SciELO - Scientific Electronic Library Online

 
vol.37 issue3Rhizospheric rhizobia identification in maize (Zea mays L.) plantsWater potential in cape gooseberry (Physalis peruviana L.) plants subjected to different irrigation treatments and doses of calcium author indexsubject indexarticles search
Home Pagealphabetic serial listing  

Services on Demand

Journal

Article

Indicators

Related links

  • On index processCited by Google
  • Have no similar articlesSimilars in SciELO
  • On index processSimilars in Google

Share


Agronomía Colombiana

Print version ISSN 0120-9965

Agron. colomb. vol.37 no.3 Bogotá Sep./Dec. 2019

https://doi.org/10.15446/agron.colomb.v37n3.77601 

Suelos, fertilización y manejo de aguas

Impact of soil use on aggregate stability and its relationship with soil organic carbon at two different altitudes in the Colombian Andes

Impacto del uso del suelo sobre la estabilidad de agregados y su relación con el carbono orgánico en dos pisos altitudinales en Los Andes de Colombia

Efraín Francisco Visconti-Moreno1 

Ibonne Geaneth Valenzuela-Balcázar1  * 

1 Grupo de Investigación Ambiente y Vida, Facultad de Ciencias Agrarias y del Ambiente, Universidad Francisco de Paula Santander UFPS, Cucuta (Colombia).


ABSTRACT

The stability of soil aggregates depends on the organic matter, and the soil use and management can affect the soil organic matter (SOM) content. Therefore, it is necessary to know the relationship between aggregate stability and the content of SOM in different types of soil use at two different altitudes of the Colombian Andes. This study examined the conditions of soil aggregate stability expressed as a distribution of the size classes of stable aggregates (SA) and of the mean weighted diameter of the stable aggregates (MWD). To correlate these characteristics with the soil organic carbon (OC), we measured the particulate organic matter pool (POC), the OC associated with the mineral organic matter pool (HOC), the total organic carbon content (TOC), and the humification rate (HR). Soils were sampled at two altitudes: 1) Humic Dystrudepts in a cold tropical climate (CC) with three plots: tropical mountain rainforest, pastures, and crops; 2) Fluvaquentic Dystrudepts in a warm tropical climate (WC) with three plots: tropical rainforest, an association of oil palm and pastures, and irrigated rice. Soils were sampled at three depths: 0-5, 5-10 and 10-20 cm. The physical properties, mineral particle size distribution, and bulk density were measured. The content of SA with size>2.36 mm was higher in the CC soil (51.48%) than in the WC soil (9.23%). The SA with size 1.18-2.36 mm was also higher in the CC soil (7.78%) than in the WC soil (0.62%). The SA with size 0.60-1.18 mm resulted indifferent. The SA with size between 0.30 and 0.60 mm were higher in the WC soil (13.95%) than in the CC soil (4.67%). The SA<0.30 mm was higher in the WC soil (72.56%) than in the CC soil (32.15%). It was observed that MWD and the SA>2.36 mm increased linearly with a higher POC, but decreased linearly with a higher HR. For the SA<0.30 mm, a linear decrease was observed at a higher POC, while it increased at a higher HR.

