INTRODUCCIÓN
Los territorios que tienen bajos niveles de bienestar en su población suelen presentar contrastes significativos en los niveles de productividad en los sectores económicos, lo que indica ineficiencias en la asignación de recursos económicos hacia la inversión productiva. En cambio, las economías que han alcanzado el desarrollo han tenido la capacidad de transitar de las actividades primarias a las actividades modernas que requieren un mayor grado de tecnificación. Un factor fundamental es el ritmo con el que se realiza dicho cambio (McMillan y Rodrik, 2014).
El estudio de los determinantes del crecimiento económico ha sido tema de numerosas investigaciones que buscan explicar las causas que promueven la consolidación y el progreso de una economía. Se han analizado las características de las estructuras productivas de diferentes países y regiones para identificar si las diferencias en los ritmos de crecimiento se deben a la expansión en la producción de un sector específico. En este sentido, Soza-Amigo y Aroca (2018) confirman que las naciones desarrolladas tienden a enfocarse en el sector de servicios y en las ma nufacturas con un alto avance tecnológico, mientras que las menos desarrolladas suelen centrarse en las actividades primarias.
El objetivo del artículo es describir las principales características de la es tructura productiva de las actividades económicas en la región centro-norte de México durante el periodo 1988-2018. Para lograrlo, se utiliza la metodología de shift-share tradicional, que permite distinguir los factores y tendencias que influyen en el comportamiento económico de una región. Además, se propone un análisis estadístico descriptivo de variables como empleo, producción, productividad y el Producto Interno Bruto (PIB) per cápita en las entidades de la región. Como parte de esta investigación, se incorpora el shift-share ampliado para precisar las actividades económicas con mayor crecimiento y contribución en la región.
Cabe señalar que la región centro-norte, según el Instituto Nacional de Esta dística, Geografía e Informática INEGI (2020), está compuesta por los estados de Aguascalientes, Durango, Guanajuato, Querétaro, San Luis Potosí y Zacatecas. En 1988, la región contribuía con el 9,63 % del PIB y el 10,62 % del empleo del país, y para 2018, aportaba el 12,22 % y el 13,15 %, respectivamente. Esto confirma el aumento de la importancia relativa de la región en la economía mexicana (Banco de México, 2023). Además, la región se ha consolidado en gran medida debido a la atracción de Inversión Extranjera Directa en el sector automotriz por parte de empresas como Nissan, General Motors, Volkswagen, BMW, Honda y Mazda, que están vinculadas con una extensa cadena de proveedores, en su mayoría empresas extranjeras. Esta inyección de capital ha fortalecido y sustentado el progreso de la región centro-norte en las últimas décadas.
El trabajo está estructurado en cinco secciones, además de la introducción. En la primera sección, se realiza una revisión de la literatura sobre la técnica shift-share, incluyendo estudios nacionales e internacionales. En la segunda sección, se presenta la metodología de shift-share, tanto la tradicional como la ampliada. La tercera sección incluye un análisis estadístico descriptivo de las variables de empleo y producción en la región centro-norte. La cuarta sección proporciona una contextualización de las actividades económicas de la región y los resultados obtenidos al aplicar la metodología shift-share, tanto tradicional como ampliada. Finalmente, la quinta sección presenta las conclusiones.
1. REVISIÓN DE LA LITERATURA DEL SHIFT-SHARE
1.1 Estudios a nivel internacional
Fernández (2004) desarrolla un análisis de Shift-Share y técnicas de regresión para la región castellano-leonesa de España entre el primer trimestre de 2000 y el tercer trimestre de 2003. Emplea la metodología de los índices Divisia a través de series de datos de la Encuesta de Población Activa del Instituto Nacional de Estadística relacionados con el número de trabajadores desglosados en cuatro sectores (agricultura, industria, construcción y servicios). Los resultados muestran que solo en 2002, el efecto nacional incide negativamente en la ocupación castellano-leonesa, observando un decrecimiento en la comunidad con respecto a trimestres anteriores. Mientras que en el efecto total, se registra un crecimiento continuo en la ocupación, excepto en el año 2000. Por lo tanto, las estimaciones indican que el crecimiento del empleo en la región ha sido consecuencia de la influencia de la economía nacional.
Por su parte, Maťátková y Stejskal (2012) aplican la técnica Shift-Share al empleo en 14 regiones de la República Checa en el período 2003-2007. Según los resultados del análisis, se pueden observar cambios significativos a nivel nacional en la fabri cación de equipo de transporte, maquinaria y equipo, metales básicos, productos metálicos y productos de caucho y plástico. Por lo tanto, la industria manufacturera es la más importante en términos de aumento del empleo en el período de estudio. En cuanto a los clústeres de manufacturas, existen algunas condiciones para su creación. Sin embargo, en el sector de actividades inmobiliarias, de alquiler y empresariales, que también experimenta un cambio significativo en el empleo, es menos probable que se establezca un clúster.
Nachnani y Swaminathan (2017) llevan a cabo un estudio de Shift-Share con pruebas de causalidad de Granger en las entidades de la India para medir el impacto del crecimiento del sector de tecnologías de la información (TI) en los períodos 2004-2009 y 2009-2014. Evalúan los cambios en las exportaciones de las TI y los ingresos per cápita por estado, así como las variaciones en el ingreso per cápita por entidad y en el PIB. Precisan que la evolución regional en las exportaciones de software se debió a cambios regionales, ya que en algunas entidades se produjo un aumento en los ingresos de exportación gracias a una combinación de industrias. En particular, en el período 2004-2009, diez entidades experimentaron incrementos en el nivel de exportaciones, mientras que en el período 2009-2014, el aumento real en los ingresos por exportaciones de TI fue negativo en siete de los diez estados.
