Services on Demand
Journal
Article
Indicators
-
Cited by SciELO -
Access statistics
Related links
-
Cited by Google -
Similars in
SciELO -
Similars in Google
Share
Cuadernos de Geografía: Revista Colombiana de Geografía
Print version ISSN 0121-215XOn-line version ISSN 2256-5442
Cuad. Geogr. Rev. Colomb. Geogr. vol.24 no.2 Bogotá July/Dec. 2015
https://doi.org/10.15446/rcdg.v24n2.50212
DOI: http://dx.doi.org/10.15446/rcdg.v24n2.50212
Análisis de umbrales de precipitación de procesos de remoción en masa, en laderas urbanizadas de la costa de Chile centro-sur
Análise de limiares de precipitação de processos de remoção em massa, em encostas urbanizadas do litoral do Chile centro-sul
An Analysis of Precipitation Thresholds of Landslide Processes on Urbanized Slopes of the Central- Southern Chilean Coast
Pablo Andrés López Filun*
Pontificia Universidad Católica de Chile, Santiago - Chile
*Geógrafo de la Universidad de Concepción (Chile, 2013). Diplomado en Geomática y estudiante de Maestría en Geografía y Geomática de la Pontificia Universidad Católica de Chile. Sus líneas de investigación son estudios de riesgos geomorfológicos en ambientes litorales y andinos, y métodos geomáticos aplicados al modelamiento espacial de riesgos naturales. Actualmente es colaborador y asistente de investigación del Instituto de Geografía de la Pontificia Universidad Católica de Chile. Dirección postal: Instituto de Geografía, Pontificia Universidad Católica de Chile. Campus San Joaquín, Avda. Vicuña Mackenna 4860. Código postal: 6904411 - casilla 306, correo 22. Macul, Santiago, Chile. Correo electrónico: palopez6@uc.cl
Artículo de investigación sobre el estudio de amenazas y riesgos naturales, donde se determinaron y analizaron los umbrales de precipitación de procesos de remoción en masa, desencadenados en laderas fuertemente urbanizadas de la costa de Chile centro-sur.
Como citar este artículo: López Filun, Pablo André. s2015. "Análisis de umbrales de precipitación de procesos de remoción en masa, en las eras urbanizadas de la costa de Chile centro-sur". Cuadernos de Geografía: Revista Colombiana de Geografía 24 (2): 93- 112. DOI: 10.15446/rcdg.v24n2.50212.
Recibido: 13 de agosto de 2014. Aceptado: 2 de octubre de 2014.
Resumen
Este artículo refleja el análisis del registro histórico de precipitación en 24 horas, asociado a procesos de remoción en masa, desencadenados durante 1990-1999 y 2000-2013, en laderas urbanizadas de la ciudad de Talcahuano, Chile centro-sur, para lo cual se analizaron umbrales de precipitación, mediante la relación intensidad-duración (I-D) y se determinó el periodo de retorno y la probabilidad de excedencia. El resultado indicó que a partir de un periodo de retorno de 4 años existe un 75% de probabilidad de exceder, bajo las condiciones climáticas registradas en los años mencionados, una precipitación menor o igual a 85,1 mm en 24 horas. La precipitación concentrada en un tiempo menor a 4 horas sería el umbral crítico de desestabilización, con intensidades del orden de 26,5 mm.
Palabras clave: gestión del riesgo, planificación territorial, remoción en masa, riesgo natural, umbral de precipitación.
Resumo
Este artigo reflete a análise do registro histórico de precipitação em 24 horas, associado com processos de remoção em massa, desencadeados durante 1990-1999 e 2000-2013, em encostas urbanizadas da cidade de Talcahuano, centro-sul do Chile; para isso, analisaram-se limiares de precipitação mediante a relação intensidade-duração (I-D) e determinouse o período de retorno e a probabilidade de excedência. O resultado indicou que, a partir de um período de quatro anos, existe um 75% de probabilidade de exceder, sob as condições climáticas registradas nos anos mencionados, uma precipitação menor ou igual a 85,1 mm em 24 horas. A precipitação concentrada num tempo menor a quatro horas seria o limiar crítico de desestabilização, com intensidades da ordem de 26,5 mm.
Palavras-chave: gestão do risco, planejamento territorial, remoção em massa, risco natural, limiar de precipitação.
Abstract
This article offers an analysis of historical records of the 24-hour precipitation levels associated with landslide processes occurring from 1990-1999 and 2000- 2013 on urbanized slopes of the city of Talcahuano in central-southern Chile. Precipitation thresholds were analyzed using intensity-duration (I-D) ratios, and return periods and probabilities of surpassing limits were determined. The results indicated that with a return period of four years, there is a 75% probability under the climatic conditions recorded in those years of surpassing a precipitation level of 85.1 mm in 24 hours. The precipitation concentrated in a time period shorter than four hours represents the critical threshold of destabilization, with intensities on the order of 26.5 mm.
Keywords: risk management, regional planning, landslide, natural risk, precipitation threshold.
Introducción
Los procesos de remoción en masa desencadenados por precipitaciones causan considerables pérdidas humanas, económicas y materiales en el mundo, especialmente en áreas intensamente urbanizadas (Pereira et ál. 2014; Tarolli et ál. 2011). Estos efectos se han incrementado en las últimas décadas, debido a la expansión urbana y a la localización de actividades económicas en áreas susceptibles de deslizamientos, aumentando la recurrencia y los daños. Además, la variabilidad climática y el cambio ambiental global han provocado variaciones en los patrones climáticos conocidos, generando situaciones de desastres por amenazas hidrometeorológicas, especialmente deslizamientos (Crozier 2010; Glade y Crozier 2005; IPPC 2007).
Por esta razón, se han hecho intentos para comprender mejor la relación entre la precipitación y el desarrollo de procesos de remoción en masa (Hong et ál. 2005; Ibsen y Casagli 2004), con el fin de diseñar sistemas de seguimiento, pronóstico y alerta temprana, que permitan controlar y reducir los efectos de estos procesos (Guzzetti et ál. 1999; Jakob et ál. 2012 citado en Segoni et ál. 2014). En tal sentido, algunos estudios se han enfocado en la relación intensidad-duración (I-D) de la precipitación en diferentes climas y configuraciones morfológicas (Caine 1980; Chleborad 2001; Crozier 1999; Dahal y Hasegawa 2008; Guidicini y Iwasa 1977; Guzzetti et ál. 2007, 2008; Li et ál. 2011; Saito, Nakayama y Matsuyama 2010; Wieczorek y Guzzetti 1999; Yoshida, Kuwano y Ruwano 1991). De esta forma, aunque los procesos de remoción en masa son condicionados por una variedad de factores de difícil determinación, existe consenso en que su desencadenamiento ocurre cuando se presentan energías capaces de iniciar el movimiento (Alcántara-Ayala 1999, 2004; Peruccacci et ál. 2012). Estas corresponden en áreas de climas templado-húmedos, expresados en umbrales de precipitación (Cascini, Cuomo y Della Sala 2011).
En Chile, los procesos de remoción en masa son fenómenos comunes, dado el relieve montañoso andino y el desarrollo de cuencas costeras. Durante décadas, han provocado cuantiosos daños y pérdidas de vidas humanas (Hauser 1997, 2000; Naranjo y Varela 1996). Estos procesos son usualmente generados por precipitaciones asociadas a anomalías climáticas de diferentes umbrales, que varían según el régimen climático (Sepúlveda, Rebolledo y Vargas 2006). Por ejemplo, el mayor evento desencadenado por precipitaciones en una ladera urbanizada, localizada en un ambiente costero, ocurrió en la ciudad de Antofagasta, norte de Chile, el 18 de junio de 1991, donde se desencadenó un flujo de barro que dejó 91 víctimas fatales y 16 desaparecidos (Van Sint Jan 1994, citado en Wang y Sassa 2006), como consecuencia de la ocurrencia de precipitaciones anómalas asociadas al fenómeno El Niño (Vargas et ál. 2000, citado en Cecioni et ál. 2009), que alcanzaron hasta 24 mm/h y una acumulación total de 42 mm en 3 a 4 horas (Garreaud y Rutllant 1996, citado en Sepúlveda, Rebolledo y Vargas 2006).
