INTRODUCCIÓN
La ventilación mecánica es un tratamiento de soporte vital en un amplio espectro de condiciones médicas, en las que están afectados el intercambio de gases o el proceso de la ventilación, como fallas respiratorias agudas o crónicas, trastornos del sistema nervioso central, debilidad muscular, sepsis, etc. 1. A pesar del innegable beneficio de la asistencia mecánica ventilatoria, esta se asocia potencialmente con muchas complicaciones como pueden ser: lesión de la vía aérea por intubación prolongada; lesiones pulmonares asociadas al ventilador y la monitorización; complicaciones cardiovasculares, renales, infecciosas y hematológicas, entre otras. Por ello se recomienda suspender la asistencia mecánica ventilatoria tan pronto como el paciente tenga capacidad de proteger la vía aérea y mantener una adecuada ventilación 2.
La mecánica ventilatoria del paciente se puede alterar por un aumento de la resistencia de la vía aérea, que provoca una duración de la espiración insuficiente para exhalar todo el volumen inspirado, y, tras una serie de ventilaciones, se produce atrapamiento de gas alveolar que genera un aumento de la presión alveolar conocido como presión positiva intrínseca al final de la espiración (iPEEP). Con el fin de mantener la oxigenación en los pacientes bajo ventilación mecánica que presentan i-PEEP se utiliza desde hace más de 40 años la aplicación de una presión positiva extrínseca al final de la espiración (PEEP, por la sigla inglés de positive end-expiratory pressure). La PEEP se ha utilizado principalmente para reclutar o estabilizar unidades pulmonares (alvéolos) y mejorar la oxigenación en pacientes que han tenido falla respiratoria hipoxémica. Se ha demostrado empíricamente que la PEEP podría ayudar a reducir el trabajo respiratorio de los músculos y la cantidad de tejido atelectásico 3) (4.
El trabajo respiratorio (WOB, por la sigla en inglés de work of breathing) es un concepto ampliamente utilizado en el análisis de la mecánica ventilatoria, ya que el trabajo desarrollado en la ventilación espontánea depende de la presión generada durante la contracción de los músculos, la resistencia de la vía aérea y la distensibilidad pulmonar, las cuales varían en cada caso 5.
Durante la ventilación mecánica no invasiva, el uso de la PEEP ha mostrado buenos resultados, en pacientes que presentan iPEEP (auto-PEEP), proporcionando descanso a la musculatura respiratoria y una mejoría notable del intercambio de gases 6. Para que exista dicho intercambio, es necesario que la presión en el interior de la vía aérea se encuentre por debajo de la presión atmosférica de modo que el flujo de aire vaya desde el exterior hacia el interior de los alvéolos; sin embargo, esto no se cumple en los casos de i-PEEP y se produce una asincronía entre el comienzo de la contracción muscular inspiratoria y el del flujo inspiratorio, ya que el flujo de aire solo se produce cuando la presión alveolar generada por los músculos inspiratorios exceda el valor del i-PEEP. Por tanto, el i-PEEP actúa como una carga adicional que debe ser vencida antes de que se inicie la inspiración, provocando aumento del trabajo respiratorio. Por otra parte, el atrapamiento aéreo hace que el diafragma se aplane, lo cual produce una menor eficacia contráctil. Dicha problemática produce aumento de la frecuencia respiratoria, disminución del volumen circulante, aumento del trabajo respiratorio y empeoramiento del intercambio de gases con hipoxemia, hipercapnia y acidosis respiratoria. Al añadir presión positiva al final de la espiración mediante PEEP, se busca compensar el efecto del i-PEEP, reduciendo así el trabajo respiratorio y mejorando el intercambio de gases 6. Aunque se conocen bien los beneficios del uso de la PEEP en términos de mejorar la oxigenación y el reclutamiento alveolar y reducir el trabajo respiratorio 7, no hay estudios que relacionen cuantitativamente el nivel de PEEP con el cambio en el trabajo respiratorio y por tanto en la mayoría de los casos la configuración del nivel de PEEP se hace empíricamente a partir de la experiencia clínica.
