Services on Demand
Journal
Article
Indicators
-
Cited by SciELO -
Access statistics
Related links
-
Cited by Google -
Similars in
SciELO -
Similars in Google
Share
Agronomía Colombiana
Print version ISSN 0120-9965
Agron. colomb. vol.28 no.2 Bogotá May/Aug. 2010
Tasas e índices de crecimiento a segundo pico de cosecha en clavel estándar cv. Nelson cultivado en suelo y en sustratos
Rates and indexes of standard carnation cv. Nelson grown in soil and substrates to second harvest peak
Adriana del P. Baracaldo A.1, Alejandra Ibagué O.1 y Víctor J. Flórez R.1, 2
1 Departamento de Agronomía, Facultad de Agronomía, Universidad Nacional de Colombia, Bogotá (Colombia).
2 Autor de correspondencia. vjflorezr@unal.edu.co
Fecha de recepción: 21 de mayo de 2009. Aceptado para publicación: 28 de julio de 2010
RESUMEN
Debido a problemas sanitarios, en Colombia se optó por cultivar el clavel en sistemas sin suelo, cuyo sustrato tiene como base la cascarilla de arroz quemada. El objetivo de este estudio, llevado a cabo en las instalaciones del SENA - Centro Multisectorial de Mosquera, fue la evaluación de algunos parámetros de crecimiento del clavel estándar cv. Nelson a segundo pico de cosecha, establecido en el suelo y en los siguientes sustratos (tratamientos): cascarilla de arroz quemada 100%; cascarilla de arroz quemada 65% - fibra de coco 35%; cascarilla de arroz quemada 35% - fibra de coco 65%. A través de muestreos destructivos se obtuvieron medidas de área foliar y masa seca por órganos. A partir de esta información se modelaron las curvas de crecimiento del cultivo, y se calcularon los siguientes parámetros: relación de masa foliar, índice de área foliar, área foliar específica, tasa relativa de crecimiento, tasa de asimilación neta y tasa de crecimiento del cultivo. Los resultados revelan que la masa seca de las hojas correspondiente al tratamiento suelo fue significativamente mayor que la de las plantas cultivadas en el sustrato que contenía un 100% de cascarilla de arroz quemada. Los datos de masa seca total indican que las plantas del tratamiento suelo tienen una tasa absoluta de crecimiento más baja y tardía, de lo que se infiere una lenta y baja exportación de asimilados. Estas plantas también presentaron menor área foliar específica al final del periodo evaluado, lo cual indica que poseen hojas más gruesas. Con base en el comportamiento de las tasas de crecimiento relativo, de crecimiento del cultivo y de asimilación neta, se puede concluir que las plantas cultivadas en sustrato tienden a exportar más asimilados hacia los botones florales que las plantas del tratamiento suelo.
Palabras clave: sustratos orgánicos, cultivo sin suelo, asignación de masa seca, flor de corte.
ABSTRACT
Because of sanitary problems, Colombian carnation growers have adopted soilless cropping systems, which make use of burnt rice husk substrates. Hence, the objective of the present research study, conducted in the SENA facilities at the multisectorial center of the municipality of Mosquera, was the evaluation of a series of growth parameters of the second harvest peak of standard carnation cv. Nelson grown on soil and on the following substrates (treatments): 100% burnt rice husks, 65% burnt rice husks plus 35% coconut fiber, and 35% burnt rice husks plus 65% coconut fiber. By means of destructive sampling we measured foliar area and dry mass by plant organs. Based these data, we modeled the growth curves of the crop, and calculated the following parameters: leaf weight ratio, leaf area index, specific leaf area, relative growth rate, net assimilation rate and crop growth rate. Leaves dry mass was significantly higher in the soil treatment than in the 100% burnt rice husks one. Total dry mass data indicate that the former treatment determines a lower and later absolute growth rate, from which a low assimilate export can be inferred. These same plants also showed lower specific leaf area, indicating they have thicker leaves. The behavior of the relative growth, net assimilation and crop growth rates reveals that the substrate grown plants tend to export more assimilates to the flower bud than those grown on soil.
