1. Introducción
La economía de mercado reinante en el mundo actual ha generado una presión competitiva global sobre las firmas que deben adaptarse y cambiar rápidamente en busca de nuevas y mayores rentas, con el fin de maximizar sus beneficios económicos, ser sostenibles en el tiempo y generar un fuerte incentivo para innovar e incursionar en nuevos mercados.
La innovación empresarial en América Latina
consiste principalmente en cambios graduales que aportan elementos nuevos a la empresa en particular, pero que no son nuevos en el mercado internacional y a veces ni siquiera en el mercado local de la empresa [...] la capacidad de I+D en las estructuras de las empresas no es suficiente como para permitirles transformar ese conocimiento externo en capacidades autónomas de innovación. (Banco Interamericano de Desarrollo [BID], 2010, p. 41)
Por lo anterior, se hace indispensable iniciar un diálogo nacional en torno a la innovación y las organizaciones, marco en que deben participar actores involucrados en todos los sectores de la sociedad, incluida la academia, pues es la responsable de la formación de los futuro líderes organizacionales del país. Así pues, es necesario hablar de innovación en instituciones de educación superior (IES), ya que estas hacen parte del sector servicios de la economía y las innovaciones desde este contribuyen al desarrollo económico del país, por lo que adoptar esta cultura innovadora sin duda ayudará en la construcción de una mejor Colombia.
Se debe entender el valor de la innovación en este sector, puesto que, al tener una generación tan importante de mano de obra, hace que sea un motor indispensable en el desarrollo de un país, que en el caso colombiano se evidencia en la desigualdad social como uno de los mayores problemas a resolver, frente a la transición a una economía desarrollada.
Según Rincón-Vargas (2014),
el Plan Nacional de Desarrollo 2010-2014 «Prosperidad para todos» se plantea que la sociedad disponga de igualdad de oportunidades y movilidad social que le permite articular el desarrollo económico y social a través del crecimiento económico y el desarrollo social integral, permitiendo establecer que las personas no se encuentran en una igualdad de condiciones para acceder a los beneficios del crecimiento económico, por ello se implementan unos mecanismos de redistribución y solidaridad. (p. 76)
No debemos olvidar que uno de los factores primordiales en la innovación es que el desarrollo en este sector no estaría solo enfocado en una población específica, sino que sería aún mayor, donde se pueda trabajar desde la educación en pro del desarrollo económico del país, por medio de la exposición de los factores que determinan que se haga innovación en Colombia desde las IES.
La generación del empleo y la representación del PIB hacen que este sector se deba considerar a la hora de entender la innovación, de modo que, al tener una gran incidencia en estos factores, ocasiona que se haga necesario entender cómo fortalecer y mejorarlo para generar un desarrollo en la economía.
Según lo refiere Maroto-Sánchez (2010), citado por Barreiro, Quinet, y Perobelli, F. S. (2012), a comienzos del siglo XXI, casi todas las economías industrializadas se transformaron en «economías de servicios» y:
Si bien la participación del sector de servicios en el empleo y en los ingresos es cercana al 70 % tanto en los países desarrollados como en los países en vías de desarrollo, en la mayor parte de la literatura económica se hace hincapié en el sector agropecuario y la industria, y se descuida el papel de las actividades terciarias. (p. 92)
Lo que nos da cuenta que este sector debe ser estudiado de forma más profunda, puesto que al ser un sector tan importante y relevante en la economía ha sido dejado de lado en la literatura económica. Por ello si existe una transformación de las economías a comienzos de este siglo, se hace pertinente empezar a abordar los estudios del sector servicios, por tanto, esta investigación pretende dar luces sobre lo que se debe considerar a la hora de emitir políticas públicas orientadas a las IES, específicamente frente al fenómeno de innovación.
2. Revisión de la literatura
Para Freeman (1982), citado por Vélez-Ospina (2009):
La innovación es la utilización del conocimiento para ofrecer un nuevo producto o servicio al mercado. Es inversión marginal añadida a la comercialización. Así, la innovación se compone de un proceso complejo de creación y transformación del conocimiento adicional disponible para efectos del proceso productivo empresarial. (p. 3)
Para la Organización para la Cooperación y el Desarrollo Económico (OCDE, 2005):
En las economías avanzadas, son numerosas las industrias intensivas en conocimiento, tales como las de fabricación en el segmento de alta tecnología y los servicios empresariales, que se han desarrollado mucho. Por añadidura, una amplia gama de sectores manufactureros y de servicios han aumentado la utilización de las tecnologías intensivas en conocimiento para su proceso de fabricación y la prestación de servicios. (p. 36)
La innovación empresarial en América Latina para el Banco Interamericano de Desarrollo (BID, 2010)
consiste principalmente en cambios graduales que aportan elementos nuevos a la empresa en particular, pero que no son nuevos en el mercado internacional y a veces ni siquiera en el mercado local de la empresa [...] la capacidad de I+D en las estructuras de las empresas no es suficiente como para permitirles transformar ese conocimiento externo en capacidades autónomas de innovación. (p. 41)
En Colombia, la Ley 1450 del 16 de junio de 2011, señala:
Innovar no solo significa desarrollar nuevos productos y transformar los productos existentes, consiste en crear nuevas formas de organizar, gestionar, producir, entregar, comercializar, vender y relacionarse con clientes y proveedores; logrando, en última instancia, generar valor agregado a través de toda la cadena productiva. Es por esto que la innovación y la inversión en investigación y desarrollo no son exclusivas a los sectores de alta tecnología. Por lo contrario, deben ser parte vital de todos los sectores económicos y hacerse extensivos a todos sus eslabonamientos.
