base a GEIH del DANE
Gráfico 5 Riesgo relativo según estatus laboral, Colombia
La estructura demográfica del hogar también es importante, ya que los pobres se caracterizan por ser más numerosos (su tamaño promedio aproximado es 4 miembros, mientras para el grupo no pobre es de 3). Además, tienen menor proporción de receptores de ingreso, por tanto, una alta tasa de dependencia económica, en promedio del 75,9% para el hogar pobre en contraste al no pobre que es 52,5% (ver tabla 1).
Otra característica del hogar es la tasa de escolaridad, según OCEI-PNUD (2001, p.46)“es el porcentaje de años efectivos de escolaridad de los miembros del hogar relativos al número total de años de escolaridad que deberían tener de acuerdo con su edad. Es una medida del nivel de escolaridad de todo el hogar”4. La tabla 3 muestra diferencias entre los hogares pobres y no pobres; dicha tasa es menor en el primer grupo (60,2% en promedio). Al convertir ese porcentaje5, el número de años cursados es 13 años aproximados, es decir, apenas sobrepasa la Educación Media; mientras en el grupo no pobre es del 75,8%, esto indica casi 16 años de escolaridad, es decir que poseen estudios universitarios.
Durante el período analizado en Venezuela se aprecia que la edad promedio del jefe de hogar, de ambos grupos, pobre y no pobre, es de 48 años. En cuanto al género se observa en ambos grupos, el predominio de sexo masculino. Respecto del estado civil en el grupo pobre la mayoría de los jefes se encuentran en unión libre, en tanto en el grupo no pobre están casados. En el grupo pobre el nivel de escolaridad que predomina es Básica, mientras en el grupo no pobre la mayoría de los jefes tiene Educación Media (tabla 2 del anexo).
Al analizar el riesgo relativo por género, se observa que existen diferencias en cuanto a pobreza se refiere entre un hogar conducido por una mujer respecto a uno cuya jefatura es masculina, ya que los riesgos son mayores que la unidad, lo cual quiere decir que tienen mayor riesgo de ser pobres aquellos hogares con jefatura femenina (gráfico 6).
Uno de los factores más importantes asociados al riesgo de pobreza es el nivel educativo del jefe del hogar. El riesgo disminuye a medida que se incrementa el nivel educativo (gráfico 7).

Fuente: elaboración propia con base a EHM del INE
Gráfico 7 Riesgo relativo según nivel educativo, Venezuela
Respecto al estatus laboral del jefe del hogar, el riesgo relativo del desempleado es superior al de un ocupado o uno inactivo. Así, un jefe activo no tiene riesgo de pobreza, mientras sí lo tienen los desempleados (gráfico 8).

Fuente: elaboración propia con base a EHM del INE
Gráfico 8 Riesgo relativo según estatus laboral, Venezuela
Con relación a características demográficas del hogar se observa que los hogares pobres son más numerosos, ya tienen un tamaño promedio aproximado de 5 miembros, mientras para los no pobres es de 4. Asimismo, los pobres tienen una alta tasa de dependencia económica, en promedio del 66% para el hogar pobre en contraste al no pobre que es 52,5%. También, la tabla 2 muestra la tasa de escolaridad del hogar, y se observan diferencias entre los hogares pobres y no pobres; dicha tasa es menor en el primer grupo (50,1% en promedio). Al convertir ese porcentaje, el número de años cursados es aproximadamente 10,5 años, es decir, no sobrepasa la Educación Media; mientras en el grupo no pobre es del 55%, que indica 11,5 años de escolaridad, lo cual significa que poseen estudios universitarios incompletos.
3.3. Determinantes de pobreza en Venezuela y Colombia
En esta sección se presentan los resultados del análisis de los determinantes de la probabilidad de que un hogar sea pobre, mediante un modelo Logit Binomial con variable respuesta binaria: pobre y no pobre, y las variables explicativas son las utilizadas en el perfil de pobreza.
Los parámetros β estimados (tablas 3 y 4) son significativos (test de Wald). Estos explican el cociente de riesgo del modelo, es decir, tienen capacidad para describir la probabilidad de que un hogar sea pobre con respecto a no serlo. Si Beta es negativo, implica que un aumento en la variable respectiva produce una disminución en la probabilidad de ser pobre, y viceversa, mientras un coeficiente positivo implica aumento. De acuerdo con Stokes, Davis y Koch (2000) la interpretación para las variables cualitativas se realiza en función del nivel de referencia. Los signos de las estimaciones corresponden a resultados esperados. También, se muestran algunos de los estadísticos de bondad de ajuste del modelo: Deviance y coeficiente de determinación (R2) que indican un buen ajuste. Además, se hace el diagnóstico de los modelos6. De acuerdo con estos criterios los modelos presentan un buen ajuste para todos los años.
A continuación, se presenta el análisis mediante las posibilidades (odds ratio), las cuales se obtienen al exponenciar los valores β estimados, para el caso de Colombia (tabla 3). Entre los resultados más importantes se tiene, que es 3,5 veces más probable que el hogar sea pobre si su jefatura está al mando de una mujer. Este resultado es consistente con el análisis de la DNP (2014, p. 23) en el que indica que “la población perteneciente a hogares con jefatura femenina tiene una mayor probabilidad de estar en pobreza y más dificultades para superarla”.
En la condición laboral del jefe el nivel de referencia es ocupado o activo; cuando el jefe está desempleado es altamente significativo, y más probable que el hogar sea pobre. Mientras, si está inactivo es menos probable que lo sea. Para el nivel de educación, la categoría de referencia es el nivel de Primaria o ninguno; se observa que todas las categorías tienen posibilidades menores a la unidad, las cuales se ordenan de mayor a menor, lo que significa que es menos probable que el hogar sea pobre a medida que aumenta el nivel educativo del jefe.
Por otra parte, a medida que aumenta la tasa de dependencia económica del hogar aumenta la posibilidad de ser pobre, mientras, por cada unidad que aumente la tasa de escolaridad del hogar disminuye la probabilidad de ser pobre (tabla 3).
En la curva de probabilidad estimada se aprecia que a medida que aumenta la tasa de dependencia económica mayor es la probabilidad de ser pobre en un hogar cuyo jefe es casado, masculino, desempleado, con un nivel educativo de Primaria o ninguno, que habita en un rancho, con agua, electricidad y baño, y tomando al resto de las características en sus valores medios (gráfico 9).