Key words: organic substrates, soilless culture, dry mass allocation, cut flower.
Introducción
Debido a que la producción de clavel en suelo estaba afectada por la marchitez vascular del clavel, enfermedad ocasionada por Fusarium oxysporum, la mayoría del área cultivada con esta especie pasó a ser sembrada en sustrato, principalmente cascarilla de arroz. Dado que se trata de un subproducto de la industria arrocera, resulta económico, abundante y de fácil consecución.
La cascarilla de arroz es un sustrato orgánico de baja tasa de descomposición, debido a su alto contenido de sílice. Entre sus características físicas se presenta como material de buen drenaje, buena aireación, pero con baja tasa de retención de humedad inicial, por lo que es difícil conservar la humedad homogéneamente cuando se usa como único sustrato en camas; sin embargo, con el tiempo aumenta su capacidad de retención de humedad. Para mejorar las propiedades físico-químicas de este material se recurrió a su quema parcial o tostión, alternativa más usada en la actualidad (Calderón y Cevallos, 2001).
La fibra de coco, a pesar de ser más costosa que la cascarilla de arroz, también es una alternativa de sustrato, ya que es un material orgánico de lenta descomposición, subproducto obtenido del mesocarpo del fruto del cocotero; la cáscara que lo recubre se aprovecha en la industria textil, el residuo que genera puede ser usado como sustrato del cultivo (polvo de coco) (Alarcón y Murcia, 2000). Las propiedades físicas de este sustrato muestran una gran similitud con las características de las turbas rubias (tamaño de partícula, inercia térmica, curvas de retención de humedad, aireación y drenaje) (Fonteno, 1999; Alarcón, 2000).
Por otro lado, el crecimiento de las plantas se define como un proceso fisiológico que evidencia un incremento irreversible en el tamaño de la planta (incremento de masa, número de células, cantidad de protoplasto y volumen, en función del tiempo, que involucra procesos de división, expansión y diferenciación celular), el cual es acompañado de cambios en la forma. El patrón de crecimiento de una generación se describe por medio de la curva sigmoidea, la cual presenta tres fases: logarítmica, lineal y de senescencia (Hunt, 1982; Salisbury y Ross, 2000).
Los índices de crecimiento son parámetros que permiten describir cuantitativamente el crecimiento; sus componentes son relativamente simples y permiten analizar y comparar la habilidad de una especie vegetal para crecer y desarrollarse en un ambiente dado en función del tiempo (Lambers et al., 2008).
El análisis de crecimiento se puede ajustar a modelos matemáticos para cuantificar la relación existente entre el crecimiento de una planta, la producción de masa seca y la expansión de área foliar, o entre estos factores y condiciones ambientales como luz, agua o nutrientes. El desarrollo de estos métodos de análisis proporciona mayor comprensión de los procesos de crecimiento y de las limitaciones en el rendimiento del cultivo (Brown, 1984).
Para realizar un análisis de eficiencia fisiológica de una planta en función de sus parámetros de crecimiento se requieren dos operaciones básicas: 1) la cuantificación del material vegetal existente en un planta o en un cultivo, y 2) la medida del sistema asimilador de esa planta o ese cultivo en intervalos de tiempo sucesivos (Flórez et al., 2006).
De estas operaciones se obtienen medidas directas de la planta, como la masa seca, el área foliar, e índices derivados como las tasas absoluta y relativa de crecimiento (TAC y TRC), la tasa de asimilación neta (TAN), la relación área foliar (RAF), el área foliar específica (AFE) y la masa foliar específica (MFE), y para el análisis funcional de la comunidad vegetal, el índice de área foliar (IAF), la tasa de crecimiento del cultivo (TCC) y la tasa de asimilación neta (TAN). En un análisis del crecimiento completo se evalúa la planta y la comunidad (Gardner et al., 1985).
