Services on Demand
Journal
Article
Indicators
-
Cited by SciELO -
Access statistics
Related links
-
Cited by Google -
Similars in
SciELO -
Similars in Google
Share
Agronomía Colombiana
Print version ISSN 0120-9965
Agron. colomb. vol.30 no.2 Bogotá May/Aug. 2012
ECONOMY & RURAL DEVELOPMENT
Comparative analysis of Flue-cured tobacco production costs in Santander and Huila (Colombia)
Análisis comparativo de costos de producción de tabaco Virginia entre Santander y Huila (Colombia)
Juan Carlos Barrientos F.1, Guido Armando Plaza T.1 and Jesús Rojas2
1Department of Agronomy, Faculty of Agronomy, Universidad Nacional de Colombia. Bogota (Colombia).gaplazat@unal.edu.co
2Direction of Research, Protabaco. San Gil (Colombia). Received for publication: 15 February, 2010. Accepted for publication: 29 June, 2012.
ABSTRACT
Santander and Huila are the largest producers of Flue-cured tobacco in Colombia. They differ in their production systems and, consequently, in their production costs. Costs provide valuable information on the efficiency of resource use, a variable that determines the profitability of the crop. The purpose of this study was to determine and analyze the structure of production costs by department, as well as, their differences and possibilities for reduction. Data for the analysis was obtained from the records of Protabaco and surveys of 50 producers (farms) in the municipalities of Campoalegre and Garzon in Huila, and Capitanejo and Enciso in Santander. The results say the costs of the most important factors of production in both departments are: labor, inputs and services. Huila has higher total costs per hectare than Santander, but similar unit costs. Huila has a higher technological level of production, more capital and greater surface area per crop unit than Santander. Production costs can be reduced by increasing the availability of investment capital, and irrigation water, as well as, more efficient management of fertilization, cultural practices and mechanization of land preparation.
Key words: production factors, area and yields, capital investment, technological level.
RESUMEN
Los departamentos Santander y Huila son los mayores productores de tabaco Virginia en Colombia. Éstos presentan diferencias en sus sistemas de producción y, en consecuencia, en sus costos de producción. Los costos brindan información valiosa sobre la eficiencia del uso de recursos, variable que determina la rentabilidad del cultivo. El propósito del presente trabajo fue determinar y analizar la estructura de costos de producción por departamento, así como sus diferencias y sus posibilidades de reducción. La información para el análisis se obtuvo de los registros de Protabaco y de encuestas hechas a 50 productores (fincas) pertenecientes a los municipios Campoalegre y Garzón en Huila, y a Capitanejo y Enciso en Santander. Los resultados dicen que los costos de los factores de producción más importantes en ambos departamentos son: mano de obra, insumos y servicios. Huila tiene mayores costos totales por hectárea que Santander, pero similares costos unitarios. Huila tiene un mayor nivel tecnológico de producción, mayor capital y mayor superficie por unidad de cultivo que Santander. Los costos de producción se pueden reducir con una mayor disponibilidad de capital de inversión y agua para riego, así como con un manejo más eficiente de la fertilización, de labores culturales y de mecanización de la preparación del terreno.
Palabras clave: factores de producción, superficie y rendimientos, capital de inversión, nivel tecnológico.
Introduction
The production of tobacco is traditional in Colombia, dating from the late eighteenth century. It is labor intensive (240-280 wages/ha per cycle), generating about 15,000 direct jobs per year in production areas (BioGestión, 2008). Demand factors of production inputs, machinery, equipment, credit, etc., streamline other branches of the economy such as transport, cardboard processing, advertising, etc. The state also benefits from the industry, domestic trade of tobacco and income taxes (Observatorio de Agrocadenas Colombia, 2000). Tobacco production is done in Huila, Santander, Tolima and the coffee zone with blond tobacco (Flue-cured and Burley) and black tobacco. Production systems have some differences by area, so production costs are also somewhat different.