En la costa de Chile centro-sur, el área metropolitana de la ciudad de Concepción (36 ºS) es uno de los centros urbanos más expuestos a peligros naturales asociados a eventos climáticos, entre ellos los procesos de remoción en masa (Mardones, Echeverría y Jara 2006). En ella coexisten equilibrios morfodinámicos vinculados a factores litológicos y geomorfológicos que se ven muy alterados por un régimen climático de tipo mediterráneo con gran influencia marítima (Peña, Tavares y Mardones 1993), el cual se encuentra condicionado por el desarrollo de fases extremas de precipitación, asociadas al fenómeno ENSO (Aceituno 1988; Rutllant y Fuenzalida 1991, citado en Escobar y Aceituno 1998), que contribuye en una fuerte variación de la precipitación de manera estacional y anual (Sohoulande Djebou, Singh y Frauenfeld 2014). Esto ocasiona una serie de impactos en el comportamiento geomorfológico de las vertientes, modificando sus condiciones de estabilidad (Borgatti y Soldati 2013).
Debido a la presión demográfica, esta zona ha experimentado una irregular ocupación del espacio costero, aumentado la demanda de uso de suelo en áreas de mucha peligrosidad natural (Di Martire et ál. 2012), especialmente en laderas con pendientes que superan los 20º y que, según López (2013), concentran la mayor cantidad de procesos de remoción en masa en estado activo, con movimientos que aumentan sus grados de actividad, durante los meses de invierno, principalmente entre junio y agosto, meses que según Peña, Tabares y Mardones (1993) concentran la mayor intensidad de precipitaciones. El último evento de precipitación extrema, del 26 de junio del 2005, donde, en 20 horas, precipitaron 144,78 mm en el área metropolitana de Concepción, registró procesos de derrumbes y flujos de barro, que dejaron un muerto y 60 casas con daños importantes, principalmente en las laderas de la península de Tumbes (Mardones, Echeverría y Jara 2006). De esta forma, la costa urbanizada de Chile centro-sur, experimenta cambios importantes en cada episodio de lluvia excepcional, donde su configuración geomorfológica estimula el desarrollo de procesos de remoción en masa (Mardones, Rodríguez y Soto 1994), principalmente en periodos de fuerte precipitación.
El objetivo de esta investigación es determinar y analizar los umbrales de precipitación en el desarrollo de procesos de remoción en masa, en laderas densamente urbanizadas de la costa de Chile centro-sur, como un aporte al desarrollo de herramientas metodológicas para el control de este tipo de procesos, en la planificación del territorio, dado que las proyecciones sobre variabilidad climática y el uso inadecuado de laderas inestables, calculan que estos fenómenos podrían ser cada vez más recurrentes y dañinos para las personas.
Materiales y métodos
Contexto geográfico del área de estudio
El área de estudio comprende parte de la zona costera de Chile central, localizada entre los 36º38'S y los 36º45'S, correspondiente a la plataforma de abrasión marina de la península de Tumbes, ubicada entre las bahías de Concepción y San Vicente (figura 1). El área presenta un clima que se caracteriza por un régimen templado mediterráneo con una estación invernal lluviosa, una estación estival seca y cálida, y una fuerte variación interanual de la intensidad pluvial (Romero 1985, citado en Mardones, Echeverría y Jara 2006), con precipitaciones concentradas en invierno y un largo verano seco (Devynk 1970, citado en Alarcón 1995), donde la pluviometría muestra una gran variedad espacial, dependiendo de la exposición a los vientos húmedos y a la cercanía de la cordillera de la costa (Alarcón 1995). Las características geomorfológicas se conforman en un horst constituido por bloques solevantados por tectónica de fallas de una altitud máxima de 180 msnm, el cual está compuesto por rocas metamórficas de edad Paleozoica profundamente meteorizadas (Gajardo 1981, citado en Mardones 1994), en esta unidad la morfometría presenta vertientes cóncavo-convexas, con valores entre los 11º y 39º, en vertientes suaves y entre 31º y más de 40º en acantilados (Mardones 1994). Los sistemas morfogenéticos predominantes en el área son el viento, el mar, la corrosión salina y la humedad del aire, que ocasionan una alteración muy importante en sectores donde aflora la roca metamórfica (Mardones 1978). Estos procesos estimulan la acción de erosión en manto, zanjas y cárcavas (Devynk 1970; Romero 1985, citado en Peña 1995).
Metodología
El análisis de los umbrales de precipitación se efectuó mediante el registro de precipitación, en 24 horas, de los procesos de remoción en masa, desencadenados en los periodos 1990-1999 y 2000-2013, para lo cual se utilizó el catastro de recurrencia histórica de procesos de remoción en masa realizado por López (2013), para 1990-2013, el cual identificó el tipo de procesos desencadenado y el total de precipitación en 24 horas registrado para cada evento, obtenido del registro de prensa local y del Centro Meteorológico de la Armada de Chile de la ciudad de Talcahuano, ubicado dentro del área de dichos procesos. El total de precipitación en 24 horas permitió evaluar la probabilidad de excedencia asociada a un periodo de retorno, mediante la ecuación propuesta por Bedient y Huber (1992 citado en Vieux et ál. 2004) (ecuación 1), la cual determinó si las precipitaciones máximas registradas de cada evento podrían ser excedidas en un periodo de tiempo (T), como se expresa a continuación:
En este sentido, dado que la función de distribución de probabilidad F(X) (ecuación 2), correspondiente a la probabilidad de excedencia tomó valores iguales o inferiores a cierto número X, la probabilidad de que en un periodo de tiempo T, el valor de la variable aleatoria de precipitación sea excedida, está dada por la función complementaria de F(X) (ecuación 3), como se evidencia a continuación:
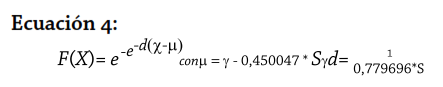
Una vez establecida la probabilidad, se determinó la cantidad de precipitación asociada al periodo de retorno T, para ello se utilizó la función de distribución de Gumbel (Gumbel 1994) (ecuación 4), distribución que calcula la probabilidad de que se produzca un evento extraordinario de precipitación intensa a partir de una muestra de datos, en este caso, la cantidad de precipitación en 24 horas, registrada en el catastro de recurrencia histórica realizado por López (2013), para el periodo 1990-2013, función que posee una adecuada capacidad de ajuste a valores de precipitación en distintos periodos, con d y µ parámetros, donde y representa la media aritmética, y S la desviación estándar del registro de precipitaciones, y c la base de logaritmo neperiano.
Posteriormente, el registro de precipitaciones en 24 horas, ajustado a la función de distribución de Gumbel, se comprobó a través del test de bondad de ajuste de Kolmogorov-Smirnov, el cual mide la máxima diferencia entre la frecuencia observada acumulada Fn(x)i (ecuación 5), con la función de distribución teórica (probabilidad acumulada) F(x)i, en este caso la Función de Probabilidad de Gumbel (FDP), donde N corresponde al número total de datos de la muestra y n al número de orden de los datos, el cual da como resultado un valor de diferencia Dc (ecuación 6), valor que se compara con el valor Dt de la tabla Kolmogorov-Smirnov.
