Introducción
Según los últimos datos proporcionados en 2019 por la Asociación Española de Cáncer de Tiroides (AECAT), el 75% de los casos de hipoparatiroidismo en España surgen como consecuencia de una tiroidectomía total, que afecta a un conjunto de entre 10.200 y 17.300 pacientes. En el 2016, un estudio basado en la población identificó una prevalencia de 37 casos por cada 100.000 habitantes en EE. UU., y determinó que la gran mayoría de estos fueron causados por cirugía (78 En este sentido, las complicaciones más temidas una tiroidectomía total son el hematoma cervical, la obstrucción respiratoria por parálisis recurrencial bilateral y la hipocalcemia aguda por hipoparatiroidismo yatrogénico; esta última es la más frecuente2-5.
El hipoparatiroidismo postiroidectomía se define como la presencia de hipocalcemia con una concentración inadecuada de niveles de hormona paratiroidea (PTH por sus siglas en inglés) francamente bajos o inapropiadamente normales6. Ocurre en el 0,3 %-68 % de los casos2,3,7, muy variable según la literatura, en parte por la falta de consenso en su definición.
Esta hipofunción puede deberse al daño directo, mecánico o térmico; a la devascularización o a la extirpación inadvertida de las glándulas paratiroideas, al edema postquirúrgico o a las complicaciones hemorrágicas2,4,7-10. Tanto el daño directo como el edema y la devascularización pueden ser reversibles, lo que explica que el hipoparatiroidismo sea transitorio en la mayoría de los casos9,11,12. El hipoparatiroidismo postquirúrgico puede ser transitorio o permanente cuando persiste más allá de 6-12 meses. Su recuperación no solo debe ser definida por el nivel de PTH, sino también por la necesidad o no de tratamiento6. Algunos estudios definen el permanente como aquel donde existe la necesidad de suplemento de calcio y/o vitamina D para mantener la normocalcemia a los 12 meses o más tras la cirugía3,13, mientras que otros estudios marcan la diferencia a los 6 meses14. Sin embargo, hay que tener en cuenta que existen pacientes que recuperan la normofunción paratiroidea a los dos años, sin necesidad de tratamiento. La prevalencia cuando es transitorio, es decir, dura menos de 6-12 meses, oscila entre el 10-40 %; mientras que el permanente, presente más allá de 6-12 meses, varía de 0-12 %, según la literatura internacional8,9,11,13,15. Esta gran amplitud en los rangos de prevalencia de hipoparatiroidismo transitorio y permanente se debe a la falta de criterio estándar en su definición9.
Otro mecanismo conocido por el que se puede producir una hipocalcemia tras tiroidectomía total es el llamado síndrome del hueso hambriento, que está presente en pacientes con tirotoxicosis preoperatoria por enfermedad de Graves o por los bocios multinodulares (BMN) tóxicos. Este síndrome se caracteriza por la aparición de hipocalcemia, hipofosfatemia e hipomagnesemia secundaria a un aumento de su captación a nivel óseo causado por el exceso de hormona tiroidea previo a la cirugía.
Otra clasificación a tener en cuenta es el grado de severidad de la hipocalcemia. La severa se produce cuando el calcio sérico es <8,0 mg/dL y/o síntomas atribuibles a la hipocalcemia, mientras que la leve se define con un calcio sérico entre 8-8,5 mg/dL16. Ningún parámetro prevé por sí solo la hipocalcemia postiroidectomía total con exactitud. Se trata, más bien, de varios factores que interaccionan entre sí, con gran probabilidad de predecir hipocalcemia de manera conjunta. El uso de la PTH intacta postoperatoria se ha estudiado como indicador para la detección temprana y el tratamiento precoz de la hipocalcemia tras tiroidectomía total. Otro método conocido es el gradiente o porcentaje de descenso del nivel de PTH desde el período preoperatorio al postoperatorio, para el cual se necesita la medición de PTH preoperatoria, lo que incrementa el coste.