Agricultural production costs are determined by the type of company, the production unit, the quantity, quality and price of the production factors, the production technology, the obtained production, and the physical, social, economic and political environment (Ballestero, 1991; Barrientos, 2008; Bishop and Toussaint, 1991; Dondrup and Rollwage, 1998; Mankiw, 2004; Nicholson, 2004). Production costs allow one to view the structure, efficiency of resource use in the production process, product competitiveness in the market, the projection of the investment and, above all, the profitability of the business (Baye, 2006; BLV Verlagsgesellschaft mbH - Landwirtschaftsverlag GM BH, 2004; Frank, 2009; Heinhold, 2007; Méndez, 2007; Miller and Meiners, 1996; Mochón, 2005; USAI D, 2008). Unit production costs, due to economies of scale (and scope), will decrease with the increasing size of the production unit. This fact as shown by CCI and MA DR (2007) exposes the difference in production costs between a small Santander tobacco farm (less than 5 ha ($3.252/kg)) (all prices are in Colombian pesos) and a medium farm (5-10 ha ($2.964/kg)). The production cost structure depends on the criteria that divide and/or group it: in stages, factors, activities, involvement in the production and use of cash (Herrera, 1998). In Colombia, the cost structure of tobacco production (Tab.1) is determined by the type of crop, the geographical location and the size of the production unit (CCI, 2001; CCI et al., 2007 y 2009).
Santander (50.30%) and Huila (31.04%) are, according to Agronet (2009), the biggest producers of blond tobacco in Colombia (14,516 t in 2008). Due to their unique geographical (Agro-environmental resources), socio-cultural (human resources), economic (capital and financial resources) and technological factors, these departments have differences in production systems, volume and quality of supply, and production costs of blond tobacco. This last economic variable provides valuable information on the use and efficiency of production, which is of interest to producers of raw material for the industry. However, information about this economic indicator is highly variable and incomplete in some cases; it is not a reliable decision-making tool. This gives rise to the present research, whose guiding questions are: What is the structure of production costs in each department? Is there a difference in cost between the departments? What is the difference? Why is there a difference? Can it be reduced? The overall objective of this paper is a comparative analysis of the production costs in Flue-cured tobacco in Santander and Huila. To achieve the overall objective, one sets the following specific objectives: 1) to analyze the cost structure of production in each municipality and department, 2) identify and analyze the difference in costs between municipalities and departments, 3) identify and analyze the factors responsible for the difference in production costs and 4) explore the possibility of reducing costs.
Materials and methods
Study area
For this study, representative municipalities for tobacco production from each department were used: in Huila, Garzón and Campoalegre, and in Santander, Capitanejo and Enciso. Tab.2 shows some differentiation factors in the production of tobacco between the departments and municipalities under the present study.
Required information and its acquisition
Production costs of Flue-cured tobacco in the four municipalities in the present study came from a sample of randomly selected tobacco producers (Tab.3), who worked with the company Protabaco in semester I-2008. They completed a structured questionnaire with open and closed questions, called "tobacco production systems in Colombia" in the second half of 2008, for which production costs only constituted a part. Regional cost tables of the company were also used, as well as, the production records of its creditors to supplement the information gathered in the surveys. From this information, which is newer than the survey, inflation was subtracted for 2009 and part of 2008 to make the calculations.
Systematization and analysis of information
Initially, a matrix of production factors was built for the costs and the stages with Excel. Then, an adjustment was made between the survey information from the producers and the company information to obtain partial costs for the stages and factors and the total cost per hectare per municipality and per department. Subsequently, the percentage of participation for each factor and stage in the total cost per hectare was calculated, which constituted the basis of the analysis of part of the study. The other benchmark is the unit cost analysis, which is obtained by dividing the total costs by total production. This data was used to analyze the efficiency of resource use (production technology and management) and its relation to the size of the crop area. As a benchmark for profitability comparison of the crop, the average sale price of $5,500/kg was used. For the analysis of the potential cost reduction, the characteristics of farms with lower unit costs were used as a base.