En este artículo, la innovación se mide a partir de la Encuesta de Desarrollo e Innovación Tecnológica sector servicios y comercio - EDIT V en la que la innovación se entiende como
todo servicio o bien nuevo o significativamente mejorado introducido en el mercado; todo proceso nuevo o significativamente mejorado introducido en la empresa; o todo método organizativo nuevo o técnica de comercialización nueva introducida en la empresa. Nótese que la definición se refiere a procesos y productos nuevos para la empresa, así no sean nuevos en relación con el mercado en el que esta compite. (Departamento Administrativo de Estadística DANE, 2011)
A lo largo de los años, y en diferentes lugares del mundo, la innovación ha sido estimada de distintas formas. Crépon, Duguet y Mairessec (1998) establecen que la innovación es un proceso en el que la inversión que se hace en I+D genera nuevo conocimiento que al ser absorbido por las firmas se traduce en nuevas innovaciones, llevadas al mercado, y así generan valor económico; por tanto, el proceso se da mediante el modelo de desarrollo del cliente (costumer development model [CDM]) propuesto por estos autores en el que rescatan la importancia del fenómeno de estudio en la economía.
El primer autor latinoamericano en analizar econométricamente los determinantes de la actividad innovadora empresarial fue Benavente (2005) quien replicó CDM en las empresas chilenas haciendo tres mediciones: la decisión de la firma por comprometerse en actividades de investigación -invierte o no invierte-, la magnitud de la inversión de estas actividades -intensidad de gasto en I+D por trabajador- y el impacto de la investigación en el éxito innovador -se generaron nuevos productos o procesos- (Bermúdez-Olaya y Méndez-Ortiz, 2013).
Otros autores como Raffo, Lhuillery y Miotti (2008) estimaron la innovación medida como gasto en I+D por parte de las firmas, al tiempo realizaron un comparativo frente a la productividad por trabajador y a las exportaciones que hace la firma, tras lo cual concluyeron que las empresas que más gasten en I+D van a obtener mayor productividad per capita del trabajador y mayor volumen de exportaciones. Esta investigación la realizaron en Europa y América Latina, y hallaron que en Europa las firmas efectúan mayores actividades de gasto en I+D.
Según Mairesse y Mohnen (2010), la innovación se mide principalmente por los gastos en I+D y las patentes. Este estudio toma indicadores de resultados de la innovación como la introducción de nuevos productos y procesos, el porcentaje de las ventas de productos nuevos y la participación de los productos en las distintas etapas del ciclo vital del producto. Otra medida son los gastos en innovación como adquisición de patentes y licencias, diseño de productos, capacitación de personal, producción de pruebas y análisis de mercados. También estudia la información del producto innovador como las fuentes del conocimiento, las razones para la innovación, los obstáculos de la innovación, los mecanismos de apropiabilidad y los socios de cooperación en la investigación. Entre los determinantes de la innovación, están los gastos en I+D expresados como porcentaje de las ventas totales, el tamaño de las empresas y su poder de monopolio, la influencia de la propiedad extranjera, los jalones de la demanda y el empuje de la tecnología desde la importancia de las universidades y las instituciones gubernamentales.
Por su parte, Tebaldi y Elmslie (2013) estudian las teorías del crecimiento a través del efecto producido por la innovación, es decir, las instituciones tienen un efecto de crecimiento en los ingresos debido a la calidad institucional y cómo esta afecta la frecuencia de una economía de la innovación como motor del crecimiento económico:
Las estimaciones econométricas también proporcionan evidencia de que el impacto de la calidad institucional en la innovación es importante para los países en la frontera tecnológica, así como para los países alejados de la frontera tecnológica. Este resultado es importante porque refuta la idea de que los países que están lejos de la frontera tecnológica no patentan tanto como los demás, independientemente de la calidad de sus instituciones. Esta investigación también encuentra que la geografía, per se, no puede explicar las diferencias en la innovación en todos los países. La geografía afecta a la innovación, pero solo a través de las instituciones. Este documento también encuentra evidencia empírica para apoyar los argumentos teóricos de Lipset (1960) de que la acumulación de capital humano a largo plazo es una variable clave en la conformación de las instituciones. (pp. 17-18)
Otro aspecto importante a considerar es el nivel de educación del personal involucrado en innovación. Según Afuah (1999), es una variable fundamental en la construcción de procesos de innovación, al potencializar las capacidades del capital humano, a nivel intelectual y social. En este sentido, la educación superior es relevante en la capacidad de generar conocimiento nuevo y proveer soporte para la construcción de empresas innovadoras.
Por otro lado, a través de la construcción de conocimiento tecnológico y del uso de las tecnologías adquiridas (learning by using), la experiencia productiva (learning by doing) y la solución de problemas (learning by solving), los procesos de aprendizaje favorecen la adopción de rutinas que generan confianza en futuras inversiones en innovación, además configuran trazabilidad para el conocimiento adquirido en experiencias anteriores (Sampat y Nelson, 2001).
Igualmente, la acumulación de conocimiento permite optimizar las actividades y capacidades tecnológicas de las empresas en el proceso innovador (Pavitt, 1996), por lo que la tecnología y el conocimiento se convierten en determinantes representativos para la inversión en innovación, así como para el tipo de innovación que se desarrollan en una empresa. Para Langeback y Vásquez (2007), el nivel de conocimiento del recurso humano facilita el aprendizaje y la creación de nuevas tecnologías.
