INTRODUCCIÓN
La bioimpedancia (BI) es un método fácil de utilizar, rápido y relativamente económico para medir la composición corporal. Diversos estudios han hallado que la BI determina adecuadamente la composición corporal promedio de grupos de personas1)(2)(3). Sin embargo, en la evaluación individual este método ha presentado errores considerables en la medición de la grasa corporal4)(5)(6. Desarrollos en la aplicación de la BI como la técnica manos-pies de ocho electrodos buscan mejorar la precisión y exactitud del método7)(8)(9. Este estudio compara los resultados de la composición corporal obtenidos con tres técnicas de BI, incluida la de manos-pies de ocho electrodos, con la hidrodensitometría como método de referencia.
La aplicación de la BI se basa en la oposición de los tejidos corporales al paso de la corriente eléctrica, que es baja en los tejidos con abundante agua y electrólitos como el muscular, y alta en aquellos con baja concentración de agua como el adiposo5)(10)(11. Los valores de BI se utilizan en ecuaciones de predicción para estimar el contenido de agua corporal total y/o la masa libre de grasa5)(10)(11). Las ecuaciones de BI son específicas de población, porque las diferencias entre grupos étnicos en la forma corporal y en la proporción de los segmentos del cuerpo modifican la distribución de la corriente eléctrica y afectan la determinación de la composición corporal por este método9)(12. La medición de la BI segmentaria y la estimación de la composición de cada uno de los segmentos corporales se han sugerido como una alternativa que puede mejorar la predicción del método9.
La técnica BI manos-pies de ocho electrodos permite determinar la composición corporal total y la de los segmentos. Esta técnica se utilizó por primera vez en equipos comerciales a principios de este siglo7)(13)(14. En los años 80 y 90 del siglo XX había un gran interés en la BI segmentaria para calcular el contenido de agua, masa grasa y masa libre de grasa de diferentes partes del cuerpo humano, pero había dificultades para estandarizar la ubicación de los electrodos y la sumatoria de la BI de los segmentos corporales no coincidía con la medición de la BI de todo el cuerpo15)(16. Estas dificultades se superaron en parte con la técnica de ocho electrodos (dos en cada mano y dos en cada pie) en la cual se asume el principio de equipotenciales y se mide la BI de forma secuencial entre pares de electrodos, lo cual permite estimar la impedancia de cada segmento y su composición15)(17. Una descripción detallada del principio de equipotenciales y su aplicación a la BI segmentaria se encuentra en los trabajos pioneros de Organ18 y Cornish19.
Las técnicas de BI mano-pie y pie-pie de cuatro electrodos han mostrado validez limitada para determinar la composición corporal en mujeres jóvenes colombianas20)(21. Por ello, el objetivo del presente estudio fue investigar si los resultados de la composición corporal obtenidos por la técnica manos-pies de ocho electrodos son más exactos que los derivados de las técnicas de cuatro electrodos mano-pie y pie-pie, en mujeres jóvenes de Medellín, Colombia.
MATERIALES Y MÉTODOS
Tipo de estudio y participantes: este fue un estudio descriptivo transversal con una muestra de conveniencia de 31 mujeres entre 19 y 31 años de edad, de la ciudad de Medellín, Colombia. El número se calculó con base en una potencia del 80 %, un nivel de significancia del 95 %, una diferencia promedio del porcentaje de grasa corporal (%GC) entre la hidrodensitometría y las técnicas de BI del 2,3 %; utilizando los valores de desviación estándar de la hidrodensitometría (6,0 %) y de la técnica manopie (5,3 %) informados previamente20. Para el cálculo de la muestra se empleó el software EPIDAT 4.022. Los criterios de inclusión fueron no tener implantes de silicona, prótesis o marcapasos, no estar en embarazo ni presentar enfermedades pulmonares o condiciones fisiológicas que interfirieran con las pruebas. Además, en el momento de la evaluación se verificó que las voluntarias cumplieran las siguientes condiciones: no estar en los cinco días anteriores o posteriores al período menstrual, no haber hecho actividad física intensa ni haber consumido alimentos productores de gases intestinales 24 horas antes, no haber fumado ni consumido ningún alimento por lo menos cuatro horas antes de la prueba y, durante la misma, no portar joyas, accesorios o maquillaje. Las evaluaciones se efectuaron entre las 7:00 a. m. y las 9:30 a. m. en el Laboratorio de Antropometría y Composición Corporal de la Escuela de Nutrición y Dietética de la Universidad de Antioquia.
