Services on Demand
Journal
Article
Indicators
-
Cited by SciELO -
Access statistics
Related links
-
Cited by Google -
Similars in
SciELO -
Similars in Google
Share
Cuadernos de Geografía: Revista Colombiana de Geografía
Print version ISSN 0121-215XOn-line version ISSN 2256-5442
Cuad. Geogr. Rev. Colomb. Geogr. vol.21 no.2 Bogotá July/Dec. 2012
Gobierno Regional Metropolitano de Santiago y Universidad de Chile, Chile
*El presente trabajo se basa en el análisis realizado por el autor en el marco de la Política Pública Regional para el Desarrollo de Localidades Aisladas 2012-2015 en la región metropolitana de Santiago de Chile, Departamento de Planificación Regional, Gobierno Regional Metropolitano de Santiago 2011-2012.
**Geógrafo de la Universidad de Chile, candidato a Magíster en Proyectos Urbano Regionales de la Pontificia Universidad Católica de Valparaíso. Diplomado en Planificación Regional, Ordenamiento Territorial Regional, Gobernabilidad y Gestión Territorial y Prospectiva y Políticas Públicas. Profesional de la División de Planificación y Desarrollo Regional del Gobierno Regional Metropolitano de Santiago y docente del ramo Ordenamiento Territorial, en la carrera de Ingeniería en Recursos Naturales Renovables de la Universidad de Chile. Con desarrollo profesional en las áreas de ordenamiento territorial, análisis regional, planificación estratégica y regional, gestión territorial integrada, políticas públicas, planes intersectoriales y plurianuales.
Dirección postal: Tucapel Jiménez 76. Departamento 905. Comuna de Santiago, Santiago de Chile.
Correo electrónico: gerardo.ub@gmail.com; gerardoub.master@gmail.com
Recibido: 10 de abril del 2012. Aceptado: 31 de mayo del 2012.
Artículo de investigación sobre la ubicación de las entidades rurales, su vulnerabilidad y problemáticas, de la Región Metropolitana de Santiago en Chile -RMS; con el planteamiento de una propuesta de objetivos de desarrollo territorial.
Resumen
En la Región Metropolitana de Santiago se encuentran pequeños asentamientos humanos rurales, entre los cuales existen entidades rurales en condiciones de mayor aislamiento físico, debido a una serie de factores geográficos. Estos generalmente se encuentran al margen de la mayoría de las políticas públicas e inversión privada. La presente investigación tiene por objetivos: determinar las entidades rurales con mayor grado de aislamiento, identificar la vulnerabilidad de dichas entidades y realizar una propuesta inicial de objetivos de desarrollo territorial, aplicando un índice de aislamiento físico-geográfico, una encuesta y el método de marco lógico. Se concluye que este es un fenómeno espacial manifestado en cualquier territorio, incluso en regiones con áreas metropolitanas, y que la problemática identificada es de carácter multidimensional con una distribución territorial claramente diferenciada.
Palabras clave: entidad rural aislada, índice de aislamiento, localización, Región Metropolitana de Santiago de Chile, vulnerabilidad territorial.
Resumo
Na Região Metropolitana de Santiago do Chile se encontram pequenos assentamentos humanos rurais, entre os quais existem entidades rurais em condições de maior isolamento físico, devido a uma série de fatores geográficos. Estes geralmente se encontram à margem da maioria das políticas públicas e investimento privado. A presente pesquisa tem por objetivos: determinar as entidades rurais com maior grau de isolamento, identificar a vulnerabilidade de tais entidades e realizar uma proposta inicial de objetivos de desenvolvimento territorial, aplicando um índice de isolamento físico-geográfico, uma enquete e o método de marco lógico. Conclui-se que este é um fenômeno espacial manifestado em qualquer território, inclusive em regiões com áreas metropolitanas, e que a problemática identificada é de caráter multidimensional com uma distribuição territorial claramente diferenciada.
Palavras-chave: entidade rural isolada, índice de isolamento, localização, Região Metropolitana de Santiago do Chile, vulnerabilidade.
Abstract
Among the small rural human settlements found in the Metropolitan Area of Santiago, there are some that show a greater physical isolation due to a series of geographical factors and that are generally excluded from most public and private investment policies. The objectives of this research project are the following: identify the most isolated rural entities; determine their vulnerability; and propose initial territorial development objectives by applying a physical-geographical isolation index, an interview, and a logical framework method. The conclusions are that this type of spatial phenomenon can appear in any territory, even in regions with metropolitan areas, and that the problems identified are multidimensional and feature a clearly diferentiated territorial distribution.
Keywords: isolated rural, entity index of isolation, localization, Metropolitan Area of Santiago de Chile, territorial vulnerability.
Introducción
En Chile, el análisis e investigación sobre la localización de asentamientos humanos aislados y su vulnerabilidad han sido escasos y recientes1, en relación con estudios que se enfocan en otros tipos de problemáticas territoriales (crecimiento de las áreas urbanas, evolución de las áreas metropolitanas, gestión urbana, desarrollo económico local, entre otras) que son tratadas con frecuencia en revistas científicas del área de la gestión territorial y la geografía.
Los estudios relacionados con la temática del aislamiento territorial en Chile generalmente se concentran en determinar territorios a nivel de división política administrativa subregional (comuna), mas no en los asentamientos humanos, lo cual resulta insuficiente, desde el punto de vista geográfico, para implementar una política pública en esta materia. Una excepción es la realizada por el gobierno regional –en adelante GORE– de Los Lagos (2008), el cual, además de la identificación a nivel comunal, aplica un análisis a nivel de localidades, a partir de los conceptos de aislamiento, lejanía y costo.
Desde el punto de vista de la institucionalidad chilena, a través de la Subsecretaría de Desarrollo Regional y Administrativo –en adelante, SUBDERE–, y coordinada por el Comité Interministerial de Zonas Extremas –en adelante, CIDEZE–, se desarrolló una política pública para territorios especiales aislados; la cual tiene por objetivo:
- Materializar el deber del Estado chileno para promover la integración armónica de todos los sectores de la nación y asegurar el derecho de todos sus habitantes a participar con igualdad de oportunidades en la vida nacional, independiente de su lugar de residencia. (CIDEZE y SUBDERE 2007, 37)
Posteriormente, "nuevos estudios dieron cuenta que la condición de aislamiento, no necesariamente afectaba a estas zonas lejanas al núcleo central" (Biblioteca Nacional del Congreso - BCN 2011, 1). Por ende, existe un cambio de enfoque en el que solo se contemplan las zonas extremas para integrarlas como política de las "localidades" aisladas. A partir de esto, se puede advertir cómo este tema ha cobrado relevancia desde el punto de vista del Estado, con respecto a hacerse cargo de territorios que antes no estaban priorizados desde esta perspectiva.
Estos esfuerzos de cambio de enfoque pueden verse plasmados, por una parte, a través del Decreto 608/2010 de la República de Chile, que establece la Política Nacional de Desarrollo de Localidades Aisladas2 (a nivel central). En el marco de la implementación de dicha política nacional, la SUBDERE comenzó a gestionar el tema mediante la Circular n.° 112 del Ministerio del Interior (julio del 2011), en la que indica que los diversos GORE del país deben comenzar a generar sus propias políticas públicas regionales en relación con esta temática3. Por otra parte, las regiones cuentan con un Sistema Regional de Planificación –en adelante, SRP–4, a través del cual puede darse curso a la implementación de dicha política.
Marco conceptual
Para el desarrollo de la presente investigación se ha estimado como un primer eslabón desarrollar con mayor precisión la conceptualización con respecto a lo que se entenderá por 'entidades aisladas'. Para ello se ha considerado definir cuatro conceptos que dan soporte a la definición utilizada en el presente estudio: asentamiento humano, localidad rural, aislamiento y aislamiento territorial.
Asentamiento humano
Este concepto se entiende como "[...] el establecimiento de una persona o una comunidad sobre un territorio determinado. Estos pueden ser clasificados de diferentes formas: por su tamaño, su tipo de actividad o condición" (Verón 2010). Por su parte, la Oficina Nacional de Estadísticas de Cuba - ONE, lo aborda de la siguiente manera:
- Se considera como toda manifestación o presencia de personas con residencia fija en un lugar determinado, a partir del cual desarrollan sus actividades vitales. Constituye la expresión física del poblamiento y puede ser según el nivel de concentración de las viviendas de dos tipos, concentrado y disperso. (2006, 3)
Entidad rural
Debido a que el estudio se enmarca en la Política de la RMS, se consideran los conceptos oficiales de la institucionalidad chilena desarrollados por el Instituto Nacional de Estadísticas –en adelante, INE–. En este sentido, los dos tipos de asentamientos humanos (entidades rurales) más representativos son:
- Aldea (Al): Asentamiento humano, concentrado con una población que fluctúa entre 301 y 1.000 habitantes; excepcionalmente se asimilan a Aldeas, los centros de turismo y recreación entre 75 y 250 viviendas concentradas, que no alcanzan el requisito para ser considerados como pueblo. [...] Caserío (Cs): Asentamiento humano con nombre propio que posee 3 viviendas o más cercanas entre sí, con menos de 301 habitantes y que no forma parte de otra entidad. (INE 2005, 11)
Aislamiento
Antes de conceptualizar el aislamiento territorial, se considera necesario el conocer la noción de 'aislamiento' en un sentido más general. Así, Espasa lo define como: "Separación de una persona, una población o una cosa, dejándolas solas o incomunicadas. [...] falta de comunicación, soledad" (2005).
Aislamiento territorial
Al igual que en el caso de la entidad rural, para el presente concepto se considera la definición propuesta por la SUBDERE:
- Se refiere a un lugar (espacio físico) que se encuentra: lejos, apartado, desconectado, con difícil acceso, incomunicado, o en situación de isla. En general, se percibe como una condición "negativa". El aislamiento es determinado por factores físicos, de localización y demográficos y puede ser medido de forma que indique el grado o "nivel" de aislamiento. (2010, 7)
Otra definición a tener en cuenta es la establecida por el Banco Mundial (2002), que considera al aislamiento como:
- [...] una restricción al desarrollo económico y social ya que muchos factores para una vida satisfactoria como la alimentación, educación, salud, comercio y empleo están disponibles únicamente si existen infraestructura y medios adecuados para movilizar personas, está ligado con su habilidad para trasladarse de un lugar a otro y definir sus derechos a ingresos, oportunidades de empleo, educación y salud. (Citado en GORE Los Lagos 2008, 5)
Localidad aislada
Según el Decreto n.° 608 de la SUBDERE, las localidades aisladas son: "[...] aquellas que se encuentren geográficamente en dicha condición, tengan dificultades de accesibilidad y conectividad física, dispongan de muy baja densidad poblacional, presenten dispersión en la distribución territorial de sus habitantes, y que muestren baja presencia y cobertura de servicios básicos y públicos." (2010, 2).
Entidad aislada
Considerando los conceptos descritos, para el presente estudio se propone la siguiente definición de 'entidad aislada': asentamiento humano de característica rural que presenta condiciones o tendencias hacia el aislamiento, lo que implica una ausencia o dificultad con respecto a la conectividad y a la accesibilidad de las personas que allí habitan. Dicha situación puede estar condicionada por factores como: la distancia, el clima, el relieve, el agua, las actividades económicas y la localización de la población.
En la figura 1 se advierte la construcción de esta definición, a partir de los conceptos anteriormente revisados.