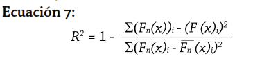
De esta forma, si Dc < Dt, entonces se acepta Ho (Ho: el ajuste es adecuado), en cambio si Dc > Dt, se rechaza H2 (H2: el ajuste no es adecuado). Adicionalmente se realizó una prueba de bondad de ajuste basada en el coeficiente de determinación (R2) (ecuación 7), que representa el porcentaje de variación de los datos de precipitación generados por la Función de Probabilidad -en adelante, FDP- de Gumbel, donde R2 varía entre 0 ≤ R2 ≤ 1 y Fn(x)c, representa la media de las frecuencias observadas acumuladas, como se observa a continuación:
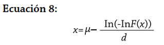
Una vez validado el ajuste de los datos a la FDP de Gumbel, se procedió a determinar los montos de precipitación en 24 horas, asociados a cada periodo de retorno, y la probabilidad de excedencia, a través de una nueva ecuación, como resultado de despejar x en la FDP de Gumbel (ecuación 8), la cual permitió identificar si las precipitaciones registradas en 24 horas podrían superar el umbral mínimo de precipitación en 24 horas propuesto por Peña, Tavares y Mardones (1993), estableciendo que con una precipitación diaria superior a 80 mm se produciría una potencial generación de procesos de remoción en masa en el área.
Posteriormente se determinó la intensidad-duración de la precipitación para periodos de tiempo de 2, 4, 6, 8, 12 y 24 horas, según la cantidad de precipitación en 24 horas, registrada para cada evento histórico en los periodos 1990-1999 y 2000-2013, a través de la propuesta metodológica de Chow, Maidment y Mays (1994) (ecuación 9), la cual define la intensidad de precipitación como la tasa temporal por unidad de tiempo (mm/h), donde P es la cantidad de precipitación en mm y Td es la duración, usualmente en horas.
Finalmente, se establecieron umbrales críticos de precipitación según los criterios de Caine (1980) (ecuación 10), la cual estableció la cantidad de precipitación necesaria para desencadenar procesos de remoción en masa, según la relación intensidad-duración de la precipitación identificada para cada evento histórico, donde l representa la intensidad (mm/h), y D la duración (h).
Resultados
Análisis de recurrencia histórica
El catastro de recurrencia histórica, realizado por López (2013), indicó que en el periodo 1990-1999 (tabla 1), se registró la mayor concentración de procesos de remoción en masa con un total de 16 eventos desencadenados, de los cuales 10 correspondieron a deslizamientos rotacionales y 6 a flujos de barro. Los procesos desencadenados se registraron entre junio y julio, en áreas que presentaron una alta recurrencia histórica como el cerro La Unión que registró 5 eventos, el cerro Zaror con 4 eventos, el cerro Cornou con 3 eventos y el cerro David Fuentes y la caleta Tumbes con 2 eventos. En áreas con laderas que han desarrollado, de manera espacial y temporal, procesos con un alto grado de actividad. Así, lo comprobó el inventario de procesos realizado por López (2013), para la ciudad de Talcahuano (figura 2a), y el inventario de procesos realizado por Garrido (2015), para Caleta Tumbes (figura 2b), donde se registró un alto grado de procesos en estado activo, especialmente en sectores con pendientes entre los 6º y 48º, y en unidades litológicas de rocas metamórficas con un alto grado de meteorización, conformadas por una capa de suelo de textura limo-arcillosa, que se encuentra bajo una cobertura arbustiva de débil consolidación, lo cual facilita la rápida infiltración del agua en periodos de intensa precipitación, desestabilizando el material litológico (López 2013).
Por otro lado, durante el periodo 2000-2013 el catastro de recurrencia histórica indicó que la cantidad de procesos se redujo a un total de 9 procesos desencadenados, de los cuales 7 correspondieron a deslizamientos rotacionales y 2 a flujos de barro (tabla 2). El registro de los procesos desencadenados se concentró entre mayo y agosto, pero con una disminución en la cantidad de estos, que se concentró en el cerro La Unión y el cerro Zaror con 2 eventos, el cerro David Fuentes y la caleta Tumbes con 2 eventos y el cerro Cornou con 1 evento, en áreas con laderas que presentaron una alta recurrencia con respecto al periodo anterior y que, según el inventario de procesos López (2013) (figura 2a) y Garrido (2015) (figura 2b), presentaron un alto grado de procesos en estado activo con movimientos durante gran parte del año y que aumentaron sus grados de actividad durante los meses de invierno. Lo anterior, indicó que el desarrollo temporal de procesos durante 2000-2013 se concentró en áreas con un alto grado de inestabilidad y en meses que, según las características climáticas del área, concentró las mayores precipitaciones.
El catastro de recurrencia histórica (López 2013), permitió identificar la cantidad de precipitación en 24 horas asociada a cada proceso de remoción en masa desencadenado. De esta forma, se identificó que en el periodo 1990-1999 (figura 3a), la precipitación en 24 horas asociada a cada proceso se concentró entre los 40 mm y los 90 mm, rango de precipitación que se mantuvo constante hasta el episodio de precipitación excepcional registrado el 23 de junio de 1997, que llegó a un máximo de 162 mm en 24 horas (figura 3b), y que se asoció a una tendencia de excesos pluviométricos influenciados por fases extremas de la oscilación de sur, correspondiente al fenómeno de El Niño (Castillo 2003), y que se expresó en fuertes episodios de lluvia durante los meses de invierno. Por otro lado, durante el periodo 2000-2013 (figura 3b), la precipitación en 24 horas de cada proceso desencadenado se concentró entre los 20 mm y los 92,6 mm (figura 3b), rango de precipitación que registró una disminución de 20 mm con respecto al periodo 1990-1999. Lo anterior, evidenció una baja de la cantidad de precipitación en 24 horas de cada proceso desencadenado, que fue disminuyendo desde el episodio de precipitación excepcional registrado el 26 de junio del 2005, y alcanzó una precipitación máxima de 136 mm, lo que indicó que en el periodo 2000-2013 (figura 3b), se registraron procesos donde la precipitación sobrepasó los 20 mm en 24 horas, en comparación con el periodo 1990-1999 (figura 3a), donde la precipitación en 24 horas de cada proceso sobrepaso los 40 mm. En este sentido, las condiciones de inestabilidad de las laderas se vieron condicionadas por la variación temporal de la precipitación, la cual influyó en el grado de actividad geomorfológica, expresada en el número de procesos desencadenados en ambos periodos.
Los últimos eventos registrados han ocasionado daños, generando perdidas en viviendas y dejando a diversas familias damnificadas, como por ejemplo, el deslizamiento rotacional desencadenado el jueves 16 de agosto del 2012 en el cerro La Unión, donde se precipitó 20,4 mm en 24 horas, y que afectó a dos viviendas (figura 4a), como consecuencia de la intervención de la ladera para la construcción de escalinatas promovida por el municipio, donde la constructora a cargo removió parte del terreno que desestabilizó el sector afectado (figura 4b). Por otro lado, el flujo de barro desencadenado el lunes 27 de mayo del 2013 en caleta Tumbes, donde precipitó 50,2 mm en 24 horas, afectó a diversas viviendas, cubriéndolas por más de un metro de lodo, como consecuencia de los trabajos para abrir una carretera (figura 5a), donde se removió terreno en fuertes pendientes, provocando un flujo de barro bajo elevadas precipitaciones (figura 5b).
Probabilidad de excedencia y periodo de retorno
El cálculo del periodo de retorno de los registros de precipitación en 24 horas, correspondientes a 1990-1999 (tabla 3) indicó que existe un 75% de probabilidad de que en un lapso de 4 años una cantidad de precipitación en 24 horas, menor o igual a los 85,1 mm, sobrepase la cantidad de precipitación de 80 mm en 24 horas considerada por Peña, Tabares y Mardones (1993), como la máxima intensidad de precipitación en 24 horas generadora de procesos de remoción en masa para la ciudad de Talcahuano. En este sentido, la probabilidad aumenta mientras más aumenta el periodo de retorno (tabla 3), lo cual, bajo las condiciones climáticas registradas en 1990-1999, la probabilidad de que precipite una cantidad mayor o igual en 24 horas es muy alta; lo anterior es un riesgo potencial para la generación de procesos de remoción en masa en el área, ya que, según el catastro de recurrencia histórica de López (2013), la precipitación en 24 horas, asociada a la totalidad de los procesos desencadenados en 1990-1999, se mantuvo en promedio sobre los 70 mm en 24 horas.