Hidrodensitometría: se utilizó la hidrodensitometría como método de referencia para medir el %GC como se ha descrito detalladamente23. En resumen, se midieron el peso corporal (báscula Detecto de 0,1 kg de precisión) y la estatura (antropómetro GPM de 0,1 cm de precisión) siguiendo las técnicas descritas por Lohman24. Luego, se pesó a las voluntarias dentro del agua al final de una espiración forzada (tanque de fibra de vidrio, báscula Chatillon de 0,02 kg de precisión) con medición simultánea del volumen residual pulmonar (espirómetro VMAX 22, Sensor Medics). El volumen corporal (Vc) se obtuvo por la diferencia entre el peso fuera del agua (Pfa) y el peso dentro de esta (Pea), corregido por la densidad del agua (Da), así: Vc = (Pfa - Pea) / Da. Al Vc se le restaron el volumen pulmonar residual y el volumen del gas intestinal, del cual se acepta un promedio de 0,1 L en adultos25. La densidad corporal (Dc) se obtuvo de dividir el Pfa por el Vc y se calculó el %GC con la ecuación de Siri: %GC = 4,95 / Dc - 4,5025.
Bioimpedancia: se aplicaron tres técnicas de medición de BI; mano-pie, pie-pie y manos-pies. La técnica mano-pie se hizo con un equipo de cuatro electrodos (RJL Systems Quantum II) como se describió previamente20. En resumen, diez minutos antes de la medición las voluntarias se acostaron en decúbito supino sobre una mesa de madera alejada de fuentes eléctricas. Se les pusieron cuatro electrodos de gel en el hemicuerpo derecho, dos en la mano y dos en el pie, según las instrucciones del fabricante26. Los valores de BI (Z) se emplearon para determinar la masa libre de grasa con las ecuaciones de Kotler que vienen programadas en el software del equipo: masa libre de grasa = 0,88 [(Estatura1,97 / Z0,49) x (1,0 / 22,22)] + (0,081 x Peso) + 0,0727.
La BI pie-pie se efectuó con una báscula Tanita (TBF- 300) siguiendo las instrucciones del fabricante28. Las voluntarias se pararon sobre la báscula que contiene cuatro electrodos metálicos, dos para cada pie. Este equipo estima la masa libre de grasa por ecuaciones que utilizan los valores de BI, el peso corporal, la estatura, la edad y el sexo28. Hasta donde saben los autores, las ecuaciones que utiliza el equipo Tanita TBF-300 no han sido publicadas.
La BI manos-pies se hizo con un equipo de ocho electrodos (Seca mBCA 514/515) de acuerdo con las instrucciones del fabricante29. Este instrumento utiliza una báscula con cuatro electrodos metálicos, dos para cada pie, y un sistema de agarre con dos electrodos metálicos para cada mano. El contacto de las manos con los electrodos se establece por la presión que ejercen los individuos al sujetar el instrumento. El equipo Seca calcula la cantidad de masa libre de grasa con los valores de la resistencia, la reactancia, el índice resistencia del tronco/extremidades (esto es la resistencia del tronco dividida por la resistencia de las extremidades), además de los valores del peso corporal, la edad y el sexo9. Las ecuaciones de predicción son propiedad de Seca®(9.
Cada una de las pruebas se hizo un mínimo de dos veces o hasta obtener resultados que estuvieran dentro de la variabilidad permitida: 1 % para la masa libre de grasa por BI; 0,002 g/mL para la densidad corporal; 0,1 kg para el peso corporal y 0,5 cm para la estatura24)(25.
El índice de masa corporal (IMC) se utilizó para clasificar el peso de las voluntarias con los puntos de corte de la Organización Mundial de la Salud30; peso adecuado (IMC ≥ 18,5 a < 25,0); sobrepeso (IMC ≥ 25,0 a < 30,0); obesidad (IMC ≥ 30,0).
