Introduction
Osteoporosis is a chronic disease characterized by a decrease in the density of bone mass, making bone more porous, less resistant and of lower quality than normal bone. This leads to the deterioration of its microstructure, making the bone more fragile and therefore increasing the risk of fracture1. Clinical complications have been associated with fractures and morbidity, such as chronic pain and physical disability or mortality2.
In 2010, the worldwide incidence of fracture increased to 2.7 million cases per year; by 2050, it is estimated to increase to 4.5 million cases per year. The risk of fracture due to osteoporosis is higher in women than in men and increases exponentially with age. Curtis et al., in 2016, reported that hip fractures in women over 50 years of age occur three times more frequently than in men3. The onset of menopause has been identified as a risk factor for the development of osteoporosis. Other risk factors such as smoking, type 1 diabetes (T1D1), parathyroid disease, inflammatory bowel disease (IBD), rheumatoid arthritis, and glucocorticoid treatment have also been reported4. Some authors have pointed out the interaction between the intestinal microbiota (IM), the immune system, and nutrient absorption. IM-host interactions contribute to the maturation of the host immune system, modulating its systemic response. Nutrient absorption at the enterocyte level is directly linked to interactions generated with the intestinal microbiota. The composition of the diet has an important impact on the microbial community composition5. A high-calorie diet is associated with a reduced Bacteroides/Firmicutes ratio, which can lead to metabolic disorders in the host6. Although adequate protein intake provides the necessary material for bone growth, an excess of protein in diet can lead to elevated levels of toxins, such as hydrogen sulphide and methane in the intestine. It has been found that high concentrations of Lactobacillus and Bifidobacterium promote the absorption of minerals such as calcium, magnesium, and phosphorus and thus increase mineral density7. Studies have also shown that the composition of the gut microbiome can affect the pH of the gut7, which is very important for nutrient absorption, especially calcium absorption. In addition, the gut microbiota plays a vital role in the synthesis of vitamin B and K, as well as in the metabolism of bile acids that are directly related to calcium absorption8. Thus, regulation of the gut microbiome has been proposed as a target in the treatment of metabolic diseases such as osteoporosis to effectively delay osteoporosis and increase bone density9.
One of these strategies that has been proposed in recent years is the use of functional foods, which due to their composition induce modifications in the composition of the intestinal microbiota, including better absorption of nutrients such as calcium and vitamin D, among others10,11. Fermented products such as yogurt, kefir, kimchi, and cheeses have suggested beneficial effects on the concentrations of short-chain fatty acids (SCFAs) that are regulators of osteocyte metabolism12,13.
In Colombia, it was estimated that in 2018, the estimated prevalence was 2,440 cases per 100,000 inhabitants over 50 years old, with a higher frequency in women (92% of cases) than in men, with a female/male ratio of 12.3:113. Based on these data, it was estimated that by 2022, there would be a 14% increase in pathological hip fractures, which would increase the morbidity and mortality associated with the disease14,15. The disability adjusted life years (DALYs) for a given condition in a population captures years of life lost due to premature death and years of life lived with a disability and its severity and duration. Previous studies on the global burden of osteoporosis have been performed with a focus on fractures. Johnell and Kanis quantified the global burden of osteoporotic fracture worldwide using DALYs. They estimated that there were 740,000 deaths associated with hip fracture. There were 1.75 million disability-adjusted life years lost, representing 0.1% of the global burden of disease worldwide16. Due to the great social and economic impacts of osteoporosis, it is necessary to develop interventions that can be easily adopted at the population level, improving the quality of life of individuals without significantly affecting the health system. This study aimed to determine mortality and health-related quality of life and to evaluate the impact of increased consumption of dairy foods in the Colombian population with osteoporosis from 2015 to 2020.
Materials and Methods
Study design
An ecological study was conducted on older adults aged 50 years and above diagnosed with osteoporosis, utilizing data from secondary sources spanning from 2015 to 2020. The data sources considered for this study included the Ministry of Health, National Statistics Department, and National Surveys on the Nutritional Situation in Colombia (ENSIN).
Sources of information
Osteoporosis case data were obtained from the Health Ministry Database -SISPRO- (server: cubos3. sispro.gov.co; cube service provision, search date 20/10/2021), which has four components: health, occupational risks, social promotion, and pensions. The first component stores and processes the basic and minimum data required by the General System of Social Security in Health for management, regulation, and control processes. These data are entered from the Individual Registry of Health Service Delivery. We used information from the National Statistics Department (DANE) at the national, departmental, and municipal levels for each age group, starting at 50 years of age.