La tabla 3 muestra que, en esta misma línea, el cálculo del periodo de retorno para los registros de precipitación en 24 horas del periodo 2000-2013 indicó que a partir de un periodo de retorno de 4 años existe un 75% de probabilidad de superar, con una cantidad de precipitación menor o igual a los 84,8 mm en 24 horas, los 80 mm de precipitación en 24 horas considerados por Peña et ál. (1993), como la potencial precipitación en 24 horas generadora de procesos de remoción en masa en el área. Lo anterior, es muy significativo para la ciudad de Talcahuano, ya que el cálculo del periodo de retorno indicó que mientras más aumenta, mayor es la probabilidad de superar en promedio la precipitación en 24 horas, registrada bajo las condiciones climáticas del periodo 2000-2013, lo cual es un riesgo muy alto para la potencial generación de procesos de remoción en masa en el área, que bajo las condiciones de inestabilidad de las laderas, evidenciadas hasta el día de hoy en el número de procesos en estado activo, se podrían generar procesos de remoción en masa bajo el mismo régimen climático registrado en aquel periodo.
La fiabilidad del ajuste de los registros de precipitación en 24 horas, de los periodos 1990-1999 y 2000-2013, a la FDP de Gumbel, para determinar la probabilidad de excedencia de cada periodo de retorno, se determinó mediante el resultado del test de bondad de ajuste Kolmogorov-Smirnov y del coeficiente de determinación R2, los cuales indicaron que para el registro de precipitaciones del periodo 1990-1999 (tabla 4), con un número de datos de η = 16 y con un valor Dc máximo de 0,134 y un valor Dt de 0,432 correspondiente a una seguridad del 95%, permitió aceptar el ajuste de los datos con valor Dc < Dt y un valor R2 ajustado del 95%. Por otro lado, el registro de precipitaciones del periodo 2000-2013 (tabla 4), con un número de datos de η = 9 y un valor Dc máximo de 0,091 y un valor Dt de 0,328 correspondiente a una confiabilidad del 95%, también permitió aceptar el ajuste de los datos con un valor Dc < Dt y un valor R2 ajustado del 95%.
El resultado de la probabilidad de excedencia asociada a cada periodo de retorno, indicó que, en promedio, las precipitaciones de los procesos de remoción en masa desencadenados en el periodo 1990-1999 tienen alta probabilidad de alcanzar una precipitación menor o igual a los 65,5 mm en 24 horas, a partir de un periodo de retorno de 2 años, cantidad que aumentó a medida que se acrecentó el periodo de retorno (figura 6a). En este sentido, bajo el régimen climático del periodo 1990-1999, la probabilidad de excedencia (figura 6b), indicó que la cantidad de precipitación en 24 horas tiene altas probabilidades de alcanzar montos de precipitación que pueden llegar a los 85,1 mm en 24 horas, a partir de un periodo de retorno de 4 años, con una probabilidad del 75%, además podría llegar a los 95,3 mm en 24 horas, a partir de un periodo de retorno de 6 años, con una probabilidad del 83% (figura 6b).
Lo anterior, es relevante ya que, en futuros periodos de precipitación, la probabilidad de exceder el promedio de precipitaciones en 24 horas, registradas en el periodo 1990-1999, podría desencadenar procesos de remoción en masa, en las mismas condiciones de inestabilidad que los procesos registrados en aquel periodo, con procesos que ocurrirán bajo las mismas condiciones geológicas, geomorfológicas e hidrológicas que en el pasado, lo que provocaría un aumento de los procesos de remoción en masa como deslizamientos rotacionales y flujos de barro, los cuales, según el catastro de recurrencia histórica, son los de mayor predominio.
Por otro lado, el resultado de la probabilidad de excedencia de los registros de precipitación en 24 horas, asociado a los procesos de remoción en masa, desencadenados en el periodo 2000-2013, indicó que, a partir de un periodo de retorno de 2 años, las precipitaciones en 24 horas podrían ser excedidas con una cantidad de precipitación que sobrepasaría los 60,9 mm en 24 horas, cantidad que aumentaría mientras incrementa el periodo de retorno (figura 7a). En este sentido, el resultado indicó que las precipitaciones alcanzarían, a partir de un periodo de retorno de 4 años, una cantidad de 84,8 mm en 24 horas, con una probabilidad del 75% (figura 7b), además, a partir de un periodo de retorno de 6 años alcanzarían una cantidad de 97,1 mm en 24 horas, con una probabilidad del 87% (figura 7b), la cual es muy alta. De esta forma, y según el catastro de recurrencia histórica del periodo 2000-2013 que registró procesos desencadenados con menores cantidades de precipitación, indicaría que las condiciones de inestabilidad de las laderas evidenciadas hasta el día de hoy en el número de procesos en estado activo, podrían desencadenar procesos de remoción en masa en periodos de alta y baja intensidad pluvial.
Umbrales de precipitación
Según el catastro de recurrencia histórica del periodo 1990-1999, se identificó que la totalidad de los eventos se desencadenó durante junio y julio, y según la relación intensidad-duración de la precipitación asociada a cada proceso (figura 8a), se determinó que la mayoría alcanzó, en las 2 primeras horas de iniciada la precipitación, intensidades máximas que variaron entre los 21 mm y los 81 mm (figura 8a), cantidad que disminuyó a medida que aumentó el tiempo de precipitación, así hasta las 4 horas de precipitación se registró una intensidad que varió entre los 10,5 mm y los 40 mm y hasta las 6 horas una intensidad que varió entre los 7,0 mm y los 27 mm, y sobre las 8 horas se registró una intensidad que varió entre los 1,8 mm hasta los 20,3 mm de precipitación (figura 8a).
Lo anterior se contrastó con los procesos de remoción en masa registrados en el catastro de recurrencia histórica del periodo 2000-2013, los que se desencadenaron entre mayo y agosto, y donde la relación intensidad-duración de la precipitación (figura 8b), determinó que la totalidad de los eventos alcanzó, en las 2 primeras horas, una intensidad máxima que varió entre los 10,2 mm y los 68,4 mm (figura 8b), intensidad que disminuyó en las 2 primeras horas con respecto a los eventos registrados en el periodo 1990-1999, y la cual hasta las 4 horas de precipitación alcanzó una intensidad que varió entre los 5,1 mm y los 34 mm, y hasta las 6 horas una intensidad entre los 3,4 mm y los 22,7 mm, y sobre las 8 horas alcanzó una intensidad que varió entre 0,9 mm y 17 mm de precipitación (figura 8b), intensidades que, además, disminuyeron con respecto al periodo anterior.
La amplia diferencia de las intensidades de precipitación con respecto al periodo 1990-1999 podría indicar ciertas variaciones climáticas que afectaron dichas intensidades en 2000-2013, incidiendo en el desarrollo de procesos de remoción en masa, los cuales disminuyeron con respecto al periodo anterior, registrando intensidades mucho mayores en periodos cortos, como en el flujo de barro desencadenado el día 27 de junio de 1997 en caleta Tumbes, donde se registró un periodo de lluvia que se evidenció en la curva I-D como sobresaliente del promedio de los procesos registrados (figura 8a), correspondiente a una perturbación climática asociada al fenómeno de El Niño, que detonó procesos de remoción en masa, inundaciones y anegamientos en el área de Talcahuano (Mardones, Echeverría y Jara 2006), y que alcanzó una intensidad máxima de 81 mm en 2 horas, precipitación que estuvo sobre el promedio de intensidad en 2 horas, identificado para los eventos registrados en el mismo periodo.