Mientras tanto, Durán y Borrero (2018) analizan los procesos de crecimiento regional de Colombia mediante el uso de herramientas como el Shift-Share tradicional y espacial, basándose en el cambio en el valor agregado de los diferentes sectores en cada departamento, lo que permite identificar los factores que han favorecido los diferentes procesos de crecimiento en el período 2000-2010. Observan que durante el período 2000-2005, crecieron los sectores de agricultura, electricidad, gas y agua, construcción y servicios. Para el período 2005-2010, los sectores de minería, industria, transporte, financiero y construcción fueron los más beneficiados. Los resultados muestran un alto grado de especialización de las regiones en actividades terciarias, así como la importancia, en menor medida, de las actividades primarias en todo el territorio.
Tissot-Daguette y Grether (2021) proponen el análisis Shift-Share en Suiza a través de una técnica de descomposición de las tasas de crecimiento del empleo y el valor agregado en el período 2011-2015. En cuanto a la productividad, destacan las entidades de Tesino y Schwyz como las que experimentaron un mayor aumento, mientras que Neuchâtel sufrió la mayor pérdida. Además, precisan que los sectores con mejor desempeño son equipos de comunicación y científicos, mientras que los sectores con peor desempeño son administración pública y alimentos, textiles y productos de madera. Ante ello, indican que la participación de los efectos estructurales depende del nivel de desagregación, lo cual es fundamental al debatir políticas industriales y regionales para mejorar la productividad.
1.2 Estudios a nivel nacional
En el estudio realizado por Ávila (2010), se aplica la técnica del Shift-Share para medir el impacto de los excedentes petroleros sobre el crecimiento del PIB de los estados de Estado de México, Nuevo León, Campeche y Tabasco en el período 2003-2004. Los hallazgos indican que la incorporación de los excedentes petroleros genera crecimiento económico en las entidades consideradas, propiciando encadenamientos positivos en sus estructuras productivas. Además, se observan diferentes comportamientos de los sectores económicos y sus efectos en las entidades. En el Estado de México, el sector agropecuario tiende a decrecer, mientras que en Nuevo León, tiene un impacto positivo en el sector de la construcción. En cambio, en Campeche y Tabasco, los excedentes petroleros originan una mayor repercusión en el sector energético.
En el documento de Valdez (2018), se desarrolla el modelo Shift-Share al incorporar una estructura espacial para considerar las interacciones entre las regiones y analizar el impacto de la proximidad geográfica entre 59 zonas metropolitanas de México sobre el empleo manufacturero durante el período de 1993-2013. Para ello se realizan dos pruebas de autocorrelación espacial, el Índice de Moran y la prueba de Geary. Los resultados muestran un efecto regional neto espacial en el que el sector textil presenta una significativa desaceleración, observada principalmente en el Valle de México, Monterrey, Matamoros, Reynosa, Chihuahua, Tijuana, Nuevo Laredo y Piedras Negras. Por otro lado, el efecto de distribución espacial genera resultados positivos, lo que significa que la industria textil está creciendo a nivel nacional y es eso lo que está impulsando a estas zonas metropolitanas.
Por su parte, Rendón et al. (2019) analizan la evolución del empleo manufactu rero en las zonas metropolitanas del Valle de México y Toluca utilizando la técnica espacial Shift-Share desagregada en 21 subsectores a nivel municipal durante el período 2008-2013. Realizan tres etapas, utilizando el Índice de Moran como prueba de autocorrelación espacial, seguido de la técnica Shift-Share espacial al empleo y, finalmente, la clasificación de los municipios basada en la tipología de regiones ganadoras y perdedoras, donde se crea un mapa para cada sector. Como resultado, se observa que el subsector más afectado es la fabricación de productos textiles, con 31 municipios clasificados en la tipología IV y 2 en la IIIB (Tlalpan y Tlalnepantla), consideradas como perdedoras.
En la investigación realizada por Hernández y Rojas (2020), se estudia el efecto multiplicador de empleo entre trabajadores formales e informales al utilizar el estimador de variables instrumentales Shift-Share en 22 subsectores de la industria manufacturera mexicana durante el período 2000-2010. Observan que, en los cinco subsectores más importantes en términos de empleo, las participaciones de las cinco ciudades principales son significativas. Por ejemplo, el subsector de transporte y equipo representa el 7,71% del empleo manufacturero total, con el 16% ocupado en Ciudad Juárez, 14% en Valle de México y 8% en Monterrey. Además, al estimar el multiplicador de empleo entre trabajadores formales e informales, el coeficiente estimado es 1 cuando se utiliza la metodología de supuestos y 1,6 cuando se utiliza la metodología alternativa.
Finalmente, Rendón et al. (2021) abordan la metodología de Shift-Share tradi cional con una modificación en las estructuras del empleo manufacturero en la región centro de México durante el período 1998-2018. Desagregan los datos en 21 subsectores de la industria manufacturera desarrollados de manera quinquenal, considerando la especialización productiva a través de la variable de personal ocupado. Los resultados son favorables para el estado de Guanajuato y desfavorables para la Ciudad de México, ya que durante el período 1998-2008 se perdieron 107.341 empleos y durante el período 2008-2018, la pérdida fue de 169.072 empleos, siendo el subsector de fabricación de equipo de transporte el más afectado. Como posible explicación, atribuyen esto al reordenamiento territorial del sector, lo que da ventajas a los estados de la frontera norte en la industria manufacturera.