Results and discussion
Structure of production costs
Costs by stages
According to Tab.4, the culturing step, on average, accounted for approximately 59% of the production costs, followed by the post-harvest stage with approximately 32% and the nursery stage with about 9%. In general, Huila spent 8% more than Santander. This difference is apparently not very relevant, but nevertheless, becomes more noticeable at the nursery (26%) and post-harvest (12%) stages.
Costs by factors
The cost structure is made up of six groups of production factors, which have a share percentage of the total direct costs. From Tab.4, the major factors in costs are: labor (36 - 40%), materials (25- 28%) and services (16 - 20%). Huila spends 85% more on land, 21% more on inputs (23% more on solid fertilizers, 1800% more on herbicides, 33% more on coal) and 49% more on equipment, materials, tools than Santander, meanwhile Santander spends 10% more on labor (with a 56% increase in land preparation, 44% in irrigation and drainage and 30% in weeding and hoeing) and 15% more on services (100% more in preparation of the land with oxen and 66% in transport) than Huila.
Production cost difference between
municipalities and departments
Costs per hectare ($/ha)
There are differences in production costs between departments and between municipalities, but they are only about 10% (Tab.5). The production of one hectare of blond tobacco in Huila costs 8% more than in Santander. In Campoalegre, the municipality with the highest costs, the production of blond tobacco by cost per hectare is 11% more than in Capitanejo, the municipality with the lowest costs in the studied areas. Differences between municipalities and departments became more noticeable in the cost ranges. Campoalegre was the municipality with the smallest cost range (max - min = $1,682,897/ha) and Garzón had the largest (max - min = $3,926,322/ha). The average range in Huila for cost is approximately $3.5 million/ha, 11% above the average and 19% below, and Santander has an average range of around $3.2 million/ha, 13% above the average and 18 % below. Ranges from 3.2 to 3.5 million pesos per hectare indicate marked differences between production units. These differences are due to two main aspects: agri-supply (soil and climate) and management of the production unit (technology and resource management). There is no exact knowledge about the proportionality of each factor's effect.
Unit costs ($/kg)
The unit cost differences both between the municipalities and between the departments have characteristics somewhat different from the costs per hectare (Tab.5). Producing one kilogram of tobacco in Huila is, on average, 2% more expensive than in Santander. But between Capitanejo, the municipality with the highest unit costs, and Enciso, the municipality with the lowest unit costs, this difference increases to about 35%. The most striking differences are in the range (max - min). At the departmental level, Santander has a range of $9,688/kg, 176% above the average and 40% below, while Huila shows a slightly lower range, $4,796/ha, 76% above the average and 29% below. Among the municipalities, the highest range ($8,835/kg) is in Capitanejo, and the lowest ($3,267/ha) is in Campoalegre. This range is somewhat "exaggerated" in Santander due to farms that have low yields, as in the case of Capitanejo with 844 kg/ ha and in Garzón with 1,618 kg/ha (Tab.5) . This shows that one can find this kind of yield in both Santander and Huila. The factors determining the magnitude of the ranges are, as noted above, crop management, which includes production technology, and the influence of geography, including climate. On the other hand, unit costs above the sale price have been found in all studied municipalities, which in this case is $5,500/kg, mainly due to low yields. This means that the probability of risk in Huila is 19% (4 of 21 cases) and 10% in Santander (3 of 29 cases).
Determining factors of production costs
Using the type of labor and land
Santander uses 27% family labor and 27% wage earners, and 55% is grown on the owner's land and 19% by sharecropping, while in Huila over 95% of the production units use contracted labor and rented land (Tab.6). In Huila, 85% more is paid for land and 5% more for labor than in Santander, while the latter spent 6% more in wages than Huila (Tab.7). The availability of family labor, wage earners, and land use by owners and sharecropping allow producers to reduce their explicit costs. However, since money is not required to pay for these resources, their use may not be efficient, thereby actually raising costs, as may be the case in Santander.