Después de la primera cosecha, la planta de clavel vuelve a entrar en una etapa vegetativa en la que se desarrollan brotes laterales por debajo de los puntos de corte. Esta etapa es menos uniforme que la correspondiente a la primera cosecha, ya que los brotes laterales son inducidos no solamente por la cosecha de flores, sino también por la luminosidad y la misma condición reproductiva. Estos brotes pasarán igualmente por periodos de crecimiento vegetativo, elongación y desarrollo de botones florales, hasta culminar en una segunda floración, lo cual se denomina segunda cosecha o segundo pico de producción. El proceso se repite para dar lugar a una tercera y cuarta floración, las cuales se entrelazan dando lugar a una producción relativamente estable (Pizano de Márquez, 2000).
Debido a la carencia de información sobre la eficiencia fisiológica del clavel estándar cultivado en sustratos, en comparación con el sistema tradicional en suelo en el agroecosistema de la Sabana de Bogotá, se propuso realizar el presente trabajo, explorando, además, mezclas de sustratos orgánicos disponibles en nuestro medio. Para el estudio se seleccionó la variedad Nelson, de color rojo, una de las más representativas del sector.
El presente trabajo tuvo por objetivo evaluar las tasas y los índices de crecimiento del clavel estándar cv. Nelson sembrado en diferentes tipos de sustrato y en suelo, a segundo pico de cosecha en condiciones de invernadero en la Sabana de Bogotá. Esto, con la finalidad de cuantificar la eficiencia fisiológica, a través de variables de interés agronómico, en las plantas de clavel cultivadas en sustratos de uso potencial en la Sabana de Bogotá.
Materiales y métodos
El ensayo se realizó entre agosto y diciembre del año 2005, en las instalaciones del SENA - Centro Multisectorial de Mosquera, Cundinamarca, ubicado a 4,7° N y 74,2° W y a 2.556 msnm, con promedios anuales de 14,7°C de temperatura, 645 mm de precipitación y 80% de humedad relativa.
Para la realización del ensayo se construyó un módulo de invernadero tradicional en madera, compuesto de cuatro naves con ventilación cenital y un sistema de cortinas laterales manuales. Se sembraron esquejes con raíz de clavel estándar cv. Nelson en sustrato y en suelo. Para el sistema de cultivo en sustrato se construyeron camas elevadas de 0,85 x 30 m, en donde se acondicionaron dos hileras de diez contenedores de 0,3 x 3 m en cada hilera. Para el montaje de estos contenedores de forma cóncava se utilizó plástico negro calibre 6, madera y alambre como soportes, de tal forma que cada contenedor tuviera la capacidad para 2,7 m3 de sustrato. Las plantas se sembraron en surcos dobles a una distancia de 11 cm entre plantas y 22 cm entre surcos, para un total de 1.092 plantas por cama y una densidad de 24,3 plantas/m2 en invernadero.
Los tratamientos evaluados fueron cascarilla de arroz quemada 100% (100CAQ); cascarilla de arroz quemada 65% - fibra de coco 35% (65CAQ); cascarilla de arroz quemada 35% - fibra de coco 65% (35CAQ) y suelo. Para este último tratamiento se usó un suelo franco, con 37,3% de arena, 22,3% de arcilla y 40,3% de limo.
Para controlar la cantidad de solución nutritiva aplicada, se utilizó el sistema de riego computarizado Galileo. Las soluciones nutritivas se prepararon de acuerdo con referencias de los cultivos comerciales, en las siguientes concentraciones (mg L-1): N, 150; P, 30; K, 125; Ca,160; Mg, 30; S, 24; Fe, 1,5; Cu, 1,5; Zn, 0,5; B, 1; Mo, 0,1. Se aplicó diariamente en promedio 120 L por cama de solución en cuatro pulsos para sustratos y dos pulsos para suelo. En días soleados y en días nublados los volúmenes de riego aumentaron o disminuyeron, en promedio al día 30 L cama.
El control de plagas y enfermedades, así como el tutoraje y desbotone, se manejaron como lo hacen de rutina en las empresas comerciales. Para la segunda cosecha, las plantas se sometieron a una poda de limpieza que homogenizó la generación de los nuevos brotes que dieron origen a los tallos.