Key words: soil degradation; soil structure; organic matter; agriculture

RESUMEN

La estabilidad de agregados del suelo depende de la materia orgánica y el uso y manejo del suelo puede afectar el contenido de materia orgánica (MOS) del mismo. Por lo tanto, es necesario conocer la relación entre la estabilidad de agregados y el contenido de MOS en diferentes tipos de uso del suelo a diferentes altitudes en Los Andes de Colombia. El presente estudio examinó las condiciones de estabilidad de agregados del suelo expresados como una distribución por tamaño de las clases de agregados estables (AE) y el diámetro medio ponderado (DMP) de agregados estables. Para relacionar estas características con el contenido de carbono orgánico del suelo (CO), se midieron la materia orgánica particulada (COP), el CO asociado con la materia orgánica mineral (COM), el contenido total de carbono orgánico (COT) y el índice de humificación (IH). Se realizaron muestreos de dos suelos de pisos altitudinales diferentes: 1) Un Humic Dystrudepts en clima frío (CF) con tres lotes: bosque natural, pastura y cultivos; 2) Un Fluvaquentic Dystrudepts en clima cálido (CC) con tres lotes: bosque natural, palma de aceite asociada con pastura y arroz con riego. Se muestreo el suelo a tres profundidades: 0 a 5, 5 a 10, y 10 a 20 cm. Se midieron las propiedades físicas, distribución por tamaño de la partícula mineral y densidad aparente. El contenido de AE con tamaño >2.36 mm fue mayor en el suelo de clima frío (51.48%) que en el de clima cálido (9.23%). Los AE de tamaño 1.18 a 2.36 mm fueron también mayores en clima frío (7.78%) que en clima cálido (0.62%). Los AE de tamaño 0.60 a 1.18 mm resultaron indiferentes. Los AE de tamaño entre 0.30 y 0.60 mm presentaron un contenido más alto en el suelo de clima cálido (13.95%) en comparación al de clima frío (4.67%). Los AE<0.30 mm fueron mayores en clima cálido (72.56%) con respecto al clima frío (32.15%). Se observó que el DMP y los AE>2.36 mm aumentaron linealmente con el contenido de COP más alto, pero disminuyeron linealmente con un IH más alto. Para los AE<0.30 mm se observa una disminución lineal a mayor COP, mientras que este aumenta a un IH más alto.

Palabras clave: degradación del suelo; estructura del suelo; materia orgánica; agricultura

Introduction

The Norte de Santander province is located in the northeastern area of Colombia, on the eastern ramification of the Andes range. This province is characterized by strong altitudinal variations (approximately from 50 to 4000 m a.s.l.). The variations in landscape configuration and changes in the vegetation modify its tropical weather (IGAC, 2006a).

Food production is one of the most important socioeconomic activities in this region. For this reason, it is essential to acknowledge that the soil use is adapted to each particular biophysical condition in terms of the altitude. The zones of the region with cold and warm climate represent the areas with the most intense agricultural land use. This fact has generated soil degradation problems, such as compaction or erosion (IGAC, 2006a), which may be related to the soil's physical properties, in particular, to its structure and its aggregates stability (Pla, 2010).

Soil aggregates are the product of a complex physical-chemical and biological aggregation process, in which various factors such as climate, soil use, plants, and soil properties interact (Bronick and Lal, 2005). Among the soil properties that determine directly the aggregation and its stability, the texture, total organic carbon, microbiological activity, soil fauna and inorganic cementing agents (exchangeable Ca and oxyhydroxides) stand out (Six et al., 2004).

According to Oades (1984), macroaggregation is controlled by management in soils where organic matter is the major binding agent. In general, the numbers of macroaggregates (>0.250 mm) can increase by the addition of decomposable organic materials. The best distribution of organic materials and mix with inorganic colloids occur through the root systems, particularly the fine, bushy and extensive root systems of grasses. However, in intensively disturbed soil or with lack of root growth, the opposite effect may be observed.

Changes in soil use, from natural forest to agricultural use, frequently generate modifications in the soil organic carbon content. This affects the aggregates and soil stability directly, which leads to soil productivity loss (Sena et al., 2017). According to Lozano et al. (1997), the soil structure and stability of aggregates are the most deteriorated physical properties in agricultural tropical soils that are exposed to intense conventional tillage. This generates limitations, such as surface seal or compaction, that alter the normal soil hydrological functioning and generate erosion.

The problems of aggregate stability in soils have been associated with changes in the organic carbon of soil, caused by changes in the soil use (Nascente et al., 2015). Aggregation is a hierarchical process, in which the union of mineral components of the soil with organic components occurs at a microscopic scale. In this process, humified organic carbon participates to form micro aggregates, and then, at a larger scale, the particulate organic carbon or light organic carbon takes part in the formation of macro aggregates and mega aggregates. Therefore, the increment in organic carbon increases the dynamic of aggregation and in turn, the greater aggregation favors the preservation of soil organic carbon (Six et al., 2004; Bronick and Lal, 2005).