Problema y objetivos de la investigación
Desde el punto de vista de la formulación del problema de investigación, se planteó que en la RMS no existe un conocimiento integrado de cuáles son sus entidades rurales con mayor grado de aislamiento, y que, por lo tanto, tampoco se ha hecho un trabajo sistemático que considere sus problemas y vulnerabilidades de manera que pueda ser objeto de una intervención de política pública.
En relación con lo señalado, se plantean las siguientes preguntas guía:
-
¿Cuáles son las entidades rurales que tienen una condición de mayor aislamiento en la RMS?
-
¿Cuáles son los principales problemas de estas entidades en función de su localización?
-
¿Cómo se distribuyen territorialmente estos problemas?
-
Para resolver las anteriores preguntas, se plantearon los siguientes objetivos de investigación:
-
Determinar y localizar las entidades rurales con mayor grado de aislamiento en la RMS.
-
Identificar la vulnerabilidad de las entidades rurales con mayor grado de aislamiento, en relación con problemas de carácter estructural y de tipo secundario.
-
Realizar una propuesta inicial de objetivos que tiendan al desarrollo territorial de los asentamientos humanos con mayor grado de aislamiento.
Metodología
Para el primer objetivo se propuso desarrollar un índice de aislamiento físico-geográfico –en adelante, IAFG–, y para ello se utilizó un modelo basado en dos componentes, con sus respectivos factores y subfactores. Cabe señalar que, para la elaboración de la presente metodología, se consideraron dos estudios a modo de referencias generales: El primero es de Arenas, Quense y Salazar (1999), y el segundo del Ministerio del Interior y la SUBDERE (1999). Otro elemento considerado es que con el IAFG se buscó determinar el grado de aislamiento, mas no la vulnerabilidad de los asentamientos humanos.
En la tabla 1 puede observarse el componente 1 (Condición estructural) relacionado con todos aquellos factores asociados a las características físicas del territorio (sean naturales o antrópicas) junto con la población.