En este estudio se analiza el valor pronóstico de la PTH postoperatoria con la ventaja de no requerir la PTH preoperatoria. Los protocolos basados en PTH y calcio postoperatorios que recomiendan el consenso realizado por la Sociedad Española de Otorrinolaringología y Cirugía de Cabeza y Cuello (SEORL-CCC) y la Sociedad Española de Endocrinología (SEEN)6, y, por otro lado, el protocolo propuesto por la American Thyroid Association (ATA)17, se utilizan para guiar el manejo con suplementos de calcio y/o vitamina D, y para poder valorar el alta precoz segura de estos pacientes.
En cuanto al mejor momento de medición de la PTH, existe mucha controversia en la literatura. El metanálisis de Noordzij et al. agrupó nueve estudios que examinaron los niveles de PTH postoperatoria como predictores de hipocalcemia. En este se concluye que la precisión de la PTH para determinar la hipocalcemia aumentó con el tiempo, y fue excelente a las seis horas del postoperatorio con una sensibilidad del 96,4 % y una especificidad del 91,4 %18. Otros trabajos compararon las mediciones de PTH en varios momentos y concluyeron que una sola medición de PTH a las cuatro horas tras la cirugía puede ser más precisa que en tiempos anteriores para predecir la hipocalcemia. Con umbrales de PTH entre 10 y 19,4 pg/mL, medidos con la curva ROC, se obtuvieron una sensibilidad y especificidad próximas al 100 %19-22. Por otra parte, Sywak et al. compararon los resultados obtenidos con las determinaciones realizadas a las 4 y 24 horas de la cirugía y no encontraron diferencias significativas entre ellas23.
El objetivo principal del presente estudio es analizar el valor pronóstico de la PTH postoperatoria a las 24 horas, como indicador precoz de hipocalcemia tras tiroidectomía total. La PTH postoperatoria no se dispone en todos los centros por su elevado coste, por lo que en este estudio se pretende justificar los beneficios de su uso, desde la detección precoz de pacientes con riesgo de hipocalcemia, lo cual permite un mayor control de los síntomas y evita complicaciones potencialmente mortales, hasta su rentabilidad al conseguir un alta más temprana en los pacientes libres de este riesgo.
Materiales y métodos
Se trata de un estudio observacional analítico de corte transversal con 297 pacientes intervenidos de tiroidectomía total a lo largo de 8 años, desde enero de 2012 hasta diciembre de 2019, en un centro de tercer nivel: el Hospital Universitario Doctor Peset de Valencia. Se incluyeron todos los pacientes intervenidos de tiroidectomía total, en uno o dos tiempos, con o sin disección central y/o lateral de cuello, e independientemente del motivo de indicación. Los criterios de exclusión incluyeron enfermedades paratiroideas concomitantes e insuficiencia renal. Todos los pacientes fueron remitidos desde el servicio de endocrinología del mismo centro. Se recogieron datos demográficos, clínicos y bioquímicos, tanto preoperatorios e intraoperatorios, como postoperatorios de cada paciente, a través de las historias clínicas. Se recogieron datos de los partes quirúrgicos, donde se incluía el número de paratiroides observadas y respetadas, el tamaño del tiroides, la presencia de extensión tiroidea intratorácica y la asociación de otros procedimientos quirúrgicos a la tiroidectomía como vaciamientos ganglionares. Dentro de los parámetros bioquímicos destacan la PTH, el calcio corregido con albúmina y vitamina D preoperatorios, el calcio postoperatorio corregido con albúmina a las 6, 24 y 48 horas (se escogió el valor más bajo para el cálculo de hipocalcemia) y, por último, la PTH postoperatoria a las 24 horas tras la tiroidectomía total.
En este estudio, la hipocalcemia postquirúrgica se define como calcio sérico corregido por albúmina <8,5 mg/dL y/o aparición de síntomas propios de la hipocalcemia; la hipocalcemia leve con valores entre 8 y 8,5 mg/dL y la severa con valores <8 mg/ dL. La hipocalcemia permanente se define como la necesidad de suplemento de calcio y/o vitamina D para mantener la normocalcemia a los 12 meses o más tras la cirugía. Se define el hipoparatiroidismo como la presencia de hipocalcemia con unos niveles de PTH bajos o inadecuadamente normales. Los pacientes solo recibieron suplementación con calcio y/o vitamina D en los siguientes casos: aparición de síntomas, calcio corregido <8 mg/dL o calcio corregido <8,5 mg/dL y PTH <15 pg/mL.