El conocimiento tecnológico es inherente a cada empresa, e incluso a cada producto y proceso, se construye y acumula gradualmente, genera una perspectiva evolutiva de avance técnico y es determinado por los agentes (personal involucrado) que participan en el proceso innovador, en referencia al tipo de cualificación de la mano de obra en la empresa (Pavitt, 1996). En suma, según Castaño-Martínez (2012), «el progreso tecnológico es el principal causante de los aumentos en la productividad de una economía» (p. 60).
De este modo, se establece una relación directa entre la tecnología, la formación, la competitividad y la innovación. En palabras de Águila-Obra y Padilla-Meléndez (2010): «En la actualidad, la tecnología y la información las pueden adquirir la mayoría de las empresas, de tal modo que la forma de diferenciarse de las restantes empresas y obtener ventajas competitivas viene dada por la capacidad que tiene el personal de las mismas» (p. 137).
Uno de los determinantes para la innovación es el capital de conocimiento como expresión de cualificación de los trabajadores en cada una de las empresas. En la actual etapa de la globalización, se hace énfasis en que el conocimiento es la variable de mayor relevancia para acceder a mercados más dinámicos, traducido en innovación y rutinas (Vélez-Ospina, 2009). Como señala Miron et al. (2004), citados por Orozco, Chavarro y Ruiz (2010):
La iniciativa y la creatividad de las personas en el desarrollo de nuevas ideas para la innovación no compiten con una cultura de la calidad y de la eficiencia en la organización. Las autoras resaltan que los departamentos de I+D son fundamentales porque en ellos se organiza la combinación del conocimiento interdisciplinario en el uso y desarrollo de tecnologías en sistemas de comportamiento inmerso en valores culturales distintivos -innovación, atención al detalle y orientación al resultado-, mediante los que la organización aprovecha sus ventajas y fortalece la innovación. (p. 105)
Las capacidades de adopción de nuevas tecnologías mejoran cuando se efectúa una capacitación técnica:
La gestión de la capacitación es indispensable para las organizaciones y las unidades o grupos de innovación en la medida en que permite la explotación del conocimiento científico y técnico en las industrias. Esta gestión se ve en el número de personas efectivamente capacitadas. Las personas técnicamente capacitadas para sus industrias son un recurso que permite la articulación de competencias personales en la creación de capacidades colectivas para la realización de una idea innovadora. (Orozco et al., 2010, pp. 105-106)
Además, Guan y Ma (2003) sugieren que los procesos de producción, mercadeo, investigación y desarrollo, mantenimiento, planeación estratégica, gestión tecnológica y desarrollo de la estructura organizacional se cuentan dentro de las capacidades estructurales de una empresa que sirven de herramientas para aplicar, transformar y gestionar el conocimiento.
El nivel de conocimiento que posee un trabajador es una característica que lo diferencia: cuanto mayor sea el nivel educativo del personal dedicado a efectuar actividades de investigación y desarrollo, se espera un mayor desempeño. Como lo exponen Orozco et al. (2010):
Los investigadores, caracterizados por una formación doctoral, resultan de especial importancia para la innovación porque están disciplinados para la creación de nuevo conocimiento y porque, tras pasar un largo periodo en la academia, pueden contar con relaciones con comunidades científicas que mejoren las posibilidades de acceder a invenciones que faciliten la innovación. (p. 106)
En el contexto nacional, para el DNP (2009):
En la actualidad, Colombia evidencia un rezago considerable frente a países de características similares en el desarrollo de la ciencia, la tecnología y la innovación. A modo ilustrativo, la inversión total en investigación y desarrollo en Colombia es del 0,2 % del PIB; un nivel muy bajo en comparación con países como Argentina, que invierte el 0,5 %; Chile el 0,7 %; Brasil el 0,8 %; o Corea del Sur el 3,2 %. (DNP, 2009, p. 54).
Por lo anterior, en Colombia son bajos los resultados de innovación, lo que se confirma al observar los pocos registros de propiedad intelectual. Así, el DNP (2009) menciona que «la relación entre el número de patentes que se otorgan a residentes en Colombia y el número de publicaciones académicas fue de 0,09 entre 2005-2008, en Brasil fue de 0,17, mientras que en Estados Unidos fue de 0,58» (p. 72). Turriago-Hoyos, Thoene, Bernal-Torres y Alfonso-Lizarazo (2015) hacen una investigación en la que se analiza la relación entre las innovaciones de productos de la industria de empresas en Colombia mediante actividades de I+D y adquisición de tecnología entre 2003 y 2012:
Esta relación también se examinó mediante la comparación de las pymes con grandes empresas, y entre las empresas que son de baja tecnología (LT) y de alta tecnología (HT), encontraron que el tamaño de la firma y LT o HT resultaron ser factores importantes para discriminar la innovación en los resultados a nivel de la empresa. En particular, nuestro análisis indicó que las pymes y LF de ambos niveles de LT y HT se basaron más en I+D que en TA. En resumen, las innovaciones de productos entre las empresas industriales en Colombia han tendido a ser intra-organizacional y dependían de las características, recursos y capacidades de las empresas para activar sus habilidades innovadoras. Por lo tanto, los resultados mostraron un efecto positivo sobre la probabilidad de la introducción de la innovación de productos en relación con la I+D y TA. (p. 107)
3. Métodos y mediciones
En esta investigación, se pretende identificar los determinantes de la innovación en el sector servicios, particularmente en las ES que tienen la modalidad de formación técnica profesional -relativa a programas técnicos profesionales-, la modalidad de formación tecnológica -relativa a programas tecnológicos- y la modalidad de formación profesional -relativa a programas profesionales-. Para esto, se tomó la Encuesta de Desarrollo e Innovación Tecnológica Sector Servicios y Comercio-EDITS V 2014-2015 recogida por el DANE (2016) donde se encontraron los siguientes resultados (Figura 1).

