INTRODUCCIÓN
La teoría de los sistemas dinámicos, estudia el estado y evolución de los sistemas a partir de la construcción de trayectorias que pueden ser evaluadas geométricamente en un espacio denominado espacio de fase el cual genera figuras designadas como atractores. En el espacio de fase se pueden observar tres tipos de atractores, cuya información subyacente determina el carácter predecible o impredecible del sistema1. Si se encuentran atractores que tienden a un punto o a un ciclo, son considerados predecibles, en cambio atractores con apariencia caótica o irregular son considerados impredecibles1. La geometría fractal es un tipo de geometría mediante la cual se puede calcular el grado de irregularidad de un objeto. Existen diferentes métodos para el cálculo de la dimensión fractal, que varían de acuerdo con el tipo de objeto que se medirá. La irregularidad observada en los atractores caóticos, dentro de los cuales se encuentran los atractores de la dinámica cardíaca, puede ser medida mediante el método de Box-Counting2)-(3)-(4.
El Ministerio de Protección Social de Colombia reportó para el año 2011 una epidemia de Enfermedades Cardiovasculares (ECV), dentro de las cuales se destaca la isquémica cardiaca o infarto considerándolas responsables del mayor número de casos fatales. El número de muertes reportadas por causa de esta enfermedad fue de 29.000 personas, en promedio 80 personas al día5. Por tal razón se ha visto la necesidad de desarrollar nuevas investigaciones con las cuales se propongan soluciones a esta problemática, tanto respecto a su diagnóstico como a su seguimiento y tratamiento.
En la literatura médica se encuentran varios métodos o técnicas para el diagnóstico del estado cardiaco, entre los que se encuentran diversas formas de cálculo de la variabilidad de la frecuencia cardiaca, cuya validación de resultados está sujeta a técnicas estadísticas, evaluando de esta manera la variabilidad mediante promedios y desviaciones estándar6. Se ha encontrado que mediante estos métodos se pueden establecer relaciones entre diferentes medidas y algunas alteraciones patológicas, sin embargo, no es posible prever qué pacientes presentarán muerte cardiaca súbita o infarto agudo de miocardio para cada caso específico.
Investigaciones desarrolladas en el contexto de la teoría de los sistemas dinámicos, hacen evidente que el sistema cardiovascular presenta un comportamiento no lineal7, es decir que se trata de un sistema que no obedece a un movimiento senoidal. Por ejemplo, Ritzenberg, et al.8 demostraron la no linealidad en el electrocardiograma. Mediante el análisis de la Variabilidad de la Frecuencia Cardiaca (VFC) revelaron la no linealidad del ritmo cardiaco, presente en pacientes con alto riesgo de muerte cardiaca súbita. Incluso, se encontró una asociación entre la pérdida de la complejidad de la variabilidad fisiológica con la reducción de la dinámica del ritmo cardiaco antes de la muerte súbita y el envejecimiento9)-(10)-(11. Así mismo, medidas fractales en pacientes con fracción de eyección menor al 35% después de infarto agudo de miocardio permitieron establecer predictores de mortalidad con mayor capacidad de discriminación que los logrados convencionalmente12.
Recientemente se han desarrollado nuevas metodologías que permiten establecer diagnósticos de aplicabilidad clínica y evaluar estados adversos del paciente, facilitando de este modo la toma de decisiones para su correcto seguimiento. El establecimiento de rangos de valores numéricos que caracterizan qué tan alejada o cercana se encuentra la dinámica cardiaca a un estado agudo, permite discernir el nivel de gravedad de las alteraciones detectadas13)-(14)-(15. Por ejemplo, para la evaluación de la dinámica cardiaca en 21 horas se ha desarrollado una metodología diagnóstica a partir del método de Box Counting, basada en la superposición de rejillas cuadradas para el conteo de los cuadros ocupados por el atractor cardíaco; este procedimiento permite tener una magnitud de las diferencias en el tamaño de los atractores, de acuerdo a si tienen más o menos cuadros ocupados, con lo cual fue posible establecer diferencias cuantitativas entre normalidad y enfermedad aguda16. La aplicabilidad y reproductibilidad de la metodología, ha sido confirmada mediante una prueba diagnóstica realizada en 150 registros Holter, hallando valores de sensibilidad y especificidad del 100%16 y un coeficiente Kappa de uno. Debido a la abstracción de factores causales, la metodología puede evaluar los valores de la Frecuencia cardiaca (FC) tanto de registros Holter como registros electrocardiográficos continuos, debido a que solo hace uso de los valores de la FC mínima y máxima cada hora, así como el número de latidos, para establecer un diagnóstico cuantitativo de aplicación clínica.
