Introducción
El cambio de la cobertura y uso del suelo afecta el funcionamiento de los ecosistemas y los procesos ecológicos (Dale et ál. 2000; Gutiérrez y Grau 2014; Lambin et ál. 2003; Merken et ál. 2015), incidiendo en el cambio global del ciclo carbono y la climatología regional y local, el balance hídrico, la pérdida de biodiversidad, la prestación de bienes y servicios ecosistémicos, así como en la estructura del paisaje y su variación temporal y espacial (Foley et ál. 2005; Lira et ál. 2012; MEA 2005; Turner et ál. 2001). Los procesos de cambio de uso del suelo hacia sistemas transformados convierten muchas áreas en paisajes homogéneos que pueden ser favorables o desfavorables para la prestación de servicios ecosistémicos y el bienestar del hombre. Los agroecosistemas y sistemas forestales proporcionan alimento, forraje, combustible, productos farmacéuticos y ayudan a la regulación de la calidad del suelo y del agua y el secuestro de carbono (Power 2010; Robertson et ál. 2014), o por el contrario pueden ocasionar daños ambientales asociados con el uso de fertilizantes, pérdida de hábitats naturales, degradación de la calidad del agua y disminución de servicios ecosistémicos asociados con el recurso hídricos y de suelo (Cardoso et ál. 2013; Fischer y Lindenmayer 2007; Foley et ál. 2005).
Particularmente, los procesos de intensificación y extensificación en el ámbito agrícola y ganadero producen cambios en los paisajes, optimizando su uso alrededor de un cultivo económicamente rentable o conllevando al abandono de la tierra cuando la actividad no es viable económicamente (Erb 2012; van der Sluis et ál. 2016). Estas situaciones pueden ser influenciadas por políticas agrícolas o por la evolución de las economías locales y regionales, e inciden en la velocidad del cambio de uso del suelo (Plieninger, Hóchtl y Spek 2006; Primdahl, Busck y Kristensen 2004). Algunas investigaciones han encontrado que los procesos de intensificación del paisaje se relacionan con factores económicos, tecnológicos, institucionales y factores locales, donde los agricultores son los grandes modeladores de los cambios, a partir de las decisiones que toman y la trayectoria de uso predominante. La intensificación del paisaje, también, está relacionada con los mercados de globalización agrícola y la transición de una sociedad rural a una urbana (Erb 2012; Geist y Lambin 2002; Keys y McConnell 2005; Kühling, Broll y Trautz 2016).
Generalmente la dinámica de uso del suelo presenta diferentes transiciones de uso, y su impacto sobre los ecosistemas depende de la cobertura de la tierra existente antes de la transición, la historia de uso, las condiciones sociales y económicas, el contexto ecológico y otros cambios en los sistemas sociales y biofísicos (Lambin y Meyfroidt 2010; Wang, Qiu y Ruan 2016). Foley et ál. (2005) indican que las transiciones aparecen como secuencia de regímenes de uso que van desde una vegetación natural decreciente por la ampliación de frontera, pasando por una agricultura de subsistencia y fincas de pequeña escala a una agricultura intensiva, aumentando las áreas urbanas y la protección de tierras. Sin embargo, el agotamiento de recursos, un cambio socioeconómico o innovaciones tecnológicas ajenos al sistema ecológico son fuerzas que pueden desacelerar o acelerar las transiciones del uso de la tierra en los países tropicales (Lambin y Meyfroidt 2010).
En América Latina se ha identificado que las características geográficas, los factores socioeconómicos, los parámetros biofísicos y, en menor medida, la accesibilidad, el mercado y la densidad poblacional son las variables de mayor incidencia de cambio en el uso del suelo (Wassenaar et ál. 2007). La mayoría de trabajos se han desarrollado para la Amazonia y los Andes, asociándose el cambio de uso con procesos de deforestación para la conversión de bosques en tierras de cultivo y ganadería, generalmente impulsados por el crecimiento demográfico (Armenteras y Rodríguez 2014; Carreiras et ál. 2014) o la apertura de nuevas vías de acceso para el desarrollo de proyectos sectoriales como la minería o explotación de hidrocarburos (Tapia-Armijos et ál. 2015). Para Colombia son escasos los estudios de dinámica de la cobertura y uso del suelo en ecosistemas transformados; sin embargo, se ha identificado que la intensificación agrícola, la urbanización, la industrialización, la expansión de la frontera agrícola y ganadera y el abandono de tierras marginales son las principales causas del cambio de uso del suelo, las cuales generan dinámicas heterogéneas de transformación del paisaje y patrones espaciales específicos en cada región (Etter et ál. 2006; Rodríguez, Armenteras y Alumbreros 2013; Romero-Ruiz et ál. 2012; Sánchez-Cuervo et ál. 2012).