Con respecto a cada subfactor, puede indicarse que el dominio morfoclimático tiene relación con las grandes estructuras que configuran el paisaje del relieve y el clima de la región; sus categorías de análisis son: alta montaña, serranías y valle. Después aparece conectividad 1, en la que se considera la carpeta y las vías de acceso principal al asentamiento; su categorización es: una vía de tierra, un ripio, un pavimentado, dos vías de pavimento y una autopista. Posteriormente, está el subfactor conectividad 2, que se refiere a la distancia que debe recorrerse desde el asentamiento a una autopista, siguiendo la ruta de menor desplazamiento. El cuarto subfactor corresponde a la población total, que considera el número de esta; y a continuación está el porcentaje que representa a la población femenina, ambos relevantes en términos del desplazamiento en el territorio. Finalmente, para el factor de movilidad se considera el subfactor disponibilidad de vehículo privado5, debido a que es un buen indicador de desplazamiento, independiente del que realice la población ante situaciones de catástrofes de origen natural.
En la tabla 2 se observa el componente 2 (Accesibilidad a servicios), en donde se considera la distancia que media entre los servicios más básicos (salud y educación) y la población, y la que hay hasta la capital comunal, en donde se prestan todos los servicios asociados a la municipalidad respectiva (registro civil, prestaciones sociales, permisos y patentes).