Recientemente a partir de esta metodología se realizó un trabajo del cual se hizo una presentación preliminar en el X Congreso de Medicina Crítica y Cuidado Intensivo, en el que se logró establecer la capacidad diagnóstica de la evaluación de la ocupación espacial del atractor tomando información de solamente 16 horas. Este nuevo método diagnóstico permitiría un seguimiento más efectivo de pacientes en la UCI, al disminuir costos y recursos a nivel clínico17.
OBJETIVO
El propósito de la presente investigación es confirmar los resultados anteriores, realizando un proceso inductivo y su posterior confirmación mediante un estudio ciego con un mayor número de pacientes, desarrollando de este modo un nuevo método diagnóstico a partir de la evaluación de la dinámica cardiaca en 16 horas.
METODOLOGÍA
Definiciones:
Espacio de fases: representación gráfica de la dinámica de un sistema en un espacio de dos o más dimensiones, a partir de la ubicación de pares ordenados de una variable dinámica en el tiempo, generando un atractor1.
Dimensión fractal de Box-Counting: es una medida adimensional, calculada a partir de la siguiente fórmula18:

Siendo: D: Dimensión fractal; N: Número de cuadros ocupado por el objeto; donde N1 : número de cuadros ocupados por el objeto en la rejilla de partición de 2-(j+ 1) y N2 : número correspondiente a la partición de 2-j ; y j: Grado de partición de la cuadrícula.
Población
Se realizó un estudio que incluyó 15 dinámicas de sujetos normales provenientes de bases de datos de investigaciones previas del Grupo Insight, y 32 dinámicas con enfermedad aguda, procedentes de pacientes críticos que fueron ingresados a la UCI Postquirúrgica del Hospital Militar Central. La población fue escogida con base en una reinterpretación de la concepción normalidad-enfermedad de los sistemas dinámicos11, y en la metodología desarrollada previamente16 en la que se logra diferenciar normalidad de enfermedad a partir del número de espacios ocupados del atractor de la dinámica cardiaca. También fue escogida porque puede representar y ser comparada con cualquier tipo de dinámica de acuerdo a sus características matemáticas. Por ser una metodología física y matemática está basada en un proceso inductivo en el que a partir de pocos casos se hallan los parámetros físico-matemáticos diferenciadores que posteriormente permitirán aplicar la metodología al resto de casos.
Los diagnósticos clínicos fueron establecidos de acuerdo con el criterio de un cardiólogo experto, siguiendo los parámetros clínicos convencionales. De estos sujetos, se tomaron dos normales y tres pacientes de UCI para el desarrollo de la inducción, mientras que la información clínica de los 42 Holter restantes fue enmascarada para realizar un estudio ciego de confirmación de la inducción.
Procedimiento
Inicialmente se desarrolló una inducción a partir de dos dinámicas normales y tres pacientes de UCI. Se realizó un registro de la dinámica cardiaca durante mínimo 16 horas mediante registro Holter en el caso de los sujetos normales, y registros electrocardiográficos continuos (monitores marca Dräger) en el caso de los pacientes de la Unidad de Cuidados Intensivos Postquirúrgicos del Hospital Militar Central.
Para el desarrollo de la inducción matemática, se tomaron dos sujetos normales y tres pacientes de la UCI los cuales representaban un rango amplio de edades, de los 21 a los 91 años, así como un rango amplio de valores mínimos, máximos de latidos/hora, y del total de latidos de cada hora de la FC, también se escogieron por ser sujetos de importancia clínica ya sea esta por su condición clínica normal, crónica o aguda. A partir de estos casos se realizó la inducción matemática, para lo cual se tomaron los valores de frecuencia cardiaca máxima y mínima cada hora, así como el total de latidos para cada hora, para cada sujeto. En el caso de los sujetos normales, los datos fueron tomados directamente de los reportes del Holter, mientras que para los pacientes de UCI, se sistematizaron los valores de la frecuencia cardiaca registrados minuto a minuto en los monitores Dräger, para luego hallar los valores máximos y mínimos de FC/hora y total de latidos de la FC para cada hora.