Una alternativa para cuantificar el trabajo respiratorio a partir de la actividad muscular es la evaluación de las señales electromiográficas de superficie de los músculos respiratorios empleando análisis tanto en tiempo como en frecuencia 8. Diversos estudios han utilizado dicha técnica para evaluar la evolución de la actividad muscular en pacientes con enfermedades obstructivas, como el asma y la enfermedad pulmonar obstructiva crónica 9, y durante maniobras de espiración forzada 10. Otros estudios han mostrado la utilidad de estos biopotenciales para evaluar el trabajo respiratorio en la apnea obstructiva del sueño ante estímulos incrementales 11.
En este artículo se presenta un análisis exploratorio de la actividad muscular respiratoria medida por electromiografía de superficie (EMGS) y el nivel de sincronización entre los músculos diafragma y esternocleidomastoideo, durante una maniobra de PEEP incremental en una población de voluntarios sanos ventilados mecánicamente de manera no invasiva, con el fin de verificar el efecto de la PEEP en la actividad muscular, lo cual permitirá utilizar dichos biopotenciales para evaluar el efecto de aumentar o reducir la PEEP en pacientes ventilados mecánicamente. Se describen la población de estudio, las técnicas de procesamiento utilizadas, los resultados y las pruebas estadísticas empleadas para analizarlos, las conclusiones y los posibles estudios futuros.
MATERIALES Y MÉTODOS
Diseño experimental
Diez hombres voluntarios sanos, que no habían padecido ninguna enfermedad respiratoria, fueron ventilados de manera no invasiva durante 20 minutos con un ventilador Hamilton G5 y simultáneamente se registró la actividad muscular respiratoria mediante EMGS utilizando un amplificador de electromiografía (Bagnoli EMG system, Delsys), acoplado a una tarjeta de adquisición (NI USB 6212) configurados con una frecuencia de muestreo de 1024 Hz. La prueba consistió en aumentar el nivel de PEEP extrínseca desde 0 hasta 5 cm H2O en pasos de 1 cm H2O, a intervalos de 30 segundos. Los músculos registrados fueron el diafragma y el esternocleidomastoideo. El estudio fue aprobado por el Comité de Ética del Hospital La María en Medellín, Colombia, y los voluntarios firmaron un formato de consentimiento informado.
Las señales de presión, flujo y volumen, el nivel de PEEP y la frecuencia respiratoria se obtuvieron del ventilador mecánico. Para el registro de la actividad electromiográfica de superficie se utilizaron electrodos Ag/AgCl, después de la preparación de la zona de interés por eliminación de las impurezas y vellosidades en la piel. Se registró la porción costal del diafragma ubicando los electrodos en configuración bipolar entre el séptimo y octavo espacios intercostales 12) (13)(14. Para registrar la actividad del esternocleidomastoideo, se ubicaron los electrodos en configuración bipolar, con el primero de ellos a 20 % de la distancia entre la apófisis mastoides y la escotadura del esternón y sobre la línea que une estos dos puntos 12, y el segundo, a no más de 2 cm de distancia del primero.
La sincronización entre las señales musculares y las ventilatorias se hizo con un dispositivo electroneumático que genera una señal patrón de presión para ser registrada por la tarjeta de adquisición y simultáneamente por el ventilador Hamilton G5 a través del puerto auxiliar para medición de la presión esofágica 15.