En los muestreos destructivos propuestos a segundo pico de cosecha se utilizaron 240 plantas en estadios predeterminados, en semanas calendario: poda (semana 31), valle entre picos (semana 37), pico de desbotone (semana 43) y pico de producción (semana 48). Se midieron las variables área foliar, masa seca de hojas, masa seca de tallos y masa seca total, en las instalaciones del Laboratorio de Fisiología Vegetal de la Facultad de Agronomía, Universidad Nacional de Colombia, sede Bogotá.
A partir de las variables de cada uno de los muestreos, se modeló el crecimiento mediante el uso de la función logística (ecuación 1).
(1)donde α es la máxima magnitud de la variable, κ es el parámetro que determina la pendiente de la curva y γ es el momento en que se logra la máxima tasa de crecimiento (Seber y Wild, 1989).
El crecimiento se cuantificó con la tasa absoluta de crecimiento (TAC), relación masa foliar (RMF), índice de área foliar (IAF), área foliar específica (AFE), tasa relativa de crecimiento (TRC), tasa de asimilación neta (TAN) y tasa de crecimiento del cultivo (TCC), como se muestra en Flórez et al. (2006), los cuales se obtuvieron a partir de las curvas de algunas variables de los muestreos destructivos.
El diseño experimental utilizado fue bloques completos al azar, con tres bloques y tres tratamientos, en donde la unidad experimental contó con dos camas de cultivo de 25,5 m2 cada una. El tratamiento suelo con tres repeticiones se mantuvo fuera del diseño. Para el análisis de muestras en los bloques se tomaron tres plantas por cama, para un total de 216 plantas en las cuatro evaluaciones realizadas; y en el tratamiento suelo se muestrearon dos plantas por unidad experimental, para un total de 240 plantas evaluadas en este estudio. El análisis estadístico se realizó con el software estadístico SAS versión 9.1 (SAS Institute Inc., Cary, NC).
Resultados y discusión
En la Tab. 1 se observan los valores estimados para los parámetros α, κ y γ según el ajuste al modelo logístico a partir de las variables área foliar, masa seca foliar, masa seca del tallo y masa seca total, las cuales se utilizaron para la determinación de los índices de crecimiento. Para las variables en estudio se observa que los valores de los tres parámetros estimados no presentaron diferencias estadísticamente significativas, excepto para la masa seca foliar.
En el tratamiento 100CAQ se observaron los mayores valores de TAC para las variables evaluadas (masa seca de tallos: 4,17 g semana-1, área foliar: 117,44 cm2 semana-1 y masa seca foliar: 6,90 g semana-1), excepto para la masa seca total, cuyo mayor valor fue alcanzado por el tratamiento 35CAQ (8,69 g semana-1) (Fig. 1).
Área foliar
Los tallos florales de las plantas en 35CAQ alcanzaron la mayor TAC para la variable área foliar en la semana 33 (γ), sin presentar diferencias significativas en comparación con los demás tratamientos. Para el tratamiento 100CAQ, la TAC para esta variable se incrementó hasta la semana 32 (Tab. 1), para luego, a diferencia de los demás tratamientos, disminuir de manera notoria (Fig. 1b).
Según Marcelis et al. (1998), el desarrollo del área foliar se puede ver como la combinación de cuatro procesos: tasa de emisión foliar, tasa y duración de expansión de hojas individuales y vida útil de las hojas individuales.
La diferencia en área foliar entre la primera y la segunda producción supone una mejor adaptación de las plantas a las condiciones del suelo o de los sustratos, ya que posiblemente la disponibilidad de nutrientes, entre otros factores, mejoró en los medios de cultivo con el transcurso del tiempo (Verhoeven et al., 2004; Cárdenas et al., 2006).