Seguidamente, estos valores fueron utilizados para generar una secuencia de frecuencias cardiacas para construir un mapa de retardo con base en la información sistematizada (ver definiciones). Para cada uno de los atractores se superpusieron dos rejillas de 5 y 10 lat/min, denominadas Kp y Kg respectivamente, realizando con cada una de ellas el conteo de espacios de ocupación y el cálculo de la dimensión fractal.
Finalmente se comparó el diagnóstico físico-matemático con el diagnóstico clínico convencional, comparando las variaciones en los espacios de ocupación de la FC respecto a rangos establecidos previamente para estados de normalidad, enfermedad crónica o aguda, de acuerdo con estudios previos, estableciendo el comportamiento matemático característico de cada estado desde esta metodología.
A continuación, se desenmascaró el diagnóstico clínico de cada uno de los registros Holter y/o electrocardiográficos continuos. Se tomaron las dinámicas con diagnóstico clínico de normal o con enfermedad aguda, y se analizaron mediante el mismo procedimiento que los registros de la inducción, determinando así su diagnóstico matemático. Posteriormente se calculó la sensibilidad y especificidad asumiendo como patrón de oro el diagnóstico clínico convencional para determinar los valores de sensibilidad, y especificidad, de manera que los verdaderos positivos (VP) están representados por el número de pacientes diagnosticados clínicamente y por medio del diagnóstico matemático con enfermedad aguda, mientras que los falsos positivos (FP) son el número de registros Holter y/o electrocardiográficos continuos que matemáticamente se comportan como estudios de enfermedad aguda y cuyo diagnóstico clínico es dentro de límites normales, falsos negativos (FN) corresponde al número de registros Holter y/o electrocardiográficos continuos cuyos valores matemáticos corresponden a normalidad pero cuyo diagnóstico clínico corresponde a pacientes con enfermedad aguda y finalmente verdaderos negativos (VN) corresponde al número de registros diagnosticados clínicamente como normales y cuyos valores matemáticos también corresponden a normalidad.
En este trabajo no se calculan intervalos de confianza, debido al tipo de diseño metodológico aplicado, que al estar sustentado en un razonamiento inductivo físico- matemático, busca establecer diferencias que deben confirmarse en cualquier caso particular. El cálculo de los valores de sensibilidad y especificidad se aplicó a todos los casos normales y con enfermedad aguda, excluyendo los casos con enfermedad crónica, debido a que la evaluación actual del Holter presenta falencias, lo que puede dar lugar a alteraciones subdiagnosticadas. En este orden de ideas, hemos tomado el diagnóstico convencional del Holter como Gold Standard para los casos normales y agudos, sin embargo, los casos crónicos requieren una validación con exámenes adicionales, lo que excede el objetivo de la presente investigación.
RESULTADOS
La Tabla 1 muestra los valores calculados de 20 de las 47 dinámicas cardiacas evaluadas, 10 dinámicas cardíacas normales y 10 de la UCI. Se seleccionaron estos 20 pacientes de la totalidad, debido a que los valores de las dinámicas cardíacas restantes tienen valores similares o cercanos a los mostrados en la Tabla 1. Los datos sombreados en gris corresponden a las cinco dinámicas tomadas para la inducción matemática.
Los dos registros normales tomados para la inducción matemática presentaron valores de 76 y 116 para la rejilla kg y de 263 y 455 para la rejilla Kp, y dimensiones fractales de 1,79099148 y 1,97174174. Los registros provenientes de la UCI tomados para la inducción matemática presentaron valores de dimensión fractal entre 1,169925 y 1,86624861; los valores de ocupación en la rejilla Kg estuvieron entre 16 y 399 y en la rejilla Kp se encontraron entre 36 y 1439.
Las dimensiones fractales de los registros Holter evaluados en 21 horas con diagnóstico clínico normal variaron entre 1,66 y 1,94 mientras que para los registros provenientes de la UCI variaron entre 1,55 y 1,92. Los espacios ocupados por los atractores normales evaluados en 21 horas, al superponer la rejilla Kp oscilaron entre 254 y 448, para la rejilla Kg entre 73 y 119; para los pacientes de UCI la superposición de la rejilla Kp, oscilo entre 54 y 1456; y entre 16 y 390 para la rejilla Kg, Tabla 1.