Técnicas de procesamiento
Con el fin de acondicionar las señales EMGS para el procesamiento, se aplicó un filtro pasabanda entre 20 Hz y 400 Hz 16) (17. Dado que las señales electromiográficas de superficie registradas en la zona del tórax, como es el caso del diafragma, son contaminadas por la señal eléctrica del músculo cardíaco, que comparte banda de frecuencia con las señales EMG (entre 0,05 Hz y 159 Hz) 18, es necesario aplicar un filtro para eliminar dicha interferencia sin comprometer la información existente en la banda de frecuencia compartida. Diferentes estudios han reportado éxito en la eliminación de la interferencia cardíaca que afecta las señales electromiográficas de superficie utilizando la herramienta matemática transformada wavelet y análisis de componentes independientes (ICA) 19. Algunas de dichas técnicas logran eliminar la interferencia cardíaca, pero también se ha visto que degradan la señal de interés con bajas relaciones señal a ruido, o produciendo variación de la forma de las señales en el dominio del tiempo. Adicionalmente, análisis como el ICA exigen contar con un elevado número de canales registrados, lo cual aún no es fácil de implementar. Todo lo anterior hace que la aplicación de estas técnicas sea compleja. Por otra parte, se ha informado el uso exitoso de los filtros adaptativos para este propósito, permitiendo ajustar sus parámetros con base en las propiedades estadísticas de las entradas, la señal de interés y la señal de ruido (interferencia cardíaca). Teniendo en cuenta la anterior revisión, en este trabajo se utilizó un filtro adaptativo RLS (recursiveleast- squares), debido a su rápida convergencia en comparación con el filtro LMS (least-mean-square) 20. Se utilizó un filtro de orden 5 y la señal ECG interferente se extrajo filtrando en banda (pasabanda de 5 a 60 Hz) la señal EMGS.
Técnicas en el dominio del tiempo
Se evaluó la energía contenida en cada semiciclo respiratorio 11, mediante el cálculo del valor cuadrático medio (RMS, por la sigla en inglés de root mean square) y a partir de dicha energía se calculó el promedio de la potencia media para cada nivel de PEEP, según las siguientes ecuaciones:
En donde N es el número de muestras en cada semiciclo, T es el período de muestreo, P es la potencia media y m es el número de semiciclos respiratorios en el nivel de PEEP bajo estudio.
Técnicas en el dominio de la frecuencia
Con el fin de evaluar la evolución en bandas de frecuencia de las señales EMGS con respecto a los diferentes niveles de PEEP, se estimó la densidad espectral de potencia (PSD, por la sigla en inglés de power spectral density) utilizando el método de Burg
17, que modela la serie temporal mediante un proceso autorregresivo (AR), y a partir de esta estimación se calculó la PSD 21:
En donde p es el orden del modelo, â son los coeficientes del modelo autorregresivo y Fs es la frecuencia de muestreo de la señal.
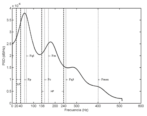
A partir del espectro obtenido y teniendo en cuenta que el rango de bajas frecuencias para una señal EMGS se encuentra entre 20 y 40 Hz, y el de altas frecuencias está entre 138 y 240 Hz 11, es factible calcular hasta 10 parámetros en el dominio de la frecuencia: frecuencia central (Fc), frecuencia media (Fm), frecuencia pico (Fp), frecuencia máxima (Fmax), frecuencia en el primer y tercer cuartiles (Fq1 y Fq3), ratio entre altas y bajas frecuencias (RHL), ratio intercuartílico (Ri), coeficiente de asimetría (Ca) y coeficiente de apuntamiento (Cap). Una descripción gráfica de algunos de estos parámetros frecuenciales se presenta en la Figura 1.

Figura 1 Densidad espectral de potencia de una señal EMGS, en la que se especifican: rango de bajas frecuencias (LF), rango de altas frecuencias (HF), frecuencia en el primer cuartil (Fq1), frecuencia pico (Fp), frecuencia central (Fc), frecuencia media (Fm), frecuencia en el tercer cuartil (Fq3) y frecuencia máxima (Fmax)
La Fc se refiere a la mediana de la PSD, la Fm corresponde al valor medio de la frecuencia en la PSD, la Fp es aquella frecuencia donde se presenta el máximo valor de la PSD, la ratio HL es el cociente entre los valores de la PSD en los rangos de altas y bajas frecuencias, el Ri representa la diferencia entre las frecuencias del tercer y primer cuartiles, el Ca mide el grado de asimetría de la distribución del espectro y el Cap indica la proporción de datos que se encuentran alrededor de la media del espectro 11.
