Introduction
The production of flowers and ornamental plants represents one of the fastest-growing sectors in Brazilian agriculture. This market is based on periodic releases of new cultivars with formats that express new patterns of colors, contrasts or sizes. In this context, pepper plants stand out for having a dual-purpose, culinary or ornamental application, due to their small size, erect and colorful fruits and leaves that can present different colors and sizes (Nascimento et al., 2013). Furthermore, pepper plants are easy to grow and have a long post-production shelf life, fruit and leaf durability, in addition to the continuous production of fruits (Neitzke et al., 2016). All these favorable attributes increase the internal and external market demand for ornamental peppers. In Brazil, cultivation is being carried out by small, medium and large producers, adjusting to the models of family agriculture and integration of large companies with small producers (do Rêgo and do Rêgo, 2016).
Plants can produce, store and release a wide range of allelopathic secondary metabolites during their life cycle (Schandry and Becker, 2019). These secondary allelopathic chemicals are synthesized by plants and released into the environment to promote or inhibit the development of other plants (Oliveira et al., 2018).
Brachiaria decumbens is of great importance in the Brazilian cattle industry, due to its high potential for forage production and adaptability to acid soils with low fertility (Monteiro et al., 2016). It is believed that substances produced through the metabolism of B. decumbens plants and released by dissolution in water may influence the development of pepper plants, due to the presence of mineral nutrients, amino acids and organic acids, carbohydrates or growth regulators. Younger leaves, especially the ones in intense cell division, are the main production sites of compounds that contribute to plant growth (Taiz and Zeiger, 2013).
There is no consensus regarding the effect of Brachiaria on plant development. The application of B. decumbens extract inhibited the growth of watercress (Lepidium sativum), lettuce (Lactuca sativa), timothy (Phleum pratense) and ryegrass (Lolium multiflorum) seedlings, being the substance (6R, 9S)-3-oxo-α-ionol, isolated from the extract, one of the possible responsible for this effect (Kobayashi and Kato-Noguchi, 2015). On the other hand, B. brizantha extract promoted increased germination of Stylosanthes macrocephala (Rodrigues et al., 2012). Therefore, it is believed that Brachiaria has both inhibitory compounds and favors plant development, depending on the sensitivity of plants to these extracts and the part of the plant (root or shoot).
The pepper crop has been little studied in Brazil, especially regarding organic fertilization and natural plant growth promoters (Weckner et al., 2018). Therefore, the use of B. decumbens extracts by small producers can be a viable and economical alternative, which may reduce input costs. Thus, the study aimed to evaluate the effect of Brachiaria decumbens aqueous extract on the growth of ornamental pepper.
Materials and methods
The study was conducted in the plant nursery sector of the Federal Institute of Espírito Santo (IFES), located in the municipality of Santa Teresa, in the Serrana region of the Espirito Santo State, with an altitude of 160 m a.s.l., latitude 19°48'20" S and longitude 40°40'32" W. According to Koppen's classification, the region presents a Cwb climate type (temperate oceanic climates/tropical altitude climate), with an average annual temperature of 24.6°C and annual precipitation ranging between 700 and 1,200 mm. The plant nursery where the experiment was carried out has a 50% shading screen.
A randomized block design (RBD) with four replicates in a 4x2 factorial scheme was used, with four doses of B. decumbens extract (0, 50, 75 and 100%) and two application methods (edaphic application or foliar sprays). The block was used to control the effect of seedling size. The experimental unit consisted of a pot containing one plant, with a total of 32 experimental units.
Capsicum frutescens plants were propagated by seeds and germinated in expanded polystyrene trays with 200 cells, each one with a volume of 18 cm3. Two seeds were sown per cell. Following germination, plants were thinned to one plant per cell.
When the seedlings had two pairs of leaves, they were transplanted to 1.5 L polyethylene pots. The substrate used in the pots was a mixture of the commercial substrate Plantmax® and coffee straw, at a 2:1 ratio. In the substrate mixture the chemical fertilizers simple superphosphate and potassium chloride were added at doses of 2.5 g L-1 and 0.8 g L-1, respectively.
Sprinkler irrigation was performed daily in order to reach the field capacity of the substrate in all treatments. The pepper plants were fertilized during the experiment with the mineral fertilizer NPK 04-30-10, and the fertilizer was previously diluted in water and applied through fertigation.