Análisis estadístico: se presentan los resultados como promedio ± una desviación estándar. Se determinó la normalidad de los datos por la prueba de ShapiroWilk y la homocedasticidad por la prueba de Levene. Los datos de masa grasa no se distribuyeron de forma normal y fueron transformados logarítmicamente para hacer las comparaciones. La masa grasa, la masa libre de grasa y el %GC obtenidos por BI manos-pies, mano-pie y pie-pie se compararon con la hidrodensitometría mediante la prueba t-student pareada. Se utilizó el error estándar del estimado para calcular el error de predicción del %GC de cada una de las técnicas de BI. Se aplicó la prueba de BlandAltman para establecer los grados de acuerdo entre las técnicas de BI y la hidrodensitometría31. Se consideraron como significativas las diferencias entre los valores de p ≤ 0,05.
Consideraciones éticas: la investigación contó con la aprobación del Comité de Bioética de la Facultad de Medicina de la Universidad de Antioquia. A las participantes se les informaron el objetivo del estudio y las pruebas que se les iban a realizar, y se obtuvo el consentimiento informado de cada una.
RESULTADOS
Las características generales se presentan en la Tabla 1. La edad promedio fue 22,4 años. Veintitrés (74,2 %) tenían peso corporal adecuado; siete (22,6 %) presentaban sobrepeso y una (3,2 %), obesidad.
Por el método de referencia de hidrodensitometría se obtuvieron los siguientes valores promedio: masa libre de grasa 40,6 ± 4,2 kg; masa grasa de 19,2 ± 6,3 kg; %GC 31,4 ± 6,6 % (Tabla 2). No hubo diferencias significativas entre los resultados de la composición corporal obtenidos por la técnica de BI manos-pies y la hidrodensitometría (Tabla 2). La técnica mano-pie comparada con la hidrodensitometría subestimó la masa libre de grasa (-0,8 kg; p < 0,05) y sobrestimó la masa grasa (+ 0,8 kg; p < 0,05) y el %GC (+ 1,4 %; p < 0,05). Por su parte, la técnica pie-pie comparada con el método de referencia sobrestimó la masa libre de grasa (+ 2,9 kg; p< 0,001) y el %GC (- 4,9 %; p < 0,001) (Tabla 2).
Tabla 2 Composición corporal obtenida por hidrodensitometría y bioimpedancia

a Diferencia significativa de hidrodensitometría (p < 0,05). B La masa grasa se transformó logarítmicamente para hacer las comparaciones
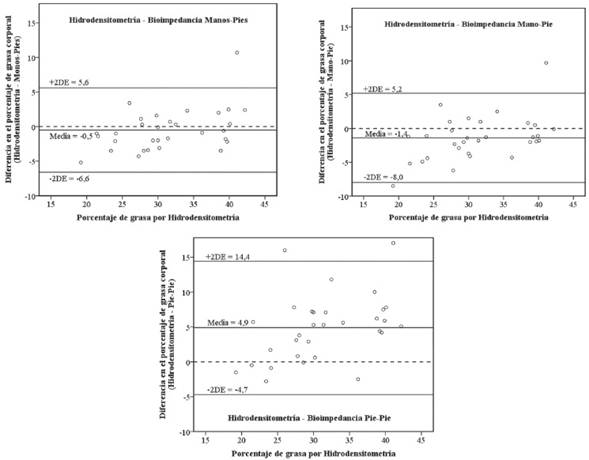
Los errores del estándar del estimado y los límites de acuerdo del %GC se presentan en la tabla 3. Las técnicas de BI manos-pies y mano-pie presentaron errores bajos del estándar del estimado para el %GC (< 3,5); la técnica pie-pie presentó un error elevado del estándar del estimado (> 4,5) (Tabla 3). En el cálculo del %GC individual las técnicas manos-pies y mano-pie presentaron un grado de acuerdo moderado con la hidrodensitometría (Figura 1). En la prueba de Bland-Altman, el límite de acuerdo superior para manos-pies (5,6 %) y mano-pie (5,2 %) indican que estas técnicas pueden subestimar el %GC individual en un 5,6 % y 5,2 %, respectivamente (Tabla 3, Figura 1). Así mismo, los límites de acuerdo inferiores para las técnicas manos-pies (6,6 %) y mano-pie (8,0 %) indican las posibles sobrestimaciones del %GC individual. La técnica pie-pie presentó una concordancia baja con el método de referencia en la estimación del %GC individual, dado el elevado límite de acuerdo superior de 14,4 % (Tabla 3, Figura 1).