Agro-environmental offering of the growing areas
In Santander, there is less availability of water than in Huila, many of the soils are shallow, stony, and located in hilly country with medium fertility (Observatorio de Agrocadenas Colombia, 2000). These conditions make certain tasks such as land preparation, cultivation, hoeing, transport and irrigation (Tab.2) a bit more expensive than in Huila. Meanwhile, Huila has deep, flat, soil with good fertility and irrigation availability. Under these conditions, the yields in Huila are, on average, about 12% higher than in Santander (Tab.5). It should be noted that yield does not only depend on the geographical conditions of the production area.
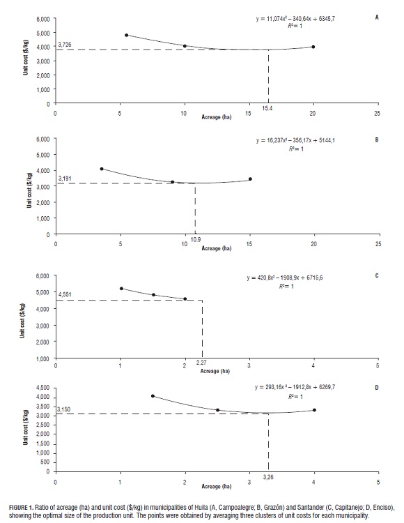
Production technology and crop area
Better technology, under the same conditions, will result in lower unit costs, higher yields and/or better quality product. The curve relating unit costs with acreage gives an idea of the level of technology of a production system. Each curve is "technology" or "technical degree", which reflects the efficiency of the use of production factors. According to Fig.1, tobacco producing areas of the present study have developed specific technologies in response to the availability of resources: mainly land, labor (including management thereof) and financial capital. According to the graphs in Fig. 1, the technology gap between Santander and Huila is notable. The production technology of tobacco in Huila is based on the use of more land (Fig.1), the mechanization of some tasks such as land preparation and hilling, the specialization of labor in weeding, harvesting and classification, the use of large amounts of fertilizer (Tab.7), and the widespread use of irrigation. Technological curves (Fig.1) allow us to see the point that denotes the optimal size of the production unit that corresponds with the lower unit costs of production. In Huila, it is between 11 and 15 ha (approx. $3,200 - $3,700/ kg) and in Santander, it is between 2 and 3 ha (approx. $4,500 - $3,200/kg).
Prices and quantities of production factors
For all the production factors, Protabaco, which is active in both departments, offers producers inputs, materials and funding. Although the company maintains the same input prices for the two areas, the amounts and types of inputs that are delivered in each area are different, thereby changing costs. Meanwhile, producers provide/obtain the land, labor, equipment and tools, and most services. In each case, there are differences in prices and quantities. The most relevant production factors are: land, labor and fertilizer. In Huila, 85% more is paid for leased land than in Santander and 5% more for labor, but 6% less is used. Although Santander uses more and pays more for liquid fertilizers, Huila uses 24% more solid fertilizer than Santander, and pays 2% more for it (Tab.7). A regression performed between yield and amount of solid fertilizer applied in Huila shows a negative relationship, indicating that increased fertilizer application may decrease yield. The same regression test for Santander shows a positive relationship between these variables. This result requires further analysis, taking into account the nutritional requirements of the plant, when to apply fertilizers, sources used and soil characteristics.