To prepare the aqueous extract, B. decumbens young leaves were grounded with water in a 1:2 ratio (w/w) in an industrial blender (LC6, Skymsen, Brusque, Brazil). The obtained mixture was sieved and then applied to the plants. Thus, 0% represents the control (water) and 100% represents the undiluted extract.
A sample of B. decumbens young leaves was chopped and dried in a forced air circulation oven (SL-102/1152, SOLAB, Piracicaba, Brazil) at 70°C for 72 h. After dried, the sample was sent to the Laboratory of Agronomic and Environmental Analysis-FULLIN, Linhares-ES, Brazil, for the determination of macro-and micronutrient concentration.
The application of the aqueous extract started at 21 d after transplanting (DAT), in which four applications were performed fortnightly. For the foliar sprays, each leaf was sprayed until runoff using a sprayer directed to both leaf surfaces. The edaphic application was performed by pouring 250 ml of the aqueous extract per pot.
The commercial stage of pepper plants for sale was defined when fruit color was purplish or reddish in more than 50% of their surface. At this stage, plant height (PH), leaf number (LN), fruit number (FN), leaf area (LA), fruit dry mass (FDM), root dry mass (RDM) shoot dry mass (SDM) and total dry mass (TDM) were determined. The number of days to flowering (DTF), i.e. the period between transplanting and flowering, was also determined.
Afterward, a metal cylinder was used to cut leaf circles that were weighed in an analytical balance (AUW220, Shimadzu, Barueri, Brazil) and the leaf area was indirectly estimated through a rule of three. To obtain the FDM, RDM, SDM, and TDM, the shoot and root of each plant were cut, washed and dried in a forced-air circulation oven at 65°C until reaching constant weight. After dried, the plant material was weighed in an analytical balance. The TDM comprises the fruit, leaf, root and stem dry masses.
Data were subjected to tests of normality (Lilliefors) and homocedasticity (Bartlett), in order to verify the Analysis of variance assumptions. The data that did not meet the assumptions were transformed into logarithm or square root. The variables that met the assumptions were submitted to Analysis of variance. For the "application method" factor the result of the analysis of variance was conclusive (only two levels for each one). For the "extract doses" factor, in the case of its significant effect, the decomposition of its degrees of freedom in regression by orthogonal polynomials was performed. For all procedures, a P<0.05 was adopted.
All statistical analyzes were performed using the Assistat 7.7 (Silva and Azevedo, 2016) and Sisvar 5.6 (Ferreira, 2011) software.
Results and discussion
According to the results of the analysis of B. decumbens leaves used to prepare the aqueous extract, it can be observed that the leaves show high contents of nutrients, mainly nitrogen and potassium, thus, contributing to the development of pepper plants (Tab. 1).
There was a significant interaction (P<0.05) between the application method and the B. decumbens extract doses for the variables number of days to flowering, plant height, leaf number, leaf area, fruit dry mass, shoot dry mass and total dry mass, which means that the behavior of the levels of one factor was different when the levels of the other factor changed.
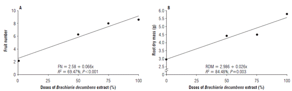
There was no significant effect of the interaction on the number of fruits and root dry mass. In this case, the Brachiaria extract doses and the application methods act independently for the fruit number and root dry mass.
Regarding the isolated effect of the application methods, it was observed that the pepper plants presented higher fruit number and root dry mass values with edaphic applications of B. decumbens extract (Tab. 2). Pepper fruits are one of the features that most attract the consumers' attention at the time of purchase (Neitzke et al., 2010), so it is of interest that the plants present a great number of fruits.
TABLE 2 Fruit number and root dry mass of Capsicum frutescens as a function of edaphic application or foliar sprays of Brachiaria decumbens aqueous extract.

Means followed by different letters differ from each other according to the F test (P<0.05).
The superior result observed for the edaphic application, a fertigation-like method, may be associated with the amount of nutrients and compounds absorbed by the plants. When evaluating the performance of second harvest corn subjected to different nitrogen doses, Biscaro et al. (2011) observed that the fertilization via edaphic application is more efficient than the foliar sprays, even when lower doses are applied. Although the absorption of foliar sprays of B. decumbens extract is faster and more efficient, the exclusive use of this method is not the most indicated since the amount absorbed is not sufficient for the adequate development of pepper plants.