2. METODOLOGÍA DE SHIFT-SHARE
En el ámbito de la economía regional, existen diversas herramientas diseñadas para explicar el comportamiento y la evolución de las distintas regiones a lo largo del tiempo. Una de las técnicas que ha ganado notoriedad es la conocida como cambio y participación, o Shift-Share en inglés, la cual se ha destacado por su simplicidad en el cálculo y su capacidad para analizar las modificaciones generadas por una variable, comúnmente el empleo o la producción. Esta técnica permite identificar tendencias y factores que influyen en la dinámica de una región (Lira y Quiroga, 2009).
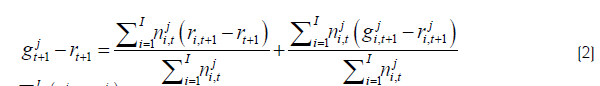
La metodología Shift-Share organiza los datos en tres dimensiones: geografía, sectores de actividad y tiempo. Esta técnica, propuesta por Dunn en 1960, se basa en la comparación del crecimiento del empleo observado en los datos con un crecimiento hipotético del empleo que la región habría experimentado si su tasa de crecimiento fuera igual a la tasa nacional. El objetivo fundamental de este método es descomponer la diferencia entre estas dos variaciones en dos componentes principales: un efecto estructural, también conocido como efecto de mezcla industrial, y un efecto competitivo. Siguiendo el desarrollo formal de Artige y Van Neus (2013), podemos expresar esta relación mediante la ecuación 1:
En el que nj
i,t+1 es el empleo en el sector i = 1 …,I, de la región j en el momento gj
i,t+1 es la tasa de crecimiento del empleo entre el tiempo t y t+1 en el sector i de la región j, y r
it+1
y r
t
+
1
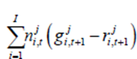
son las tasas de crecimiento del empleo nacional entre el tiempo t y t+1 en el sector i y la economía total. El lado izquierdo de la Ecuación (1) es la diferencia entre el crecimiento del empleo observado regional y el crecimiento hipotético del empleo regional entre el tiempo t y t+1. En tanto, al lad o derecho de la ecuación, el primer componente (efecto de mezcla industrial)
cuantifica el efecto de la estructura económica de la región j en la variación del empleo regional entre el tiempo t y t+1.
El segundo componente de la ecuación
se refiere al efecto competitivo del desempeño del crecimiento relativo sectorial relativo de la región j en términos de la variación del empleo regional entre el tiempo t y t + 1. Si desea mos expresar esta diferencia entre el empleo regional observado y el crecimiento hiipotético en términos de cambio porcentual, podemos dividir la ecuación (1) entre
obteniedo la ecuación 2:
Donde
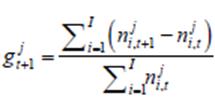
es la tasa de crecimiento del empleo de la región j entre el tiempo t y t + 1. En cuanto al lado izquierdo de la ecuación, representa la diferencia entre las tasas de crecimiento observadas a nivel regional y nacional, expresadas en términos de cambio porcentual (Laguna, 2006). Por lo tanto, esta descomposición del efecto de la industria se formula en la ecuación 3 de la siguiente manera:
Donde m
i
,
t
es el empleo nacional en el sector i en el tiempo t. Al reescribir el efecto de la mezcla industrial, se utiliza el efecto
. Enseguida, se puede reescribir la ecuación 3 en términos de participación en el empleo total en la región j y el nivel nacional, generando la ecuación 4 como sigue:
Donde
es la participación del sector i en la región j del empleo en la región j y es la contribución del sector i respecto al empleo total a nivel nacional.
Con la finalidad de ampliar el análisis, en el presente trabajo de investigación se incorpora el nivel de contribución de cada sector, δ, a los resultados del Shift-Share tradicional. Esto significa que se expande la técnica de la siguiente manera:
En donde
representa el promedio del nivel de contribución del sector i en la región j con respecto al empleo total de la región. Con esto, se busca asignar el grado de participación de cada actividad económica y ponderar de manera más precisa su contribución al cambio total y a la participación.
Para el caso de esta investigación, los datos relativos a la producción y el empleo se obtuvieron de los censos económicos de 1988, 1993, 1998, 2003, 2008, 2013 y 2018, así como del Sistema de Cuentas Nacionales de 1980-1988. Los datos de población se obtuvieron de los Censos de Población y Vivienda proporcionados por el INEGI. En cuanto al Producto Interno Bruto, se utilizó como fuente el Banco de México. Es importante señalar que las variables valor agregado censal bruto y PIB se deflactaron tomando como año de referencia el 2018 para eliminar el efecto de la inflación.
3. ESTRUCTURA PRODUCTIVA DE LA REGIÓN CENTRO NORTE
3.1 Producción regional
La velocidad de crecimiento del PIB mide el rendimiento general de una economía, y cuanto más altas sean las tasas de crecimiento, mayor será el bienestar de la población. Las causas que promueven el crecimiento económico son múltiples, y la capacidad de una nación para generar condiciones propicias para su progreso radica en ello. En este sentido, Kniivilä (2007) afirma que los sectores económicos suelen actuar como motores del crecimiento, y se señala comúnmente que las economías desarrolladas han evolucionado desde las actividades primarias hacia actividades modernas que requieren un mayor grado de tecnificación, siendo un factor fundamental el ritmo de esta transformación.