Fuente. Cálculos propios basados en anexos de la Encuesta de Desarrollo e Innovación Tecnológica Sector Servicios y Comercio-EDITS V 2014-2015.
Figura 1 Porcentaje de IES innovadoras entre 2014 y 2015
En Colombia, entre 2014 y 2015 existían 231 instituciones de educación superior que reportaron información, de las que solo el 1,7 % innovaron en sentido estricto con al menos un bien o servicio nuevo o significativamente mejorado en el mercado internacional, el 66,7 % innovaron en sentido amplio con al menos un bien o servicio nuevo o significativamente mejorado para el mercado nacional, el 5,4 % fueron potencialmente innovadoras o que informaron durante el periodo de referencia tener un proceso a haber abandonado algún proyecto de innovación, el 1,7 % reportaron tener la intención de realizar algún proyecto de innovación y finalmente el 24,7 % no reportaron ningún tipo de innovación ni haber iniciado o tener la intención de realizarlo.
A partir de lo anterior y de la literatura revisada, se planteó el modelo de innovación para esta investigación como un logit ordenado donde la variable dependiente fue construida de forma cualitativa de acuerdo con el nivel de innovación obtenido por parte de la IES, tomando como referente la clasificación propuesta por el DANE en que se asignaron los valores de 0 a las IES que no obtuvieron innovaciones, 1 a las IES que tuvieron la intención de innovar, 2 a las IES potencialmente innovadoras, 3 a las IES que tuvieron innovaciones en sentido amplio y 4 a las IES que obtuvieron innovaciones en sentido estricto.
En las variables independientes, se consideró como primer aspecto el desempeño innovador, medido por medio de dos variables que fueron los ingresos o las ventas operacionales nacionales recibidos por las IES en 2014 y las exportaciones realizadas por las IES en 2014, ambas medidas como miles de pesos constantes, de lo que se espera un impacto positivo de cada una de ellas, en la medida en que el desempeño innovador está relacionado positivamente con la categorización propuesta por el DANE en los niveles de innovación; es decir, cuanto más ingresos reciban las IES por ventas mayores, más probabilidades tendrá de realizar innovaciones en sentidos amplios y estrictos.
Como segundo aspecto que explica la innovación, se incluyó el apalancamiento externo, medido por medio de dos variables independientes, que fueron construidas de forma dicotómica como resultado a la pregunta de si la IES obtuvieron algún contrato para proveer bienes y servicios a entidades del sector público nacional y a entidades del sector público internacional en que se tomaron los valores de 1 y 2: 1 si existió contrato y 2 si no existió contrato en cada uno de los casos. Al respecto, se espera una relación negativa entre las variables independientes pertenecientes a esta categoría y entre la variable dependiente, debido a que, cuanto mayor apalancamiento externo haya, mayor la categoría de innovación, de acuerdo con la construcción de las variables dicótomas por parte del DANE y sus respectivos valores, en que se toma un mayor valor cuando no hay apalancamiento externo; por esto, se espera una relación negativa.
Finalmente, como tercer aspecto explicativo de la innovación, se consideraron los diferentes obstáculos que enfrentan las IES para realizar innovaciones, obstáculos se dividieron en tres variables independientes. En primer lugar, los obstáculos asociados a información y capacidades internas de las que se extrajo información sobre escasez de recursos propios, falta de personal calificado, dificultades para el cumplimiento de regulaciones y reglamentos técnicos, escasa información sobre mercados y tecnología disponible e instrumentos públicos de apoyo. En segundo lugar, los obstáculos asociados a riesgos en los que se obtuvo información sobre incertidumbre frente a la demanda de servicios innovadores, incertidumbre frente al éxito en la ejecución técnica del proyecto y baja rentabilidad de la innovación. En tercer lugar, los obstáculos asociados al entorno, de los que se recolectó información sobre dificultades para acceder al financiamiento externo a la empresa, escasas posibilidades de cooperación con otras empresas o instituciones, facilidad por imitación de terceros, insuficiente capacidad del sistema de propiedad intelectual para proteger la innovación y baja oferta de servicios de inspección, pruebas, calibración, certificación y verificación.
En este caso, las variables independientes toman tres posibles resultados: a) cuando el grado de importancia de los obstáculos es alto, b) cuando el grado de importancia de los obstáculos es medio y c) cuando este grado de importancia de los obstáculos es nulo, razón por la que se esperan relaciones positivas entre estas variables independientes y la variable dependiente, dado que, si no hay grado de importancia del obstáculo, es decir, es nulo, mayor categoría de innovación se espera; mientras que, si mayor es el grado de importancia del obstáculo, menor la categoría de innovación.
A continuación, en la tabla 1, se presentan las variables del modelo que propone esta investigación.