A pesar que los humedales son relevantes para la prestación de servicios ecosistémicos, se encuentran entre los ecosistemas más transformados del mundo y el principal motor de su pérdida es el cambio en el uso del suelo y la intensificación agrícola (Zorrilla-Miras et ál. 2014). Específicamente para Colombia, se identificó como causas importantes de cambio de uso del suelo y pérdida de hábitat de estos ecosistemas la minería, el cultivo de palma aceitera y caña de azúcar, la ganadería, la instalación y operación de represas hidroeléctricas, así como de vías principales; asimismo, la producción de cultivos demanda y contamina el recurso hídrico (Ricaurte et ál. 2017). La historia de uso del suelo de la cuenca del lago de Tota -considerado el cuerpo de agua dulce más grande de Colombia (DNP 2014), y epicentro estratégico de comercio y de riqueza agrícola desde la época de la conquista española- ha estado asociada al recurso hídrico. Su aprovechamiento comienza desde el siglo XIX, cuando el Estado concesiona el lago para abastecimiento de agua, y se intensifica en el siglo XX, con la explotación de minas de hierro y carbón (Empresa Siderúrgica Nacional Paz del Río), el fomento de la actividad piscícola y la introducción el cultivo de cebolla junca como una alternativa de producción agrícola (DNP 2014; Pérez-Preciado 1976; Reina-Aranza y Rubio-Ramírez 2016). El uso intensivo del área ha originado una problemática ambiental del lago de Tota, y en 2014 se expide el documento CONPES 3801, enfocado en el manejo ambiental integral de la cuenca hidrográfica.
Teniendo en cuenta la variedad de actividades de uso que han ocurrido en el lago, cuantificar y entender el cambio y los patrones espaciales del uso del suelo en paisajes productivos es un primer paso para el ordenamiento y la gestión del territorio. Por ello, el presente estudio se centró en: (i) analizar los cambios de uso del suelo en dos periodos de tiempo, 1992-2000 y 2001-2013; ii) identificar las transiciones de uso del paisaje en términos de matriz de cambio e índices de paisaje; y (iii) evaluar los factores socioeconómicos que inciden en la dinámica de cambio del área.
Materiales y métodos
Área de estudio
La zona de estudio comprende los municipios de Aquitania, Cuítiva, Tota y Sogamoso (Departamento de Boyacá), abarcando una superficie de 132.425 ha. Dentro del área se destaca el lago de Tota, considerado el humedal altoandino de mayor extensión del país (Figura 1). El lago fue declarado como área de importancia para la conservación de aves (AICA) en 2007 y en 2012 la Red Mundial de Humedales le otorgó el globo gris, debido a amenazas por degradación, producto de actividades agropecuarias, pérdida del humedal por contaminación y exclusión de comunidades locales de su protección y buen manejo.

Fuente: imagen Landsat 8 (path/row 7/56) 2013, composición RGB 453. Nota: los tonos azules corresponden a áreas urbanas, los verdes oliva a herbazales o páramos, los marrón oscuro a bosques, los marrones claro a los pastos y el color negro al espejo de agua.
Figura 1 Localización del área de estudio.
Hidrológicamente la zona pertenece a la parte alta de las cuencas del río Upía, Cusiana, Tunjita y Chicamocha, y presenta un régimen de lluvias unimodal en el costado sur-oriental y un comportamiento bimodal en el frontal noroccidental, con promedios anuales que varían entre 1.375 mm y 625 mm; la humedad relativa promedio es del 83% y la temperatura media del 11,4 °C (González 2016).
