Services on Demand
Journal
Article
Indicators
-
Cited by SciELO -
Access statistics
Related links
-
Cited by Google -
Similars in
SciELO -
Similars in Google
Share
Cuadernos de Geografía: Revista Colombiana de Geografía
Print version ISSN 0121-215XOn-line version ISSN 2256-5442
Cuad. Geogr. Rev. Colomb. Geogr. vol.21 no.2 Bogotá July/Dec. 2012
Universidad Nacional de Colombia, sede Medellín, Colombia
Université du Québec, Montreal, Canadá
Universidad Nacional de Colombia, sede Medellín, Colombia
*Ingeniero Forestal. M. Sc. en Ciencias Forestales. Maestro universitario, equivalente a Doctor en la Universidad Nacional de Colombia. Actualmente profesor titular del Departamento de Ciencias Forestales de la Universidad Nacional de Colombia, sede Medellín.
Dirección postal: Universidad Nacional de Colombia, sede Medellín, calle 59A n.° 63-20, autop. Norte, bloque 14, of. 328, Medellín, Colombia.
Correo electrónico: jidvalle@unal.edu.co
**Ingeniero Forestal. M. Sc. en Bosques y Conservación Ambiental. Actualmente estudiante del Doctorado en Biología del Centre d'Étude de la Forêt de la Université du Québec à Montréal, Canadá.
Dirección postal: Université du Québec à Montréal, Département des Sciences biologiques. Case postale 8888, succursale Centre-ville. Montréal (Québec) H3C 3P8 Canadá.
Correo electrónico: nicroltda@gmail.com
***Ingeniero Forestal. Actualmente estudiante de la Maestría en Bosques y Conservación Ambiental de la Universidad Nacional de Colombia, sede Medellín.
Dirección postal: Universidad Nacional de Colombia, sede Medellín, calle 59A n.° 63-20, autop. Norte, bloque 14, of. 328, Medellín, Colombia.
Correo electrónico: zuitterion@gmail.com
Recibido: 24 de abril del 2012. Aceptado: 31 de mayo del 2012.
Artículo de investigación que señala el potencial de la dendroclimatología para el estudio del clima del pasado en regiones tropicales, a través de diferentes estudios realizados en tres ecosistemas contrastantes de Colombia.
Resumen
Este trabajo presenta los resultados de diferentes investigaciones dendroclimáticas realizadas en tres ecosistemas contrastantes de Colombia. Se emplearon técnicas dendrocronológicas y densitogramas computarizados para obtener las cronologías de crecimiento y densidad, respectivamente. Se encontraron asociaciones significativas entre las cronologías, las variables climáticas locales y el ENSO, por ejemplo: la densidad de los anillos de crecimiento de Rhizophora mangle con la precipitación; el ancho de los anillos de crecimiento de Parkinsonia praecox y Capparis odoratissima con la precipitación, la temperatura del aire y la temperatura superficial del mar, y el ancho de los anillos de crecimiento de Prioria copaifera con las alturas limnimétricas del río Atrato. Dichos resultados demuestran la aplicabilidad y el potencial de la dendroclimatología en regiones tropicales.
Palabras clave: árboles tropicales, Capparis odoratissima, dendrocronología, ecosistemas tropicales, Parkinsonia praecox, Prioria copaifera, Rhizophora mangle.
Resumo
Este trabalho apresenta os resultados de diferentes pesquisas dendroclimáticas realizadas em três ecossistemas contrastantes da Colômbia. Empregaram-se técnicas dendrocronológicas e densitogramas computadorizados para obter as cronologias de crescimento e densidade, respectivamente. Encontraram-se associações significativas entre as cronologias, as variáveis climáticas locais e o ENSO, por exemplo: a densidade dos anéis de crescimento de Rhizophora mangle com a precipitação; a largura dos anéis de crescimento de Parkinsonia praecox e Capparis odoratissima com a precipitação, a temperatura do ar e a temperatura superficial do mar, e a largura dos anéis de crescimento de Prioria copaifera com as alturas linimétricas do rio Atrato. Tais resultados demonstram a aplicabilidade e o potencial da dendroclimatologia em regiões tropicais.