3.1 Elección del modelo
El conjunto de observaciones es de corte transversal, ya que es información correspondiente a un año particular, que corresponde a 231 instituciones de IES en Colombia (N = 231), donde los individuos (i) por estudiar son cada una de estas IES que se suponen independiente e idénticamente distribuidas. La variable dependiente es de carácter discreto y corresponde a un vector (Nxl) de variables aleatorias que toman un valor limitado y conocido de valores 𝑌i𝜖 {0,1,2,3,4}, que en este caso son cinco alternativas ordenadas: primero, las IES que no obtuvieron resultados de innovación (0); segundo, las IES que tuvieron la intención de innovar (1); tercero, las IES que son potencialmente innovadoras (2); cuarto las que innovaron en sentido amplio (3); y quinto las IES que obtuvieron innovaciones en sentido estricto (4). El conjunto de variables explicativas X’i = (x i1 , xi2, xi3,..., x iN ) son no estocásticas y están representadas por una matriz (NxK) donde la i-ésima fila expresa la información de las K variables exógenas correspondientes a la i-ésima IES.
El tipo de innovación realizada por las IES, entendido como la variable dependiente del modelo, es discreto y expresa varias alternativas ordinales mutuamente excluyentes. En este caso, la variable dependiente presenta tres problemas: primero, acotamiento que se presenta porque las predicciones de la probabilidad pueden no estar dentro del rango de (0,1); segundo, discretitud, la variable dependiente es una variable discreta no continua que toma valores absolutos; y tercero, incumple el supuesto de normalidad en los errores, por lo que la varianza de los errores no es constate, es decir, se presenta heterocedasticidad, en consecuencia, la regresión lineal no es adecuada para explicar las particularidades de esta variable endógena. Por estas tres razones, en los modelos de variable dependiente discreta, no se utiliza el método de mínimos cuadrados.
El método de máxima verosimilitud, que consiste en maximizar la función de verosimilitud, permite resolver los problemas de acotamiento, discretitud y no normalidad, por esta razón se utilizan los modelos de variable dependiente discreta, que, además, tiene la ventaja de que no requiere el supuesto de normalidad en los errores; sin embargo, los estimadores de máxima verosimilitud coinciden con los obtenidos por el método de mínimos cuadrados (Davidson y MacKinnon, 2004).
Para Davidson y Mackinnon (2004), estos modelos de elección son útiles cuando la decisión de un individuo, en este caso una IES, tiene diferentes alternativas o posibles resultados no cuantificables pero sí observables mediante la asignación de un valor resultado de la veracidad o no de un evento particular. Estos modelos se clasifican en dos: primero, los modelos binomiales de elección discreta cuando la variable de respuesta es categórica y binaria, que se modelan de acuerdo con la función de distribución acumulada; si es logística se habla de un modelo logit, y si es normal, estándar, entonces será un probit.
El segundo conjunto de modelos, de acuerdo con Cameron y Trivedi (2005), se utiliza cuando la variable dependiente expresa tres o más alternativas; en estos casos, se habla de los modelos de elección múltiple en los que su especificación puede ser de cuatro tipos: multinomial -las alternativas no expresan un orden y los regresores no varían entre las alternativas del individuo-, condicional -las alternativas no expresan un orden y los regresores varían a través de las alternativas del individuo-, anidado -la variable de respuesta expresa al menos dos decisiones secuenciales- y ordenado -las alternativas de la variable de interés poseen un orden natural- que es el que sigue esta investigación.
Según Cameron y Trivedi (2005), cuando la variable dependiente es discreta y ordenada, la inclusión de la información que aporta el orden de las posibilidades que puede tener la variable dependiente en la especificación del modelo permite obtener mejores resultados. Así, esta investigación especifica un modelo de regresión de corte transversal, con variable dependiente discreta de elección múltiple ordenado, por lo que se utilizará un modelo multinomial ordenado para establecer los tipos de innovación de las IES en Colombia.
3.1.1 Especificación del modelo multinomial ordenado.
El tipo de innovación como variable dependiente a estimar consta de cinco posibilidades que expresan un orden intrínseco, por ello, se utilizó un modelo multinomial ordenado que se basa en la existencia de una variable latente -tipo de innovación- 𝒚𝒊 𝒐 que no es directamente observada, pero sí puede ser inferida por medio de otra variable observable -categorías del tipo de innovación-𝒚𝒕; a pesar de que la variable latente no es observada, se sabe su interrelación por medio de las probabilidades (Cameron y Trivedi, 2005).
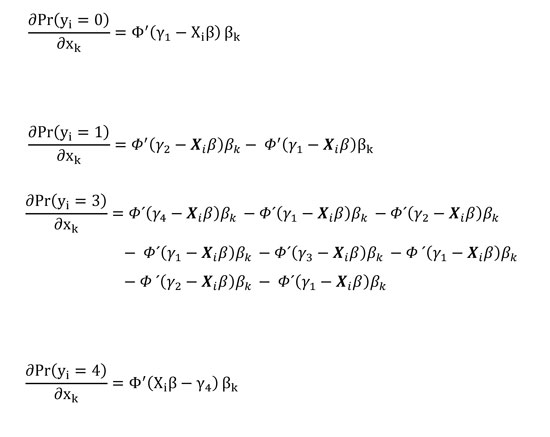
El número de umbrales equivale al número de alternativas menos 1; los límites Y 1 , Y 2 , Y 3 y Y 4 -desconocidos a priori y estimados en el modelo- determinan los valores de 𝒚𝒊 𝒐, y se establecen como las cinco alternativas posibles de 𝒚𝒊. Para que el modelo cumpla con la condición de orden 𝛾1, debe ser menor que 𝛾2, 𝛾2 debe ser menor que 𝛾3,3 debe ser menor que 𝛾4. En todos los casos, la probabilidad de cada una de las cinco posibilidades (𝑦𝑖=0,=1,=2,=3,𝑦𝑖=4) debe ser positiva y están definidas por:
Para IES sin resultados de innovación (0):
Para IES con intención de innovar (1):
Para IES potencialmente innovadoras (2):
Para IES con innovaciones en sentido amplio (3):
Para IES con innovaciones en sentido estricto (4):
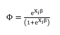
Las probabilidades dependen solo del valor de la función de índice y de los cuatro parámetros de umbral, donde Φ es la función de distribución acumulada de los errores 𝑢𝑖 de la que depende la especificación del modelo. Si es un logit ordenado, se modela como una función logística.