En la Gráfica 1 se presenta una comparación entre los años 1980 y 2020 de la participación de cada entidad en el PIB regional. Se observa que Guanajuato mantiene niveles porcentuales similares y sigue siendo líder en la producción de bienes y servicios en el centro-norte. Además, se aprecia el significativo crecimiento experimentado por Querétaro y Aguascalientes, con incrementos del 4 % y del 3 %, respectivamente. Específicamente en el caso de Querétaro, estos aumentos le han permitido posicionarse como la segunda entidad en términos de producción regional, por debajo solo de Guanajuato.

Fuente: elaboración propia con datos del INEGI: 2020.
Gráfica 1 Comparativo de la participación por entidad al PIB regional: 1980-2020.
En tanto, Durango, San Luis Potosí y Zacatecas reducen su contribución al PIB de la región centro-norte. Específicamente, Durango registra el mayor descenso, ya que en 1980 aporta el 14 % y en 2020 participa con el 10 %. San Luis Potosí también presenta un deterioro relativo al trasladar su aportación del 19,8 % al 18% del total de la producción. En tanto, Zacatecas muestra participaciones similares, ya que en 1980 aporta el 8,1 % y para el 2020 es el 7,6 %. No obstante, se convierte en la entidad con menor participación en el PIB regional.
3.2 Participación de los sectores económicos
En la tabla 1 se presenta la contribución relativa a la producción sectorial por entidad de la región centro-norte para los años 1980, 1990, 2000, 2010 y 2020. En el caso del sector primario, se observa una participación muy limitada, ya que, excepto en San Luis Potosí, en las entidades de la región se tiene una disminución en el nivel de las aportaciones a lo largo del período de estudio. Por ello, se establece que las actividades primarias registran la menor participación, contribuyendo solo con el 5 % del total regional. En donde, Zacatecas y Durango son las entidades con mayor presencia, aunque esta sigue siendo muy limitada.
Tabla 1 Participación relativa sectorial por entidad de la región: 1980-2020.
| Entidad | Sector | 1980 | 1990 | 2000 | 2010 | 2020 |
|---|---|---|---|---|---|---|
| Aguascalientes | Primario | 5,3 | 5,4 | 3,9 | 4,3 | 4,5 |
| Secundario | 43,2 | 38,6 | 36,6 | 39,9 | 39,7 | |
| Terciario | 51,6 | 55,9 | 59,5 | 55,9 | 55,7 | |
| Durango | Primario | 11,7 | 11,6 | 9,9 | 10,3 | 10,0 |
| Secundario | 34,9 | 33,6 | 32,4 | 29,9 | 29,3 | |
| Terciario | 53,4 | 54,7 | 57,6 | 59,8 | 60,7 | |
| Guanajuato | Primario | 5,9 | 6,1 | 4,5 | 4,3 | 4,1 |
| Secundario | 34,0 | 30,9 | 32,8 | 32,9 | 34,5 | |
| Terciario | 60,0 | 63,0 | 62,7 | 62,9 | 61,4 | |
| Querétaro | Primario | 3,2 | 3,4 | 2,4 | 2,5 | 2,8 |
| Secundario | 48,1 | 42,5 | 42,7 | 37,5 | 38,5 | |
| Terciario | 48,7 | 54,1 | 54,9 | 60,1 | 58,7 | |
| San Luis Potosí | Primario | 4,2 | 4,2 | 3,2 | 3,8 | 4,5 |
| Secundario | 38,8 | 37,3 | 36,9 | 35,6 | 38,3 | |
| Terciario | 56,9 | 58,5 | 59,9 | 60,6 | 57,2 | |
| Zacatecas | Primario | 12,4 | 11,9 | 10,3 | 7,4 | 10,3 |
| Secundario | 20,7 | 23,6 | 25,4 | 42,5 | 30,9 | |
| Terciario | 67,0 | 64,5 | 64,3 | 50,1 | 58,8 | |
| Centro Norte | Primario | 6,5 | 6,5 | 4,9 | 4,8 | 5,0 |
| Secundario | 36,9 | 34,3 | 35,1 | 35,5 | 35,7 | |
| Terciario | 56,7 | 59,2 | 60,0 | 59,7 | 59,3 |
Fuente: elaboración propia a partir del SNCM del INEGI: 2020.
Siguiendo con el análisis de la participación del PIB por entidades de la tabla 1, se distinguen un par de tendencias. La primera de ellas es la menor contribución que presentan las actividades del sector secundario en la producción de la región. Esto se debe a que, con excepción de Zacatecas, el resto de los estados muestran una desaceleración relativa en el nivel de contribución al PIB regional. La segunda tendencia es la confirmación del sector terciario como la principal actividad generadora de producción en cada una de las entidades, es decir, en el centro norte sobresalen los servicios, contribuyendo con el 59,3 % del total del PIB regional.
3.3 PIB per cápita y productividad laboral en la Centro norte
Un estimador económico importante es la productividad laboral debido a la relación cercana con el crecimiento económico y con el progreso de un país. De acuerdo con ILO (2022), las economías desarrolladas se distinguen por tener pequeñas brechas de productividad laboral entre los diferentes sectores económicos, lo cual es una convalidación de procesos eficientes en la asignación de los recursos. Esto es, la productividad laboral permite ponderar los niveles de crecimiento del PIB con la cualificación del capital humano a través del tiempo, facilitando información sobre el rendimiento de los procesos de producción.