La relación de la intensidad con la duración de la precipitación permitió identificar en qué rango de tiempo se concentraron las mayores intensidades de precipitación correspondientes a los procesos desencadenados en los periodos 1990-1999 y 2000-2013. De esta forma, se determinó que, en un tiempo de precipitación menor a 6 horas, las intensidades presentan una concentración determinante para la generación de procesos de remoción en masa, según el régimen climático que presenta el área, y que, según Peña, Tabares y Mardones (1993), presenta las mayores intensidades diarias en los meses de mayo, junio y julio. En este sentido, los mayores niveles de precipitación se concentraron entre las 2 y las 6 horas de iniciada la precipitación, la cual va disminuyendo de intensidad a medida que aumenta el tiempo. De esta forma, se consideró como intensidad crítica aquella cuya duración de precipitación de, al menos, 6 horas. En este sentido, la precipitación en 24 horas, asociada a la totalidad de los eventos desencadenados en el periodo 1990-1999, presentó una clara tendencia a un aumento de la intensidad bajo las 6 horas de precipitación, sobre todo en las 2 primeras horas (figura 9a), alcanzando una intensidad máxima de 81 mm, en 2 horas, para el evento desencadenado el día 27 de junio de 1997 (figura 9a). Lo anterior, indicaría que la precipitación acumulada en las 2 primeras horas sería un factor crítico para los procesos desencadenados en aquel periodo, según la intensidad identificada y la información en los archivos de prensa, la cual indicó, como antecedente, que la mayor cantidad de procesos desencadenados se inició con fuertes precipitaciones a lo largo de la madrugada, abarcando un periodo de 2 a 6 horas.
Por otro lado, la precipitación asociada a los eventos registrados en el periodo 2000-2013, registró una tendencia a la baja de las intensidades identificadas bajo la 6 horas de precipitación, específicamente en las 2 primeras horas (figura 9b), donde se alcanzó una intensidad máxima de 68 mm para el evento desencadenado el 26 de junio del 2005 (figura 9b), lo cual representó una baja en la intensidad de precipitación con respecto al periodo anterior; esto indicaría que, de acuerdo con la totalidad de los eventos registrados en el periodo 2000-2013 y la relación intensidad-duración de la precipitación asociada a cada proceso, existió una tendencia a desencadenarse procesos de remoción en masa con intensidades de precipitación mucho más bajas y en periodos de tiempo mayores.
La determinación de umbrales de precipitación, a partir de la propuesta metodológica de Caine (1980), permitió identificar la intensidad de precipitación necesaria que podría desencadenar procesos de remoción en masa en periodos de corta y larga duración, a partir de la relación intensidad-duración de la precipitación en 24 horas, de los procesos de remoción en masa desencadenados en los periodos 1990-1999 (tabla 5) y 2000-2013 (tabla 6). En este sentido, se estableció como umbral local crítico aquellas intensidades concentradas entre las 2 y 4 horas de precipitación; como umbral local crítico medio aquellas intensidades concentradas entre 6 y 8 horas de precipitación y como umbral local de baja intensidad aquellas intensidades concentradas entre 12 y 24 horas de precipitación, intensidades que podrían incidir en el desarrollo de procesos de remoción en masa bajo la dinámica geomorfológica y climática local.
De esta forma, según los registros de precipitación en 24 horas de los procesos de remoción en masa desencadenados en el periodo 1990-1999, se identificó para un periodo de 2 a 4 horas un umbral local crítico de una intensidad de precipitación que bordeó los 26,5 mm, con una intensidad máxima que se concentró hasta los 81 mm de precipitación (figura 10a).
Por otro lado, según los registros de precipitación en 24 horas de los procesos de remoción en masa desencadenados en el periodo 2000-2013, se identificó como umbral local crítico a una intensidad de precipitación que se aproximó a los 26,3 mm, con una intensidad máxima que se concentró hasta los 68 mm de precipitación (figura 10b). De esta forma, las intensidades concentradas entre 2 a 4 horas de precipitación que están sobre los 26 mm, se consideraron como la potencial cantidad de precipitación que iniciaría el desarrollo de procesos de remoción en masa bajo las condiciones climáticas de los periodos 1990-1999 y 2000-2013. En este sentido, de acuerdo al régimen climático local, estas intensidades actuarían de forma muy intensa en el periodo invernal, acentuando el escurrimiento superficial y la capacidad de infiltración, principalmente en un suelo altamente meteorizado y poco cohesionado (López, 2013), lo cual incrementaría el desarrollo de procesos de remoción en masa por saturación hídrica del suelo (Peña, Tavares y Mardones 1993). Asimismo, se estableció como umbral estable aquellas precipitaciones que están bajo el umbral de precipitación propuesto (figuras 10a y 10b), con intensidades de precipitación que cumplirían una función de acumulación en un suelo altamente permeable, incrementando las condiciones de inestabilidad de la vertiente.
Discusión
El resultado de la propuesta metodológica indicó que, a partir de un periodo de retorno de 4 años, existe un 75% de probabilidad de que, bajo las condiciones climáticas registradas en los periodos 1990-1999 y 2000-2013, las precipitaciones excedan un valor menor o igual entre los 84,8 y los 85,1 mm en 24 horas, como una probabilidad de excedencia muy alta para la costa de la zona de Chile centro-sur, especialmente para la ciudad Talcahuano, ya que superó la cantidad de precipitación de 80 mm en 24 horas estimada por Peña, Tavares y Mardones (1993), la cual cumpliría una función de saturación que alcanzaría un nivel necesario para desencadenar procesos de remoción en masa en condiciones de acumulación previa. Sin embargo, si bien el cálculo del periodo de retorno indicó una alta probabilidad de exceder la máxima cantidad de precipitación registrada por Peña, Tavares y Mardones (1993), como la potencial generadora de procesos de remoción en masa, el pronóstico de la cantidad de precipitación extrema requerida para desencadenar estos procesos va a depender, según Vennari et ál. (2014) de las condiciones inestabilidad local y de la cantidad de precipitación antecedente. En este sentido, a diferencia de lo realizado por Peña, Tavares y Mardones (1993), quien consideró registros de precipitación antecedente de tres días para la ciudad de Talcahuano, el catastro de recurrencia histórica de procesos de remoción en masa realizado por López (2013), utilizado en esta investigación, proporcionó un buen registro de precipitación en 24 horas asociado a cada proceso desencadenado en los periodos 1990-1999 y 2000-2013, lo cual permitió determinar y analizar los umbrales que dieron inicio al desarrollo de estos procesos, permitiendo estimar si bajo las mismas condiciones climáticas registradas en ambos periodos, las precipitaciones en 24 horas de cada proceso desencadenado, podrían alcanzar, a futuro, los mismos niveles de precipitación. Lo anterior, fue respaldado por el buen ajuste del registro de precipitación a la Función de Distribución de Probabilidad de Gumbel, que se ajustó con un valor R2 de 0,95, muy cercano a 1. En esta línea, Raska, Klimes y Dubisar (2013) y Petrucci, Polemio y Pasqua (2009) enfatizan que el registro histórico de precipitación proporcionó un análisis temporal fiable sobre la ocurrencia de procesos de remoción en masa, revelando según García-Urquia y Axelsson (2014), una clara relación entre precipitaciones extremas y el desarrollo de estos procesos.
Por otro lado, la definición de un umbral empírico a través del registro de precipitación en 24 horas López (2013), indicó a partir de los criterios metodológicos propuestos por Caine (1980), que la totalidad de los eventos desencadenados en los periodos 1990-999 y 2000-2013, alcanzaron, entre las 2 y las 4 horas de iniciada la precipitación, intensidades que se concentraron entre los 5,1 mm y 81 mm, así lo comprobó la relación intensidad-duración (I-D), de la precipitación de los procesos desencadenados en ambos periodos, la cual permitió identificar como umbral local crítico a las intensidades concentradas en un periodo menor a 4 horas, con precipitaciones que bordearon los 26,3 mm y los 26,5 mm. Otros estudios, como el realizado por Nikolopoulos et ál. (2014) que estimaron, mediante observaciones pluviométricas del periodo 2000-2010, umbrales de intensidad-duración (I-D), e identificaron que, con intensidades menores a 12 horas, se iniciarían flujos de detritos en la cuenca superior del río Adige, en el norte de Italia. Lo anterior, difiere con la duración de la precipitación menor a 4 horas identificada en esta investigación, la cual, según Tarolli et ál. (2011), se debió a que, en ambientes mediterráneos, los procesos de remoción en masa se desarrollan con mayores intensidades de precipitación en periodos cortos.