Masa seca foliar
En el tratamiento suelo se encontró que el máximo valor estimado para esta variable (parámetro α) es significativamente mayor a 100CAQ (Tab. 1). Sin embargo, para 100CAQ, la TAC de la variable fue más precoz y de mayor valor (Fig. 1c), para, posteriormente y de forma análoga a las variables masa seca del tallo y área foliar, decrecer más acentuadamente que los demás tratamientos.
Masa seca del tallo
Las plantas del tratamiento 100CAQ, al presentar el mayor valor de TAC tienden a acumular masa seca en los tallos más rápidamente (Tab. 1), que luego decae de forma rápida (Fig. 1a). Este comportamiento evidencia una rápida y mayor acumulación de fotoasimilados y su ágil exportación a los demás tejidos de la planta.
En las últimas semanas de evaluación, la masa seca de tallos para las plantas del tratamiento suelo tiende a ser mayor que la de los demás tratamientos (Fig. 1a); esto se debe al mayor número de tallos por planta y no al peso de los tallos (Baracaldo et al., 2010).
El comportamiento de la masa seca del tallo en este estudio fue similar al del primer pico de producción, reportado por Cárdenas et al. (2006): al final de la evaluación, las plantas del tratamiento 100CAQ estuvieron por debajo de los tratamientos 65CAQ y 35CAQ; sin embargo, obtuvieron la máxima TAC. De forma similar, para las demás variables (área foliar y masa seca foliar y total) los valores máximos de la TAC de las plantas en los tratamientos 100CAQ y 35CAQ estuvieron por encima de 65CAQ.
Masa seca total
A diferencia de las demás variables, el mayor valor de TAC para la masa seca total lo presentó el tratamiento 35CAQ, aunque 100CAQ continúa siendo más precoz (Fig. 1d).
Pese a que la masa seca foliar del tratamiento suelo fue significativamente mayor al tratamiento 100CAQ, esta diferencia no se reflejó en el área foliar ni en la masa seca total de las plantas (incluido el botón floral) (Tab. 1).
Debido a los valores bajos del parámetro κ de las variables evaluadas, en particular, en las plantas del tratamiento suelo se evidencia una TAC de menor valor (Fig. 1). Esto indica que en comparación con los demás tratamientos, la exportación de asimilados fue tardía y de menor valor; sin embargo, no se constataron diferencias estadísticas significativas.
Comparando con las curvas obtenidas de las plantas en los tres sustratos en la primera producción para las variables antes mencionadas, el desarrollo de la segunda producción fue más rápido, debido a que se contaba con una masa seca previa del primer ciclo de producción. En consecuencia, los valores máximos de la TAC para esas cuatro variables se obtuvieron antes que para los tallos de la primera producción (Cárdenas et al., 2006).
Los valores alcanzados al final de la evaluación para las variables área foliar y masa seca del tallo, foliar y total superan los obtenidos en la primera producción por Cárdenas et al. (2006), lo que indica mayor eficiencia en fijación de carbono y en asimilación de nutrientes en esta segunda producción.
Relación masa foliar (RMF)
En la Fig. 2a se aprecia que hacia las semanas 31 a 34 de desarrollo del cultivo, el tratamiento suelo presentó la menor RMF, en comparación con las plantas de los demás tratamientos. Se puede inferir que para las plantas en suelo, la inversión de masa seca para la formación de botones florales fue menor, lo cual se verifica con la tardía aparición de los botones y los menores valores de longitud y diámetro del botón floral (Baracaldo et al., 2010).
Índice de área foliar (IAF)
El incremento del IAF en las plantas del tratamiento suelo fue lento y estable, lo cual indica que estas plantas no dejaron de incrementar su área foliar, contrario a las plantas de los sustratos, que aunque en ellas el IAF no disminuye en el transcurso de la evaluación, al final se presentan incrementos menores, sobre todo en las plantas en 100CAQ (Fig. 2b).
La intersección de la luz por las hojas depende del área foliar y de la manera como están dispuestas en la planta (Loomis, 1997). El tratamiento 35CAQ presentó un IAF superior, lo que indica que tenía más posibilidad de fotosintetizar, en comparación con las plantas de los demás tratamientos.