En la gráfica 2 se muestra la relación entre la productividad laboral del total de los sectores económicos de las entidades de la región y su PIB per cápita en el año 2018. La productividad laboral se obtiene al dividir el valor de la producción sectorial entre el personal ocupado. Los datos reflejan una relación directa entre las variables; es decir, a mayores niveles de ingresos por persona, mejores niveles de productividad, ya que Querétaro, Aguascalientes y San Luis Potosí obtienen PIB per cápita de $182.000, $163.000 y $133.000 anuales, respectivamente.

Fuente: elaboración propia a partir de datos de Banxico: 2018
Gráfica 2 Relación entre niveles de productividad laboral y PIB per cápita de las entidades de la región centro norte en el año 2018.
Se observa que Guanajuato, Durango y Zacatecas se encuentran en un rango menor de desarrollo puesto que sus niveles de ingresos rondan alrededor de los $100.000 anuales. Adicionalmente, se observa que los estados con ingresos por persona más altos son aquellos que consiguen mejores niveles de productividad laboral. Para contextualizar el desempeño de las entidades de la región centro-norte, el PIB per cápita nacional en el 2018 es de $137.000 mientras que el promedio de la región es de $134.000 lo cual indica que se encuentra por debajo de la media nacional. Esto es, sólo las entidades de Querétaro y Aguascalientes se sitúan por encima de la media nacional.
3.4 El empleo en la región centro norte
Tal como lo expresan Stallings y Peres (2000), el impacto del crecimiento económico en la generación de nuevos puestos de trabajo productivos depende del ritmo de la tasa de crecimiento y de la capacidad con la que dicho crecimiento se traslada hacia empleos bien pagados. Por ello, una variable esencial que establece el desempeño de los ingresos personales es el empleo; es decir, la cantidad del empleo indica cómo el crecimiento de la economía se reflejará en mayores ingresos. De manera que el progreso de un país a largo plazo se basa en la relación que se geste entre el crecimiento económico y la productividad.
En la gráfica 3 se observa la participación relativa en el empleo de las entidades y de la región centro norte respecto al total nacional en el periodo 1988-2018. Se identifican incrementos en las aportaciones de todas las entidades, con excepción de Durango, sobresaliendo el desempeño presentado por Guanajuato al generar un poco más del 5 % del empleo del país. Asimismo, en un segundo escalón, las entidades de Querétaro y Aguascalientes también registran aumentos en su nivel de contribución, teniendo la primera de ellas un avance notable en la generación de nuevos puestos de trabajo. En un tercer peldaño, se encuentran Zacatecas y San Luis Potosí, al prácticamente mantener niveles similares respecto a sus aportaciones presentadas al inicio del periodo de estudio. Por último, la región centro norte obtiene resultados favorables en los niveles de participación en el empleo al transitar del 10,62 % al 13,15 % del total nacional.

Fuente: elaboración propia con datos de los censos económicos del INEGI: 2018.
Gráfica 3 Participación relativa del personal ocupado de las entidades de la región respecto al nacional: 1988-2018.
En la gráfica 4 se exhibe un comparativo de la contribución relativa por entidad del empleo en relación con el total de la región centro-norte para los años inicial y final del estudio, 1988 y 2018. Se observa que los estados de Guanajuato, Querétaro y Aguascalientes incrementaron sus niveles de participación al empleo de la región centro norte. Al respecto, resulta notorio que Guanajuato se confirma como la entidad líder al transitar del 36,43 % al 38,67 % en la generación de puestos de trabajo en la región.
En tanto, Querétaro es la entidad que presenta el mejor desempeño en la región al incrementar su participación en el empleo de forma significativa, transitando del 12,81 % al 19,32 %. Por su parte, Aguascalientes registra un aumento, aunque en menor medida, al trasladar su participación del 9,32 % al 10,37 % del empleo regional. Lo anterior corrobora el progreso que han mostrado estas tres entidades en términos de empleo en el periodo de estudio, ya que de manera conjunta contribuyen con aproximadamente el 70 % del total de empleos ofrecidos en la región.

Fuente: Elaboración propia con datos de los censos económicos del INEGI: 2018.
Gráfica 4 Comparativo del nivel de aportación por entidad al empleo regional: 1988-2018.
En contraparte, las entidades de San Luis Potosí, Durango y Zacatecas disminu yen su nivel de participación relativa del empleo en la región centro norte. En relación con eso, San Luis Potosí reduce su contribución del 19,10 % al 15,55 %, dejando de ser la segunda entidad en el orden de aportación del empleo al verse superado por Querétaro. En lo que respecta a Durango, muestra un descenso relativo en el empleo al pasar del 14,41 % al 9,25 % del total de la región. En tanto, Zacatecas mantiene porcentajes similares, ya que en el año inicial del estudio aporta el 7,49 % y concluye con el 6,85 % del empleo regional.
3.5 Composición sectorial en el empleo y en la producción
A continuación, en la tabla 2 se muestra un comparativo de la participación del empleo por actividad económica de las entidades respecto al total regional para los años 1988 y 2018. Aguascalientes incrementa ligeramente su participación, siendo la construcción, las manufacturas y la recreación las actividades que registran los mayores niveles de contribución. Por su parte, Durango muestra disminuciones relativas en varias de las actividades e incrementos en la participación relativa solamente en la minería, la construcción y los transportes y comunicaciones. Guanajuato mantiene la supremacía de la región al mantenerse o incrementar su participación en todas las actividades, excepto minería, sobresaliendo las manufacturas, los transportes y comunicaciones y el comercio.