Palavras-chave: árvores tropicais, Capparis odoratissima, dendrocronologia, ecossistemas tropicais, Parkinsonia praecox, Prioria copaifera, Rhizophora mangle.
Abstract
The article presents the results of diferent dendroclimatic research projects carried out in three contrasting ecosystems in Colombia. Dendrochronology techniques and densitograms were used to obtain the growth and density chronologies, respectively. Findings showed significant relations between chronologies, local climatic variables, and ENSO, for example: the density of the growth rings of Rhizophora mangle to precipitation; the width of the growth rings of Parkinsonia praecox and Capparis odoratissima to precipitation, air temperature, and sea surface temperature; and the width of the growth rings of Prioria copaifera to the limnimetric elevation of the Atrato River. Tese results demonstrate the applicability and potential of dendroclimatology in tropical regions.
Keywords: tropical trees, Capparis odoratissima, dendrochronoloy, tropical ecosystems, Parkinsonia praecox, Prioria copaifera, Rhizophora mangle.
Introducción
La dendrocronología es la ciencia que estudia la datación, con resolución anual, de diversos hechos mediante los anillos de crecimiento de los árboles. La reconstrucción del clima con los anillos de los árboles se llama dendroclimatología, así como la reconstrucción de los niveles o caudales de los ríos se denomina dendrohidrología (Schweingruber 1988).
Los anillos de los árboles son una de las herramientas más poderosas para conocer eventos hidroclimáticos pasados, sus ciclos y tendencias, antes de que existieran registros instrumentales. Ello es posible porque los árboles son los organismos vivos más longevos de la naturaleza. Diversas características anatómicas de la madera de los anillos de los árboles –tales como su ancho, densidad intraanular, densidad de poros y contenidos de isótopos estables de 13C, 18O, 2H– dependen de las condiciones ambientales existentes en el momento de la formación de los anillos (Speer 2010). En el estudio del cambio climático actual, los anillos de los árboles han suministrado invaluable información del clima de la Tierra de las regiones templadas, frías y aun tropicales durante los últimos mil años (Cook et ál. 2010).
Aunque existe escepticismo acerca del uso de los anillos de los árboles tropicales debido a las diferencias estacionales entre los trópicos y las zonas templadas, ello ha cambiado en los últimos años, y hoy se sabe con certeza que dondequiera que puedan crecer los árboles en el trópico, existen especies con anillos anuales (Rozendaal y Zuidema 2011). Este artículo busca presentar algunos casos pioneros en la aplicación de la dendroclimatología y la dendrohidrología en ecosistemas contrastantes de Colombia con el fin de mostrar su potencial y estimular su aplicación y difusión.
Materiales y métodos
Métodos para el estudio de Rhizophora mangle
El objetivo del estudio fue determinar el potencial dendrocronológico de Rhizophora mangle demostrando la anualidad de sus anillos de crecimiento y relacionando la densidad intraanular de la madera con la precipitación en árboles plantados de edad conocida.
El estudio se llevó a cabo en la bahía de Cispatá, departamento de Córdoba. En el área, la precipitación total es de 1.267 mm anuales, con régimen monsónico (unimodal) de precipitaciones superiores a 60 mm/ mes desde abril hasta noviembre y un período seco marcado desde diciembre hasta marzo. La temperatura promedio es de 27,1 °C (1995-2005). En abril de 2005 se cortaron 8 secciones transversales de aproximadamente 5cm de espesor del tronco de árboles, que crecían en pequeñas plantaciones coetáneas de Rhizophora mangle, establecidas entre 1995 y 1999 en torno de la bahía de Cispatá. La edad de las plantaciones era conocida, y se pudo inferir la edad de los árboles para confirmar la anualidad de los anillos. Las secciones se cortaron por encima de las raíces aéreas más gruesas, tan cerca del suelo como fue posible.