Área foliar específica (AFE)
Como se observa en la Fig. 2c, las plantas de todos los tratamientos presentaron una disminución de AFE al inicio de la evaluación, debido a la exportación de asimilados para la formación de los brotes que darían origen a los tallos de la segunda producción.
En general, las plantas del tratamiento suelo presentaron el menor AFE (Fig. 2c), es decir que las hojas de estas plantas tuvieron menor área foliar y mayor masa, en comparación con 100CAQ, 65CAQ y 35CAQ. En estos tratamientos, las plantas presentaron hojas más delgadas y con mayor área, con posibilidad de interceptar más radiación y, en consecuencia, mayor producción de asimilados que pueden ser invertidos en crecimiento. Al final, las plantas establecidas en 35CAQ presentaron el mayor AFE de la evaluación (Fig. 2c).
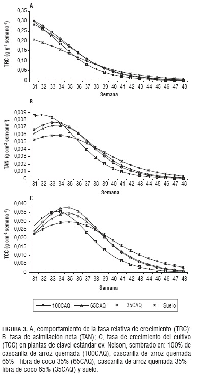
Tasa relativa de crecimiento (TRC)
En la Fig. 3a se muestra que la máxima TRC ocurre al inicio de la evaluación y decrece con la edad de la planta, conforme a lo planteado por Brown (1984). Esto evidencia la exportación de asimilados hacia distintas partes de la planta.
Las plantas del tratamiento 100CAQ exportaron asimilados de forma rápida, mientras que en las plantas del tratamiento suelo esta exportación fue más lenta (Fig. 3a).
Las plantas manifiestan cambios en características de desarrollo y estructura debido a su exposición en ambientes particulares (Grime y Mackey, 2002). El entorno edáfico influye en el desarrollo de las raíces, porque aunque este sea controlado genéticamente, las raíces son susceptibles al impedimento mecánico, la temperatura, la aireación, la disponibilidad de agua y de sales (Salisbury y Ross, 2000). Alguno o varios de estos factores podrían afectar el suelo, incidiendo en la baja TRC de las plantas en este tratamiento.
Según Grime y Hunt (1975), la mayor TRC la alcanzan las especies cultivadas en condiciones de mayor fertilidad, por lo que en este estudio se infiere que la disponibilidad de nutrientes para las plantas establecidas en los sustratos fue mayor.
Tasa de asimilación neta (TAN)
La mayor asimilación de carbohidratos por parte de las plantas en todos los tratamientos se presentó en las primeras semanas, con valor máximo (0,009 g cm-2 semana-1) y precoz (semana 32) para 100CAQ. Entre las semanas 32 y 34 se inicia un descenso de la TAN en todos los tratamientos, con comportamientos contrastantes para 100CAQ y suelo: acentuado y sostenido, respectivamente (Fig. 3b). Así, la traslocación de asimilados a otros tejidos de la planta sería más eficiente en el tratamiento 100CAQ.
En la Tab. 2 se verifica que la TRC está correlacionada de forma altamente significativa con la TAN y la RMF, lo que indica que aumentos o disminuciones en cualquiera de estos dos componentes afectan el crecimiento de la TRC.

Tasa de crecimiento del cultivo (TCC)
Debido a que la TCC se calcula teniendo en cuenta la masa seca total (Flórez et al., 2006), el comportamiento de las curvas de la TCC (Fig. 3c) fue similar al de las curvas de la TAC para la variable masa seca total (Fig. 1d). Los valores máximos por semana alcanzados por la TCC en las plantas de clavel fueron 0,035 g cm-2 en la semana 34 para 100CAQ, y 0,038 g cm-2 y 0,029 g cm-2 en la semana 35 para 35CAQ y suelo, respectivamente. En esta misma semana el tratamiento 65CAQ obtuvo su valor máximo de TCC.