Regarding the isolated effect of the B. decumbens extract doses, the best results for fruit number (9.18) and root dry mass (5.59 g) were obtained at 100% (Fig. 1A-B).

FIGURE 1 (A) Fruit number and (B) root dry mass of ornamental pepper subjected to different doses of Brachiaria decumbens aqueous extract. FN: fruit number, RDM: root dry mass.
The best performance of pepper plants regarding the number of fruits and root dry mass observed at the concentration of 100% probably occurred due to the amount of nutrients and chemical compounds present in the B. decumbens extract, showing that lower doses were not enough to promote such expressive results. When applying Pinus extract on the initial development stages of soy plants, Faria et al. (2009) reported that the greatest dose (2 kg L-1) provided higher hypocotyl and radicle length, emphasizing the importance of using larger doses.
For the variables days for flowering, plant height, leaf number, leaf area, fruit dry mass, shoot dry mass, and total dry mass, the interaction between the factors application method and doses of extract was significant (P≤0.05) and the obtained results are shown in Figures 2A-H.

FIGURE 2 (A) Number of days to flowering, (B) plant height, (C) leaf number, (D) leaf area, (E) fruit dry mass, (F) shoot dry mass, and (G) total dry mass in function of edaphic application or foliar spray of Brachiaria decumbens aqueous extract. ED: edaphic application, FS: foliar spray, NS: not significant, DTF: number of days to flowering, PH: plant height, LN: leaf number, LA: leaf area, FDM: fruit dry mass, SDM: shoot dry mass, TDM: total dry mass.
When considering the interaction between the application method and the B. decumbens extract doses, the edaphic application showed a linear behavior (Fig. 2A-H). The foliar sprays for the variables number of days to flowering and shoot dry mass showed a linear behavior; for the variable leaf area, there was quadratic behavior, and for the other variables there was no adjustment to the different polynomials (Fig. 2A-H).
Figure 2A shows that the number of days to flowering (DTF) decreased as the doses of B. decumbens extract increased regardless of the application method. The best results of DTF (50.01 d) were registered when edaphic applications of B. decumbens extract at 100% were performed, with flowering occurring 50 d after transplanting into the pot. On the other hand, the treatment containing 0% (control) of B. decumbens aqueous extract presented the worst results, registering 108.42 and 132.2 d to flowering, when the aqueous extract was applied by edaphic and foliar sprays, respectively. The variable days to flowering (DTF) is a measure of precocity and as such, it is of interest that it exhibits a reduction (do Rêgo et al., 2012). Oliveira (2012), studying the use of biofertilizers in the cultivation of Capsicum baccatum var. pendulum, obtained a reduction of 6 d for flowering when applying organic yeast composed of water, fresh cattle manure, green leaves, sugarcane candy, MB-4 rock powder, and yeast starter.
Regarding the variable plant height (PH), the foliar application of B. decumbens aqueous extract did not show a significant statistical difference as a function of the doses (Fig. 2B). With edaphic applications, plant height increased with the augmentation of the extract doses, obtaining the highest value (51.76 cm) at 100% of B. decumbens aqueous extract. The higher efficiency of the edaphic application may be related to the greater absorption capacity of the roots when compared to leaves. The proper height of an ornamental pepper is determined by the size of its pot (Veiling, 2019). Small-sized pepper varieties are desirable for potting. Peppers that exceed the required size for potting can be cultivated in functional gardens, destined to spice, medicinal and aromatic plants (Neitzke et al., 2010).
The best results obtained with increased doses of the extract may be related to the macro and micronutrients available in the B. decumbens leaves (Tab. 1) as well as growth-promoting compounds such as auxins. Once available in liquid form and in favorable amounts, the active compounds act rapidly in the plant metabolism, improving plant growth and development (Weckner et al., 2018). According to Araújo et al. (2007), organic fertilization with fresh cattle manure, applied solo or associated with organic matter, is a great alternative to promote the growth of sweet pepper (Capsicum annum).
Edaphic applications of increasing doses of the Brachiaria aqueous extract promoted an increase in the leaf number (Fig. 2C). At the 100% dose, the pepper plants showed 69.25 leaves, an increase of 174.26% when compared to the 0% dose. When applied via foliar spray, there was no significant difference between the treatments. The leaves are an important feature of ornamental peppers. A high number of leaves provides dense foliage and the green leaves contrast with the diversity of fruits color, which makes ornamental peppers more appealing.