Por otra parte, se consideró al mercado urbano, que representa aquellos asentamientos que tienen un grado mayor de cantidad y diversidad de actividades económicas en una ciudad, abordando desde las actividades más básicas (kioscos) a las más especializadas (bancos, servicios financieros, establecimientos de educación superior, entre otras). Con respecto al subfactor ciudad con alta especialización regional, para definir la especialización funcional se utilizó la información del índice de Davies6, que se aplicó a todos los asentamientos con más de 2.000 habitantes en la RMS (GORE RMS 2009, 25). La categorización "alta" responde a que el valor de las ciudades en relación con el índice supera el valor de 500, establecido como umbral. Una vez aplicado el modelo del IAFG a cada una de las entidades rurales (asentamientos), se asignó un valor, cuyo rango y categorización se indican en la tabla 3.

Finalmente, para definir qué asentamientos están en una condición de aislamiento, se aplicó un análisis estadístico a través de la desviación estándar, y si elpuntaje z de cada entidad era mayor a 1, entonces se consideraba como "entidad aislada". La localización de estos asentamientos humanos se realizó a través de la obtención de información georreferenciada en formato *.SHP proporcionada por la SUBDERE.
Para el segundo objetivo, se trabajó en un levantamiento de información mediante una encuesta semicerrada (fuente primaria de información), aplicada a los actores clave del nivel comunal: directores de las Secretarías Comunales de Planificación - SECPLA, asesores urbanos y los directores de Desarrollo Comunitario - DIDECO, de las 23 comunas con presencia de entidades rurales en la RMS. Se realizaron ocho talleres territoriales con los municipios de la región para la aplicación de la encuesta, en los que además se validaron tanto la metodología del modelo IAFG, como la identificación de las entidades rurales con mayor grado de aislamiento. A partir de dicha encuesta, se procedió a la recopilación y sistematización de la estructura de la información, a partir del método análisis de contenido y marco lógico, para identificar las causas de los problemas territoriales.
Finalmente, para el tercer objetivo se empleó el método de marco lógico, cuyo propósito consistía en crear un árbol de objetivos. Este es "una representación de la situación esperada al resolver el problema. Para construirlo se parte del árbol del problema [...] [y, para efectos de la construcción metodológica,] todo lo negativo se volverá positivo" (Instituto Latinoamericano y del Caribe de Planificación Económica y Social –en adelante, ILPES– 2004, 39).
Desde un punto de vista gramatical, los verbos empleados en los objetivos son la transformación en "positivo" del enunciado de los problemas señalados en cada uno de los territorios de la región. De esta forma: "las causas [del problema] se convertirán en los medios con que deberemos contar para poder solucionar efectivamente el problema (por ejemplo, faltan computadoras se transformará en hay suficientes computadoras)" (ILPES 2004, 39).
Resultados
Establecimiento e identificación del área de estudio
Antes de la determinación de las entidades rurales aisladas, es necesario conocer los antecedentes estadísticos generales, en los que se enmarca el estudio y que identifican dichas entidades.
A partir de la tabla 4, pueden apreciarse datos del contexto estudiado, destacándose en negrita los asentamientos con categoría de aldea y caserío, entidades rurales a las que se les aplicó el modelo IAFG. Se observa que las aldeas y caseríos suman un total, en la RMS, de 500 asentamientos rurales, y que, al 2002, alcanzaban una población de 91.492 habitantes, con 26.038 viviendas.