Tabla 3 Error estándar del estimado, amplitud del límite de acuerdo y límites de acuerdo del porcentaje de grasa obtenido por hidrodensitometría y bioimpedancia

a Método de Bland y Altman: la amplitud del límite de acuerdo es la distancia entre el intervalo superior e inferior de los límites de acuerdo. b Límites de acuerdo: son los límites calculados como la diferencia promedio entre los métodos ± dos desviaciones estándar de las diferencias

Figura 1 Concordancia del porcentaje de grasa corporal obtenido por hidrodensitometría y tres técnicas de bioimpedancia. La línea discontinua representa la diferencia nula entre los métodos (cero). Las líneas continuas representan las diferencias promedio (MD) entre los métodos y los límites de acuerdo, superior e inferior, calculados como la diferencia promedio más o menos dos desviaciones estándar de las diferencias (MD±2DE)
DISCUSIÓN
El objetivo del presente estudio fue comparar los resultados de la composición corporal obtenidos por tres técnicas de BI con la hidrodensitometría en mujeres jóvenes de Medellín. La técnica manos-pies halló valores de composición corporal más cercanos a la hidrodensitometría que la técnica pie-pie. Se han informado resultados similares y sugieren que la técnica manos-pies tiene mayor exactitud que la técnica pie-pie7)(14. Asimismo, la técnica manospies mostró una exactitud ligeramente superior a la de la técnica mano-pie en la determinación de la composición corporal. La comparación de la exactitud de estas dos técnicas ha mostrado resultados contradictorios en la literatura32)(33)(34)(35 y requiere investigación en otros grupos de la población.
En 2004, Pietrobelli y colaboradores7 evaluaron uno de los primeros equipos comerciales que utilizan la técnica BI manos-pies. Analizaron 20 hombres y 20 mujeres con un instrumento de BI manos-pies (Tanita BC-418) e informaron que el equipo generó valores de composición corporal total y segmentaria similares a los del método de absorciometría radiográfica de energía dual rayos x (DXA)7. Aún más, afirmaron que el equipo manos-pies fue superior al equipo precedente que emplea la técnica pie-pie (Tanita BC-310)7. En un estudio similar, Demura y colaboradores14 evaluaron a 21 hombres y 23 mujeres con los equipos manos-pies (Tanita BC-118) y pie-pie (Tanita TBF-101) y compararon los resultados con los obtenidos por DXA e hidrodensitometría. En las mujeres, ambos equipos Tanita sobrestimaron el %GC con respecto a la DXA y la hidrodensitometría. Sin embargo, los errores de predicción fueron inferiores con el equipo manos-pies y los investigadores concluyeron que esta técnica era más exacta que la precedente pie-pie. Los resultados del presente estudio concuerdan con los de Pietrobelli y Demura y sugieren que los equipos que utilizan la técnica de BI manos-pies tienen mayor exactitud que los que emplean la técnica pie-pie.