Según un estudio en muestras de pacientes con apnea obstructiva del sueño, Fc, Fm y ratio HL permiten medir el desplazamiento espectral de la señal EMG durante la contracción, mientras que los otros parámetros no resultan confiables debido a la naturaleza estocástica de las señales EMGS, en las que la PSD no tiene claramente definida una región plana cerca del valor de pico 11. Teniendo en cuenta dichos hallazgos 22 en señales EMG de músculos respiratorios, el estudio de coeficientes frecuenciales se limitó a los que han demostrado ser confiables, es decir: Fc, Fm y RHL.
El cálculo de los parámetros se hace para las señales obtenidas en cada nivel de PEEP, a partir de la PSD estimada tanto en inspiración como en espiración, segmentando la señal EMGS en épocas correspondientes a los semiciclos respiratorios. Para el diafragma no se hizo el cálculo de los parámetros durante la espiración porque se sabe que dicho músculo no se contrae durante tal fase y por tanto la actividad eléctrica que pueda capturarse durante la espiración no corresponde a la actividad diafragmática.
Para tener una idea de la tendencia central y de la varianza de los parámetros, se calcularon el promedio y la desviación estándar.
Análisis estadístico
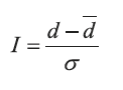
El interés de este trabajo se centró en evaluar la evolución de las características en los dominios del tiempo y la frecuencia a medida que aumentaba el nivel de la PEEP para así demostrar que es posible evaluar su eficacia sobre el trabajo muscular respiratorio. Para esto, se evaluó de forma independiente cada uno de los parámetros musculares descritos anteriormente mediante regresión lineal, teniendo como variable independiente el nivel de PEEP. De la regresión lineal se tomó exclusivamente la pendiente, pues dicho parámetro no requiere normalización al ser comparado entre diferentes variables. Se efectuó un análisis jerárquico de conglomerados utilizando la pendiente de aquellas variables que por inspección resultaron descriptivas del comportamiento ventilatorio. Como criterio de decisión para el estudio de los dendrogramas resultantes se evaluó el coeficiente de inconsistencia, que proporciona una medida de la distancia entre grupos relativa a la distancia promedio entre vecinos, de tal forma que mayores valores en este coeficiente representan grupos mejor diferenciados. Se calculó con la siguiente expresión:
En la que d es la distancia del enlace actual, đ es el valor medio de la distancia de enlaces y σ es la desviación estándar.
Una vez identificado el número de grupos y los voluntarios pertenecientes a cada grupo, se verificaron las diferencias estadísticas entre dichos grupos con la prueba no paramétrica Wilcoxon Mann-Whitney, en la que valores p inferiores a 0,05 indican diferencias estadísticamente significativas entre grupos.
RESULTADOS
Los biopotenciales analizados en este trabajo corresponden a una población de diez hombres voluntarios sanos (23,5 ± 2,5 años de edad; 73,1 ± 12,1 kg; 173,8 ± 5,55 cm de estatura).
Selección de los parámetros en el dominio de la frecuencia
En la Figura 2a se presentan los valores de pendiente obtenidos mediante regresión lineal de los parámetros en tiempo y frecuencia descritos en la metodología para el músculo diafragma durante la inspiración. Como puede observarse en esta figura, la frecuencia media, Fm, y la frecuencia central, Fc, intrasujetos tienen un comportamiento similar, pero hay importantes diferencias entre voluntarios, pues en unos casos las dos pendientes son positivas y en otros, negativas. Por otra parte, el comportamiento intrasujeto del esternocleidomastoideo durante la inspiración y la espiración resulta similar a lo encontrado en el caso del diafragma.
A partir de la información de la Figura 2, teniendo en cuenta las tendencias intrasujetos, se decide utilizar las variables que no resultan redundantes y que además describen el comportamiento muscular en función de la PEEP incremental. Es así como se seleccionan las pendientes de Fc y RHL como parámetros en el dominio de la frecuencia para el análisis estadístico.