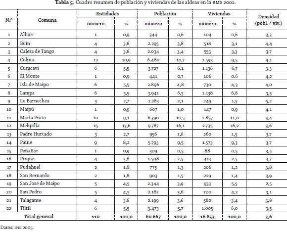
Para el 2002, las aldeas suman un total de 110 entidades con poco más de 60.000 habitantes (INE 2005). Se observa en la tabla 5 una concentración, principalmente en cuatro comunas: Colina, María Pinto, Melipilla y Paine. Estas conforman el 41,8% del total de asentamientos, el 46,8% de la población y el 46% de las viviendas. Desde el punto de vista de la densidad poblacional, se destacan los casos de las comunas de Lo Barnechea (valor más alto) y San José de Maipo (valor más bajo). El primer caso se explica porque dos, de las tres aldeas identificadas, tienen una vocación funcional minera, ya que se asocian con la mina Disputada de Las Condes, concentrando un número relevante de población, en relación con las viviendas disponibles del campamento minero. El segundo caso se explica porque las entidades rurales identificadas tienen una vocación de turismo, tanto invernal (ski) como estival, por encontrarse en un paisaje de alta montaña.

En la figura 2 se observa la distribución espacial de los 110 asentamientos con categoría de aldea; se aprecia una concentración hacia el sector occidental y sur de la región (de características rurales) en oposición al sector oriental, en donde se encuentra la cordillera de Los Andes.

En la tabla 6 se encuentra la distribución de los 390 caseríos, totalizando casi 31.000 habitantes para el 2002 (INE 2005). Desde el punto de vista de la concentración espacial, se identifican principalmente siete comunas: Buin, Calera de Tango, Colina, Melipilla, Paine, San Bernardo y San José de Maipo. Estas conforman el 56,1% del total de asentamientos, el 52,5% de la población y el 50,2% de las viviendas. Con respecto a la densidad poblacional, nuevamente se destacan las comunas de Lo Barnechea, San José de Maipo y se agrega Tiltil. Todo ello se explica porque los caseríos identificados tienen una vocación de turismo estival, por encontrarse en un paisaje de alta y media montaña.

En la figura 3 se presenta la distribución espacial de los 390 asentamientos georreferenciados con categoría de caserío; se aprecia una dispersión hacia los ejes norte, occidental y sur de la región (de características rurales, al igual que en el anterior caso de las aldeas). En el sector oriental de la RMS, se observa una disposición lineal de entidades que van siguiendo una ruta desde la Metrópoli de Santiago hasta el Cajón del Maipo, en plena cordillera de Los Andes.

Determinación de las entidades rurales aisladas
En la tabla 7 se encuentran los principales datos de las entidades rurales con mayor grado de aislamiento identificadas para la RMS, según el IAFG. De las 23 comunas en donde había presencia de entidades rurales (tabla 6), solo en 12 de estas se localizan los 96 asentamientos más aislados. En términos de su concentración, pueden advertirse dos comunas: San José de Maipo y Melipilla, que tienen un total del 45,9% de las entidades rurales mencionadas. Respecto a las provincias, la que más presencia tiene es Melipilla, con 44 de estas, que representan un 45,8% del total.

En las figuras 4 y 5, se advierte la distribución espacial de las aldeas y caseríos (respectivamente) con mayor grado de aislamiento en la región. Particularmente en los caseríos se ha estimado conveniente destacar, con una línea segmentada (ver simbología de la figura 5), la existencia de patrones de concentración espacial de las entidades más aisladas, los cuales superan los límites político-administrativos de las comunas. Estos territorios "cruzan" dichos límites, generando una concentración de entidades más aisladas de carácter "intercomunal"; entre los que pueden mencionarse los casos de: Melipilla-San Pedro (sector sur-poniente de la región), Colina-Tiltil (sector norte de la región) y Melipilla-Curacaví (sector poniente de la región).


Identificación de la vulnerabilidad de las entidades rurales aisladas
Durante el trabajo en terreno y la aplicación de las fichas en las 12 comunas en donde hay presencia de asentamientos rurales con mayor grado de aislamiento, se identificaron nueve problemas específicos –en adelante, PE–, que son los que se pueden apreciar en la tabla 8. Junto a cada uno de ellos se realizó un trabajo de categorización, asociado a una dimensión de análisis cuyo propósito fue el ordenamiento de estos, lo cual es sustentado en el desarrollo de sus causas.