Consequently, there has been a growing interest in identifying the soil use systems that best suit the stability of soil aggregates from the preservation of soil organic carbon. In this sense, this study aimed to examine the effect of three soil use systems at two altitudes of the Andes mountain range, located in the Norte de Santander province of Colombia.

Materials and methods

The analyzed soils were located in two municipalities of the province of Norte de Santander in the northeast of Colombia. The first one was a Humic Dystrudepts soil in the high mountain area with a cold climate, located in the Vereda Monteadentro, at the municipality of Pamplona. Three adjacent lots on this soil were selected, each one with different soil use and cover: natural forest, kikuyo pastures, and intensive horticultural crops. All lots were located within the premontane wet forest zone, with an average annual temperature of 13.5°C, an average annual rainfall of 900 mm, at an approximate altitude of 2558 m a.s.l. and with geographic reference coordinates 7°20'47.59" N and 72°39'50.62" W.

The other soil was a Fluvaquentic Dystrudepts in the low area of alluvial valley with a warm climate, located in the Vereda Astilleros, at the municipality of El Zulia. Three adjacent lots were selected by the following soil uses and covers: natural forest, oil palm with pasture and intensive rice cultivation with irrigation. These lots were located within the tropical humid forest zone, with an annual average temperature of 27°C, an average rainfall of2200 mm, at an approximate altitude of 76 m a.s.l. and with geographic reference coordinates 8°12'13.5" N and 72°32'52.1" W.

The study was conducted with an experimental arrangement of a 2x2x3 factorial design with three replicates, with the climate, soil use and soil depth as factors. In each selected plot, undisturbed soil samples were collected in metallic cylinders and disturbed composite samples were also taken. Soil samples were collected at three depths: 0 to 5 cm, 5 to 10 cm and 10 to 20 cm. The study was focused on the arable layer or soil tillage depth (0 to 20 cm), which is separated into three layers: the first 5 cm is considered the place where the largest amount of particulate organic matter would accumulate; the layer from 10 to 20 cm is the depth where the largest amount of stable or humified organic matter would be present, while the medium layer could be considered as a transition layer.

A systematic sampling strategy was performed on a diagonal transect line of 100 m with three equidistant sampling points (10 m from the edge and 40 m between them). In each sampling point, five soil subsamples were collected for each depth to integrate the composite sample of that point. Those sub-samples were collected on a cross traced over each sampling point, where the distance between the crosses was 1 meter. The undisturbed samples were extracted in metallic cylinders of 5 cm of diameter and 5 cm of height, taken in threefold at each depth in each sampling point.

The soil aggregate stability was determined by the modified Yoder's wet sieving method proposed by Pla (1983). Stability tests were performed on aggregates with diameter from 2.36 to 4.10 mm, obtained by dry sieving of disturbed soil samples. The wet sieving was carried out for 10 min with an array of sieves corresponding to 2.36, 1.18, 0.60, and 0.30 mm of mesh opening, after a pre-wetting of 10 min on the aggregates.

Sands retained in each sieve were determined by dispersion with a solution of 10% sodium hexametaphosphate and further mechanical agitation. This allowed making the proper correction when calculating the size distribution of stable aggregates retained on each sieve. Also, the aggregates smaller than 0.30 mm were estimated by difference, resulting in five classes of aggregates size.

The mean weighted diameter (MWD) was calculated as an important stability index, from the percentage of the total weight of the aggregate fraction retained in each sieve (Wi) and the average diameter of the fraction for each sieve (Xi). To calculate the MWD, expressed in mm, Equation 1 was used:

MWD (mm) = Σ Xi * Wi / 100 (1)

The disturbed soil samples also allowed the measurement of mineral particles contents (sand, clay, and silt) by the modified Bouyoucos method (IGAC, 2006b), and, to know the organization of soil constituents, the structural arrangement description was performed according to the guidelines for soil description (FAO, 2006). The oxidizable total organic carbon (TOC) was determined by the digestion and wet acid oxidation method of Walkley and Black with colorimetric measurement by spectrophotometry (IGAC, 2006b). Measurement of organic carbon in the particulate fraction of soil organic matter (POC) and the organic carbon of the humified fraction of soil organic matter (HOC) was performed by physical fractioning of the soil organic matter (SOM), by the method of suspension and agitation in water with sieving, using sieves with openings of 2.36 mm and 0.053 mm. After the separation with sieves of the particulate fraction and the humified fraction of the SOM, the organic carbon content was determined in each one by dry combustion in a muffle at 580°C for 12 h (IGAC, 2006b).