Fuente: elaboración propia con base a GEIH del DANE
Gráfico 9 Probabilidad de ser pobre según la tasa de dependencia económica del hogar, primer semestre 2012, Colombia
De forma similar se puede observar en el gráfico 10 que mientras mayor sea la tasa de escolaridad del hogar menor es la probabilidad de que sea pobre.

Fuente: elaboración propia con base a GEIH del DANE
Gráfico 10 Probabilidad de ser pobre según la tasa de escolaridad del hogar, primer semestre 2012, Colombia
Este análisis de las posibilidades (odds ratio) de las variables explicativas se refiere al caso de Venezuela. El análisis de los factores más importantes indica que es casi dos veces más probable que el hogar sea pobre si su jefatura está al mando de una mujer. En la condición laboral del jefe el nivel de referencia es ocupado o activo; cuando el jefe está desempleado es altamente significativo y más probable que el hogar sea pobre, mientras, si es inactivo es menos probable que lo sea. Para el nivel educativo, la categoría de referencia es el nivel de Primaria o ninguno; se observa que todas las categorías tienen posibilidades significativas menores a la unidad, lo que significa que es menos probable que el hogar sea pobre a medida que aumenta el nivel educativo del jefe.
En el gráfico 11 se aprecia la probabilidad estimada de ser pobre según la tasa de escolaridad del hogar, cuyo jefe es casado, masculino, desempleado, con un nivel educativo de Primaria incompleta, que habita en un rancho, con agua, electricidad y baño, y tomando al resto de las características en sus valores medios. A medida que aumenta la tasa de escolaridad del hogar disminuye la probabilidad de ser pobre. Mientras, el gráfico 12 se refiere a la tasa de dependencia; se observa que a medida que aumenta el número de miembros dependientes aumenta la probabilidad de pobreza del hogar.

Fuente: elaboración propia con base a EHM del INE
Gráfico 11 Probabilidad de ser pobre según la tasa de escolaridad del hogar, primer semestre 2012, Venezuela
3.4. Comparación de los micro determinantes de pobreza entre ambos países
Las estimaciones mediante los modelos Logit binomial indican similar comportamiento de las variables explicativas de la probabilidad de ser pobre un hogar para ambos países. Esto requirió hacer una indagación profunda para precisar tal comportamiento, por lo cual, se realizó una simulación de la probabilidad estimada de ser pobre según el estatus laboral, el género y el nivel educativo del jefe de hogar, y se mantuvieron fijas las siguientes características: estado civil casado, de 40 años de edad, que habita en un rancho, con agua, electricidad y baño, casa en arriendo, 2 habitaciones para dormir, tasa de dependencia del 75%, tasa de escolaridad del 55 %, hogar constituido por 5 miembros en promedio. Dicha simulación consistió en sustituir en la ecuación 3, el vector de parámetros estimados dado el vector de características fijas mencionadas anteriormente. Por supuesto, se considera ceteris paribus las condiciones macroeconómicas y políticas de los dos países. Las tablas 5 y 6 (ver anexos) presentan las simulaciones para Colombia y Venezuela, respectivamente.
En los gráficos 13 y 14, se puede observar la comparación para ambos países, lo cual confirma el comportamiento similar en las probabilidades de pobreza; dado el vector de características fijas y manteniendo fijo el género, a medida que aumenta el nivel educativo del jefe de disminuye la probabilidad de ser pobre el hogar; y al comparar el género se observa que la probabilidad de pobreza es mayor si está bajo la jefatura femenina. También se observa, al mantener fijo el nivel educativo y el género, que estar desempleado tiene una mayor probabilidad de pobreza que estar inactivo el jefe de hogar.