Information was obtained for January 2015 to 31 December 2020, for which an analysis of the databases of the Individual Service Provision Register was carried out using the International Classification of Diseases, Revision 10 (ICD-10), codes for osteoporosis (M800, M801, M802, M803, M804, M805, M808, M810, M811, M812, M813, M814, M815, M816, M818, M819). Variables such as sex and distribution in five-year age groups from 50 years onwards, department and municipality were analysed using the official projections of the DANE based on the projections of the 2005 national census.
To determine the number of deaths associated with the abovementioned diagnosis, we used the vital statistics register from SISPRO.
Incidence estimation
To calculate the incidence, the sum of the number of ICD-10 codes mentioned above for each year represented the main diagnosis. Population census data by the department were obtained according to the official projections of the DANE, based on the projections of the 2005 national census17. We specifically targeted the population aged 50 years and above in our study. We calculated the crude rates of osteoporosis within this population. To determine the rate, we divided the reported cases in SISPRO by the average population during the specified period, considering gender and age group stratification.
Frequency of dairy consumption
Data from the ENSIN in 2015 related to the frequency of consumption of dairy products were obtained18. Information available from the 24/hour reminder form and feeding practices was selected. The information was filtered by the frequency of consumption of dairy products and derivatives in the population over 50 years of age.
Population attributive fraction (PAF) and potential impact fraction (PIF)
The PAF was calculated for all fractures, expressed as:
where Pe=prevalence ofthe risk factor in the population. The prevalence was taken from the literature (for men, it was 89.7, and for women, it was 84.4; relative risk (RR) of fracture due to low calcium intake (300 mg/ day or less) = 1.08)19,20. Additionally, we considered the RR associated with an approximate consumption of 600mg/day21 Table 1. Next, we calculated the absolute number of fractures that could potentially be prevented with additional calcium intake. In epidemiology, this number is known as the PIF. It is calculated by multiplying (per age) the incidence of fractures with the corresponding PAF for that age, as follows:
Table 1 Summary of the data used and their sources.
| Parameter | Male | Female | Data sources |
|---|---|---|---|
| Percentage of low calcium intake | 89.7 | 84.4 | 19 |
| Recommended intake of calcium (mg/day) | Resolution 3803 of 2016 | ||
| 1,000 | 1,000 | Ministry of Health and Social Protection for Colombia | |
| Relationship with a calcium intake of 600 mg/day: RR (95% CI) | 0.96 (0.93-0.99) | 0.96 (0.93-0.99) | 21 |
| Relationship with a calcium intake of 300 mg/day: RR (95% CI) | 1.08 (1.02-1.16) | 1.08 (1.02-1.16) | 20 |
Source: Authors.
where I = incidence of fractures (per 1,000); N = total population per age; and PAF = population-attributable fraction. Subsequently, the delta between the PIF and the number of cases of osteoporosis was obtained to calculate how many cases would occur with the intervention.
Disability-adjusted life years (DALYS)
Data on osteoporosis mortality in those aged over 50 years of age between 2015 and 2020 and in the 32 departments were analysed. DALYS were calculated considering the sum of years lived with disability (YLD) due to morbidity and injury and years of life lost (YLL) due to premature death, expressed as follows:
where N is the number of premature deaths, L is the standard life expectancy at death, I is the number of incident cases in the reference period, DW is the disability weight (in the range of 0-1, 0.55 was used), and R is the average duration of disability (measured in years, age weighting of 3.04 at 50 years, and 12.3 to 80 years plus). For the calculation of DALYs, YLL, and YLD, the World Health Organization (WHO) template was downloaded and modified with the osteoporosis data obtained for this study22.
Data analysis
We conducted both univariate and bivariate analyses. Univariate analysis involved considering the nature of the variables: for numerical variables, measures of central tendency were applied, while frequencies and percentages were estimated for categorical variables. Bivariate analysis utilized the chi-square test or Fisher's exact test. Results were deemed statistically significant when p-values were below 0.05. GraphPad Prism® V 5 and R software® were utilized for the analyses.