De esta forma, la precipitación antecedente crea condiciones de acumulación, como mecanismo fundamental de desestabilización (Zhan et ál. 2013), que en épocas de intensa precipitación alcanzaría un punto de infiltración crítico que satura y rompe el equilibrio de la ladera, la cual es una unidad fundamental de filtración y transporte (Graham, Woods y McDonelle 2010). Así lo comprobaron Ma et ál. (2014), a través de un modelo de frecuencia, que establecieron la relación entre la cantidad de precipitación antecedente con el desarrollo de procesos de remoción en masa, y que indicaron que la precipitación acumulada reduce la succión y aumenta la presión del agua en los poros del suelo. Lo anterior concuerda con el estudio realizado por López (2013), quien comprobó, para la misma área de estudio, que las condiciones litológicas, compuestas por abundante roca meteorizada en un suelo de clase textural limo-arcilloso de carácter muy fino, permitió una mayor saturación del material compactado por medio de fracturas y grietas, lo que facilitó una mayor infiltración de agua y humedad hacia el subsuelo, aumentando las condiciones de inestabilidad, especialmente en laderas con pendientes entre los 6º y los 48º, donde las propiedades mecánicas del terreno son más frágiles.
De esta forma, los umbrales críticos identificados permitieron estimar que, bajo las condiciones litológicas identificadas por López (2013) y bajo las condiciones climáticas locales, estos actuarían como intensidades de saturación en condiciones de acumulación previa. En este sentido, con respecto al umbral estimado por Peña, Tavares y Mardones (1993) concluyeron que el fenómeno acumulativo es el principal mecanismo de desarrollo de procesos de remoción en masa, y no consideraron, a diferencia de López (2013), los mecanismos de inestabilidad local que condicionaron la ladera en el desarrollo de este tipo de procesos. De esta forma, el catastro de recurrencia histórica y el mapa de inventario de procesos realizado por López (2013) expuso una clara relación entre la precipitación y el desarrollo temporal de procesos de remoción en masa, especialmente deslizamientos rotacionales y flujos de barro, lo cual es fundamental, ya que, según Segoni et ál. (2014), estos definen un área especifica que está predispuesta a la ocurrencia de este tipo de procesos. Lo anterior, además, concordó con lo expuesto por Martelloni et ál. (2011), quienes definieron que los procesos de fractura y movimiento superficial son preferentemente desencadenados por precipitaciones cortas e intensas, lo que coincidió con los tipos de procesos registrados por López (2013), y los umbrales identificados en esta investigación. De esta forma, la estimación de un umbral local permitió, según Alvioli, Guzzetti y Rossi (2014), predecir la cantidad de precipitación requerida para desarrollar procesos de remoción en masa bajo las condiciones climáticas locales, lo cual es de un interés primordial ya que puede ser implementado en un sistema de alerta temprana con el fin de mitigar el desarrollo de estos procesos (Gariano et ál. 2015), permitiendo entregar a las comunidades y gobiernos locales la capacidad de organizarse y anticiparse para la protección futura (Orencio y Fujii 2013).
Conclusión
Según las características climáticas registradas en los periodos 1990-1999 y 2000-2013, se identificó que existe un 75% de probabilidad de que, a partir de un periodo de retorno de 4 años precipite una cantidad menor o igual a los 85,1 mm y los 84,8 mm en 24 horas, de precipitación que excedería el promedio de precipitación en 24 horas y que podría desencadenar procesos de remoción en masa, bajo las mismas condiciones climáticas registradas en ambos periodos.
La estimación de umbrales a partir de la relación intensidad- duración (I-D) de la precipitación en 24 horas, asociada a los procesos de remoción en masa desencadenados en los periodos 1990-1999 y 2000-2013, determinó que las intensidades de precipitación concentradas en un lapso menor a 4 horas, serían el periodo crítico de desestabilización, en el que se determinó como umbral local crítico a intensidades que bordearon los 24,5 mm y los 26,3 mm, cantidad de precipitación que sería necesaria para alcanzar un punto crítico de saturación y romper el equilibrio de laderas urbanizadas, en ambientes mediterráneos.
La estimación de la probabilidad de excedencia, con el cálculo del periodo de retorno, y la estimación de umbrales de precipitación, mediante la relación intensidad- duración (I-D), a partir de los registros históricos de precipitación en 24 horas, asociados a procesos de remoción en masa, desencadenados en los periodos 1990-1999 y 2000-2013, indicó que a pesar de predecir bajo qué condiciones climáticas se podrían desencadenar procesos de remoción en masa en el futuro, la clave es apoyar la predicción utilizando estudios de susceptibilidad, que estimen la frecuencia del desarrollo de estos procesos, a través de mapas de inventario y estudios de factores físico-naturales que evalúen la estabilidad de la ladera, ya que las condiciones de inestabilidad que desencadenaron los procesos registrados en los periodos 1990-1999 y 2000-2013, pueden evolucionar positiva o negativamente, incidiendo en la frecuencia de desarrollo de estos procesos.
Es necesario contar con un registro de mayor información de precipitación, para estimar, en mayor detalle, bajo las condiciones climáticas locales, un umbral de precipitación geomorfológico. En este sentido, conforme se recopile mayor información, las predicciones serían de más consistencia y, por ende, de mejor probabilidad de acierto. Es por esta razón, que se hace necesario contar con registros de precipitación diaria y antecedente, que permita correlacionar con mayor confianza el nivel de precipitación y el desarrollo de procesos de remoción en masa, a través del umbral correctamente validado, que garantice una mejor predicción con el uso de un sistema de alerta más fiable.