En relación con las causas de los PE, las figuras 6, 7, 8, 9, 10 y 11 dan cuenta de una estructura jerárquica (árbol de las causas del problema) en la que pueden apreciarse tres eslabones: el inferior corresponde a las causas propiamente tales, en el que se observa que existen casos de "causas comunes" a PE; el segundo eslabón (intermedio) corresponde a la identificación de los PE ya identificados anteriormente (según la dimensión de análisis), manteniéndose el código señalado en la tabla 8; y, finalmente, el eslabón superior se plasma a partir del análisis de todos los diversos PE presentados por los actores locales. De esta forma, considerando la multiplicidad de las dimensiones del problema, se llega a determinar que el problema general es: una alta vulnerabilidad hídrica y de infraestructura en las entidades aisladas de la RMS. Es de destacarse la falta de satisfacción existente acerca del uso de un recurso estratégico (agua) y la carencia con respecto a la infraestructura en general (de distinto tipo). Con esto, puede deducirse que la problemática de las entidades rurales más aisladas es de tipo multidimensional.






Una vez indicada la identificación del problema general y de los problemas específicos, se pasó a conocer cómo estos se presentan y se priorizan en las diversas comunas de la región que tienen asentamientos en condición de mayor aislamiento (tabla 9). Con esto puede deducirse que la problemática de las entidades rurales más aisladas es territorialmente diferenciada.

Propuesta inicial de objetivos para el desarrollo territorial
Los objetivos de desarrollo territorial –en adelante, ODT– que se proponen a continuación (figura 12) surgen como respuesta a la transformación positiva de cada uno de los PE señalados anteriormente.

Una vez esquematizado y planteado este sistema de objetivos, se dio paso a la asociación de la posible intervención territorial, con las respectivas líneas de acción, tal como se advierte en la tabla 10.