Results
Incidence
A total of 72,889 cases of osteoporosis were identified during the study period from 2015 to 2020 (Figure 1a). The highest incidence was observed in 2019 (overall = 1.6; females = 2.74 and males = 0.22). However, in 2020, a decrease in incidence was observed (Figure 1b, c). When examining the data by gender, the incidence was higher in females compared to males, with a ratio of 14:1. Furthermore, there was an increase in incidence among older age groups. The departments with the highest incidence rates throughout the study period were Bogotá, Antioquia, Risaralda, and Caldas.
Frequency of dairy consumption
The ENSIN-2015 included 44,202 households, representing 4739 clusters from 177 socioeconomic strata. A total of 782,492 food records were analysed. Only 0.4% (n= 3,221) of respondents over 50 years of age reported consuming daily products (Table S1). The most frequently consumed products were cow's milk, curd, cheese, coastal whey, and yogurt.
The departments that reported the highest consumption of dairy products were Antioquia, Risaralda, Bogotá, Córdoba, and Caldas (Figure S1a). People over 50 years of age consumed more cow's milk than yogurt (Figure S1b).
PAF and PIF
Simulation with a RR of 1.08 (intake of 300 mg/day) revealed no significant differences (average reduction of 1,525 cases/year; p=0.103). Simulation with a RR of 0.94 (intake of 600 mg/day) showed an average reduction of 2,329 cases/year (p<0.01) (Table 2).
DALYS
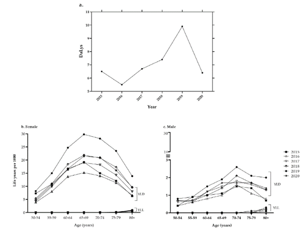
An increase in DALYS per 1,000 individuals was observed. The highest peak was observed in 2019, followed by 2018 and 2017 (Figure 2a).
The age distributions of YLL and YLD differed by sex. While women presented fractures early, the YLL peaked in the group aged 65-69 years Figure 2b. This trend was maintained for YLD, reflecting that most fractures occur around the age of 67 years, where the highest mortality occurred in women with osteoporosis. In the case of males, the YLL peaked in the group aged 75-79 years, and YLD peaked between 70-74 years of age Figure 2c. This indicates that the incidence of fractures is high but has limited consequences for mortality.
The number of DALYs lost seemed to increase with age Table S2. In addition, independent of the period evaluated, the number of DALYs was larger in women Figure 2b, particularly after the age of 65. In addition, fractures in women started at 60 years; in contrast, in men where they started at 70 years Figure 2c. Using the standard WHO method, the average DALY loss per 1,000 persons in the study period was estimated as 7.1 DALYs. The year 2019 showed the highest rate, and 2016 showed the lowest. The total DALYs related to fractures in 2019 for those aged 50 to over 80 years was 9.9 DALYs. The average YLD per 1,000 persons far exceeded the YLL per 1,000 persons, indicating that living with a disability due to fracture results in the loss of DALYs in those with osteoporosis.

Source: Authors.
Figure 2 a) presents the distribution of the DALYs and YLL by year. Figures 2b and 2c show the distribution of YLL and YLD for each sex and age group. Source: Authors.
Discussion
The results of this study showed that the disease occurred more frequently in women of all age ranges and its incidence increased directly proportionally. This is due to the rapid decline in bone mass that generally begins after the cessation of menstrual periods and the slowing of oestrogen production25. In addition, bone density decreases2,15.
Colombia has a lower calcium intake than other countries in the Latin American region. A previous report indicated that the average calcium intake in Colombia was 297 mg/day, which is lower than the calcium dietary intake levels reported in Chile, Brazil, Bolivia, Argentina and Ecuador21. It should be considered that osteoporosis is a disease that is considered a public health problem worldwide2. The increased incidence of the disease as well as the risk of fractures increases treatment costs and decreases the quality of life of people suffering from this disease15,23.
We observed that the departments with the highest consumption of dairy products were the capital of the country and regions where dairy products factories are located. Additionally, many people over the age of 50 were able to consume dairy and milk. It was not possible to establish an association between socioeconomic strata and low dairy intake. Nevertheless, some authors have proposed that westernization of diets and low income reduce access to fresh fruits and milk derivates24.
A consistent increase in the number of cases of osteoporosis was observed between 2015 and 2019. The male: female ratio was 1:14. These findings showed a notable difference from the data reported in other regions of the world. According to the International Osteoporosis Foundation (IOF), the ratio of osteoporosis is higher among female adults, with a proportion of 1:425.