The contents of organic carbon in the different pools indicated as TOC, POC, and HOC, were expressed in weight percentage. They were transformed to a weight expression in megagrams (Mg) of organic carbon (OC) ha-1, for which the soil bulk density (Bd) and the thickness of the soil layer were considered; the first expressed in Mg m-3 and the second expressed in cm, through Equation 2:

OC (Mg ha-1) = OC * Bd * Thickness (2)

The humification index (HI) was calculated as the quotient of the HOC divided by the TOC and it was expressed in percentage terms (%) (IGAC, 2006b).

The soil bulk density (Bd) was determined by the modified method of the metallic cylinder of Uhland (Pla, 2010).

The carbon of the soil microbial biomass (MBOC) was measured indirectly using the method of substrate-induced respiration (glucose) in disturbed soil samples that were kept refrigerated (4°C) from their sampling until their analysis (Lozano et al., 2005), and it was expressed as mg of MBOC kg-1 of soil.

The results were analyzed concerning the compliance of the normality statistic assumptions and the variance homogeneity, by the Shapiro-Wilk and Kolmorogov tests. When assumptions were not accomplished, the Kruskal-Wallis not parametric variance test was used to determine the statistical differences with a reliability degree of 95% and to know the effect of factors such as climate, soil use, and depth.

The Pearson correlation coefficients were determined and the dispersion graphics between the related variables with the structural stability and the SOC content were made to interpret their behavior and the ratio of the stability of aggregates with the SOC in their different pools.

Results and discussion

Data of the mineral particle content in the Humic Dystrudepts soil evaluated in the lots at cold climate presented clay in a proportion of 153.8 to 253.8 g kg-1 and sand in proportions of 476.9 to 676.9 g kg-1. Sand predominates at all depths from 0 to 20 cm and in all the soil use systems turns in coarse and medium coarse class textures.

Considering the Bd of the evaluated soil in the cold climate (Tab. 1), an average Bd of 1.33 was observed. This fact is normal in soils of medium texture class, and low in soils of coarse texture class. This represents a favorable condition, which means the existence of a good relationship between the volume occupied by the solids and the pores in this soil (Pla, 2010).

TABLE 1 Principal statistics for the data of the examined variables in the soils under cold and warm climates (three soil depths, three soil uses, and three replicates). 

Sand; Clay; Silt= g kg-1; Bd= Mg m-3; SA= %; MWD= mm; TOC= Mg ha-1. MBOC= mg OC Biomass kg-1 soil.

The Fluvaquentic Dystrudepts soil that was evaluated in the warm climate expressed contrasting data of sand, silt and clay content compared to the other studied soil. Clay is in proportions from 253.8 to 597.8 g Kg-1, while sand is from 70.2 to 459.5 g Kg-1, defining a texture class from fine to medium.

The Bd of the soil in the warm climate (Tab. 1) had an average of 1.44 Mg m-3. This represents a high value in soils with fine and medium-class textures, indicating an unfavorable condition that could result in structural problems by compaction in the soil (Pla, 2010).

The contrasts in the contents of sand and clay in both soils are important because the SOC amount can be influenced by the distribution of these particles (Mujuru et al., 2013). In addition, the SOC has an important effect on the soil particle aggregation, with a correlation between the content and kind of SOC and the size and aggregates stability (Martinez et al., 2008). Therefore, it is necessary to be aware of the particle distribution in the studied soils.