Para mayor comprensión de estos, a continuación se realiza una breve descripción de cada ODT. Para ello es importante considerar la referencia territorial de las comunas identificadas tanto en la tabla 9 como en la tabla 10.
ODT1. Aumentar la cobertura de transporte público rural: para conseguir este objetivo puede realizarse un trabajo en conjunto entre el GORE RMS y la Secretaria Regional Ministerial –en adelante, SEREMI– de Transporte de la RMS, con el fin de analizar la situación del transporte público rural. En este sentido, se sugiere hacer un diagnóstico compartido sobre las áreas de las entidades rurales aisladas que no tienen cobertura, y ver la posibilidad de hacer licitaciones y/o de ampliar la cobertura de servicios que ya estén en funcionamiento.
ODT2. Disminuir los costos financieros ($) del transporte público rural: esto tiene directa relación con el objetivo anterior, tanto desde el punto de vista de las instituciones que participan, como en el modo para hacerse cargo del problema. Para este caso en particular, se estudiaría la posibilidad de aplicar un subsidio al pasaje, para incentivar y/o promover que las empresas desarrollen su actividad en territorios que actualmente están al margen de este servicio por los altos costos monetarios asociados.
ODT3. Construir y mantener más caminos rurales en zonas aisladas: este objetivo está directamente relacionado con el trabajo que realiza la Dirección Regional de Vialidad del Ministerio de Obras Públicas –en adelante, MOP–. Se debe tender a analizar la priorización que está desarrollando dicha dirección en relación con su plan regional y contrastar con las brechas territoriales identificadas en este trabajo. Posteriormente deben contemplarse aquellas IDI que se localicen en las zonas aisladas, para la construcción o mantenimiento de caminos en los casos que corresponda.
ODT4. Mejorar las condiciones actuales de saneamiento en viviendas: debido a la existencia de problemas relacionados con el saneamiento, este objetivo apunta a mejorar dichas condiciones mediante la construcción de nuevas viviendas, o mediante el mejoramiento de servicios asociados con el saneamiento, como la conexión a alcantarillado y a agua potable para consumo humano. Desde el punto de vista de los servicios públicos, tanto el GORE RMS como el Servicio de Vivienda y Urbanización - SERVIU, tienen atribuciones, por lo cual habrá que planificar la intervención territorial de manera concertada e integrada.
ODT5. Mejorar la distribución del agua en las localidades: este objetivo apunta directamente a aspectos referidos con el estado de la normativa actual y con el mercado de aguas, tal como puede deducirse de las causas del problema asociado. Desde el punto de vista de la gestión territorial, habría que buscar las herramientas para que la institucionalidad pública regional (particularmente el GORE RMS) pueda invertir comprando derechos de agua en pro de aquellas comunidades que habitan localidades en donde no se dispone de este recurso.
ODT6. Aumentar la cobertura del agua potable rural –en adelante, APR–: este objetivo está directamente relacionado con el trabajo que realiza la Dirección Regional de Obras Hidráulicas del MOP y la coordinación del GORE RMS. Se debe tender a analizar la priorización que está desarrollando dicha dirección en relación con su plan regional y contrastar con las brechas territoriales identificadas en este trabajo. Posteriormente se deben contemplar aquellas IDI que se localicen en las zonas aisladas, para la ejecución de proyectos de construcción o mantenimiento de APR según los casos que correspondan.
ODT7. Mejorar la calidad y la disponibilidad de agua: este objetivo implica dos ámbitos: la calidad y la disponibilidad. En cuanto a la calidad, se propone tender hacia una mayor fiscalización sanitaria de aquellos proyectos que generen un fuerte impacto en las propiedades del agua, sobre todo de aquellas actividades económicas relacionadas con el sector de la agricultura y la ganadería (intensiva), que generan externalidades negativas sobre este recurso. Con respecto a la disponibilidad, esta puede verse plasmada en la implementación del ODT6.
ODT8. Dotar de una red de alumbrado público a las zonas rurales habitadas: al igual que el ODT3 y el ODT4, este objetivo responde a una demanda específica. Su importancia radica en que la implementación lleva consigo la externalidad positiva de mejorar las condiciones de seguridad de la población, tanto en términos de seguridad en el tránsito como también para evitar posibles focos de delincuencia. Desde el punto de vista de los servicios públicos, el GORE RMS es la institución que debe coordinar e invertir en la materia a nivel regional con el apoyo de los municipios.
ODT9. Aumentar la cobertura de establecimientos de educación y salud: objetivo relacionado en su naturaleza al ODT6. Dada sus causas, la resolución del problema, por una parte, va de la mano del mejoramiento y construcción de accesos (ODT3) y vías para llegar a los establecimientos actuales. Por otra parte, la solución puede estar relacionada con la construcción de los establecimientos de salud y educación en los mismos asentamientos humanos. Para optar por una de las dos opciones, es necesario que exista una fuerte coordinación entre la autoridad regional y los servicios que tienen atribuciones en estas materias: SEREMI Salud, SEREMI Educación y la Dirección Regional de Vialidad del MOP.
Conclusiones
El presente estudio, debido a la diversidad de problemas asociados, permite establecer que su problemática es de tipo multidimensional y que su distribución territorial en la región es claramente diferenciada. En este sentido, la propuesta de ODT aborda esta complejidad desde el punto de vista de la priorización tanto espacial como temporal.
Además se concluye que el aislamiento territorial de entidades rurales es un fenómeno espacial que puede manifestarse en cualquier tipo de territorio, incluso en regiones con áreas metropolitanas, como en el caso analizado en este estudio; lo cual, por cierto, depende del enfoque de análisis y de la escala asociada.