Tabla 2 Comparativo de participación sectorial del empleo por entidad respecto al total regional: 1988 y 2018. En términos porcentuales.
| Actividad Económica | Ags | Dgo | Gto | Qro | SLP | Zac | ||||||
|---|---|---|---|---|---|---|---|---|---|---|---|---|
| 1988 | 2018 | 1988 | 2018 | 1988 | 2018 | 1988 | 2018 | 1988 | 2018 | 1988 | 2018 | |
| Primario | 9,5 | 3,2 | 37,5 | 11 | 24,1 | 38,1 | 12,8 | 16,2 | 12,2 | 13,5 | 4 | 18 |
| Minería | 1,3 | 7,7 | 17,4 | 31,6 | 13,5 | 6,9 | 5,1 | 4,8 | 34,9 | 11 | 27,9 | 38 |
| Energía | 2,9 | 8,8 | 18,6 | 11,9 | 33,9 | 33,8 | 7,2 | 14,5 | 32,2 | 18,4 | 5,3 | 12,5 |
| Construcción | 8,8 | 11,2 | 5,6 | 10 | 23 | 33,4 | 8,5 | 22,8 | 47,6 | 15 | 6,6 | 7,6 |
| Manufacturas | 11 | 11,1 | 14,7 | 7,9 | 38,4 | 41,9 | 16,6 | 19,2 | 16,7 | 15,5 | 2,6 | 4,5 |
| Comercio | 8,5 | 9,9 | 12,7 | 9,6 | 38,1 | 40,2 | 10,6 | 15,7 | 19,1 | 15,9 | 11 | 8,6 |
| Transp. y Comun. | 17,2 | 9,6 | 10,8 | 11,6 | 39,9 | 40,8 | 10,6 | 18,1 | 12,7 | 14 | 8,7 | 5,8 |
| Finanzas, B. Raíc. | 9,7 | 9,2 | 15,5 | 8,7 | 37,3 | 33,5 | 13,6 | 30,1 | 16,5 | 14,1 | 7,4 | 4,4 |
| Educac. y Salud | 9 | 10,7 | 11,5 | 8 | 41,9 | 37,9 | 10,5 | 20,3 | 18,9 | 16,5 | 8,2 | 6,7 |
| Recreación | 9,4 | 11,1 | 11,9 | 9,2 | 36,8 | 36 | 12,4 | 18,5 | 19,3 | 16,7 | 10,3 | 8,6 |
| Otros servicios | 10,6 | 10,4 | 12 | 11 | 38,9 | 37,4 | 11,2 | 15,4 | 18,8 | 17 | 8,5 | 8,9 |
| Total | 9,8 | 10,4 | 14,4 | 9,2 | 36,4 | 38,7 | 12,8 | 19,3 | 19,1 | 15,6 | 7,5 | 6,8 |
Fuente: elaboración propia a partir de los censos económicos 2020.
En tanto, Querétaro tiene el mayor crecimiento porcentual en las actividades económicas, destacando las finanzas y bienes raíces, la construcción, la educación y salud, y las manufacturas. San Luis Potosí ha reducido su participación relativa en el empleo, ya que, con excepción del sector primario y de transportes y comunicaciones, ha disminuido su contribución respecto al total regional. Por último, en Zacatecas se presenta una tendencia a la baja en su participación relativa con relación al empleo regional. Los datos anteriores se ratifican en los estudios de Velarde et al., (2019) y de López-Campos y Macías (2018), quienes señalan que la región centro norte ha evolucionado de manera favorable en los años recientes.
4. CONTEXTUALIZACIÓN DE LA REGIÓN Y APLICACIÓN DE LA TÉCNICA SHIFT-SHARE
Las repercusiones derivadas del proceso de globalización y de la apertura comercial han sido diversas en las regiones de México, destacando las siguientes: i) la desconcentración de las actividades industriales, por lo que la capital del país dejó de ser el centro de las manufacturas nacionales; y ii) la redirección de las actividades secundarias, siendo favorecidas las regiones frontera norte y centro norte. En este sentido, las entidades de la región centro norte aprovecharon su ubicación y proximidad a la Ciudad de México, lo cual favoreció la reducción de costos, las economías de aglomeración, el acceso a diferentes tipos de insumos, el uso de nuevas tecnologías y las mejoras de los procesos productivos, consolidando ventajas competitivas de una gran cantidad de empresas ubicadas en la región.
La región centro norte ha aprovechado las nuevas condiciones del modelo de crecimiento implementado por la economía mexicana, de tal manera que ha aumen tado el peso relativo en términos de empleo, inversiones y producción en relación al total de las manufacturas nacionales. En esta vía, la región se ha caracterizado por la heterogeneidad de sus actividades, desarrollando la industria automotriz, autopartes, equipos y electrodomésticos cuyo destino ha sido el mercado externo. Asimismo, ha experimentado crecimiento en la industria de alimentos, bebidas y tabaco, la preparación de frutas y legumbres y la industria textil orientados hacia el mercado interno. Estos factores han propiciado un crecimiento significativo de la región en las últimas décadas.