La máquina empleada para la determinación de los niveles de PTH fue el analizador Cobas® 6000 Series system de Roche-Hitachi. El rango normal para esta prueba es 15-65 pg/mL y se tomó como punto de corte el valor normal bajo (15 pg/mL), punto de corte que también recomienda la ATA17.
En el presente estudio se propone una clasificación basada en la PTH postoperatoria. Consta de una clasificación con tres grupos de riesgo según el rango de la PTH postoperatoria: alto riesgo (PTH <15 pg/ mL), medio riesgo (PTH 16-30 pg/mL) y de bajo riesgo (PTH >30 pg/mL). Estos rangos son preestablecidos con base en las recomendaciones de la ATA17.
El análisis de los datos se realizó con el software R versión 3.6.2. Se realizó un estudio univariado del valor pronóstico de la PTH con el cálculo de la sensibilidad, especificidad, valor predictivo negativo (VPN), valor predictivo positivo (VPP), precisión global y la razón de verosimilitud para el punto de corte de la PTH postoperatoria a las 24 horas (15 pg/mL). Además, se llevó a cabo un análisis bivariado entre los distintos grupos de hipocalcemia y la PTH. Todas las variables se sometieron a test de normalidad. Se utilizó el test "t de Student" para comparar variables continuas paramétricas, el test "U de Mann-Whitney" para variables continuas no paramétricas y el test X2 para proporciones, considerando significativo un valor p <0,05. Se presentan los datos de edad y valor de parathormona en promedios con sus respectivas desviaciones estándar y rangos.
Para el análisis del tamaño del efecto basado en diferencias entre grupos, se utilizó la d de Cohen y la Odds Ratio (OR), datos incluidos en todas las tablas. Para simplificar la exposición de los datos, se aportan tablas resumen (tablas 1 - 5). Con el fin de estudiar la PTH y el calcio corregido con albúmina postoperatorios como factores predictivos de hipocalcemia, se realizó un estudio multivariado con un diagrama de dispersión, curvas ROC y áreas bajo la curva para ambas variables (figuras 1 y 3). Se tomó como punto de corte el valor de PTH que presentaba mayor actividad en la curva ROC. Para el estudio de la repercusión en la estancia hospitalaria según el valor de la PTH, se realizó un análisis bivariado y un diagrama de dispersión (tabla 5 y figura 2).
El presente estudio fue aprobado por el comité de ética del propio centro. Los autores no tienen potenciales conflictos de intereses.
Resultados
La edad media de los pacientes incluidos fue de 54,2 ± 14,2 años [17-90], de los cuales la mayoría eran mujeres (81,5 %). Todos los pacientes fueron sometidos a tiroidectomía total, y en 44 de ellos esta fue una tiroidectomía en dos tiempos. De la muestra, 40 pacientes también se sometieron a vaciamiento cervical. Más de la mitad de los procedimientos (190) se realizaron por enfermedad benigna, y de ellos, 95 con hiperfunción tiroidea prequirúrgica: 52 casos con tirotoxicosis y 43 casos con hipertiroidismo subclínico. De nuestros pacientes, 16 tenían documentado una imagen radiológica de bocio intratorácico. De los pacientes con confirmación diagnóstica de cáncer (107), 101 casos correspondieron al subtipo diferenciado y seis casos a carcinoma medular.
Se registraron un total de 187 complicaciones relacionadas con la cirugía tiroidea en 154 pacientes. Con gran diferencia, la complicación más frecuente fue la hipocalcemia postoperatoria (40,4 %), seguida de la parálisis recurrencial (19,2 %) y del hematoma cervical (3 %). En 78 casos (26,3 %) la hipocalcemia fue transitoria, y los 42 pacientes restantes que no se recuperaron tras 12 meses de seguimiento fueron catalogados como hipocalcémicos permanentes (14,1 %). Ningún caso de hipocalcemia se pudo atribuir al síndrome de hueso hambriento.