Referencias
Aceituno, Patricio. 1988. "On the Functioning of the Southern Oscillation in the South American Sector. Part I: Surface Climate". Monthly Weather Review 116:505-524. DOI: http://dx.doi.org/10.11160505:OTFOTS2.0.CO;2175/1520-04931988. [ Links ]
Alarcón Fuentes, Gladis. 1995. "Evaluación de los riesgos naturales del área Metropolitana de Concepción, a través de la información del Diario el Sur". Tesis de Licenciatura en Educación mención en Historia y Geografía, Universidad de Concepción, Concepción. [ Links ]
Alcántara Ayala, Irasema. 1999. "Landslides: ¿deslizamientos o movimientos del terreno? definición, clasificaciones y terminología". Investigaciones Geográficas: Boletín del Instituto de Geografía UNAM 41:7-26. http://www.redalyc.org/articulo.oa?id=56904102. [ Links ]
Alcántara Ayala, Irasema. 2004. "Hazard Assessment of Rainfall- induced Landsliding in Mexico". Geomorphology 61 (1-2): 19-40. DOI: 10.1016/j.geomorph.2003.11.004. [ Links ]
Alvioli, Massimiliano, Fausto Guzzetti y Mauro Rossi, M. 2014. "Scaling Properties of Rainfall Induced Landslides Predicted by a Physically Based Model". Geomorphology 213:38-47. DOI:10.1016/j.geomorph.2013.12.039. [ Links ]
Borgatti, Lisa y Mauro Soldati. 2013. "Hill Slope Processes and Climate Change". Treatise on Geomorphology (Mountain and Hillslope Geomorphology) 7:306-319. DOI: 10.1016/B978-0-12-374739-6.00180-9. [ Links ]
Caine, Nel. 1980. "The Rainfall Intensity: Duration Control of Shallow Landslides and Debris Flows". Geografiska Annaler: Series A, Physical Geography 62 (1-2): 23-27. DOI: 10.2307/520449. [ Links ]
Cascini, Leonardo, Sabatino Cuomo y Maria Della Sala. 2011. "Spatial and Temporal Occurrence of Rainfall-induced Shallow Landslides of Flow Type: A Case of Sarno-Quindici, Italy". Geomorphology 126 (1-2): 148-158. DOI: 10.1016/j.geomorph.2010.10.038. [ Links ]
Castillo, Manuel. 2003. "Ciclos El Niño/La Niña: periodo 1991- 2000 y su influencia en las costas norte y central de Chile". Anuario SHOA 55:1-8. http://www.shoa.cl/servicios/enos/pdf/2003_ciclos.pdf. [ Links ]
Cecioni, Alberto y Verónica Pineda. 2009. "Geology and Geomorphology of Natural Hazards and Human-induced Disasters Chile". Developments in Earth Surface Processes 13 (08): 379-413. DOI:10.1016/S0928-2025(08)10018-9. [ Links ]
Chleborad, Alan. 2001. Preliminary Method for Anticipating the Occurrence of Precipitation-induced Landslides in Seattle, Washington. Open File Report United States Geological Survey (USGS). http://pubs.usgs.gov/of/2000/0469/report.pdf. [ Links ]
Chow, Ven, David Maidment y Larry Mays. 1994. Manual de hidrología aplicada. Bogotá: Mc Graw-Hill. [ Links ]
Crozier, Michael J. 1999. "Prediction of Rainfall-triggered Landslides: A Test of the Antecedent Water Status Model". Earth Surface Processes and Landforms 24 (9): 825-833. DOI: 10.1002/(SICI)1096-9837(199908)24:9<825::AIDESP14>3.0.CO;2-M. [ Links ]
Crozier, Michael J. 2010. "Deciphering the Effect of Climate Change on Landslide Activity: A Review". Geomorphology 124 (3-4): 260-267. DOI: 10.1016/j.geomorph.2010.04.009. [ Links ]
Dahal, Ranjan Kumar y Shuichi Hasegawa. 2008. "Representative Rainfall Thesholds for Landslides in the Nepal Himalaya". Geomorphology 100 (3-4): 429-443. DOI: 10.1016/j.geomorph.2008.01.014. [ Links ]
Di Martire, Diego, M. De Rosa, V. Pesce, Michele A. Santangelo y Dominico Calcaterra. 2012. "Landslide Hazard and Land Management in High-density Urban Areas of Campania Region, Italy". Natural Hazards and Earth System Science 12 (4): 905-926. DOI: 10.5194/nhess-12-905-2012. [ Links ]
Escobar, Fernando y Patricio Aceituno. 1998. "Influencia del fenómeno ENSO sobre la precipitación nival en el sector andino de Chile central durante el invierno". Bulletin de l 'Institut Français d'Ètudes Andines 27(3): 753-759. [ Links ]
Garcia-Urquia, Elias y Kennet Axelsson. 2014. "The Use of Press Data in the Development of a Database for Rainfall- Induced Landslides in Tegucigalpa, Honduras, 1980-2005". Natural Hazards 73:237-258. DOI: 10.1007/s11069-014-1043-5. [ Links ]
Gariano, Stefano Luigi, María Teresa Brunetti, Giulio Lovine, Massimo Melillo, Silvia Peruccacci, Oreste Terranova, Carmela Vennanri y Fausto Guzzetti. 2015. "Calibration and Validation of Rainfall Thesholds for Shallow Landslide Forecasting in Sicily, Southern Italy". Geomorphology 228(1): 653-665. DOI: 10.1016/j.geomorph.2014.10.019. [ Links ]
Garrido, Bastian.. 2015. "Susceptibilidad a deslizamientos en laderas urbanizadas de Caleta Tumbes, comuna de Talcahuano". Tesis de pregrado en Geografía, Universidad de Concepción, Concepción, Chile. [ Links ]
Glade, Thomas y Michael J. Crozier. 2005. "The Nature of Landslide Hazard Impact". En Landslide Hazard and Risk, editado por Thomas Glade, Malcom Anderson y Michael J. Crozier, 43-74. Chichester: Wiley. [ Links ]
Graham, Chis B., Ross A. Woods y Jeffrey J. McDonnell. 2010. "Hillslope Theshold Response to Rainfall: (1) A Field Based Forensic Approach. Journal of Hydrology 393 (1-2): 65-76. DOI:10.1016/j.jhydrol.2009.12.015. [ Links ]
Guidicini, G., y O. Y. Iwasa. 1977. "Tentative Correlation between Rainfall and Landslide in Humid Tropical Environment". Bulletin of the International Association of Engineering Geology 16:13-20. [ Links ]
Gumbel, Emil Julius. 1994. "There Turn Period of Flood Flows". The Annals of Mathematical Statistics 12(2): 163-190. [ Links ]
Guzzetti, Fausto, Alberto Carrara, Mauro Cardinali y Paola Reichenbach. 1999. "Landslide Hazard Evaluation: A Review of Current Techniques and Their Application in a Multi-scale Study, Central Italy". Geomorphology 31(1-4): 181-216. DOI: 10.1016/S0169-555X(99)00078-1. [ Links ]
Guzzetti, Fausto, Silvia Peruccacci y Mauro Rossi. 2007. "Rainfall Thesholds for the Initiation of Landslides in Central and Southern Europe". Meteorology and Atmospheric Physics 98(3-4): 239-267. DOI: 10.1007/s00703-007-0262-7. [ Links ]
Guzzetti, Fausto, Silvia Peruccacci, Mauro Rossi y Collin P. Stark. 2008. "The Rainfall Intensity-duration Control of Shallow Landslides and Debris Flows: An Update". Landslides 5(1): 3-17. DOI: 10.1007/s10346-007-0112-1. [ Links ]
Hauser, Arturo Y. 1997. "Los aluviones del 18 de junio de 1991 en Antofagasta: un análisis crítico a cinco años del desastre". Boletín Servicio Nacional de Geología y Minería 49:5-47. [ Links ]
Hauser, Arturo Y. 2000. "Remociones en masa en Chile". Boletín Servicio Nacional de Geología y Minería 59:9-89. [ Links ]
Hong, Yong, Hirosama Hiura, Kazuo Shino, Kyoji Sassa, Akira Suemine, Hiroshi Fukuoka y Gonghui Wang. 2005. "The Influence of Intense Rainfall on the Activity of Large-Scale Crystalline Schist Landslides in Shikoku Island, Japan". Landslides 2(2): 97-105. DOI: 10.1007/s10346-004-0043-z. [ Links ]
Ibsen, Maia-Laura y Nicola Casagli. 2004. "Rainfall Patterns and Related Landslide Incidence in the Porretta-Vergato Region, Italy". Landslides 1(2): 143-150. DOI: 10.1007/s10346-004-0018-0. [ Links ]
IPCC (Grupo Intergubernamental de Expertos sobre el Cambio Climático). 2007. Cambio climático 2007: informe de síntesis. Ginebra: IPCC. [ Links ]