Desde una perspectiva de contexto tanto institucional como temporal, se sugiere que en esta materia pueda irse avanzando bajo la responsabilidad del Estado en tres áreas: en primer lugar, es necesario continuar con su actualización a través de estudios de diagnóstico o línea base, para así realizar un seguimiento y evaluar si existe, o no, progreso; en segundo lugar, considerar la incorporación del criterio "aislamiento" como guía para la evaluación de proyectos bajo el Sistema Nacional de Inversiones, y, de esta forma, cada iniciativa de inversión presentada a dicho sistema puede aprobarse técnicamente, complementando la rentabilidad social con el aislamiento de la población, y, en tercer y último lugar, asociarlo con los instrumentos de planificación regional estratégica, como son la ERD y el Plan Regional de Ordenamiento Territorial - PROT, pues su relación es necesaria para lograr una armonización entre los fenómenos espaciales territoriales contemporáneos y la intervención del Gobierno Regional en pos de su desarrollo, tal como lo mandata la "Ley Orgánica Constitucional sobre Gobierno y Administración Regional 19.175".
Desde el punto de vista metodológico, se señala que el uso del modelo IAFG como método para la determinación de las entidades rurales con mayor grado de aislamiento resultó ser eficaz, ya que, a la hora de cotejar los datos con los actores locales, se observa coherencia entre los resultados del estudio y las entidades definidas por dichos actores con base en su experiencia en gestión territorial local. Además, puede agregarse que los factores de localización más incidentes en el aislamiento físico-geográfico son: el dominio morfoclimático y la conectividad vial.
En relación con lo anterior, es pertinente indicar que el uso del Sistema de Información Geográfica - SIG, es una herramienta útil a la hora de realizar el análisis espacial, permitiendo definir de buena manera los valores del IAFG para cada asentamiento.
Pie de página
1Entre estos se destacan los realizados por Arenas, Quense y Salazar (1999), y el Ministerio del Interior y la SUBDERE (1999).2Los principios de esta política son: buscar la equidad social, aspirar a lograr una equidad territorial, ser subsidiaria, ser excepcional, ser soberana y buscar fortalecer la descentralización.
3En cuanto al instrumento Políticas Públicas Regionales –en adelante, PPR–, es necesario indicar que se debe elaborar y formular, en las divisiones de Planificación y Desarrollo Regional de los quince gobiernos regionales en Chile, una Propuesta de Política Pública Regional de Localidades Aisladas, para presentarla posteriormente al consejo regional respectivo de cada región.
4A partir de la transferencia de competencias a los gobiernos regionales en materia de planificación regional (2007) y ordenamiento territorial (2008), el Gobierno Regional Metropolitano de Santiago –en adelante, GORE RMS– creó y formalizó (a través del establecimiento de nuevas funciones) el SRP de la Región Metropolitana de Santiago –en adelante, RMS–, el cual está constituido por los siguientes instrumentos: 1. Instrumentos de planificación estratégica regional: a) estrategia regional de desarrollo –en adelante, ERD–, b) plan regional de ordenamiento territorial y c) PPR; 2. Instrumentos de planificación de la inversión regional: a) convenios de programación y b) anteproyecto regional de inversiones -ARI.
5Vehículos/habitantes.
6Dicho índice sintetiza la cantidad y diversidad de actividades presentes en un asentamiento urbano. La fórmula de cálculo es: ID = (Σ a/A) * 100. En donde: ID = Índice de Davies, a = Frecuencia de actividad i en entidad urbana (ciudad o pueblo), y A = Frecuencia de actividad i en el conjunto del sistema urbano analizado.
Referencias
Arenas, Federico, Jorge Quense y Alejandro Salazar. 1999. El aislamiento como desafío para el ordenamiento territorial: el caso de las comunas de Chile. Revista de Geografía Norte Grande 26:105-111. Santiago de Chile. ISSN 0718-3402. [ Links ]
Biblioteca Nacional del Congreso (BCN). 2011. Política nacional para el desarrollo de localidades aisladas. BCN Minuta de Trabajo. Valparaíso, Chile. [ Links ]
Comité Interministerial de Zonas Extremas (CIDEZE) y Subsecretaría de Desarrollo Regional y Administrativo (SUBDERE). 2007. Política pública para territorios especiales aislados: documento base. Santiago de Chile. http://www.subdere.gov.cl/sites/default/files/articles-67660_recurso_2.pdf (consultado en octubre del 2011). [ Links ]
Espasa. 2005. Diccionario de la lengua española. España: Espasa-Calpe. [ Links ]
Gobierno Regional Metropolitano de Santiago (GORE RMS). 2009. Atlas Regional de la Región Metropolitana de Santiago. Santiago de Chile. [ Links ]
Gobierno Regional Región de Los Lagos (GORE Los Lagos). 2008. Informe localidades aisladas -región de Los Lagos- para la política de territorios y zonas especiales. Puerto Montt, Chile. [ Links ]
Instituto Latinoamericano y del Caribe de Planificación Económica y Social (ILPES). 2004. Metodología del marco lógico. Boletín del Instituto n.° 15. Santiago de Chile. http://www.eclac.cl/publicaciones/xml/4/20664/boletin15.pdf (consultado en octubre del 2011). [ Links ]
Instituto Nacional de Estadísticas (INE). 2005. Chile: ciudades, pueblos, aldeas y caseríos. Censo 2002. Santiago de Chile. [ Links ]
Oficina Nacional de Estadísticas (ONE). 2006. Asentamientos humanos urbanos y rurales concentrados. La Habana, Cuba. http://www.one.cu/publicaciones/03estadisticassociales/asentamientoshumanos/asentamiento_humanos.pdf (consultado en octubre del 2011). [ Links ]
Subsecretaría de Desarrollo Regional y Administrativo (SUB-DERE). 1999. Identificación de Territorios Aislados. En Integración de territorios aislados: diagnostico y propuestas, eds. Ministerio del Interior y SUBDERE, 29-33. Santiago de Chile. [ Links ]
Subsecretaría de Desarrollo Regional y Administrativo (SUBDERE). 2010. Decreto n.° 608: Una política nacional de localidades aisladas. Santiago de Chile. http://www.subdere.gov.cl/documentacion/decreto-n%C2%BA-608-una-pol%C3%ADtica-nacional-de-desarrollo-de-localidades-aisladas-6 (consultado en octubre del 2011). [ Links ]
Verón, Gonzalo. 2010. El medio urbano y rural. Argentina. http://www.slideshare.net/gonzaveron/los-asentamientos-humanos (consultado en octubre del 2011). [ Links ]