Mediante el método de máxima verosimilitud, se estiman conjuntamente tanto los coeficientes 𝛽 como los umbrales 𝛾, mediante algoritmos iterativos de optimización como el Newton-Raphson, que maximiza la probabilidad de obtener los valores de la variable dependiente. Los parámetros estimados de la regresión no se pueden analizar directamente en su magnitud, sino solo en su signo. Si se quiere cuantificar el aumento de la probabilidad de una de las alternativas dado el cambio de uno de sus regresores, se requiere estimar los efectos marginales (Cameron y Trivedi, 2005).
Según Greene (2007), en los modelos multinomiales, el efecto marginal está articulado con la probabilidad de cada una de las posibilidades, dado que, cuando la probabilidad de una de las opciones se incrementa, al menos en otra alternativa se reduce, de tal manera que, al sumar todas las estimaciones de probabilidad, siempre son igual a uno, por ello, se dice que el efecto marginal es de suma cero, dado que se distribuye la probabilidad de ocurrencia dentro de las alternativas posibles.
3.1.2. Estimación del modelo.
En esta sección, se introduce a la estimación del modelo multinomial ordenado de las IES colombianas entre 2014 y 2015.
La ecuación a estimar en el modelo propuesto para los determinantes de la innovación en el subsector de IES perteneciente al sector servicios corresponde a:
Tipodeinnov = β1(ingreso14) + β2(expor14)- β3(contrsecpubnal) - β4(contrsecpubint + β5(obstainforycapint) + β6(obstariesgos) + β7(obstaentorno)
Donde:
Tipodeinnov = Tipo de innovación (variable dependiente)
Ingreso14 = Ingresos o ventas operacionales recibidos en 2014 (variable independiente)
Expor14 = Exportaciones realizadas en 2014 (variable independiente)
Contrsecpubnal = Contrato para proveer bienes y servicios a entidades del sector público nacional (variable independiente)
Contrsecpubint = Contrato para proveer bienes y servicios a entidades del sector público internacional (variable independiente)
Obstainforycapint = Obstáculos asociados a información y capacidades internas (variable independiente)
Obstariesgos = Obstáculos asociados a riesgos (variable independiente)
Obsta entorno = Obstáculos asociados al entorno (variable independiente)
En primera instancia, se estimó el modelo inicial con todas las variables identificadas que se efectuó por el modelo propuesto, logit ordenado (o_logit). Posteriormente, se procedió a observar las significancias individuales y, según las salidas, se determina el modelo definitivo (Tabla 2).
3.1.2.1. Pruebas de significancia individual.
En este modelo, el estadístico Z se utiliza para comprobar la significancia estadística de las variables independientes de forma individual; este sigue una distribución normal estándar. Cuando la probabilidad del estadístico es inferior al nivel de significancia (𝛼 = 0,05), existe evidencia estadística para rechazar la hipótesis nula que el coeficiente sea igual a cero, por ello, se concluye que ese parámetro individualmente es diferente de cero (𝛽 ≠ 0) y ayuda a explicar la variable dependiente en la mayoría de los casos, excepto las exportaciones de 2014 que no tuvo el signo esperado y los contratos con el sector público internacional que tampoco tuvo el signo esperado.
En los resultados de la estimación presentada en la tabla 2, se observa que los ingresos o las ventas operacionales recibidos en 2014, los contratos para proveer bienes y servicios a entidades del sector público nacional, los obstáculos asociados a información y capacidades internas, los obstáculos asociados a riesgos y los obstáculos asociados al entorno explican cada una, individualmente, el desempeño innovador de la IES.
Por el contrario, existe evidencia para no rechazar la hipótesis nula que 𝛽 = 0, para las variables de exportaciones realizadas en 2014 y los contratos para proveer bienes y servicios a entidades del sector público internacional.
3.1.2.2. Prueba de significancia conjunta.
Mediante el estadístico chi-cuadrado se efectuó el test de Wald que evalúa la significancia conjunta de los parámetros. La prueba consiste en testar la hipótesis nula de que todos los coeficientes estimados son estadísticamente iguales a cero (Greene, 2007). En la tabla 2, se observa que en el modelo estimado la probabilidad (p) es inferior al nivel de significancia (α = 0,05), entonces se puede rechazar la hipótesis nula de que todos los coeficientes de regresión del modelo son iguales a cero, es decir, se deben dejar todas las variables porque, en conjunto, ayudan a explicar el desempeño innovador.
3.1.2.3. Bondad de ajuste del modelo.
Con el fin de seleccionar el mejor modelo para utilizar como estimación de los determinantes de la innovación en IES, se efectuaron contrastes de los dos principales indicadores de la bondad de ajuste (Tabla 2): el pseudo R2 de McFadden y el valor de verosimilitud log-likelihood.