En cuanto a los registros evaluados en 16 horas mediante la presente metodología, las dimensiones fractales de los 10 registros Holter con diagnóstico clínico normal se encontraron entre 1,69 y 1,97; y entre 1,1699 y 1,9509 los provenientes de la UCI. El comportamiento de los atractores cardíacos de dos de los pacientes provenientes de la UCI se puede ver en las Figuras 1 y 2. El cálculo de los espacios ocupados por los atractores normales al superponer la rejilla Kp oscilaron entre 255 y 455, y para la rejilla Kg entre 69 y 116; para los casos de UCI la superposición de la rejilla Kp, osciló entre 36 y 1439, y para la rejilla Kg entre 16 y 399.
TABLA 1 Medidas de los espacios ocupados por los atractores al superponer las dos rejillas en los atractores evaluados durante 16 horas. Los 10 primeros corresponden a casos normales y los 10 últimos corresponden a dinámicas de pacientes en UCI. Kp: es la rejilla con cuadros pequeños. Kg: rejilla con cuadros grandes. Df: dimensión fractal.

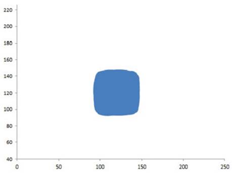
FIGURA 1 Atractor correspondiente a la dinámica del paciente No 11, con sepsis en tejidos blandos y enfermedad pulmonar crónica con exacerbación no especificada. Se puede observar una ocupación espacial de 140 en la rejilla Kp, menor al rango de normalidad.

FIGURA 2 Atractor correspondiente a la dinámica del paciente No 13, con falla cardiaca, donde se evidencia una ocupación espacial superior a los valores normales, que corresponde a 1439 cuadros en la rejilla Kp.
Resultado de ayuda diagnóstica
Con base en los resultados hallados en la rejilla Kp, se estableció que la normalidad se encuentra entre 210 y 534. Valores entre 209 y 74 corresponden a enfermedad crónica (ver figura 1) y valores inferiores a 74 corresponden a enfermedad aguda. Además, se estableció otro rango asociado a enfermedad, correspondiente a valores iguales o mayores a 535.
De acuerdo con este diagnóstico físico-matemático, se encontró que dos dinámicas de pacientes de la UCI presentaron valores correspondientes a normalidad, mientras que 16 presentaron valores correspondientes a enfermedad crónica y cuatro enfermedad aguda.
Adicionalmente, se encontró que hubo 10 dinámicas que presentaron valores por encima del límite superior de normalidad.
Al evaluar las dinámicas normales y con enfermedad se encontraron valores de sensibilidad de 0,937 y especificidad del 1.
DISCUSIÓN
Este es el primer trabajo en el que se establece una nueva metodología desarrollada en el contexto de la teoría de los sistemas dinámicos y la geometría fractal, para diagnosticar la dinámica cardiaca de sujetos normales y pacientes de la UCI durante 16 horas mediante los registros electrocardiográficos continuos y/o Holter, a partir de la cuantificación de los espacios de ocupación de atractores cardiacos a partir del método de Box Counting. Los resultados hallados muestran que es posible establecer diferencias específicas para la UCI, cuantitativas y reproducibles, entre dinámicas cardiacas normales, con enfermedad crónica y con enfermedad aguda, estableciendo además un rango de enfermedad caracterizado por valores superiores a los valores más altos de normalidad, evidenciando que la normalidad se ubica en un rango intermedio entre valores muy altos o muy bajos de estados patológicos. Se encontraron valores de sensibilidad de 0,937 y especificidad del 1, al diferenciar dinámicas normales y enfermas. Desde esta perspectiva, la metodología puede ser la base de futuros dispositivos que codifiquen la señal de la frecuencia cardiaca monitorizada en la UCI, optimizando el seguimiento continuo de la evolución del paciente.