Li, Changjiang, Tuhua Ma, Xingsheng Zhu y Wei Li. 2011. "The Power-law Relationship between Landslide Occurrence and Rainfall Level". Geomorphology 130(3-4): 221-229. DOI: 10.1016/j.geomorph.2011.03.018. [ Links ]
López, Pablo. 2013. "Evaluación de la peligrosidad por procesos de remoción en masa en los cerros La Unión y Zaror: comuna de Talcahuano, región del Biobío (Chile)". Revista Geográfica del Sur 4(6): 59-83. [ Links ]
Ma, Tuhua, Li Changjiang, Lu Zhiming y Baoxin Wang. 2014. "An Effective Antecedent Precipitation Model Derived from the Power-law Relationship between Landslide Occurrence and Rainfall Level". Geomorphology 216:187-192. DOI:10.1016/j.geomorph.2014.03.033. [ Links ]
Mardones, María. 1978. El sitio geomorfológico de las ciudades de Concepción y Talcahuano. Concepción: Instituto de Antropología, Historia y Geografía-Universidad de Concepción. [ Links ]
Mardones, María, Andrea Rodríguez y José Soto. 1994. "Los riesgos naturales en la comuna de Talcahuano". Actas del 7° Congreso Geológico Chileno, vol. 1, 653-656. Concepción: Universidad de Concepción. http://biblioserver.sernageomin.cl/opac/DataFiles/7166pp653_656.pdf. [ Links ]
Mardones, María, Freddy Echeverría y Constanza Jara. 2006. "Una contribución al estudio de los desastres naturales en Chile centro sur: efectos ambientales de las precipitaciones del 26 de junio del 2005 en el área metropolitana de Concepción". Revista Investigaciones Geográficas 38:1- 25. http://www.revistas.uchile.cl/index.php/IG/article/viewFile/27748/29421. [ Links ]
Martelloni, G., S. Segoni, R. Fanti y F. Catani. 2011. "Rainfall Thesholds for the Forecasting of Landslide Occurrence at Regional Scale". Landslides 9(4): 485-495. DOI:10.1007/s10346-011-0308-2 [ Links ]
Naranjo, Jose A. y Juan Varela. 1996. "Flujos de detritos y barro que afectaron el sector oriente de Santiago el 3 de mayo de 1993". ín Servicio Nacional de Geología y Minería 47:5-42. [ Links ]
Nikolopoulos, Efthymios I., Stefano Crema, Lorenzo Marchi, Francesco Marra, Fausto Guzzetti y Marco Borga. 2014. "Impact of Uncertainty in Rainfall Estimation on the Identification of Rainfall Thesholds for Debris Flow Occurrence". Geomorphology 221:286-297. DOI: 10.1016/j.geomorph.2014.06.015. [ Links ]
Orencio, Pedcris y Masahiko Fujii. 2013. "A Localized Disasterresilience Index to Assess Coastal Communities Based on an Analytic Hierarchy Process (AHP)". International Journal of Disaster Risk Reduction 3:62-75. DOI: 10.1016/j.ijdrr.2012.11.006. [ Links ]
Peña, Fernando. 1995. "Geomorfología de la ribera norte del río Biobío en su curso inferior: limitaciones y potencialidades del área". Revista de Geografía Norte Grande 22:27-33. [ Links ]
Peña, Fernando, Carlos Tavares y María Mardones. 1993. "Las condiciones climáticas como factor de riesgo en la comuna de Talcahuano". Revista de Geografia de Chile Terra Australis 38:83-107. [ Links ]
Pereira, Susana, José Luís Zêzere, Ivânia Daniela Quaresma y Carlos Bateira. 2014. "Landslide Incidence in the North of Portugal: Analysis of a Historical Landslide Database Based on Press Releases and Technical Reports". Geomorphology 214:514-525. DOI:10.1016/j.geomorph.2014.02.032. [ Links ]
Peruccacci, Silvia, María Teresa Brunetti, Silvia Luciani, Carmela Vennari y Fausto Guzzetti. 2012. "Lithological and Seasonal Control on Rainfall Thesholds for the Possible Initiation of Landslides in Central Italy". Geomorphology 139-140:79-90. DOI: 10.1016/j.geomorph. 2011.10.005. [ Links ]
Petrucci, O., M. Polemio y A. Pasqua. 2009. "Analysis of Damaging Hydrogeological Events: The Case of the Calabria Region (Southern Italy)". Environmental Management 43(3): 483-495. DOI:10.1007/s00267-008-9234-z. [ Links ]
Raska, P., J. Klimes y J Dubisar. 2013. "Using Local Archive Sources to Reconstruct Historical Landslide Occurrence in Selected Urban Regions of the Czech Republic: Examples from Regions with Different Historical Development". Land Degradation & Development. DOI:10.1002/ldr.2192. [ Links ]
Saito, Hitoshi, Daichi Nakayama y Hiroshi Matsuyama. 2010. "Relationship between the Initiation of a Shallow Landslide and Rainfall Intensity: Duration Thesholds in Japan". Geomorphology 118(1-2): 167-175. DOI: 10.1016/j.geomorph. 2009.12.016. [ Links ]
Segoni, Samuele, Guglielmo Rossi, Ascanio Rosi y Filippo Catani. 2014. "Landslides Triggered by Rainfall: A Semiautomated Procedure to Define Consistent Intensity- Duration Thesholds". Computers & Geosciences 63:123-131. DOI: 10.1016/j.cageo.2013.10.009. [ Links ]
Sepúlveda, Sergio A., Sofía Rebolledo y Gabriel Vargas. 2006. "Recent Catastrophic Debris Flows in Chile: Geological Hazard, Climatic Relationships and Human Response". Quaternary International 158(1): 83-95. DOI: 10.1016/j.quaint.2006.05.031. [ Links ]
SIIT (Sistema Integrado de Información Territorial). 2014. Mapoteca. http://siit2.bcn.cl/. [ Links ]
Sohoulande Djebou, Dagbegnon C., Vijay P. Singh y Oliver W. Frauenfeld. 2014. "Analysis of Watershed Topography Effects on Summer Precipitation Variability in the Southwestern United States". Journal of Hydrology 511:838- 849. DOI: 10.1016/j.jhydrol.2014.02.045. [ Links ]
Tarolli, Paolo, Marco Borga, Kang-Tsung Chang y Shou-Hao Chiang. 2011. "Modeling Shallow Landsliding Susceptibility by Incorporating Heavy Rainfall Statistical Properties". Geomorphology 133(3-4): 199-211. DOI: 10.1016/j.geomorph.2011.02.033. [ Links ]
Vennari, Carmela, Stefano Luigi Gariano, L. Antronico, Maria Teresa Brunetti, Giulio Iovine, Silvia Peruccacci y Fausto Guzzetti. 2014. "Rainfall Thesholds for Shallow Landslides Occurrence in Calabria, Southern Italy". Natural Hazards and Earth System Sciences Discussions 1(5): 5141-5179. DOI: 10.5194/nhessd-1-5141-2013. [ Links ]
Vieux, Baxter E. y Philip B. Bedient. 2004. "Assessing Urban Hydrologic Prediction Accuracy though Event Reconstruction". Journal of Hydrology 299(3-4): 217-236. DOI: 10.1016/j.jhydrol.2004.08.005. [ Links ]
Wang, Huabin B. y Kyoji Sassa. 2006. "Rainfall-induced Landslide Hazard Assessment Using Artificial Neural Networks". Earth Surface Processes and Landforms 31(2): 235-247. DOI: 10.1002/esp.1236. [ Links ]
Wieczorek Gerald F. y Fausto Guzzetti. 1999. "A Review of Rainfall Thesholds for Triggering Landslides". Actas del 1st EGS Plinius Conference on Mediterranean Storms 1999, 14 al 16 de octubre, editado por P. Claps y Franco Siccardi, 407-414. Cosenza: Bios. http://geomorphology.irpi.cnr.it/publications/repository/public/proceedings/2000/a-review-of-rainfall-thesholds-for-triggering-landslides.pdf. [ Links ]
Yoshida, Yoshitada, Jiro Kuwano y Reiko Ruwano. 1991. "Rain- induced Slope Failures Caused by Reduction in Soils Trength". Soils and Foundations 31(4): 187-193. DOI: 10.3208/sandf1972.31.4_187. [ Links ]
Zhan, T. L. T., R. Chen y C. W. W. Ng. 2013. "Wetting-induced Softening Behavior of an Unsaturated Expansive Clay". Landslides 11(6): 1051-1061. DOI: 10.1007/s10346-013-0449-6. [ Links ]
Bibliografía
Biobiochile. 2013. "Sernageomin atribuye deslizamientos en Tumbes a construcción de casas Serviu". Biobiochile 3 de septiembre. http://www.biobiochile.cl/2013/09/03/sernageomin-responsabiliza-al-serviu-por-aludes-queafectaron-a-vecinos-en-tumbes.shtml. [ Links ]






