Selección de parámetros en el dominio del tiempo
Con respecto al valor RMS, la pendiente de la energía de la señal EMGS en el diafragma es casi nula, lo cual sugiere que esta variable no consigue capturar en dicha señal el efecto del aumento en el trabajo respiratorio inducido por la PEEP incremental. Caso contrario de lo que ocurre con la potencia promedio, P ̄ , que permite distinguir diferencias en el trabajo respiratorio en el diafragma ante la variación del nivel de la PEEP (Figura 2a). En cuanto al esternocleidomastoideo, cuya pendiente del valor RMS no varía significativamente, P ̄ exhibe importantes diferencias intersujetos. Por lo anterior, se seleccionan las pendientes de la potencia promedio como parámetro temporal para el análisis estadístico.
Análisis de conglomerados
Utilizando las pendientes de Fc, RHL y P ̄ en el análisis de conglomerados con el método de agrupación de ward y la medida de distancia euclídea al cuadrado se obtienen los conglomerados para el diafragma durante la inspiración (Figura 3a), y para el esternocleidomastoideo durante la inspiración (Figura 3b) y la espiración (Figura 3c). Como puede observarse en dichos conglomerados, se crean dos grupos trazando un umbral en distancia igual a 3,7 que corresponde a la media de la longitud de todos los enlaces incluidos en el cálculo del coeficiente de inconsistencia (dos niveles por debajo del enlace principal). Dicho coeficiente para los tres conglomerados, al asumir una separación en dos grupos, fue superior a 1,15, siendo además el coeficiente más alto al considerar los diferentes niveles de enlace, lo cual proporciona suficiente confiabilidad acerca de los grupos encontrados.

Figura 3 Distribución jerárquica de conglomerados para el diafragma en inspiración (a) y el esternocleidomastoideo en inspiración (b) y espiración (c). La línea vertical a trazos representa un umbral de distancia de confiabilidad de la agrupación
La actividad diafragmática durante la inspiración es similar en los individuos 1, 3, 4, 5 y 7, en adelante grupo A, y sensiblemente diferente de la actividad en los sujetos 2, 6, 8, 9 y 10, en adelante grupo B, tal como puede observarse en la Figura 2a. Se destacan las pendientes más elevadas en el grupo B, lo cual implica que la potencia promedio de las señales aumentó y el espectro de energía se desplazó hacia altas frecuencias, lo que corresponde a un comportamiento característico del aumento en el trabajo muscular 11. En cuanto a la actividad en el esternocleidomastoideo durante la inspiración, los individuos 3, 5, 7 y 10, grupo C, no presentan grandes cambios en las variables (bajas pendientes), en contraste con los sujetos 1, 2, 4, 6, 8 y 9, grupo D (Figura 2b). Lo anterior implica que en el grupo D aumentó la actividad del esternocleidomastoideo durante la inspiración, mientras que en el C no hubo cambios considerables. Es de destacar que los voluntarios 3, 5 y 7 aparecen tanto en el grupo A como en el C, con muy pequeñas variaciones en las pendientes, lo cual indica que el nivel de PEEP aplicado no exigió demasiado compromiso de estos músculos durante la prueba. En contraste con lo anterior, los voluntarios 2, 6, 8 y 9 aparecen en los grupos B y D, caracterizados por incremento en la actividad muscular durante la inspiración. Los voluntarios restantes 1, 4 y 10 presentaron aumento en la actividad muscular del diafragma o del esternocleidomastoideo, pero no en los dos músculos.
La actividad en el esternocleidomastoideo durante la espiración agrupa a los voluntarios 2, 4, 5, 7, 9 y 10, grupo E, quienes exhiben pendientes negativas o muy bajas (Figura 2b), y por tanto, bajos cambios de actividad muscular durante la espiración, y por otra parte los individuos 1, 3, 6 y 8, grupo F, presentan pendientes mayores y positivas, que implican cambio en la actividad muscular cuando se incrementa la PEEP. Se destacan los sujetos 6 y 8, que también presentaban incremento en la actividad de los dos músculos durante la inspiración.