The results of aggregates stability in the cold climate soil (Tab. 1) show the stable aggregates (SA)>2.36 mm are the highest in proportion (51.48%) followed by the SA<0.30 mm with a proportion of 32.15% and in the third place the SA from 1.18 to 2.36 mm with a proportion of 7.78%. The SA from 0.60 to 1.18 and the SA from 0.30 to 0.60 mm represent, together, the remaining 8.60%. These data reveal a favorable condition of structural stability, considering that the 59.26% of the SA are larger than 1.18 mm, which favors the proper physical conditions in the surface soil (Pinto et al., 2016).

In the case of the aggregate stability in the warm climate soil (Tab. 1), the results show the SA<0.30 mm is 72.56%. The SA from 0.30 to 0.60 mm represents 13.95%, and the remaining 13.52% are distributed in the bigger sizes classes. This high proportion of micro aggregates is clear evidence of the unfavorable physical conditions in this soil.

Table 2 shows that the structural stability measured by the SA proportions of size classes presents a response with significant statistical effect due to the climate in 4 of the 5 size classes of SA. The class without significant effect in SA is between 0.60 to 1.18 mm. It is deduced that this effect matches the condition of higher SOC content in soils of cold climate.

TABLE 2 Results of the Kruskal-Wallis non-parametric test for the stable aggregates according to the effect of each factor involved. 

SA = %; *significant statistical difference (P<0.05).

It can be observed that there was a significant effect only over the size class of SA from 0.30 to 0.50 mm. The other four classes remained without significant effect. This corresponds with the statement that micro-aggregation is not so sensitive to management. Therefore, it is more difficult to improve micro-aggregation through normal farming practices (Oades, 1984). In the case of depth, there is no significant effect in any of the size classes of SA.

The lack of effect over the SA due to the depth of the soil is understood by the fact that the three depths belong to the horizon A of each soil. Therefore, there are no relevant differences in factors involved in the stability of aggregates, such as texture, mineralogy and structural arrangement (type, grade, and class of aggregates) between the three layers of each soil (Tabs. 3 and 4).

TABLE 3 Description of the structural arrangement of the cold tropical climate soil. 

TABLE 4 Description of the structural arrangement of the warm tropical climate soil. 

The lack of a significant statistical effect of the soil use system in most of the size classes of SA may be interpreted as a situation generated by the extremes on TOC, POC and MBOC observed in the evaluated soils. The soil in cold climate has very positive conditions of structure and aggregate stability, where the SA>2.36 mm prevails. Hence, none of the three evaluated use systems affects significantly this good condition. In contrast, it was found that the soil in a warm climate has very negative conditions of structure and aggregate stability, where the SA<0.30 mm prevails, and, therefore, none of the three evaluated uses affects significantly this negative condition.

For the MWD, the soil in cold climate has the biggest structural stability (Fig. 1), being superior in the two first soil layers (0 to 5 and 5 to 10 cm) of the rainforest, with values of 2.93 and 2.91 mm, respectively. The crop presents MWD values in the layers of 0 to 5 and 5 to 10 cm, of 1.96 and 1.73 mm, respectively, which overcome the MWD of the pasture in the same layers. For the deepest layer (10 to 20 cm), the MWD of the crop (2.13mm) is superior to the values of the rainforest and the pasture, which confirms the general behavior of the aggregate stability in the three soil use systems in cold climate (Fig. 2).

FIGURE 1 Mean weighted diameter (mm) according to the depth of the soil in each soil use system evaluated for each altitudinal level studied. A) cold tropical climate and B) warm tropical climate. 

FIGURE 2 Proportion of aggregate stability (%) distributed by size classes according to the soil depth in each use system evaluated in the altitudinal level of cold climate. A) Mountain rainforest, B) pasture and C) crops. 

The stratification observed in the MWD coincides with previous studies (Loss, et al., 2017), in which important changes of the MWD were observed, with the depth in soils with different soil use systems and management. This situation can be related to differences of higher organic matter and biological activity, and a higher number of roots in some soil layers, which favor a better size of the stable aggregates.