Se obtuvieron perfiles de densidad de la madera de los árboles tomando rayos X a cada muestra en un escáner Helicoidal Pro-Speed General Electric Scanner, del Hospital San Vicente de Paúl. Con el software suministrado para leer las tomografías computarizadas –en adelante, TC– y del software Image J (Abramof, Magalhães y Sunanda 2004), se estudiaron los perfiles de densidad de la madera de dos diámetros en cruz (cuatro radios) desde un punto en la periferia, pasando por el centro del disco, hasta el otro extremo del disco. Estos perfiles provienen de trasformar los tonos grises generados por los rayos X en densidad radiológica (unidades Hounsfield) y en densidad física (g/cm3). Se hicieron regresiones lineales en las cuales las variables dependientes fueron la densidad máxima y mínima de la madera en función de diversas expresiones de la precipitación: total, meses secos, meses húmedos con más de 60 mm, meses con menos de 60 mm.
Método para el estudio de Parkinsonia praecox y Capparis odoratissima
Se reconstruyeron algunas variables climáticas locales y globales de la media Guajira, norte de Colombia, con base en el ancho de los anillos de estas dos especies. El clima en la zona es bimodal con un máximo relativo en abril (≈ 40 mm) y un máximo absoluto en octubre (≈ 120 mm); entre septiembre, octubre y noviembre –en adelante, SON–, el clima es húmedo, los demás meses son ecológicamente secos (< 60 mm). La temperatura media anual es 28,8 °C y la precipitación media anual (1972-2003) es 397 mm, con grandes variaciones interanuales. Los datos climáticos provienen de la estación Manaure, en la media Guajira, perteneciente al Instituto Nacional de Hidrología, Meteorología y Estudios Ambientales –en adelante, IDEAM–. También se empleó información de velocidad del viento (VV), temperatura superficial del mar –en adelante, TSM– así como de los índices southern oscillation index –en adelante, SOI– y multivariate Enso index –en adelante, MEI– de El Niño/La Niña-Southern Oscillation –en adelante, ENSO– provenientes de información certificada disponible en internet.
Se demostró la anualidad de los anillos de crecimiento por medio de varios métodos: radiocarbono (Reimer, Brown y Reimer 2004), cofechado (Grissino-Meyer 2001) y análisis estadístico de las correlaciones entre crecimiento y las variables climáticas anuales (Fritts 1976). Se emplearon métodos dendrocronológicos estándar (Cook y Kairi&kŝtis 1990). La muestra consistió de 18 secciones transversales de Parkinsonia praecox y 16 de Capparis odoratissima colectadas en octubre del 2004 y julio del 2005. El ancho de anillos se midió en 45 y 31 series (radios), respectivamente, en una plataforma Velmex con exactitud de 0,001 mm. La tendencia ontogénica del crecimiento de los árboles se filtró con funciones lineales, exponenciales negativas y con funciones spline.
Cada serie del ancho de los anillos se comparó con una cronología maestra, conformada por todas las demás series de cada especie; todas las series correlacionaron significativamente (p > 0,01) con la maestra. Se cofechó con el software COFECHA (Grissino-Meyer 2001) con el fin de que cada anillo perteneciera a solo un año calendario. Se eliminó la autocorrelación temporal con el software Arstan (auto regresive standarization, Cook 1985) y se utilizó la cronología residual. Para las funciones respuesta y transferencia, se transformaron los datos climáticos mensuales y anuales en componentes principales para evitar la multicolinearidad. Se emplearon regresiones lineales simples y múltiples para las funciones respuesta, y regresiones simples para la reconstrucción con resolución anual de las variables climáticas locales.
Método para el estudio de Prioria copaifera
Se utilizaron 11 secciones transversales de Prioria copaifera (comúnmente llamado cativo) de las llanuras de inundación del río Atrato, Riosucio (Chocó). Estas llanuras permanecen inundadas entre 6 y 9 meses al año (Herrera y del Valle 2011). Se midió el ancho de los anillos en 23 radios de 10 individuos. Se calibraron las series residuales del ancho de anillos con base en información proveniente de la estación limnimétrica Domingodó, del río Atrato, (IDEAM) entre 1977 y 2000. Los valores utilizados de los índices del ENSO fueron tomados de información certificada disponible en internet. Los mismos métodos dendrocronológicos del caso anterior se emplearon en este estudio.