Analizando la TCC desde el punto de vista de sus componentes (IAF y TAN), en el tratamiento suelo se puede observar que el IAF (Fig. 2b) aumenta de forma constante, lo que se traduce en una lenta exportación de asimilados, verificable a través del comportamiento de la TAN (Fig. 3b), caso contrario a lo que sucede con el tratamiento 100CAQ, en el cual el IAF crece de manera menos pronunciada al final de la evaluación (Fig. 2b) y, en consecuencia, el decrecimiento de la TAN es más acentuado (Fig. 3b). Aunque sin diferencia estadística significativa (Tab. 3), es evidente la influencia de la TAN en la TCC.

La mayor captura de luz depende del área foliar y de la habilidad fotosintética (Loomis, 1997). La máxima TCC ocurre cuando las plantas son suficientemente grandes o densas para optimizar el uso de los factores ambientales. En ambientes favorables, la máxima TCC en una especie dada ocurre cuando la cobertura de las hojas es completa y representa el máximo potencial de producción de masa seca y de tasas de conversión de energía. Por el contrario, la TCC es baja en los estadios tempranos del desarrollo debido a una cobertura incompleta y al bajo porcentaje de interceptación de luz (Brown, 1984).
Observando la TRC, la TCC y la TAN, se infiere que las plantas cultivadas en suelo presentan una baja y lenta exportación de asimilados, mostrando poca habilidad fotosintética.
Poorter y Pothmann (1992) encontraron mayores TRC en plántulas de especies cultivadas en hábitat fértil, en comparación con las cultivadas en ambientes pobres en nutrientes, y que esta diferencia fue debida principalmente a la variación en el AFE (área foliar/masa seca foliar) y en menor extensión a la RMF (masa foliar/masa seca total). Entre tanto, la TAN no afectó sistemáticamente la TRC. Sin embargo, en esta investigación la TRC fue afectada por la TAN y la RMF.
Conclusiones
Los valores de los parámetros estimados (α, κ y γ) para las variables evaluadas no presentaron diferencias estadísticas significativas, excepto para la masa seca foliar, donde el parámetro α del tratamiento suelo fue significativamente mayor a 100CAQ.
El comportamiento de la TAC en el tratamiento 100CAQ fue precoz y de mayor valor para las variables evaluadas, excepto para la masa seca total, cuyo mayor valor fue alcanzado por el tratamiento 35CAQ. Las plantas del tratamiento suelo evidencian una TAC para la masa seca total más baja y tardía, lo que indica que la exportación de asimilados fue lenta y de menor valor, en comparación con los demás tratamientos.
Las plantas del tratamiento suelo presentaron menor relación masa foliar al inicio del periodo evaluado y menor área foliar específica al final del mismo, indicando hojas más gruesas que en los demás tratamientos.
Con base en el comportamiento de las tasas de crecimiento relativo, de crecimiento del cultivo y de asimilación neta, las plantas cultivadas en sustrato tienden a exportar más asimilados hacia los botones florales que las plantas en el tratamiento suelo.
Agradecimientos
Los autores agradecen al SENA, Centro Multisectorial de Mosquera, a Asocolflores y a la Facultad de Agronomía de la Universidad Nacional de Colombia, sede Bogotá, entidades financiadoras del proyecto "Producción más limpia de rosa (Rosa spp.) y clavel (Dianthus caryophyllus L.) con dos técnicas de cultivo sin suelo en la sabana de Bogotá", en el cual se desarrolló la presente investigación. A Suata Plants S.A. por donar el material vegetal, a Productos Químicos Andinos S. A. por la cesión de los materiales plásticos de cubierta y de contenedores de las camas de cultivo y a Brenntag Colombia S.A. por suministrar las soluciones nutritivas.