El promedio de PTH a las 24 horas fue 24,6 ± 17,9 pg/mL [3-78]. Los pacientes con hipocalcemia postoperatoria tuvieron niveles medios más bajos de PTH a las 24 h (8,7 pg/mL) en comparación con los normocalcémicos que obtuvieron 37,2 pg/mL de media (p = 0,00).
En la tabla 1 se representa la relación de la PTH postoperatoria <15 pg/mL con los distintos tipos de hipocalcemia. La pertenencia al grupo de alto riesgo (valor de PTH <15 pg/mL) está relacionada significativamente con la hipocalcemia, la hipocalcemia severa, la hipocalcemia permanente, la aparición de síntomas y la necesidad de suplementos de calcio por vía intravenosa (p=0,00). La probabilidad de tener una hipocalcemia, cuando el valor de PTH <15 pg/mL, es igual a 353,4 (p=0,00).
Tabla 1 Relación entre la PTH postoperatoria y la pertenencia a grupo de riesgo respecto a distintos tipos de hipocalcemia tras tiroidectomía total

Fuente: autores.
En la tabla 2 se describe la relación entre los distintos tipos de hipocalcemia, su gravedad y permanencia. Tanto la hipocalcemia leve (<8,5 mg/dL) como la severa (<8 mg/dL) se relacionan significativamente con la hipocalcemia permanente y la aparición de síntomas (p = 0,00). Existe relación estadísticamente significativa entre la aparición de síntomas y la necesidad de calcio intravenoso con la hipocalcemia permanente (p = 0,00).
En la tabla 3 se describe el grado y evolución de la hipocalcemia dentro de cada grupo de riesgo, en función de la PTH postoperatoria. La proporción de pacientes con PTH <15 pg/mL fue mayor en aquellos con hipocalcemia (96,2 vs. 5,9 %, p = 0,00). Además, el 28 % de los pacientes alcanzaron un valor de PTH <15 pg/mL, y de ellos el 92,7 % desarrollaron hipocalcemia, y se incluye en este rango a la totalidad de pacientes que finalmente desarrollaron una hipocalcemia permanente. Del total de pacientes con PTH <15 pg/mL (83), seis no tuvieron hipocalcemia, y de los pacientes con PTH >15 pg/mL (98), tres tuvieron hipocalcemia (ver tabla 3).
Tabla 3 Grado y evolución de la hipocalcemia dentro de cada grupo de riesgo en función de la PTH postoperatoria

Fuente: autores.
Se somete dicho test a pruebas de validez diagnóstica. La prueba de PTH postoperatoria (≤15 pg/mL a las 24 h) obtuvo una sensibilidad del 96,25 % para la detección de hipocalcemia, una especificidad del 94,06 %, un valor predictivo positivo del 92,77 %, un valor predictivo negativo del 96,94 % y una precisión global del 95,03 %. La razón de verosimilitud positiva fue 16,2 y la negativa 0,19.
El análisis bivariante mostró diferencias significativas entre la hipocalcemia y la edad (p = 0,04), la enfermedad de Graves (p = 0,04), el carcinoma confirmado por anatomía patológica (p = 0,04), la tiroidectomía en dos tiempos (p = 0,00), el número de paratiroides trasplantadas (p = 0,00), la PTH preoperatorio (p = 0,039) y la postoperatoria a las 24 h (p = 0,00) y el gradiente de PTH (p = 0,00) (ver tabla 4).
Tabla 4 Relación entre factores e hipocalcemia

rl: regresión lineal; X2: prueba de Chi2; t: prueba T-Student; u: prueba de U de Mann-Whitney.
Fuente: autores.