Análisis de resultados
Resultados caso Rhizophora mangle
En la figura 1 se presenta la TC de una sección transversal de Rhizophora mangle y su densitograma. Los anillos de crecimiento se encuentran conformados por bandas claras, en las cuales los rayos X penetran menos por la mayor densidad de la madera, y por bandas de color gris oscuro, en donde los rayos X penetran más. Se aprecian 6 máximos y 6 mínimos de densidad de la madera. Dado que el número de máximos de densidad de la madera se corresponde con la edad de cada sección transversal, se concluye que los anillos de Rhizophora mangle son anuales.

La figura 2 presenta las relaciones encontradas entre la precipitación y la densidad de la madera (Ramirez, Molina y Bernal 2010). Se nota que la densidad de la madera tiene relación inversa con la precipitación. Ello se debe a que durante los períodos de estiaje del río Sinú, la salinidad aumenta en la bahía de Cispatá, por ende los árboles aumentan la densidad de la madera para reducir la conducción del agua dentro del xilema y, por tanto, la vulnerabilidad a la cavitación y el embolismo de los vasos (Maherali, Pockman y Jackson 2004; Melcher et ál. 2001). En épocas de lluvia, la salinidad del agua de mar es menor y los árboles crecen más rápido, disminuyendo la densidad de la madera y permitiendo un mayor flujo de agua. La precipitación es, entonces, un sustituto de la salinidad del mar, de la cual no existen mediciones de largo plazo. Estos resultados abren la posibilidad de reconstruir las precipitaciones locales y la salinidad del mar con Rhizophora mangle.

Resultados caso Parkinsonia praecox y Capparis odoratissima
Los análisis de radiocarbono demostraron que ambas especies tienen anillos anuales (Ramirez y del Valle 2011a; 2011b). En la tabla 1 se observa que Parkinsonia praecox es mucho más sensible a la precipitación anual y que Capparis odoratissima lo es a las temperaturas del aire y de la superficie del mar. En cuanto a los índices globales SOI y MEI, Parkinsonia praecox supera ampliamente en sensibilidad a Capparis odoratissima (tabla 2).


Analizando la señal climática contenida en los anillos mes a mes, Capparis odoratissima detecta las primeras lluvias de la temporada lluviosa –que se presenta principalmente en los meses de SON– desde el mes de agosto, cuando estas apenas se insinúan. Por el contrario, Parkinsonia praecox es menos sensible a estas precipitaciones tempranas. Ambas especies responden negativamente y, usualmente, significativamente a las temperaturas mensuales de La Guajira. Parkinsonia praecox parece afectarse más negativamente que Capparis odoratissima con las altas temperaturas (figura no mostrada). En la tabla 2 se presentan las funciones de transferencia. Solo resultaron estadísticamente significativas, con confiabilidad de al menos 95%, las cronologías de las precipitación anual y durante SON en ambas especies, pero Parkinsonia praecox supera a Capparis odoratissima. Esta última especie fue la única que correlacionó significativamente con la TSM. Las demás variables no tuvieron suficiente ajuste para emplearlas en la reconstrucción climática.
En la figura 3 se presenta la reconstrucción de la precipitación total de la media Guajira con Parkinsonia praecox. Nótese la clara similitud entre las líneas que representan los datos instrumentales y los reconstruidos con los anillos de Parkinsonia praecox en la fase de calibración, lo que permitió reconstruir esta variable entre 1940 y 1971, hasta donde alcanzaba la cronología de los anillos, pero no existía información instrumental continua. La línea de tendencia resultó con pendiente no significativamente diferente de cero, con confiabilidad de 95%; es decir, los resultados no presentan evidencia de cambios en esta variable durante los 63 años de la cronología residual de Parkinsonia praecox.