For the soil in a warm climate, the MWD can help to confirm the low structural stability of the soil. When such soils are irrigated for rice cultivation, the surface layer (0 to 5 cm) presents the largest MWD of this soil with a value of 1.08 mm. All the remaining values are equal or under 0.50 mm, which is very negative and confirms the general worse behavior of the aggregate stability in the three soils use systems in a warm climate (Fig. 3).

FIGURE 3 Proportion of stable aggregates (%) distributed by size classes according to the soil depth in each use system evaluated in the altitudinal level of warm climate. A) Rainforest, B) oil palm and C) irrigated rice. 

The analysis of soil TOC content (Tab. 5) showed a statistically significant effect of climate and soil use system, indicating that cold climate had the highest TOC content. The use system of pasture had the highest content and the crop along with the rainforest had the lowest TOC content.

TABLE 5 Mean values of organic carbon in different pools of the soil organic matter and humification index, for each climate altitudinal level and according to the use system in the three depths studied. 

TOC: Total organic carbon content, POC: Particulate organic matter pool, HOC: Mineral organic matter pool, MBOC: Carbon of the soil microbial biomass, HI: Humification index.

Same letters represent statistically homogeneous groups.

When relating the behavior of the TOC content and the structural stability of the soil, it could be observed that the soil with the highest TOC also showed the best structural stability. This coincides with the studies that have shown that soils with high TOC content present stable aggregates of larger sizes (Lozano et al., 1997; An et al., 2010; Oliveira, et al., 2015).

For the results of POC content (Tab. 5), a statistically significant effect of the climate was found, being the highest content of POC in the cold climate.

Figueiredo et al. (2010) pointed out that POC increases with a higher amount of organic waste returned to the soil and that the use systems of pastures and forests frequently enhanced this pool of the SOC. Besides, Briedis et al. (2012) found that the SA with a larger size were more abundant when the POC was higher. Therefore, the dominant presence of SA>2.36 mm in the soil of a cold climate has a direct relation with the higher POC content.

Results of the HOC revealed significant statistical differences by the effects of the climate and depth, without differences found for the soil use system. Since HOC is higher in a cold climate according to the depth it is higher in the deepest layer (10 to 20 cm) and lower in the surface (0 to 5 and 5 to 10 cm).

The statistical analysis of the MBOC showed that there was a statistically significant effect due to the climate, the use, and the depth. A cold climate presents the highest amount of MBOC. The first two layers present a higher MBOC and the effect of the soil is shown in the higher contents in pasture and oil palm, while a lower content is found in crops and forests. These results are similar to the ones reported by Moraes-Sa et al. (2009), who reported a positive linear correlation between the MBOC and the POC.

A high positive correlation between the SA>2.36 mm and the sand contents and POC was found. On the other hand, a negative correlation was found between the SA>2.36 mm with the clay content, the silt content, the Bd and the HI (Tab. 6). For the SA<0.30 mm, a high positive correlation is observed with the clay content, the silt content and the HI. In contrast, the correlation is negative between the SA<0.30 mm with the sand content and the POC.

TABLE 6 Pearson correlation coefficients for the stable aggregates and the weighted average diameter with the physical variables and the organic carbon content in different pools of soil. 

SA: Stable agregates, MWD: Mean weighted diameter of the stable aggregates, Bd: Soil bulk density, TOC: Total organic carbon content, POC: Particulate organic matter pool, HOC: Mineral organic matter pool, MBOC: Carbon of the soil microbial biomass, HI: humification index.

*Represents a high correlation.

With regard to the MWD, a high positive correlation with the sand content and the POC was observed. However, a negative correlation with the Bd, the humification and the clay and silt contents was observed. This agrees with the study by Pulido et al. (2009) who observed that the predominance of silts may cause disintegration and affect structural stability. Additionally, when there is a lower contribution of the organic compounds that stabilize the structure (higher humification), the structural stability decreases.