Possibility of reducing unit costs
Production costs can be decreased as seen in the farms that yielded the lowest unit costs: $ 3,254/kg in Huila and $2,716/kg in Santander (Tab.5). The characteristics of the farms with the lowest unit cost of each zone are: presence of postharvest room and oven, water for irrigation, investment capital (credit or cash), use of the results of soil analysis for fertilization, a density equal to or greater than 20,000 plants/ha, mechanized preparation of the ground where possible, use of about 1,000 kg of fertilizer per cycle and a surface close to the optimal cultivation area (Fig.1). These features are related to lower production costs in each area. Additionally, certain tasks can be done more efficiently such as weeding, hoeing, harvesting and postharvest (less labor), or more efficient use of fertilizers in Huila is possible (less labor and fertilizer) and increased use of these in Santander (higher yield), and finally, a cheaper method of soil preparation could be developed in Santander (increased mechanization).
Conclusions and recommendations
Production costs indicate the investment amount of a production project, reflect agro-ecological conditions of production and resource use efficiency and the competitiveness of a company in the international market.
Cost production information in Colombia is varied, so taking into account various sources to have an average reference is recommended. The most reliable sources are tobacco companies.
The two areas in the present study differ in climate and soil conditions, availability of labor, crop area size of tobacco, type of land use, capital investment and technological level.
The structure of production costs of tobacco is similar in the two study areas. There are some differences in the use of production factors, such as site preparation, weed control, water management and type of land use. For the calculation of tobacco production costs, the "unexpected" should only be used for planning and/or investment purposes.
Production costs of tobacco differ by department and municipality, as well as by size of production unit. In Huila, costs are higher per hectare and per kilogram of product than in Santander. At the municipal level, Enciso has much lower costs per hectare per kilogram of product, while in Capitanejo costs are higher per kilogram.
In Huila, compared with Santander, more is paid on average for land, labor and some inputs such as fertilizers. In the latter department, more days are spent per hectare / cycle but using family labor and wages, so explicit costs are lower. We recommend scientific research on this last topic and the "apparent" overuse of fertilizers in Huila.
Based on unit costs, Santander has a greater range (diversity) of technological levels than Huila, where technology is more homogeneous (less yield difference between maximum and minimum), characterized by increased mechanization, increased use of irrigation, increased use of fertilizer and taking advantage of economies of scale.
The latter is clearly reflected in the production of tobacco, showing optimal surfaces (with existing technology), 11-15 ha in Huila and between 2 and 3 ha in Santander. This does not mean, however, that the economy of scale is always the answer to lower production costs. Proof of this is seen in Enciso (Santander), where the lowest unit costs of the study areas have been achieved.
It is possible to reduce the unit costs of tobacco production. Options include the availability of investment capital and water for irrigation, efficient fertilization management, efficiency in cultural practices, mechanization of land preparation, optimal cultivation area and efficient use of land (sharecropping and leasing). Businesses and producers need to try to implement each option for cost reduction.
Acknowledgements
The authors are grateful to the project: "Evaluación técnica y económica de alternativas para el mejoramiento de la fertilización de tabaco (Nicotiana tabacum) tipo Fluecured en los departamentos de Santander y Huila" and to the Ministerio de Agricultura y Desarrollo Rural for financing this study.