4.1 Shift-Share tradicional
En la tabla 3 se muestra la aplicación de la técnica del shift-share tradicional para la región centro norte a través de los tres componentes en el periodo 1988-2018. En relación con el efecto nacional, los resultados son positivos en cada una de las acti vidades económicas, lo cual es un síntoma de la relevancia que tiene el crecimiento económico nacional como impulsor de la creación de nuevos puestos de trabajo en la región. Al analizar las cifras arrojadas en el efecto nacional, es evidente que en el centro norte se presenta un mayor impacto en las manufacturas y el comercio, y una menor relevancia en la energía y la minería.
Tabla 3 Aplicación de Shift-Share a la región centro norte: 1988-2018.
| Actividad Económica | Nacional | Sectorial | Regional | Shift-Share |
|---|---|---|---|---|
| Primario | 1622 | -5068 | -2359 | -5806 |
| Minería | 996 | -729 | 586 | 853 |
| Energía | 342 | -256 | -26 | 61 |
| Construcción | 1225 | -263 | 409 | 1371 |
| Manufacturas | 12467 | -482 | 5093 | 17078 |
| Comercio | 10944 | -1658 | 643 | 9929 |
| Transporte y comunic. | 1376 | -77 | 195 | 1494 |
| Finanzas, bienes raíces | 1951 | 1511 | 527 | 3989 |
| Educación y salud | 1403 | 483 | 218 | 2104 |
| Recreación | 2000 | 839 | 442 | 3281 |
| Otros servicios | 1408 | 388 | 319 | 2115 |
Fuente: elaboración propia a partir de los censos de INEGI: 2018.
En relación con el efecto sectorial, se registran resultados mayormente negativos, lo que podría indicar que la región posee una estructura productiva inferior en términos de empleo en comparación con la economía mexicana en su conjunto. Estas diferencias se ven impulsadas por una menor participación de las actividades primarias en el empleo. Solo en las actividades de finanzas y bienes raíces, recreación, educación y salud, y otros servicios se muestran tendencias positivas a nivel sectorial en la región. En el efecto regional, se obtienen resultados positivos en 9 de las 11 actividades, destacando el crecimiento significativo en el centro norte en las manufacturas. En contraparte, el sector primario y la energía muestran resultados negativos, lo que indica que las actividades agropecuarias se han rezagado en la región.
En el agregado de los cambios en el empleo y el nivel de participación de las actividades económicas a través de la técnica shift-share, se corroboran los buenos resultados experimentados por las entidades del centro norte. Esto se debe en parte a su propio crecimiento y en parte al impulso de la economía nacional. La región ha sabido aprovechar las nuevas condiciones que se tienen en el país y ha desarrollado ventajas comparativas, especialmente en los sectores de manufacturas y comercio, lo que ha impulsado un mayor crecimiento económico y tasas de empleo significativas en la región.
4.2 Shift-Share ampliado
Una vez aplicada la ampliación de la técnica shift-share, en la tabla 4 se muestran los resultados para cada una de las entidades de la región por actividad económica en el periodo 1988-2018. Las cifras reflejan la importancia que tienen las manufacturas para la región, ya que es la actividad con mayor crecimiento y aportación en cada una de las entidades. En este sentido, Guanajuato se consolida como la entidad con los mayores niveles de participación a nivel regional, seguida en menor medida por San Luis Potosí, Querétaro y Aguascalientes. En un segundo orden de importancia en la región se encuentra el comercio en las entidades de Guanajuato, San Luis Potosí, Querétaro y Aguascalientes, y la minería en las entidades de Zacatecas y Durango.
Tabla 4 Aplicación de Shift-Share ampliado a las entidades de la región centro norte: 1988-2018.
| Actividad Económica | Ags | Dgo | Gto | Qro | SLP | Zac |
|---|---|---|---|---|---|---|
| Primario | -4 | -64 | -18 | -6 | -5 | 0 |
| Minería | 1 | 19 | -1 | 0 | -11 | 25 |
| Energía | 0 | 0 | 0 | 0 | -1 | 0 |
| Construcción | 2 | 2 | 17 | 5 | -14 | 1 |
| Manufacturas | 30 | 19 | 429 | 71 | 71 | 4 |
| Comercio | 12 | 15 | 186 | 23 | 33 | 8 |
| Transporte y comunic. | 0 | 2 | 21 | 3 | 3 | 0 |
| Finanzas, Bienes raíces | 3 | 4 | 41 | 17 | 9 | 1 |
| Educación y salud | 3 | 2 | 35 | 7 | 8 | 1 |
| Recreación | 4 | 4 | 40 | 8 | 10 | 3 |
| Otros servicios | 2 | 4 | 31 | 4 | 8 | 2 |
Fuente: elaboración propia a partir de los censos económicos de INEGI: 2018.
En un tercer nivel, se encuentra una mayor diferenciación. En Guanajuato y Querétaro sobresalen las finanzas y bienes raíces, mientras que en Durango y Zacatecas destaca el comercio, y en San Luis Potosí y Aguascalientes, las acti vidades recreativas. Por otro lado, las actividades primarias muestran resultados negativos para todas las entidades, lo que implica una pérdida de importancia relativa de este sector en la región. En el agregado, en el centro norte, el sector manufacturero predomina de manera notoria, seguido por el comercio y, a continuación, las finanzas y bienes raíces. Esto refleja que con la apertura comercial, la región ha transitado hacia actividades de transformación y comercialización, generando encadenamientos productivos que le han permitido consolidarse como una de las regiones más dinámicas del país.