En la figura 1, un histograma de edad presenta la distribución de edad de la muestra, e ilustra que la media general es de 54,2 años. Además, se aporta un gráfico con los rangos de edad y las medias para ambos grupos (media edad sin hipocalcemia = 52,6 / media edad con hipocalcemia = 55,9; p = 0,00). Por último, en el diagrama de dispersión se observa una relación positiva pero débil entre la edad y el calcio, con un coeficiente de correlación lineal igual 0,116 (ver figura 1c).

Fuente: autores.
Figura 1 a) Histograma edad; b) rangos y medias de edad para ambos grupos; c) diagrama de dispersión de la edad y del valor mínimo del calcio.
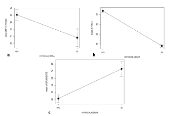
En la figura 2, se muestran los gráficos con los rangos y las medias de PTH pre- y postquirúrgica y el gradiente de PTH para ambos grupos.

Fuente: autores.
Figura 2 Rangos y medias de PTH preoperatoria (a), postoperatoria (b) y gradiente (c) para ambos grupos.
En la figura 3 se representa, mediante un diagrama de dispersión, la relación proporcional y significativa que existe entre el valor mínimo de calcio corregido con albúmina y la PTH postoperatoria (ver figura 3).

Fuente: autores.
Figura 3 Diagrama de dispersión del valor mínimo del Ca y PTH postoperatorios. Calcio: Ca = 8,049 ± 0,017 PTH Valor p = 0,00
El motivo más frecuente por el cual los pacientes alargaron su estancia hospitalaria fue el hipoparatiroidismo; su estancia media fue de 4,8 días, en comparación con el resto de pacientes normocalcémicos, que tuvieron una estancia media de 2,6 días. En la figura 4 se representa, mediante un diagrama de dispersión, la relación inversa y significativa que existe entre la estancia hospitalaria y la PTH postoperatoria, de modo que aquellos pacientes con una menor PTH requerirán una mayor estancia hospitalaria (ver figura 4).

Fuente: autores.
Figura 4 Diagrama de dispersión estancia y PTH postoperatoria. Estancia: 4,93 ± 0,05 PTH Valor p = 0,00
En la tabla 5 se muestra la relación entre la PTH postoperatoria y la estancia hospitalaria con la hipocalcemia. Se observa que los casos de hipocalcemia postquirúrgica están relacionados de manera estadísticamente significativa con un descenso del nivel de PTH y un aumento de la estancia hospitalaria (ver tabla 5).
Tabla 5 Relación estadística entre la PTH y la estancia hospitalaria con el valor mínimo de calcio tras tiroidectomía total

U: prueba de U de Mann-Whitney. Tamaño del efecto calculado con la prueba Cohen's d.
Fuente: autores.
Se procede con el análisis multivariado con el siguiente gráfico ROC, se comparan las áreas bajo la curva (AUC) de la PTH y del calcio corregido postquirúrgicos. El AUC de la PTH postoperatoria para predecir hipocalcemia es de 0,99, en comparación con el AUC del calcio corregido que es de 0,83; esta diferencia demuestra que la parathormona postoperatoria es mejor predictor de hipocalcemia que el calcio corregido (ver figura 5).
Discusión
En el presente estudio, la tasa de hipocalcemia total fue de 40,4 %, con un 26,3 % de hipocalcemia transitoria y un 14,1 % permanente. Del total de pacientes con hipocalcemia, el 54,2 % normalizaron la calcemia en los primeros 3-6 meses. Estos datos se ajustan a lo descrito en la literatura internacional. Por ejemplo, Díez et al. publicaron una prevalencia de hipoparatiroidismo al alta tras tiroidectomía total del 48 %, de los cuales el 52,5 % se recuperaron en los primeros 3-6 meses9.