En la región predomina el minifundio con predios menores de media hectárea, donde la principal actividad productiva, desde mediados de los sesenta, es el cultivo de cebolla junca (Allium fistulum), principalmente en el municipio de Aquitania; este representa el 95% de la producción de la región. También se encuentra el cultivo de papa (Solanum tuberosum) y la acuicultura de la trucha arco iris (Oncorhynchus mykiss), considerada como especie invasora y cuyo cultivo se inició desde 1950 (DNP 2014). Estas actividades tienen una amplia dependencia de los mercados urbanos, principalmente de Bogotá.
Mapas de cobertura del suelo
Para cuantificar el cambio de uso del suelo se elaboraron mapas de cobertura escala 1:100.000 de los años 1992, 2000 y 2013, utilizando imágenes satelitales Landsat TM, Landsat 7 ETM y Landsat 8 (path/row 7/56) respectivamente, con cobertura de nubes inferior al 10%. Las imágenes fueron descargadas del Servicio Geológico de los Estados Unidos (USGS, por sus siglas en inglés) y proporcionadas por el Banco Nacional de Imágenes del Instituto Geográfico Agustín Codazzi -en adelante, IGAC-; se efectuó la corrección geométrica y radiométrica, y se aplicaron filtros para mejorar su visualización.
La elaboración de los mapas se basó en la metodología de Corine Land Cover adaptada para Colombia (IDEAM 2010), que permite describir, caracterizar, clasificar y comparar las características de la cobertura de la tierra, a partir de interpretación visual en pantalla de imágenes de resolución media (Landsat); así, se discriminaron las coberturas del suelo a un nivel de clase II y en algunos casos III. Se identificaron 9 categorías de cobertura: áreas urbanas, cultivos transitorios, pastos, mosaico de pastos y cultivos, bosques, plantaciones forestales, arbustos, herbazales y cuerpos de agua (Tabla 1). Para el proceso de control de calidad temática se usó una imagen Rapideye (path/row 96678) del 31 de diciembre de 2013, siguiendo el protocolo establecido en Corine Land Cover para coberturas con algún grado de incertidumbre, con 50 puntos de control verificados en campo en octubre de 2014 y revisión secundaria de producción agrícola por municipio. El proceso de digitalización y estructuración de la información se llevó a cabo en el sofware ArcGlS (10.2)®.
Dinámica de cambio de la cobertura del suelo
Se aplicó la metodología propuesta por Pontius, Shusas y McEachern (2004), que consiste en generar una matriz de transición, la cual, a partir de una tabulación cruzada, indica las pérdidas y ganancias brutas, el cambio neto y el intercambio entre las categorías de cobertura para los intervalos de tiempo analizados (primer periodo: 1992-2000; y segundo periodo: 2000-2013). Las ganancias correspondieron a la proporción del paisaje que tuvo aportes en área en un periodo de tiempo desde otras categorías; la pérdida indicó la proporción de área que disminuyó en el intervalo de tiempo; el cambio neto representó la diferencia entre ganancias y pérdidas por categoría atribuible a los cambios en la cantidad de área; y el intercambio (swap) correspondió al cambio total menos el cambio neto para cada categoría. La diagonal de esta matriz indicó la persistencia, es decir, el área de una determinada categoría que permaneció inalterada o sin cambios entre los tiempos 1 y 2, tanto en términos de superficie (ha) como de ubicación espacial (Rodríguez, Armenteras y Alumbreras 2013). Los valores de dinámica de cambio se obtuvieron en Idrisi Selva 17.0 ®, mediante el uso del Módulo Land Change Modeler (LCM) (Eastman 2012); con ellos se calcularon las matrices y mapas de cambio.
Adicionalmente se calculó la tasa de cambio anual (rt) para cada categoría de cobertura, acorde a (Puyravaud 2003), según la Ecuación 1:
Donde A1 y A2 son las superficies en hectáreas ocupadas por una determinada cobertura (expresadas como su logaritmo natural), para el tiempo t1 (tiempo inicial) y t2 (tiempo final) del análisis. Por ejemplo para el periodo 1992 y 2000, A1 y A2 corresponden a las hectáreas ocupadas por la cobertura de bosques en 1992 y 2000, respectivamente, y así sucesivamente para cada cobertura.