Resultados caso Prioria copaifera
Los análisis de radiocarbono realizados demostraron que los anillos de esta especie son anuales (Herrera y del Valle 2011). Esta evidencia, además del cofechado exitoso y la relación estadísticamente significativa con los niveles del río Atrato, prueba la anualidad de los anillos de Prioria copaifera.
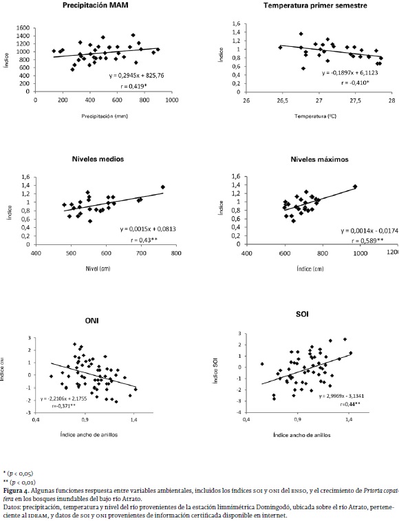
En la figura 4 se observa que Prioria copaifera responde negativamente a la temperatura del aire, y positivamente a las precipitaciones; esta última respuesta quizá se deba a una covariación entre niveles del río y la precipitación, pues parece difícil establecer un nexo de causalidad en una especie que habita en un medio en el cual nunca es escasa el agua, aun durante la fase de estiaje. La variable que más influye en el crecimiento de Prioria copaifera son los niveles del río Atrato, con los cuales se alcanzan correlaciones positivas altamente significativas. Esto implica que la especie crece más cuando la inundación es mayor. Las correlaciones trimestrales y anuales entre la cronología residual y los índices SOI y oceanic Niño index –en adelante, ONI– del ENSO fueron generalmente significativas y negativas para el SOI, lo contrario para ONI, lo que demuestra la alta sensibilidad de la especie a las señales del ENSO que tienden a aumentar la precipitación en la región (Herrera y del Valle 2011).

La función transferencia de los niveles del río con respecto al índice de ancho de anillos fue altamente significativa (p < 0,05) y explicó 32,3% de la variabilidad de los niveles del río durante la fase de calibración. La figura 5 presenta la reconstrucción para los niveles medios del río y la ecuación de regresión ajustada a estos niveles. La ecuación que indica la tendencia de los niveles del río revela una tendencia significativa, para 90% de confiabilidad, de reducción de los niveles del río durante 150 años. Por tanto, se infiere que alguna reducción en los niveles del río Atrato debida al cambio climático es de muy baja magnitud para las confiabilidades usualmente empleadas en dendrocronología (95% y 99%).

Conclusiones
El crecimiento secundario de especies que crecen en ecosistemas contrastantes responde de manera similar a variaciones en la temperatura y la precipitación. Así, Prioria copaifera crece en el bosque muy húmedo tropical, pero Parkinsonia praecox y Capparis odoratissima crecen en el monte espinoso tropical. Sin embargo, ambas presentan respuesta negativa al incremento en las temperaturas y responden positivamente al incremento en las precipitaciones. Esto envía una señal clara de la necesidad de estudiar más profundamente la respuesta de los bosques tropicales a los cambios climáticos globales y locales.
La densitometría es una alternativa útil en la dendrocronología tropical. No solo las técnicas dendrocronológicas estándar funcionan en árboles tropicales, las variaciones en la densidad de los anillos de crecimiento también arrojan correlaciones climáticas significativas. Se debería explorar una mayor implementación de estas técnicas alternativas en estudios dendroclimáticos en el trópico.
Reconocimientos
Los autores expresan agradecimientos a las siguientes entidades: a la Corporación Autónoma Regional de La Guajira, por el apoyo logístico; a la Dirección de Investigaciones de la Universidad Nacional de Colombia, sede Medellín (DIME), por la financiación parcial de varias investigaciones sobre dendrocronología; al proyecto Expedición Antioquia 2013 de la Gobernación de Antioquia, por la financiación parcial del proyecto Reconstrucción Climática del Bajo Río Atrato, y al Instituto Nacional de Hidrología, Meteorología y Estudios Ambientales (IDEAM) por el suministro de la información hidroclimática.