El pseudo R2 de McFadden es la principal medida de ajuste del modelo; cuanto mayor sea este estadístico, mayor es su capacidad explicativa (Cameron y Trivedi, 2005). Es importante aclarar que este estadístico no es equivalente al R2 del modelo de regresión lineal, dado que el método de estimación no es por mínimos cuadrados sino por máxima verosimilitud. De acuerdo con (Pando y San Martín, 2004, p. 326). El «rango teórico de valores es 0 ≤ R2 Mf ≤ 1, pero muy raramente su valor se aproxima a 1, suele considerarse una buena calidad de ajuste cuando 0,2 ≤ R2 Mf ≤ 0,4». El valor que presenta el logit multinomial ordenado con todas las variables (r2_ p = 0,5232) se concluye que es un buen modelo.
El valor del log-likelihood simboliza las iteraciones sucesivas que se efectuaron para converger al valor que maximiza la función de verosimilitud; cuanto menor sea este estadístico en términos absolutos, mejor ajuste posee la estimación. En este caso, el log-likelihood para el logit multinomial ordenado con todas las variables (ll = -102,80).
Para este análisis, se ha elegido el modelo multinomial ordenado con todas las variables, dados los resultados de los estadísticos de bondad de ajuste, a pesar de que posee dos regresores no significativos. Sin embargo, estos, en conjunto, ayudan a explicar la variable dependiente; además, cuando ellas son excluidas del modelo, la bondad de ajuste se reduce.
4. Resultados
Como ya se mencionó, en la regresión del logit multinomial ordenado, se verifican los signos que corresponden a la relación que tiene cada variable independiente con la variable dependiente, pero no se interpretan los betas. Para obtener la probabilidad de ocurrencia de cada tipo de innovación y el impacto en esta por parte de cada variable independiente, se analizan los efectos marginales (tabla 3).
De acuerdo con la tabla 3, al evaluar el tipo de innovación que obtiene una IES representativa de Colombia, se observa que la probabilidad que una IES en Colombia en 2014 no obtenga innovaciones o sea no innovadora, bajo el concepto del DANE que menciona que «son aquellas empresas que en el periodo de referencia de la encuesta no obtuvieron innovaciones, ni reportaron tener en proceso, o haber abandonado algún proyecto, ni tener la intención de iniciar algún proyecto de innovación para la obtención de innovaciones» (DANE, 2016), es del 4,65 %, de modo que son los factores más relevantes para esto los ingresos o las ventas operacionales recibidos en 2014, los obstáculos asociados a información y las capacidades internas, y los obstáculos asociados al entorno, lo que es importante frente a las políticas internas de las IES y frente a las políticas públicas encaminadas a fortalecer los procesos de innovación en ámbitos académicos como motor de crecimiento del país.
Continuando con el análisis de la tabla 3, por cada millón de pesos adicional percibido por ventas operacionales, la probabilidad de no obtener una innovación se reduce en un 0,28 %. Así mismo, cuando una IES pasa de tener contratos para proveer bienes y servicios a entidades del sector público nacional a no tenerlos, la probabilidad de no obtener resultados en innovación se incrementa en el 3,82 %. Con referencia a los obstáculos, la probabilidad de que una IES no obtenga una innovación se reduce en un 9 % en la medida en que, cuanto menor importancia tengan los obstáculos asociados a información y capacidades internas y se reduce en un 7,31 % cada vez que los obstáculos del entorno sean menos importantes. Por último, los obstáculos asociados al riesgo aumentan la probabilidad de no obtener una innovación en una IES en un 4.25 % cada vez que sea menos importante el obstáculo.
De acuerdo con la tabla 4, la probabilidad de que una institución de educación superior en Colombia en 2014 tenga la intención de innovar, bajo el concepto del DANE que menciona que «son aquellas empresas que durante el periodo de referencia tuvieron la intención de realizar algún proyecto para la introducción de servicios o bienes nuevos o significativamente mejorados, o la implementación de procesos nuevos o significativamente mejorados, de métodos organizativos nuevos, o de técnicas de comercialización nuevas» (DANE, 2016), es del 4,19 %, de modo que son los factores más relevantes para esto los ingresos o las ventas operacionales recibidos en 2014 los obstáculos asociados a información y capacidades internas y los obstáculos asociados al entorno.
Entre los resultados más significativos para este tipo de innovación, se encontró que por cada millón de pesos adicional percibido por ventas operacionales la probabilidad de que una IES tenga la intención de innovar se reduce en un 0,23 %, del mismo modo en la medida en que menor importancia tengan los obstáculos asociados a información y capacidades internas la probabilidad de que una IES tenga la intención de innovar se reduce en un 7,39 % y también disminuye en un 5,97 % cada vez que los obstáculos del entorno sean menos importantes.
En la tabla 5, se observa que la probabilidad de que una IES en Colombia en 2014 sea potencialmente innovadora, de acuerdo con el concepto del DANE que menciona que «son aquellas empresas que reportaron tener en proceso o haber abandonado algún proyecto de innovación» (DANE, 2016), es del 18,34 %, valor superior a los anteriores, de modo que son los factores más relevantes para esto los ingresos o las ventas operacionales recibidos en 2014, la existencia de contratos para proveer bienes y servicios a entidades del sector público nacional, los obstáculos asociados a información y capacidades internas, los obstáculos asociados a riesgos y los obstáculos asociados al entorno.