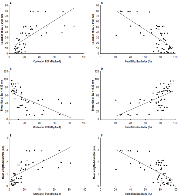
From the comparison functions of variable pairs (Fig. 4), the most relevant correlations are evident, and this helps to understand the relationship between structural stability and the SOC. The MWD and the SA>2.36 mm increase linearly when there is a higher POC, but they decrease when the humification index increases. For the SA<0.30 mm, a linear decrease can be observed when there is a higher content of POC, but an increase can be observed when there is a higher humification index. Similar results were obtained by Tivet et al. (2013) who found a positive relationship between the particulate OC with an increase of the SA of larger sizes.

FIGURE 4 Relevant correlations between variables of structural stability and variables of soil organic carbon. 

Conclusions

From the two climates considered in the study, the soil of a cold climate showed better aggregate stability, which confirms the correlation of macroaggregates with high TOC and POC in soils. This also indicates that the poor structural stability in the soil of warm climate is related to low TOC and POC.

None of the soil use systems has significantly affected the good structural stability of soil in a cold climate. However, a decrease in the structural stability of the soil was observed with crop use. This confirms the effect of intensive agricultural management on aggregation because of the reduction of organic carbon in the soil.

It is necessary to promote the increase of the TOC and POC in the soil of a warm climate to improve aggregate stability. This can be achieved by increasing the incorporation of organic residues in the soil. In soils of cold climate, all the soil use systems must preserve the TOC and the maintenance of a high POC content.

Literature cited

An, S., A. Mentler, H. Mayer, and W. Blum. 2010. Soil aggregation, aggregate stability, organic carbon and nitrogen in different soil aggregate fractions under forest and shrub vegetation on the Loess Plateau, China. Catena 81, 226-233. Doi: 10.1016/j.catena.2010.04.002 [ Links ]

Briedis, C., J. Moraes-Sá, E. Caires, J. Navarro, T. Massao-Inagaki, A. Boer, C. Quadros-Neto, A. Oliveira-Ferreira, L. Canalli, and J. Burkner-Dos Santos. 2012. Soil organic matter pools and carbon-protection mechanisms in aggregate classes influenced by surface liming in a no-till system. Geoderma 170, 80-88. Doi: 10.1016/j.geoderma.2011.10.011 [ Links ]

Bronick, C. and R. Lal. 2005. Soil structure and management: a review. Geoderma 124, 3-22. Doi: 10.1016/j.geoderma.2004.03.005 [ Links ]

FAO, Food and Agriculture Organization of the United Nations. 2006. Guidelines for soil description. FAO, Rome. [ Links ]

Figueiredo, C, D. Siqueira-Resck, and M. Carbone-Carneiro. 2010 Labile and stable fractions of soil organic matter under management systems and native Cerrado. Rev. Bras. Cienc. Solo 34, 907-916. Doi: 10.1590/S0100-06832010000300032 [ Links ]

IGAC, Instituto Geográfico Agustín Codazzi. 2006a. Estudio general de suelos y zonificación de tierras del departamento Norte de Santander. Instituto Geográfico Agustín Codazzi, Bogota. [ Links ]

IGAC, Instituto Geográfico Agustín Codazzi. 2006b. Métodos analíticos de laboratorio de suelos. Instituto Geográfico Agustín Codazzi, Bogotá. [ Links ]

Loss, A., E. Dos Santos, D. Schmitz, M. Da Veiga, C. Kurtz, and J. Comin. 2017. Atributos físicos do solo em cultivo de cebola sob sistemas de plantio direto e preparo convencional. Rev. Colomb. Cienc. Hort. 11(1), 105-113. Doi: 10.17584/rcch.2017v11i1.6144 [ Links ]

Lozano, Z., S. Cabrera, J. Peña, and M. Adams. 1997. Efecto de los sistemas de labranza sobre dos inceptisoles de los llanos occidentales de Venezuela. II. Propiedades físicas de los suelos. Revista Venesuelos, 5, 25-33. [ Links ]

Lozano, Z., R. Hernández, and A. Ojeda. 2005. Manual de métodos para la evaluación de la calidad física, química y biológica de los suelos. Universidad Central de Venezuela, Maracay, Venezuela. [ Links ]

Martínez, E., J. Fuentes, and E. Acevedo. 2008. Carbono orgánico y propiedades del suelo. J. Soil Sci. Plant Nutr. 8(1), 68-96. [ Links ]