The high potassium content (Tab. 1) in 100% of Brachiaria aqueous extract probably influenced the increase in leaf number, since potassium fertilization is essential to photosynthesis process. Corroborating the results found in the present study, Barcelos et al. (2015) registered increased chlorophyll content in pepper pout plants with the augment of potassium doses.
It can be observed that edaphic applications showed better results when compared to the foliar sprays (Fig. 2D). When the edaphic application of the B. decumbens extract was performed, the leaf area increased with increasing doses. This aqueous extract at 100% was considered the best dose, providing 939.99 cm2 of leaf area. On the other hand, for the foliar sprays, the highest LA value (531.14 cm2) was obtained at a dose of 30%, and then it decreased with increasing doses. According to Larcher (2000) and Hachmann et al. (2014), the larger the leaf area, the greater the active photosynthetic surface available and, therefore, the greater photoassimilate production available for fruit development.
When the edaphic application of the extract was performed, increased fruit dry mass (FDM) was observed as the doses increased (Fig. 2E). The best result was obtained at 100%, with 28.29 g of fruit dry mass, whereas 2.65 g was registered for plants that were not treated with B. decumbens extract. Therefore, the application of Brachiaria extract at 100% dosage promoted, approximately, a 1,000% increase for this variable. Plants sprayed with the extract did not show any significant statistical difference for the fruit dry mass. The fruit dry mass is an important factor for pepper growers since fruits can be used to produce paprika powder.
Again, such results may be associated with the presence of potassium in B. decumbens leaves (Tab. 1), a key nutrient for fruit development. The essential mineral nutrients present in fertilizers have many functions in plant metabolism. When available in optimum concentrations, potassium exerts essential activity in the synthesis of proteins, carbohydrates, sugars, organic acids, and other compounds, being fundamental to fruit production and quality (Gonçalves et al., 2008). When evaluating the effect of biofertilizer doses (0 to 120 m3 ha-1) on two sweet pepper cultivars (Amanda and Rubia), Sediyama et al. (2014) verified an increase in productivity as the doses increased, mainly due to a nutritional state improvement, provided especially by higher leaf contents of N, B, and Zn. According to Oliveira (2012), different types of biofertilizers promoted a significant increase in fruit mass in relation to N-P-K fertilization.
An increase in shoot dry mass (SDM) was observed with increasing doses of Brachiaria extract via edaphic application and a decrease in shoot dry mass for foliar spray (Fig. 2F). When evaluating the application of a biofertilizer via foliar spray in hybrid sweet pepper, Freitas et al. (2011) registered a decrease in the values of the characteristics evaluated when the plants were subjected to higher doses.
Edaphic application of increasing doses of the B. decumbens aqueous extract provided an increase in total dry mass (TDM) (Fig. 2G). At an extract dose of 100%, the highest total dry mass (74.12 g) was obtained, which represents a 278.74% increase when compared to the dose of 0% (19.57 g). When evaluating the nutritional status and productivity of sweet pepper fertilized with swine biofertilizer, Sediyama et al. (2014) registered the best results when higher doses were applied.
The results obtained in the present study may be associated with the presence of nutrients and other compounds in B. decumbens leaves. Large amounts of auxins and phenolic compounds have been reported in Cyperus rotundus L. extracts, a plant that shows characteristics of aggressiveness similar to Brachiaria, once it adapts to various soil and climate conditions and excels over other plants (Rezende et al., 2013). Auxin regulates various growth and developmental processes throughout the life cycle of plants, such as cell division, cell expansion and cell fate (Salehin et al., 2015). From this perspective, the best results found with the application of B. decumbens extract may also be related to the high levels of auxin present, which promoted better plant development, which is evidenced by the reduction of days to flowering and higher plant height, leaf number, leaf area, and dry mass.
The application of Brachiaria extract can be an accessible alternative in the cultivation of ornamental potted pepper.
This aqueous extract can be used to promote plant growth with great potential to be tested for its efficiency in other crops.
Conclusions
Brachiaria decumbens extract application reduces the number of days to flowering in pepper, making it possible to anticipate its commercialization. In addition, it promotes better development of pepper plants, evidenced by higher plant height, leaf number, leaf area, and dry mass.
The edaphic application of B. decumbens extract promotes better results when compared to the foliar sprays. The edaphic application of B. decumbens extract at 100% dosage is recommended for promoting the best development of ornamental pepper plants.