Referencias
Abramof, M. D., Paulo J. Magalhães y Ram Sunanda J. 2004. Image Processing with Image J. Biophotonics International 11 (7): 36-42. [ Links ]
Cook, Edward Roger. 1985. A Time Series Analysis Approach to Tree Ring Standardization. Ph. D. tesis en Renewable Natural Resources, The University of Arizona. Arizona. [ Links ]
Cook, Edward Roger y Leonardas Kairiukstis. 1990. Methods of Dendrochronology: Applications in the Environmental Sciences. Dordrecht, The Netherlands: Kluwer-IIASA. [ Links ]
Cook, Edward Roger, Kevin J. Anchukaitis, Brendan M. Buckley, Rosanne D. D'Arrigo, Gordon C. Jacoby y William E. Wright. 2010. Asian Monsson Failure and Megadrought During the Last Millenium. Science 328 (5977): 486-489. DOI:10.1126/science.1185188. [ Links ]
Fritts, Harold. C. 1976. Tree Ring and Climate. London: Academic Press. [ Links ]
Grissino-Meyer, H. 2001. Evaluation Crossdating Accuracy: A Manual and Tutorial for the Computer Program COFECHA. Tree-Ring Research 57:205-221. [ Links ]
Herrera, David Andrés y Jorge I. del Valle. 2011. Ciento cincuenta años de niveles del río Atrato reconstruidos con anillos de Prioria copaifera. Informe de grado de Ingeniería Forestal, Universidad Nacional de Colombia, sede Medellín. Colombia. [ Links ]
Maherali, Hafiz; William T. Pockman y Robert B. Jackson. 2004. Adaptive Variation in the Vulnerability of Woody Plants to Xylem Cavitation. Ecology 85:2184-2199. [ Links ]
Melcher, P. J., G. Goldstein, F. C. Meinzer, D. E. Yount, T. J. Jones, N. M. Holbrook y C. X. Huang. 2001. Water Relations of Coastal and Estuarine Rhizophora mangle: Xylem Pressure Potential and Dynamics of Embolism Formation and Repair. Oecologia 126:182-192. [ Links ]
Parolin, Pia y Florian Wittmann. 2010. Struggle in the Flood: Tree Responses to Flooding Stress in Four Tropical Floodplain Systems. AoB Plants, 1-19. DOI:10.1093/ aobpla/plq003. [ Links ]
Ramirez, Jorge Andrés y Jorge I. del Valle. 2011a. Local and Global Climate Signals from Tree Rings of Parkinsonia Praecox. International Journal of Climatology 30. La Guajira, Colombia. DOI:10.1002/joc.2335. [ Links ]
Ramirez, Jorge Andrés y Jorge I. del Valle. 2011b. Paleoclima de La Guajira, Colombia, según los anillos de crecimiento de Capparis odoratissima (Capparidaceae). Revista de Biología Tropical 59:1389-1405. [ Links ]
Ramirez, Jorge Andrés, Eliana Molina y Manuel Bernal. 2010. Anillos anuales y clima en Rhizophora mangle L. de la Bahía de Cispatá, Colombia. Revista Facultad Nacional de Agronomía 63:5639-5650. [ Links ]
Reimer, Paula J., Tomas A. Brown y Ron W. Reimer. 2004. Discussion: Reporting and Calibration of Post-Bomb14C Data. Radiocarbon 46 (3): 1299-1304. [ Links ]
Rozendaal, Danaë y Pieter A. Zuidema. 2011. Dendroecology in the Tropics: A Review. Trees - Structure and Function 25 (1): 3-16. [ Links ]
Schweingruber, Fritz Hans. 1988. Tree Rings: Basics and Applications of Dendrochronology. Boston, USA: Kluwer Academic. [ Links ]
Speer, James H. 2010. Fundamentals of Tree-Ring Research. Tucson, USA: University of Arizona Press. [ Links ]