La incidencia del hipoparatiroidismo transitorio oscila entre el 10 % y el 40 %4,8,11,13,15,19,21, mientras que el permanente oscila entre el 0 % y el 12 %8,9,11,13. Esta variabilidad se debe en parte a las numerosas definiciones existentes4,12,15. Algunas definiciones de hipocalcemia postquirúrgica solo contemplan el nivel del calcio. Otras lo combinan con uno o varios de los siguientes parámetros: presencia de síntomas, necesidad de tratamiento y nivel de parathormona. Recientemente, la SEORL-CCC junto con la SEEN han realizado un consenso donde aportan unas definiciones más concretas, además de recomendaciones para disminuir el hipoparatiroidismo6.
Clásicamente, el principal pilar para la detección de hipoparatiroidismo tras tiroidectomía total ha sido la medición frecuente de calcio corregido con albúmina13,19,24-26, junto con la monitorización hospitalaria de signos y síntomas.
Debido a la vida media corta de la PTH, sus niveles en plasma disminuyen de forma rápida. Esta característica dota a la PTH de un carácter predictivo precoz; su estudio permite anticiparse al evento de hipocalcemia, aunque su aplicación clínica no está estandarizada ni tampoco su punto de corte4,7.
La calcemia se mantiene estable por un tiempo mayor, su descenso ocurre frecuentemente a las 24-48 horas de la cirugía, puede descender al cuarto día postoperatorio, e incluso producir tetania varios días tras la cirugía4,8,11,12,19,21,25,27. Por este motivo, la monitorización seriada de calcio postoperatorio no es el instrumento ideal para predecir el evento.
El riesgo de hipocalcemia debido al hipoparatiroidismo postquirúrgico es el principal motivo de estancia hospitalaria prolongada tras una tiroidectomía total, lo que provoca un aumento de los costes sanitarios2,10,11,21,25,27,28, como ocurre en este estudio, con un incremento de la estancia media de 2,6 a 4,8 días.
Con el objetivo de minimizar el gasto asociado a una hospitalización innecesaria, ha habido un cambio gradual, desde el ingreso rutinario para monitorización seriada del calcio a otros enfoques como la cirugía ambulatoria con suplementación de calcio de rutina o suplementación dirigida con PTH postoperatoria. Sin embargo, las complicaciones tras la tiroidectomía total no son infrecuentes, por lo que el concepto de alta precoz debe ser considerado con sumo cuidado y debe estar basado en la evidencia. Este interés en la cirugía tiroidea de corta estancia explica la emergente importancia de identificar aquellos pacientes con mayor riesgo que requieran ingreso para monitorización y suplementación selectiva dirigida por la PTH postoperatoria4,10-12,15,19,21,25.
Así, la equivalencia en el coste entre una determinación de PTH y tres determinaciones secuenciales de calcio sérico, y la reducción del coste debido a una hospitalización más corta, teóricamente, apuntan a que la PTH postoperatoria es altamente rentable19.
Una PTH postoperatoria <15 pg/mL se correlaciona con un mayor riesgo de hipocalcemia26,29, con una sensibilidad y VPN del 100 %11. En nuestro estudio, un valor de PTH ≤15 pg/mL a las 24 horas de la cirugía es predictor de riesgo de hipocalcemia con una sensibilidad del 96,3 %, especificidad del 94,1 %, VPP del 92,8 %, VPN del 96,9 % y RVP de 16,2. Por tanto, la PTH postoperatoria a las 24 horas de una tiroidectomía total es una herramienta eficaz altamente relevante para la toma de decisiones por su alto valor diagnóstico. Permite distinguir los pacientes que tendrán un elevado riesgo de hipocalcemia y necesitarán una mayor estancia hospitalaria para administrarles suplementos de calcio vía oral y/o intravenosa.
Filho et al. publicaron que la medición de la PTH a la mañana siguiente a la cirugía es un excelente predictor de hipocalcemia postoperatoria (curva ROC con AUC de 0,94; sensibilidad del 88 %, especificidad del 98,6 %, VPP del 95,6 % y VPN del 96,1 % para un punto de corte de 14,35 pg/ml)4.