Del valor promedio y la desviación estándar de cada una de las variables estudiadas (Fc, RHL y P ̄) para cada músculo en inspiración y espiración, se destaca el elevado incremento de las variables en el grupo B a partir de un nivel de PEEP de 2 cm H2O en el caso del diafragma (primera columna, Figura 4). En contraste, en el grupo A no hay una variación apreciable de la pendiente de estas variables y la desviación estándar es sensiblemente más baja. El esternocleidomastoideo durante la inspiración (segunda columna, Figura 4) presenta una tendencia incremental para los sujetos del grupo D a partir de un nivel de PEEP superior a 3 cm H2O, que contrasta con el grupo C, en el que solo existe una leve variación en Fc. Durante la espiración (tercera columna, Figura 4), el grupo F, que comparte la mayoría de voluntarios con el grupo D (esternocleidomastoideo (Strn) durante la inspiración), las variables presentan una tendencia incremental, lo que describe un aumento de la actividad tanto en la inspiración como en la espiración, particularmente para los voluntarios 1, 6 y 8. Los parámetros del grupo E tienen un comportamiento muy similar a los de los grupos A y C, tendencias bastante planas, que implican escaso cambio en la actividad muscular como respuesta a la PEEP incremental aplicada.

Figura 4 Valor promedio y desviación estándar de las variables Fc, RHL y P, para cada uno de los grupos encontrados mediante el análisis de conglomerados. En cada columna se presenta la evolución de las tres variables estudiadas (una por fila), así: 1) diafragma en inspiración, 2) esternocleidomastoideo en inspiración y 3) esternocleidomastoideo en espiración
Densidad espectral de potencia
En las Figuras 5a y 5b se presenta la densidad espectral de potencia para el diafragma durante todo el ciclo ventilatorio en los voluntarios de los grupos A y B en los niveles de PEEP inicial y final. Se observa desplazamiento del espectro hacia frecuencias más altas en los voluntarios pertenecientes al grupo B, mientras en el grupo A el espectro aparece inalterado, lo cual confirma la existencia de una mayor actividad del músculo en el caso del grupo B y escasa variación en el grupo A. En el grupo B se destacan los voluntarios 6, 8 y 10, en quienes es mucho más notorio el desplazamiento del espectro hacia altas frecuencias.

Figura 5 Densidad espectral de potencia de la señal EMGS del diafragma durante todo el ciclo respiratorio en los niveles inicial y final de PEEP: a) grupo A, b) grupo B; y de la señal EMGS del esternocleidomastoideo: c) los voluntarios 5, 7 y 10 que aparecen en los grupos C y E, d) los voluntarios que aparecen con igual tendencia en D y F (1, 6 y 8)
En las Figuras 5c y 5d se presenta la densidad espectral de potencia de la señal EMGS del esternocleidomastoideo durante todo el ciclo respiratorio para los niveles de PEEP 0 y 5 cm H2O. Como puede observarse, los sujetos 1, 6 y 8 tienen un desplazamiento de su espectro a la derecha y son esos mismos los que aparecen tanto en el grupo E en la inspiración como en el F en la espiración, lo cual denota un mayor esfuerzo en dichos voluntarios. Este desplazamiento es mayor en los sujetos 6 y 8 que además presentaron importantes cambios en el espectro del diafragma.