Literature cited
Agronet. 2009. Área cosechada, producción y rendimiento de tabaco rubio, 1987-2008. In: http://201.234.78.28:8080/jspui/bitstre am/123456789/1335/1/2008425103956_TABACO-SANTANDERES.pdf; consulted: July, 2012. [ Links ]
Bages, F. 2009. Cálculo de la competitividad de tabaco Burley en Santander. Protabaco Costo de producción por cosecha hectárea, Bucaramanga, Colombia. [ Links ]
Ballestero, E. 1991. Economía de la empresa agraria y alimentaria. Mundi-prensa, Madrid, Colombia. [ Links ]
Barrientos, J. 2008. Costos de producción agraria. Universidad Nacional de Colombia, Bogota. [ Links ]
Baye, M. 2006. Economía de empresa. 5th ed. McGraw-Hill Interamericana, Madrid. [ Links ]
Biogestion. 2008. Resumen ejecutivo de estudio prospectivo en la cadena productiva de tabaco. Universidad Nacional de Colombia; Ministerio de Agricultura y Desarrollo Rural, Bogota. [ Links ]
Bishop, C. and W. Toussaint. 1991. Introducción al análisis de economía agraria. 12th ed. Limusa, Mexico DF. [ Links ]
Blanco, M., M. Cano, and P. Guzmán. 2005. Guía técnica básica para mejorar la calidad y la competitividad del tabaco Virginia español. Cultivadores de tabaco de España, Madrid. [ Links ]
BLV Verlagsgesellschaft mbH; Landwirtschaftsverlag GM BH. 2004. Agrarwirtschaft. Grundstufe Landwirt. Tomo 1. 2nd ed. Munich, Germany. [ Links ]
CCI, Corporación Colombia Internacional. 2001. Acuerdo de competitividad de la cadena productiva de tabaco en Colombia.Bogota. [ Links ]
CCI, Corporación Colombia Internacional; Ministerio de Agricultura y Desarrollo Rural (MADR); Sistema de Información Agropecuaria (SIA ). 2007. Costos de producción por hectárea de tabaco rubio para productor mediano (5-15 ha) en Santanderes. Sistema de Información de Precios del Sector Agropecuario (SIPSA ), Bogota. [ Links ]
CCI, Corporación Colombia Internacional; Ministerio de Agricultura y Desarrollo Rural (MADR); Sistema de Información Agropecuaria (SIA ). 2009. Costos de producción por hectárea de tabaco rubio para productor mediano (5-15 ha) en Tolima Grande. Sistema de Información de Precios del Sector Agropecuario (SI PSA ), Bogota. [ Links ]
Dondrup, M. and N. Rollwage. 1998. Produktion. WRW; Verlag, Cologne, Germany. [ Links ]
Frank, R. 2009. Microeconomía intermedia. Análisis y comportamiento económico. 7th ed. McGraw-Hill Interamericana, Mexico DF. [ Links ]
Gobernación del Huila; Secretaria de Agricultura y Minería; Cadena Productiva de Tabaco. 2007. Acuerdo regional de competitividad para la cadena de tabaco en el departamento del Huila. Neiva, Colombia. [ Links ]
Heinhold, M. 2007. Kosten- und erfolgsrechnung in fallbeispiele. 4th ed. Lucius & Lucius (UT B), Stuttgart, Germany. [ Links ]
Herrera, S. 1998. Costos y beneficios de la producción de fríjol en el valle de Mizque, Bolivia. Undergraduate thesis. Faculty of Economics and Sociology, Universidad Mayor de San Simón, Cochabamba, Bolivia. [ Links ]
Mankiw, N. 2004. Principios de economía. 3th ed. McGraw-Hill Interamericana. Madrid. [ Links ]
Méndez, M. 2007. La economía en la empresa. 3th ed. McGraw-Hill Interamericana, Mexico DF. [ Links ]
Miller, R. and R. Meiners. 1996. Microeconomía. 2nd ed. McGraw- Hill Interamericana, Mexico DF. [ Links ]
Mochón, M. 2005. Economía, teoría y política. 5th ed. McGraw-Hill Interamericana, Madrid. [ Links ]
Nicholson, W. 2004. Teoría microeconómica: principios básicos y ampliaciones. 8th ed. Thomson, Madrid. [ Links ]
Observatorio de Agrocadenas Colombia; Ministerio de Agricultura y Desarrollo Rural. 2004. Costos de producción de tabaco en Colombia. Bogota. [ Links ]
Observatorio Agrocadenas Colombia; Ministerio de Agricultura y Desarrollo Rural. 2006. La cadena del tabaco en Colombia - Una mirada global de su estructura y dinámica 1991-2005. Bogota. [ Links ]
USAID, United States Agency for International Development. 2008. Una perspectiva de la competitividad agrícola de Colombia. Bogota. [ Links ]