Literatura citada
Alarcón V., A.L. 2000. Introducción a los cultivos sin suelo. pp. 191-197. En: Alarcón V., A.L. (ed.). Tecnología para cultivos de alto rendimiento. Universidad Politécnica de Cartagena, Cartagena, España. [ Links ]
Alarcón V., A.L. y F. Murcia L. 2000. Cultivo en fibra de coco. pp. 245-253. En: Alarcón V., A.L. (ed.). Tecnología para cultivos de alto rendimiento. Universidad Politécnica de Cartagena, Cartagena, España. [ Links ]
Baracaldo A., A. del P., A. Ibagué O., V.J. Flórez R. y B. Chaves C. 2010. Crecimiento en clavel estándar cv. Nelson, en suelo y en sustratos. Bragantia 69(1), 1-8. [ Links ]
Brown, R. 1984. Growth of the green plant. pp. 153-174. En: Tesar, M.B. (ed.). Physiological basis of crop growth and development. American Society of Agronomy, Madison, WI. [ Links ]
Calderón, S. y F. Cevallos. 2001. Los sustratos. En: Dr. Calderón Labs., http://www.drcalderonlabs.com/Publicaciones/Los_Sustratos.htm; consulta: marzo de 2010. [ Links ]
Cárdenas-Méndez, C.A., I.F. Rivera-Gómez, V.J . Flórez-Roncancio, B. Chaves-Córdoba y W. Piedrahíta-Cañola. 2006. Growth analysis of standard carnation cv. 'Nelson' in different substrates. Acta Hort. 718, 623-632. [ Links ]
Flórez, V., D. Miranda, B. Chaves, L. Chaparro, C.A. Cárdenas y A. Farías. 2006. Parámetros considerados en el análisis de crecimiento en rosa y clavel en los sistemas de cultivo en suelo y en sustratos. pp. 43-52. En: Flórez, V., A. Fernández, D. Miranda, B. Chaves y J. Guzmán (eds.). Avances sobre fertirriego en la floricultura Colombiana. Unibiblos, Bogotá. [ Links ]
Fonteno, D.C. 1999. Sustratos: tipos y propiedades físicas/químicas. pp. 93-123. En: Reed, D.W. (ed.). Agua, sustratos y nutrición en los cultivos de flores bajo invernadero. Ediciones HortiTecnia; Ball Publishing, Batavia, IL. [ Links ]
Gardner, F.P., R.B. Pearce y R.L. Mitchell. 1985. Physiology of crop plants. Iowa State University Press, Ames, IA. [ Links ]
Grime, J.P. y R. Hunt. 1975. Relative growth - rate: its range and adaptive significance in a local flora. J. Ecol. 63(2), 393-422. [ Links ]
Grime, J.P. y J.M.L. Mackey. 2002. The role of plasticity in resource capture by plants. Evol. Ecol. 16, 299-307. [ Links ]
Hunt, R. 1982. Plant grow curves. The functional approach to plant growth analysis. Edward Arnold Publ., London. [ Links ]
Lambers, H., F.S. Chapin III y T.L. Pons. 2008. Plant physiological ecology. 2nd ed. Springer-Verlag, New York, NY. [ Links ]
Loomis, R.S. 1997. On the utility of nitrogen in leaves. Proc. Natl. Acad. Sci. 94, 13378-13379. [ Links ]
Marcelis, L.F.M., E. Heuvelink y J. Goudriaan. 1998. Modelling biomass production and yield of horticultural crops: a review. Scientia Hort. 74, 83-111. [ Links ]
Pizano de Márquez, M. 2000. Clavel Dianthus caryophyllus. Ediciones HortiTecnia, Bogotá. [ Links ]
Poorter, H. y P. Pothmann. 1992. Growth and carbon economy of a fase-growing and a show-growing grass species as dependent on ontogeny. New Phytol. 120, 159-166. [ Links ]
Salisbury, F.B. y C.W. Ross. 2000. Fisiología de las plantas. Thomson Editores Spain, Paraninfo S.A., Madrid. [ Links ]
Seber, G.A.F. y C.J. Wild. 1989. Nonlinear regression. John Wiley and Sons, New York, NY. [ Links ]
Verhoeven, K.J.F., A. Biere, E. Nevo y J.M.M. Van Damme. 2004. Differential selection of growth rate-relates traits in wild barley, Hordeum spontaneum, incontrating greenhouse nutrient environments. J. Evo. Biol. 17, 164-195. [ Links ]