Según la clasificación propuesta en este estudio, el grupo de pacientes con alto riesgo (PTH ≤15) concentra la mayoría de los pacientes con hipocalcemia tanto leve como severa, y abarca la totalidad de casos con hipocalcemia permanente. En el grupo de riesgo medio (PTH 16-30) solo existen tres pacientes con hipocalcemia leve y ninguna severa. No existe ningún caso de hipocalcemia entre los pacientes del grupo de bajo riesgo (PTH >30). Aunque la creación de grupos de medio y bajo riesgo no se especifica en las recomendaciones de la ATA17, el consenso de la SEORL-SEEN6 sí establece tres grupos de riesgo. Este se basa en el gradiente de la PTH, y, por tanto, requiere de medición de PTH preoperatoria. La medición PTH es una prueba de laboratorio de alto coste, no disponible en todos los centros o con disponibilidad condicionada.
En el presente estudio se propone una clasificación de alto, medio y bajo riesgo que no requiere de la medición adicional de la PTH preoperatoria, lo cual facilita el manejo, pues no requiere pruebas previas y disminuye costes. En la literatura se encontró una clasificación similar en el estudio de Grodski et al., en donde los pacientes fueron estratificados en tres grupos, según su nivel de PTH postoperatoria a partir de las cuatro horas: >12 pg/mL, 4-11 pg/mL y <3 pg/mL)21. El grupo de trabajo de Mazotas et al. propone otra clasificación, también en tres grupos de riesgo, según el valor de PTH postoperatoria a las cuatro horas (>10 pg/mL, 10-5 pg/mL y <5 pg/mL) y un algoritmo de tratamiento y alta precoz30. Estas diversas clasificaciones en la literatura muestran, una vez más, la necesidad de más estudios y un consenso para unificar criterios y protocolos de actuación. Ninguna clasificación puede considerarse superior a la otra, para ello deberían realizarse estudios comparativos de mayor evidencia científica.
Según los datos del presente trabajo, sería conveniente prolongar la estancia hospitalaria a aquellos pacientes pertenecientes al grupo de alto riesgo, para monitorización y suplementación de calcio. Por otro lado, en lo que al riesgo de hipocalcemia respecta, los pacientes de riesgo medio y bajo pueden ser dados de alta a las 24 horas de la cirugía, con instrucciones sobre cómo actuar si hay aparición de síntomas de alarma y con analítica de control a las 24 horas. Puede ser razonable suplementar con calcio y calcitriol a los pacientes pertenecientes al grupo de riesgo medio, con niveles de PTH próximos al límite que, además, tengan variables predictoras de hipocalcemia conocidas.
La limitación principal de este estudio es su carácter retrospectivo, ya que no se dispone de PHT seriada. Los estudios que han propuesto criterios de PTH como predictores se resumen en dos puntos: 1) el gradiente o porcentaje de descenso del nivel de PTH desde el período preoperatorio al postoperatorio, y 2) un único nivel de PTH intraoperatorio o postoperatorio algún tiempo después de la cirugía25. En el presente estudio se desarrolla el último enfoque por la ventaja de que no es necesario extraer varias muestras, lo que implica un menor coste.
Conclusiones
El test de PTH postoperatoria a las 24 horas de una tiroidectomía total como predictor de hipocalcemia tiene un valor pronóstico muy alto. Solo una muestra, a diferencia de la seriación de calcio, supone una herramienta altamente relevante para la toma de decisiones. Los pacientes con PTH <15 pg/mL son los catalogados como pacientes de alto riesgo. Estos pacientes prolongarán su estancia hospitalaria y requerirán suplementación con calcio y/o vitamina D.
La actualización de los algoritmos para el manejo de los pacientes con alto riesgo de hipocalcemia postoperatoria debería disminuir la incidencia de hipocalcemia sintomática y el abuso de recursos (analíticas innecesarias, visitas a urgencias, estancias hospitalarias prolongadas...). Se pretende aumentar la cantidad de pacientes manejados con éxito de forma ambulatoria.
Son necesarios estudios más complejos de tipo aleatorizado, e incluso análisis de rentabilidad, para confirmar los resultados obtenidos en el presente trabajo que pueden ser útiles para la elaboración de futuros estudios.