Moraes-Sa, J. and R. Lal. 2009. Stratification ratio of soil organic matter pools as an indicator of carbon sequestration in a tillage chronosequence on a Brazilian Oxisol. Soil Tillage Res. 133, 65-74. Doi: 10.1016/j.still.2008.09.003 [ Links ]

Mujuru, L., A. Mureva, E. Velthorst, and M. Hoosbeek. 2013. Land use and management effects on soil organic matter fractions in Rhodic Ferralsols and Haplic Arenosols in Bindura and Shamva districts of Zimbabwe. Geoderma 209-210, 262-272. Doi: 10.1016/j.geoderma.2013.06.025 [ Links ]

Nascente, A., Y. Li, and C. Costa-Crusciol. 2015. Soil aggregation, organic carbon concentration, and soil bulk density as affected by cover crop species in a no-tillage system. Rev. Bras. Ciênc. Solo 39, 871-879. Doi: 10.1590/01000683rbcs20140388 [ Links ]

Oades, J. 1984. Soil organic matter and structural stability: mechanisms and implications for management. Plant Soil 76, 319-337. Doi: 10.1007/BF02205590 [ Links ]

Oliveira-Marques, J., F. Luizão, W. Teixeira, M. Sarrazin, S. Filgueira-Ferreira, T. Beldini, and E. Araújo-Marques. 2015 Distribution of organic carbon in different soil fractions in ecosystems of central Amazonia. Rev. Bras. Cienc. Solo 39, 232-242. Doi: 10.1590/01000683rbcs20150142 [ Links ]

Pinto, Y., J. Alvarez, and F. Forero. 2016. Efecto de la labranza en la estabilidad estructural y resistencia a la penetración en un inceptisol sembrado con arracacha (Arracacia xanthorrhiza Bancroft) en Boyacá. Rev. Col. Cienc. Hort. 10(1), 99-112. Doi: 10.17584/rcch.2016v10i1.5049 [ Links ]

Pla, I. 1983. Metodología para la caracterización física con fines de diagnóstico de problemas de manejo y conservación de suelos en condiciones tropicales. Rev. Fac. Agron. Alcance 32, 5-91. [ Links ]

Pla, I. 2010. Medición y evaluación de propiedades físicas de los suelos: dificultades y errores más frecuentes. I - Propiedades mecánicas. Suelos Ecuatoriales 40(2), 75-93. [ Links ]

Pulido, M., D. Lobo, and Z. Lozano. 2009. Asociación entre indicadores de estabilidad estructural y la materia orgánica en suelos agrícolas de Venezuela. Agrociencia 43, 221-230. [ Links ]

Sena, K., K. Maltoni, G. Amorim-Faria, and A. Rodrigues-Cassiolato. 2017. Organic carbon and physical properties in sandy soil after conversion from degraded pasture to Eucalyptus in the Brazilian Cerrado. Rev. Bras. Cienc. Solo 41, e0150505. Doi: 10.1590/18069657rbcs20150505 [ Links ]

Six, J., H. Bossuyt, S. Degryze, and K. Denef. 2004. A history of research on the link between (micro)aggregates, soil biota, and soil organic matter dynamics. Soil Till. Res. 79, 7-31 Doi: 10.1016/j.still.2004.03.008 [ Links ]

Tivet, F., J. Moraes-Sa, R. Lal, C. Briedis, P. Borszowskei, J. Burkner-Dos Santos, A. Farias, G. Eurich, D. Hartman, M. Nadolny, S. Bouzinac, and L. Seguy. 2013. Aggregate C depletion by plowing and its restoration by diverse biomass- C inputs under no-till in sub-tropical and tropical regions of Brazil. Soil Till. Res. 126, 203-218 Doi: 10.1016/j.still.2012.09.004 [ Links ]

Received: January 30, 2019; Accepted: December 05, 2019

*Corresponding author: ibonnegeanethvb@ufps.edu.co

Creative Commons License This is an open-access article distributed under the terms of the Creative Commons Attribution License