Análisis estadístico
En la Tabla 1 se presentan los valores p obtenidos tras la aplicación de la prueba estadística Wilcoxon Mann-Whitney para los grupos A, B, C, D, E y F durante la inspiración y la espiración por variable. Como puede observarse, las diferencias entre los varios grupos son estadísticamente significativas para el caso de las variables derivadas del análisis en el dominio de la frecuencia (Fc y RHL). Mientras que P ̄ , por su elevada dispersión, no consigue separar los grupos formados durante la inspiración. No obstante, como lo ha evidenciado el análisis de conglomerados, la combinación de las tres variables permite crear grupos con un importante nivel de consistencia. Algunos voluntarios responden al estímulo incremental de PEEP aumentando la actividad tanto en el diafragma como en el esternocleidomastoideo durante la inspiración y la espiración, este es el caso de los sujetos 6 y 8 (grupos B, D y F). Por el contrario, los voluntarios 3, 5, 7 presentan una respuesta plana ante el estímulo, pues su actividad muscular cambia muy levemente.
DISCUSIÓN
En este artículo se presenta un análisis exploratorio de la respuesta en los dominios del tiempo y la frecuencia de un grupo de voluntarios sanos ante un estímulo incremental de la PEEP, basado exclusivamente en la actividad muscular respiratoria registrada mediante electromiografía de superficie. Variables como el valor RMS en el dominio del tiempo y Fm en el dominio de la frecuencia no dan información relevante acerca de la actividad muscular respiratoria; tan solo P ̄, Fc y RHL permitieron encontrar patrones característicos de la actividad muscular a medida que se aumentaba el nivel de PEEP. Estos resultados concuerdan con los de estudios previos 11, en los que se asoció la respuesta en tiempo y frecuencia con cambios en la contracción muscular.
Tabla 1 Valores p obtenidos con la prueba estadística no paramétrica Wilcoxon Mann-Whitney para Fc, RHL y P del diafragma durante la inspiración y el esternocleidomastoideo en inspiración y espiración

Dia: diafragma. Strn: esternocleidomastoideo. Insp: inspiración. Esp: espiración
Las medidas de tendencia central, Fc y RHL, utilizadas como indicadores del desplazamiento de la densidad espectral de potencia, y la P ̄ , utilizada como indicador de la energía promedio en la fase respiratoria de interés, logran clasificar a la población en diferentes categorías, a saber: 1) sujetos que incrementaron el trabajo de los dos músculos en todo el ciclo respiratorio (voluntarios 6 y 8); 2) individuos en quienes aumentó la actividad en solo uno de los músculos (grupos B y D); 3) voluntarios que presentaron un marcado aumento del trabajo muscular solo en la espiración (grupo F). En el grupo B se presentó un incremento de los parámetros a medida que aumentaba la PEEP (Figura 4), generando un desplazamiento del espectro hacia la derecha. Lo anterior indica que dichos sujetos requirieron mayor actividad del diafragma durante la inspiración, lo cual se traduce en mayor trabajo respiratorio. En algunos casos, como en los voluntarios 6 y 8 (Figura 5d), se presentó actividad en el esternocleidomastoideo no solo en la inspiración, sino también en la espiración, lo que podría indicar, con base en lo planteado por otros autores, que el diafragma se encontraba en un alto nivel de esfuerzo que puede conducir a la fatiga 11, lo cual exige la participación de otros músculos.
Este trabajo muestra la utilidad de la electromiografía de superficie como técnica no invasiva para la caracterización de individuos bajo ventilación mecánica no invasiva, cuyo estado muscular se desconoce. Su extrapolación a personas sanas cuyo estado metabólico se conozca y a pacientes ventilados mecánicamente con diferentes niveles de PEEP resultaría de gran interés clínico como soporte para el diagnóstico de pacientes críticos de los que se desconoce la situación muscular y para los que el ajuste de la PEEP implica dificultades. Con estudios exhaustivos basados en los datos aquí presentados, el ajuste de la PEEP y otros parámetros de la ventilación mecánica se podría hacer con más información que la disponible en la actualidad y de forma más precisa, lo cual redundaría en la calidad de vida de miles de personas que requieren ventilación mecánica. Como en cualquier estudio de estas características, ampliar la base de datos es una condición necesaria para estudios futuros, así como la inclusión de nuevas variables y técnicas avanzadas de procesamiento que permitan obtener índices más confiables del trabajo respiratorio del paciente.


