Nevertheless, a decrease in the number of cases of osteoporosis in 2020 was observed. This may be explained by the effect of coronavirus disease 2019 (COVID-19) on surveillance systems and a reduction in the demand for osteoporosis diagnostics associated with pandemic social and mobility restrictions26. Nevertheless, these results differ from those reported in other countries during 2020. A meta-analysis found that the osteoporosis prevalence increased in different European and Asian countries in 2020 compared with that in 201927.
Additionally, it is worth noting that there is a scarcity of recent available data specifically for Latin America. This limited access to up-to-date information in the region hinders a comprehensive analysis of the osteoporosis trends and their association with the COVID-19 pandemic. Further research and data collection efforts are necessary to gain a better understanding of the impact of the pandemic on osteoporosis prevalence and to compare it with findings from other regions.
As preventive measures, various national guidelines and expert consensus have suggested increasing the intake of dairy products to between 600 mg and 1,200 mg of calcium per day25,27,28. Laird et al. suggested that yogurt consumption may reduce the risk of osteoporosis in women and men older than 60 years (OR 0.61; 95% CI 0.42-0.89). Our simulation showed that an increase of 300 mg/day yogurt corresponding to 250 ml can reduce the risk of osteoporosis in women over 60 years of age.
Several researchers have put forward a proposed mechanism that links yogurt consumption, microbiota composition, and calcium bioavailability. The nutritional composition of yogurt differs from that of milk, primarily due to the fermentation process, which converts carbohydrates into lactic acid. Moreover, the presence of live microorganisms in yogurt can generate various metabolites that potentially enhance calcium absorption in the small intestine27.
The number of people who suffer from fracture or YLL due to fracture are quantifiable measures that can summarize the burden of the disease. We observed an average DALY loss of 7.1 for the study period (2015-2020), with a tendency to increase over time. This measure may be important to motivate policy decisions and prioritization of funding for osteoporosis treatment. Furthermore, the high values suggest the need for better policies and treatment practices.
Limitations
Our study is subject to several limitations, primarily associated with the data sources utilized. We analyzed information from the Colombian Ministry of Health database, which presents certain limitations. The main drawback of this study is the potential underreporting of cases due to the specific characteristics of the National Surveys on the Nutritional Situation in Colombia (ENSIN) and the Health Information System (SISPRO). These limitations should be taken into consideration when interpreting the findings of our study.
Furthermore, we encountered challenges in associating the daily consumption of calcium-rich foods with osteoporosis due to limitations in the reported diseases. As a result, we were unable to establish a direct link between food intake and the development of osteoporosis in our study. The data on yogurt consumption may be underestimated due to the lack of information. In contrast to nutritional surveys conducted in Korea, Japan, Scandinavian countries, and Eastern European countries, the National Surveys on the Nutritional Situation in Colombia (ENSIN) does not provide differentiated information on the consumption of dairy products and fermented foods. This limitation poses a challenge when conducting modeling exercises in this context. Recognizing the importance of such differentiation, the European Food Safety Authority (EFSA) has proposed including these categories in dietary analysis to determine their potential health benefits. Incorporating this level of detail can offer valuable insights into the potential impacts on health.
Lastly, it is important to note that the SISPRO database primarily includes data on primary diagnoses and lacks information on comorbidities. Consequently, we were unable to ascertain whether the reported diagnoses were new cases or not, as variations in record-keeping, such as changes in insurance providers, inadequate documentation of medical history, or treatment abandonment, could have impacted the accuracy of the data. Due to these data limitations, we could not determine the duration of disease development, specific clinical characteristics of the patients, site of fractures, or the response to treatment.
Conclusions
The information for the development of this research was extracted from the database of the Colombian Ministry of Health. These results show the importance of designing public health policies to prevent osteoporosis and evaluate its impact.
This work shows that there is no intervention to prevent this disease. A higher incidence was observed in women, and most fractures in this population occurred at approximately 67 years of age, when the highest mortality due to osteoporosis was also observed. The simulation showed that an intake of 600 mg/day of calcium would prevent an average of 2,329 cases/year, but only if the population increases its calcium intake, which is a population-based intervention.






