Fuente: elaboración propia con base a GEIH del DANE
Gráfico 13 Simulación de las probabilidades de pobreza, Colombia

Fuente: elaboración propia con base a EHM del INE
Gráfico 14 Simulación de las probabilidades de pobreza, Venezuela
Sin embargo, al comparar detalladamente los resultados, las probabilidades en cada uno de estos casos son muy superiores en Venezuela respecto a Colombia. Para Colombia en el año 2010 se observa que si el jefe de hogar está activo laboralmente la probabilidad de que el hogar sea pobre disminuye si su nivel educativo pasa de Básica incompleta (0,645) a Educación Media (0,223) o a nivel universitario (0,009) (tabla 5). Mientras, en Venezuela se evidencia que si el jefe de hogar está activo la probabilidad de que el hogar sea pobre disminuye si su nivel educativo pasa de Básica incompleta (0,933) a Educación Media (0,646) o a nivel universitario (0,369) (tabla 6). Asimismo, al revisar las probabilidades referidas al año 2014 son dramáticamente cercanas a uno, lo cual podría ser un indicio de un nivel de empobrecimiento generalizado de la población venezolana (gráfico 14). Además, este año corresponde al momento de profundización de la crisis económica y social del país. En tanto, para Colombia dichas probabilidades son menores comparadas con el 2010, lo cual se podría explicar por su sostenido crecimiento económico.
4. CONCLUSIONES
La comparación de los indicadores de pobreza de los dos países permitió evidenciar que las medidas de incidencia, profundidad y severidad de la pobreza señalan una disminución de la pobreza en Colombia, mientras en Venezuela se presenta un aumento.
Se han encontrado resultados similares a los referidos por Torres (2013) y Torres, Jiménez y Luzardo (2015), es decir, acerca de cuáles variables explicativas son significativas en la reducción de la pobreza. Así, pues, ceteris paribus las condiciones macroeconómicas, las estimaciones de los modelos Logit binomial confirman las conclusiones del perfil de pobreza tanto para Colombia como para Venezuela.
Entre los hallazgos más relevantes se tienen los siguientes: el género es un factor asociado a la probabilidad de ser pobre, pues, los hogares bajo la jefatura femenina tienen significativamente mayor posibilidad de serlo. Aquí también se confirma así la hipótesis de que los hogares que tienen al mando a una mujer son más proclives a ser pobres. La condición laboral del jefe también es un factor importante asociado a la pobreza, ya que, los hogares cuyo jefe es desempleado tienen mayor probabilidad de ser pobres. También, el bajo nivel educativo puede considerarse uno de los rasgos distintivos de la población pobre. A mayor nivel educativo del jefe del hogar menor es la probabilidad de ser pobre; esto revela su creciente importancia como principal resorte para superar la pobreza.
Por cada año que aumente la escolaridad del hogar, la probabilidad de que este caiga en estado de pobreza disminuye. Este es otro elemento a ser considerado a la hora de diseñar políticas antipobreza, ya que es mucho más viable incrementar la tasa de escolaridad del hogar que aumentar la escolaridad del jefe del hogar o de su cónyuge. Asimismo, se tiene que a medida que aumenta la tasa de dependencia económica mayor es la probabilidad de ser pobre.
Los hallazgos empíricos de esta investigación confirman el papel positivo de los activos del hogar en la disminución de los riesgos de pobreza. Aquellos jefes de hogar que viven en apartamentos y casas cuentan con una mayor probabilidad de esquivar la pobreza en relación con aquellos que habitan viviendas con precarias condiciones, las cuales son en Venezuela denominadas ranchos.
De allí que la contribución de esta investigación radica en que puede servir de herramienta para el diseño y focalización de programas destinados a combatir este flagelo, que tome en consideración los factores antes mencionados, en ambos países, respectivamente.
Dado que la modelación realizada se aplicó para ambos países, ceteris paribus las condiciones macroeconómicas, el comportamiento de los factores determinantes fue similar; se hizo una simulación de las probabilidades estimadas de ser pobre a fin de corroborar el mismo. Aunque, el comportamiento resultó similar, las probabilidades de ser pobre son mayores en Venezuela que en Colombia. Y, además, las referidas al año 2014 son dramáticamente cercanas a uno para Venezuela, lo cual podría revelar un empobrecimiento generalizado de la población venezolana.
Por último, metodológicamente estos hallazgos evidencian que el modelo logit funciona para explicar los determinantes microeconómicos, independientemente del tipo de sistema económico.


