Es importante señalar que la ecuación de predicción de la composición corporal del equipo de BI manospies (Seca mBCA 515/514) utilizado en el presente estudio probablemente difiere de los algoritmos matemáticos incluidos en los equipos Tanita de ocho electrodos. En 2013, Bosy-Westphal y colaboradores9 desarrollaron las ecuaciones que utiliza el equipo Seca en un grupo de 124 personas caucásicas (62 hombres y 62 mujeres). Posteriormente, estas ecuaciones se evaluaron en caucásicos (n = 32), asiáticos (n = 36), afroamericanos (n = 31) e hispanos (n = 31) contra un modelo de cuatro componentes calculado a partir de DXA, pletismografía y agua marcada. Reportaron sesgos promedio significativos en la masa libre de grasa de los asiáticos (- 0,7 kg; p < 0,05) y los afroamericanos (- 1,5 kg; p < 0,001), pero no encontraron diferencias significativas en los hispanos (- 0,4 kg) y los caucásicos (- 0,7 kg). Concluyeron que en adultos sanos y euvolémicos el equipo Seca produce resultados similares en precisión y exactitud a los métodos de referencia, dado que las diferencias en la masa libre de grasa encontradas con el equipo Seca eran similares a las halladas entre los métodos DXA, pletismografía y agua marcada9. Sin embargo, los autores de la ecuación del equipo Seca recomendaron hacer estudios en grupos de población con mayores variaciones del IMC9, por ejemplo, en personas obesas.
Los equipos de BI han mostrado limitaciones para medir la composición corporal en obesos8)(36)(37. Esto puede obedecer, por lo menos en parte, a que la impedancia del tronco contribuye poco (10 %) a la impedancia corporal total, mientras que los brazos y las piernas contribuyen con 47,6 % y 43,0 %, respectivamente38. Así, la composición corporal total es determinada en gran medida por la impedancia de los brazos y las piernas16)(38. La BI segmentaria (técnica manos-pies) podría superar estas limitaciones porque con ella se estima de forma independiente la composición de cada segmento y luego la composición corporal total14)(34. Sin embargo, estudios efectuados con BI segmentaria utilizando una o varias frecuencias de corriente eléctrica han reportado limitaciones de la técnica para calcular la composición corporal de personas obesas8)(36)(37.
La técnica manos-pies mostró una exactitud ligeramente superior a la de la técnica manopie y no presentó diferencias significativas con la hidrodensitometría. Entre las posibles causas de la superioridad de la técnica manos-pies están que utiliza la impedancia de los hemicuerpos derecho e izquierdo del individuo, además de que determina independientemente la composición de cada segmento y luego la composición corporal total9. Asimismo, existe la posibilidad de que para las mujeres del presente estudio, que tenían un IMC promedio de 23,6 kg/m2, la ecuación de predicción de la técnica manos-pies sea más adecuada que la de la técnica mano-pie, dado que la primera fue diseñada en mujeres con IMC de 24,1 kg/m2 y la segunda, en mujeres con IMC de 24,5 kg/m2.
El potencial de la BI para determinar la composición corporal ha promovido fuertemente la investigación en esta área, favoreciendo entre otros: a) el desarrollo de múltiples técnicas de medición de la BI; desde la tradicional mano-pie se han derivado otras como la pie-pie, mano-mano y manos-pies; b) la diversificación del número de frecuencias eléctricas que aplican los instrumentos, desde una sola frecuencia a 50 khz hasta 500 frecuencias entre 1 khz y 1000 khz; c) el desarrollo de múltiples algoritmos matemáticos para transformar los valores de BI en resultados de composición corporal5)(39. Esta diversidad en el desarrollo de la BI hace compleja la evaluación y validación de los equipos en diversos grupos de la población. Por ello se sugiere tener presente que en esta investigación se utilizaron los equipos manos-pies (Seca mBCA 515/514), manopie (Quantum II) y pie-pie (Tanita TBF-300), y que los resultados del estudio pueden variar cuando se utilicen equipos que difieran en la técnica de aplicación de los electrodos, en la frecuencia de la corriente eléctrica o en el algoritmo matemático empleado para determinar la composición corporal.
En conclusión, los resultados sugieren que la técnica de BI manos-pies de ocho electrodos determina valores del %GC más cercanos a los de la hidrodensitometría que las técnicas precedentes de cuatro electrodos, mano-pie y pie-pie, en mujeres jóvenes de Medellín, Colombia. En el presente estudio una gran proporción (74,2 %) de las participantes presentaron peso corporal adecuado y solo una baja proporción tenía obesidad (3,2 %) por lo cual se recomienda ser cautelosos en la extrapolación de los resultados del estudio a otros grupos de la población, dado que se requiere validar las técnicas y ecuaciones de BI en personas con mayores alteraciones del peso corporal.