Anteriormente se había establecido que a partir de los espacios de ocupación de los atractores cardiacos era posible establecer diferencias entre normalidad y enfermedad aguda, tanto en 21 horas16 como en 1617. Estos trabajos evidenciaron que era posible establecer un rango de normalidad entre valores de 200 a 478 en la rejilla kp, mientras que la enfermedad aguda se encontraba por debajo de 74, y la enfermedad crónica solía presentar valores entre 74 y 200. Por otro lado, los trabajos desarrollados por Goldberger, et al.11, contradijeron las nociones del principio de homeostasis, al revelar que el sistema cardiaco enfermo, se asocia a comportamientos altamente regulares o irregulares, mientras que la normalidad se establece como un comportamiento intermedio entre dichos extremos. Los resultados del análisis de las dinámicas de los pacientes de la UCI indican que se pueden presentar valores físico- matemáticos tanto de normalidad, como de enfermedad crónica o enfermedad aguda. Sin embargo, solamente dos pacientes presentaron valores asociados a normalidad. Por otro lado, las dinámicas con valores superiores a los valores de normalidad pueden asociarse a casos con intervenciones terapéuticas como inotrópicos, que aceleran el ritmo cardiaco, lo que implica un aumento en la ocupación espacial del atractor. Por ejemplo, las dinámicas 13 (ver Figura 2) y 14 corresponden a un paciente que presento Falla cardiaca; los valores matemáticos están muy por encima de los límites de normalidad, evidenciando una alteración patológica. A diferencia del trabajo de Goldberger, donde se señala un comportamiento general de la dinámica cardiaca, en la que la normalidad corresponde a un estado intermedio entre valores patológicos, pero no se cuenta con valores específicos para establecer un diagnóstico clínico11, en el presente trabajo se evidencia que efectivamente la normalidad es un estado intermedio entre dos extremos patológicos y la dinámica crónica, logrando establecer y predecir valores cuantitativos específicos para los rangos de normalidad y enfermedad, lo que permite su aplicación clínica.
La validez del estudio se sustenta en el tipo de metodología del cual parte. Al tratarse de un método basado en el tipo de razonamiento inductivo de la física teórica, con pocos casos es posible llegar a afirmaciones de tipo universal, pues se está evidenciando un orden matemático subyacente al proceso de salud-enfermedad de la dinámica cardíaca, al margen de la etiología de la patología, caracterizado por una variación progresiva del número de espacios ocupados por el atractor caótico. Así, se muestra una auto-organización matemática subyacente al fenómeno, aplicable a cualquier caso particular. Con el fin de sustentar estos hallazgos a nivel clínico de una forma más específica pueden realizarse futuros estudios siguiendo las guías STARD para informes de estudios precisión diagnóstica.
Las señales eléctricas del corazón son reproducidas de manera gráfica mediante la electrocardiografía, que es una herramienta ampliamente utilizada para detectar alteraciones en el ritmo cardiaco17. La monitorización continua puede ser hecha mediante un Holter o con los monitores que se utilicen en los distintos escenarios de la UCI17. A finales del siglo pasado el análisis de la variabilidad de la frecuencia cardiaca, fue establecido como herramienta predictora de mortalidad específicamente en el caso de pacientes con infarto agudo de miocardio. Con el paso del tiempo fue empleado para estratificación de riesgo en pacientes cursando con enfermedad cardiovascular; sin embargo, aún no es posible prever desde estas herramientas que dinámica cardiaca entrará a paro cardiaco o muerte cardiaca súbita, o aún alertar con horas de antelación estos desenlaces. Es así que se han incorporado conceptos matemáticos provenientes de la teoría del caos y geometría fractal18) tal como es planteado por investigadores en un estudio realizado en población geriátrica19. Sin embargo, la aplicabilidad clínica de estas metodologías aún es discutida20. También se han empleado métodos dinámicos no lineales en series de electrocardiogramas de corta duración y se ha establecido que estos métodos podrían complementar el diagnóstico electrocardiográfico, demostrando la aplicabilidad de la teoría de caos y las dinámicas no lineales en la dinámica cardiovascular21. Es menester resaltar que la metodología aplicada para el presente estudio, puede diagnosticar cualquier caso particular, identificando los cuatro estados dinámicos encontrados, permitiendo un seguimiento más estricto de los procesos de la dinámica cardiaca del paciente en el tiempo a partir de los atractores cardiacos, de gran utilidad para el seguimiento del paciente crítico de la UCI, corroborando hallazgos de un trabajo previo17. Con esta metodología en futuros trabajos se podría comparar el comportamiento de la dinámica cardiaca evaluada mediante este método con el análisis de otras variables hemodinámicas, especialmente en los rangos en los que se presentan valores característicos de alteración patológica, ya sea por encima o por debajo de los valores límites de normalidad, con el fin de establecer posibles predicciones de mortalidad superando barreras evidenciadas en trabajos anteriores realizados donde es discutida la aplicabilidad clínica o donde los tiempos de evaluación son menores.