Continuando con los resultados de la tabla 5, por cada millón de pesos adicional percibido por ventas operacionales, la probabilidad de que una IES sea potencialmente innovadora se reduce en un 0,75 %, así mismo, cuando una IES pasa de tener contratos para proveer bienes y servicios a entidades del sector público nacional a no tenerlos, la probabilidad de ser potencialmente innovador para una IES se incrementa en un 10,10 %. Frente a los obstáculos, la probabilidad de que una IES pertenezca a este tipo de innovación se reduce en un 23,93 % en la medida en que, en cuanto menor importancia tengan los obstáculos asociados a información y capacidades internas, se reduce en un 19,33 % cada vez que los obstáculos del entorno sean menos importantes. Por último, los obstáculos asociados al riesgo aumentan la probabilidad de una IES en un 11,25 % cada vez que sea menos importante el obstáculo.
En el tipo de innovación en sentido amplio, que el DANE define como «empresas que obtuvieron al menos un servicio o bien nuevo o significativamente mejorado en el mercado nacional o para la empresa, o que implementaron un nuevo o significativamente mejorado método de prestación de servicios o una forma organizacional o de comercialización» (DANE, 2016), se observa que la probabilidad que una IES en Colombia en 2014 pertenezca a esta categoría es del 72,67 %, de modo que es la categoría más popular en cuanto a instituciones de educación superior se refiere. Como factores más importantes se tienen los ingresos o las ventas operacionales recibidos en 2014, la existencia de contratos para proveer bienes y servicios a entidades del sector público nacional, los obstáculos asociados a información y capacidades internas, los obstáculos asociados a riesgos y los obstáculos asociados al entorno.
De la tabla 6, se obtienen como resultados que por cada millón de pesos adicional percibido por ventas operacionales la probabilidad de que una IES sea innovadora en sentido amplio aumenta en un 1,25 %. Continuando cuando una IES pasa de tener contratos para proveer bienes y servicios a entidades del sector público nacional a no tenerlos, la probabilidad de pertenecer a este tipo de innovación disminuye en un 16,92 %. Además, en lo que se refiere a los obstáculos asociados a información y capacidades internas, la probabilidad de que una IES pertenezca a esta categoría de innovación aumenta en un 40,08 % cada vez que estos sean menos importantes, también aumenta cada vez que los obstáculos del entorno sean menos importantes en un 32.37 %. Finalmente, cuando los obstáculos están asociados al riesgo la probabilidad disminuye en un 18,84 % cada vez que estos sean menos importantes.
Por último, en la tabla 7, se observan los resultados arrojados por el modelo propuesto. En el caso del tipo de innovación en sentido estricto, que el DANE conceptualiza como «aquellas empresas que en el periodo de referencia de la encuesta obtuvieron al menos un servicio o bien nuevo o significativamente mejorado en el mercado internacional» (DANE, 2016), la probabilidad de que una IES en Colombia en 2014 realice este tipo de innovaciones es del 0,1 %, un dato muy cercano a cero, razón por la que ninguna de las variables independientes fue significativa, ni siquiera al 90 %.
Lo anterior da cuenta de la falta de innovaciones en sentido estricto en Colombia, sobre todo en un subsector que trabaja y se desempeña en el ámbito académico e investigativo, y debería ser referente en la constitución de elementos clave en procesos innovadores. Este hecho no aislado da muestra del problema que tiene el país en este sector, que trata de impulsar, pero aún no lo ha logrado de la forma requerida, además sería importante llevarlo desde la academia, que es la encargada de la formación de los individuos presentes y futuros de la nación.
5. Conclusión
En Colombia, el sector de IES, de acuerdo con los resultados presentados por el DANE (2016), mayoritariamente produce al menos un servicio o bien nuevo o significativamente mejorado en el mercado nacional o para la empresa, o que implementaron un nuevo o significativamente mejorado método de prestación de servicios o una forma organizacional o de comercialización, es decir, innovaciones en sentido amplio que aportan o pueden ser utilizadas en el ámbito local, pero no en el plano internacional, donde somos superados ampliamente por las economías desarrolladas.
Para que las IES puedan producir innovaciones en sentido estricto, es necesario aumentar las relaciones de cooperación con el sector público nacional e internacional, a pesar de que este último no resultó ser significativo en ningún caso. Sin embargo, en Colombia, el 4 % de las IES tienen contratos con el sector público internacional y el 58 % con el sector público nacional.
Los ingresos o las ventas operacionales recibidos en 2014, los obstáculos asociados a información y capacidades internas y los obstáculos asociados al entorno son las variables que mejor explican los tipos de innovación en Colombia. El primero mantiene una relación positiva, en la que a mayores ingresos generados por ventas operacionales mayores probabilidades de avanzar en los tipos de innovación, mientras que en los segundos, pertenecientes a la categoría de obstáculos, en el desempeño que estos sean menos importantes para las IES mayor será el tipo de innovación logrado, siempre y cuando la menor importancia haga referencia a mayor capacidad de vencer el obstáculo.
Cuanto mayor importancia se les den a los obstáculos asociados a riesgos, mayores serán los resultados en innovación. De igual manera, esta variable y los contratos con el sector público nacional son las siguientes más relevantes en innovación, mientras que las exportaciones y los contratos con el sector público internacional no parecen ser importantes en el caso de la innovación en IES, ya que ninguna fue significativa, en ningún caso de innovación. Además de tener los signos no esperados, lo que conduce a pensar que las IES de Colombia no son contratadas por otros gobiernos para proveer bienes o servicios, un punto importante en el que el Gobierno y las IES deberían trabajar, de forma tal que se logre mayor visibilización de nuestras IES en el ámbito internacional.





