En cuanto a la evolución de las entidades que conforman la región, se pueden destacar los siguientes aspectos. Aguascalientes en los ochenta aplicó una serie de incentivos para atraer inversión extranjera a través de políticas industriales y el desarrollo de infraestructura, lo que le permitió la llegada de empresas multinacionales, destacando la compañía automotriz Nissan. Guanajuato, la entidad líder de la región, se ha caracterizado por el desarrollo de la industria del calzado y de la industria automotriz, siendo el principal productor de calzado a nivel nacional. Además, debido a su ubicación, infraestructura, conectividad y mano de obra calificada, ha recibido a empresas automotrices como Honda en Celaya, General Motors en Silao y Mazda en Salamanca.
Querétaro se ha especializado en determinadas ramas manufactureras que han permitido un crecimiento constante. Las actividades que sobresalen son la industria aeroespacial, con empresas como Safran y Bombardier; en la industria automotriz, las empresas Tremec, Maschinenfabrik Augsburg Nürnberg y Hitachi. En cuanto a las manufacturas en San Luis Potosí, se ubican en el segundo puesto en términos de empleo, destacando la fabricación de equipo de transporte y la industria alimentaria.
Zacatecas se distingue por su abundancia en recursos minerales, siendo el primer productor mundial de plata y estando dentro de los primeros diez lugares a nivel mundial en la producción de 16 minerales. Las principales empresas mineras ubicadas en la entidad son Fresnillo PLC, Grupo Peñoles y Minera Frisco. En cuanto a Durango, se enfoca en la producción minero-metalúrgica y se sitúa como el cuarto mayor productor en el país. Sin embargo, Zacatecas y Durango no han mostrado el mismo dinamismo que las otras entidades al no incorporarse plenamente al crecimiento económico de la región.
Una vez aplicada la técnica de shift-share tradicional y su forma ampliada para la región centro norte y sus entidades respectivamente, se obtienen las siguientes con sideraciones. Los resultados muestran un desempeño diferenciado en las entidades debido a la dinámica emprendida por cada una de ellas y las actividades económicas en las que se especializan. Por un lado, se encuentran Guanajuato, Querétaro, San Luis Potosí y Aguascalientes, quienes han desarrollado su sector manufacturero, lo que les ha permitido la adecuada inclusión en el mercado exportador. Por otro lado, las entidades de Zacatecas y Durango se orientan hacia las actividades primarias, particularmente se especializan en la minería, obteniendo un crecimiento limitado en el periodo de estudio.
CONCLUSIONES
El presente trabajo de investigación se encuentra inmerso en la economía regional. Para ello, se ha empleado la técnica shift-share tradicional con la finalidad de des agregar por actividad económica el comportamiento de las variables empleo y pro ducción. Adicionalmente, se ha utilizado una propuesta al extender la metodología mediante shift-share ampliado para precisar no solo el desempeño de cada actividad sino también incluir su nivel de contribución al crecimiento de la región. El análisis empírico efectuado ha permitido describir de mejor manera el comportamiento de cada una de las entidades que conforman la región centro norte.
La estructura productiva de las entidades de la región centro norte está com puesta fundamentalmente por las actividades manufactureras y de comercio, cuyas cifras evidencian una gran presencia regional que se traduce en mayor relevancia en la economía nacional. En ese sentido, al analizar el conjunto de actividades económicas, todas las entidades que conforman la región, con excepción de Durango, obtuvieron un crecimiento económico superior al promedio nacional, lo cual es indicativo del progreso experimentado por la región en las últimas 3 décadas.
En lo que respecta al análisis estadístico-descriptivo en el empleo y en la producción de la región centro norte, se manifiesta un incremento significativo en el periodo de estudio, destacando Guanajuato y Querétaro como las entidades con mayor crecimiento en la región. En contraparte, Durango y Zacatecas muestran tasas de crecimiento menores a la media nacional. Adicionalmente, se puntualiza un mayor dinamismo en las actividades relacionadas con la industria, el comercio y las finanzas, mientras que se registra un descenso en el desempeño de las actividades que conforman el sector primario.
En relación a los resultados, una vez aplicada la técnica de shift-share tradicional y ampliada, se distinguen considerables diferencias entre las actividades económicas, siendo las manufacturas, el comercio y las finanzas y bienes raíces las que registran el mayor dinamismo en la región. Asimismo, se identifican tendencias muy marcadas, ya que las actividades relacionadas con el sector primario han ido perdiendo importancia relativa debido a la reducción en el personal ocupado. En tanto, para la región en su conjunto se observan buenos resultados, ya que las cifras indican tasas de crecimiento superiores a las mostradas a nivel nacional, lo que refrenda el buen desempeño experimentado por la región en las últimas décadas.
Para concluir, el estudio ha tenido la finalidad de describir las principales características económicas de la región centro norte. Para ello, la técnica de shift-share ha permitido identificar en qué actividades se especializa y cuál ha sido el crecimiento de cada entidad y de la región. En relación a ello, con la intención de mejorar el desempeño de la región, se precisa la implementación de medidas de política económica de carácter regional que promuevan la incursión de los distintos sectores económicos en los que se evalúen las necesidades de cada entidad y, asimismo, propiciar un vínculo entre las actividades locales y el mercado externo con la finalidad de lograr el crecimiento económico de las regiones de México.


