La metodología desarrollada aplicada en este estudio está basada en el método de la física teórica22 en el que a partir de la aplicación de leyes y principios físico matemáticos se toma un fenómeno complejo y se simplifica, permitiendo de esta forma estudiar sistemáticamente el problema y tener una comprensión general, el proceso generalmente utilizado para esto es la inducción, en la que a partir de pocos casos se hallan las características determinantes del fenómeno que logre simplificarlo y hacerlo comprensible, permitiendo además desarrollar metodologías que sean aplicables a todos los casos, de tal forma que este método y sus conclusiones no dependen del número de casos que se toman, ni de otros parámetros estadísticos o poblacionales como sesgos, tamaño de muestra, etc. En este trabajo y en la metodología desarrollada previamente16 se desarrolló este mismo proceso, lo que ha llevado a una simplificación del fenómeno permitiendo establecer la aplicación de la metodología no solo para 21 horas16 sino también para 16 horas17.
El método de la física teórica es muy diferente al actualmente seguido en la medicina, en el cual el tamaño de la muestra si puede llegar a alterar significativamente las conclusiones obtenidas, lo que difícilmente permite desarrollar generalizaciones que puedan ser aplicables a cualquier caso, es por esto que en este trabajo se busca mostrar una vía para el desarrollo de generalizaciones en la medicina.
Continuando con trabajos desarrollados para evaluar la dinámica cardiaca del adulto desde esta perspectiva de investigación físico-matemática, se desarrolló una metodología basada en una ley matemática de aplicación clínica a partir de la cual se pueden deducir y evaluar todas las posibles dinámicas cardiacas, caracterizando dinámicas cardiacas normales, agudas y en evolución15. Recientemente, la metodología evaluó la dinámica cardiaca neonatal, logrando predecir alteraciones cardiacas asociadas a sepsis tres y seis horas antes de presentarse el episodio de sepsis23. Recientemente se evaluó la aplicabilidad clínica y la reproductibilidad de esta metodología mediante un estudio ciego con 115 registros Holter, hallado valores de sensibilidad y especificidad del 100%; también se desarrolló un trabajo en el que se confirmó su aplicabilidad a casos con diagnóstico de arritmia24. El presente trabajo amplía la aplicación de los sistemas dinámicos a la clínica.
Otra metodología fundamentada en la teoría la probabilidad y las proporciones de entropía, predice diferencias cuantitativas entre normalidad, enfermedad crónica, enfermedad aguda y evolución entre estos estados13. Se confirmó la aplicabilidad clínica en diferentes pruebas diagnósticas mediante estudios estadísticos, en 300, 450, 600, dinámicas cardiacas normales y patológicas25 logrando en todos los casos valores de sensibilidad y especificidad de 100%, demostrado su utilidad en el diagnóstico de la dinámica cardiaca en pacientes de la UCI26, después de las intervenciones, siendo un diagnóstico independiente de los parámetros diagnósticos utilizados actualmente, y logrando además detectar procesos de agudización subdiagnosticados.
En analogía a las teorías físicas acausalistas que sustentan la física moderna27),(28, la presente metodología logra establecer cuantificaciones objetivas y reproducibles aplicables a cada caso particular independientemente de consideraciones epidemiológicas y estadísticas, desde una perspectiva a causal desarrollado diagnósticos y predicciones en áreas como la inmunología29, la epidemiología30, la morfometría de diferentes estructuras macroscópicas y microscópicas que componen el cuerpo humano31)-(32)-(33, y la infectología34, evidenciando órdenes físico-matemáticos subyacentes a los diferentes fenómenos médicos.
CONSIDERACIONES ÉTICAS
Este trabajo tiene como fundamentos los principios éticos para las investigaciones médicas en seres humanos de la declaración de Helsinki de la Asociación Médica Mundial, el código de Nuremberg y el reporte de Belmont, y cumple en general con las normas éticas, científicas, técnicas y administrativas para la investigación en salud, basada en la resolución No. 008430 de 1993, y específicamente con el título 11 referente a la investigación en seres humanos, al estar clasificado en la categoría de investigación sin riesgo, dado a que se hacen cálculos sobre resultados de exámenes previamente prescritos sin ninguna intervención directa sobre los pacientes. Por esta razón, cuenta con la aprobación del Comité de Ética en Investigación del Hospital Militar Central, de acuerdo con el acta No. 19696 del 13 de julio de 2015.
CONFLICTOS DE INTERÉS
Los autores declaran no tener conflictos de interés.