Patrón del paisaje
Los índices de paisaje reflejan las características de configuración espacial de un área (Fan y Ding 2016) e indican historias de uso del paisaje. El análisis se realizó para cada año de estudio, tanto a nivel de toda el área como para cada municipio. Se usaron cinco indicadores propuestos por Fan y Ding (2016) y por Wan et ál. (2015) para evaluar los cambios de uso del suelo en zonas de humedales: número de parches -en adelante, NP-, índice de parche más grande -en adelante, LPI-, índice promedio de la forma del parche (SHAPE_MN), índice de contagio (CONTAG), e índice de uniformidad de Shannon -en adelante, SHEI-. Adicionalmente, a nivel de las categorías de cobertura el suelo se calculó el NP y LPI (McGarigal et ál. 2002). Se calcularon los coeficientes de correlación de Pearson entre cada par de métricas y no se encontraron relaciones significativas, excepto para el índice de parche más grande y la forma del parche (p <0.01). Los cálculos fueron realizados bajo Fragstats versión 4.2®.
Factores de cambio
Las variables explicativas del cambio de la cobertura y uso del suelo, incluyen factores directos, es decir, actividades humanas o decisiones humanas en el nivel local que directamente impactan la cobertura del suelo y factores subyacentes que impulsan los factores directos, ya sea operando a nivel local o un nivel regional o global y generalmente asociados con procesos demográficos, socioeconómicos, socioculturales, institucionales y naturales o de localización (Geist y Lambin 2002; van Asselen et ál. 2013; van Vliet et ál. 2015). La combinación de estos factores incide en la dinámica de cambio en los ecosistemas y servicios ecosistémicos, promoviendo la dominancia de determinado uso del suelo independiente si este beneficia o causa impacto sobre el ecosistema natural (MEA 2005).
Para el estudio, las variables explicativas fueron seleccionadas de acuerdo a una revisión de literatura sobre conversión de humedales (van Asselen et ál. 2013) y la disponibilidad de información de series de datos en el periodo de estudio (1992 al 2013). La Tabla 2 indica el conjunto de variables utilizadas. Adicionalmente, se estimó el índice de intensidad de uso para cultivos -en adelante, IIUc-, usado por Erb (2012) y Kühling, Broll y Trautz (2016), con el fin de medir las actividades de uso agrícola asociadas con el aumento en la demanda de alimentos; para el cálculo de este índice se seleccionaron los cultivos de papa y cebolla, tomando como variable de entrada la producción y la proporción de área destinada a estos cultivos para los periodos de tiempo analizados (Ecuación 2).
Donde
Ci= es el promedio de: la producción*área destinada a cultivos en cada periodo de tiempo
Cmín . = es el valor mínimo observado en cada periodo de tiempo
Cmáx . = es el valor máximo observado en cada periodo de tiempo
Análisis estadístico
Se comparó la persistencia de la cobertura del suelo en los periodos de tiempo analizados a nivel del área de estudio y de cada municipio, mediante un test no paramétrico de rangos de Wilcoxon (w). Este test es usado para determinar si dos grupos de datos dependientes o emparejados -en este caso, la persistencia de las categorías de cobertura del suelo para el primer periodo (1992-2000) y segundo periodo (2000-2013)- son diferentes; se asume como hipótesis nula la igualdad en las persistencias en los periodos de tiempo analizados.
Con el fin de evaluar las relaciones entre los factores de cambio, se procedió a efectuar un análisis multivariante de componentes principales (ACP) (Abdi y Williams 2010; Husson et ál. 2017). Se buscó comprimir el conjunto de datos e identificar las variables que mejor explican las diferencias entre la persistencia a nivel de la zona de estudio y de los municipios que la componen. Los análisis se llevaron a cabo empleando el paquete factoextra (Kassambara y Mundt 2017), bajo el lenguaje R versión 3.3.2 (R core Team 2015).
Resultados
Dinámica de Cambio
Las categorías de cobertura dominantes en el área de estudio entre 1992 y 2013 fueron pastizales y herbazales, seguidas de mosaicos de pastos y cultivos y bosques (Tabla 3). Plantaciones forestales, áreas urbanas y cultivos transitorios aumentaron en 2013. Para 1992, las coberturas naturales (herbazales, bosques, arbustos y cuerpos de agua), asociadas generalmente a pendientes superiores al 50%, ocuparon 75.808 ha, y disminuyeron para el 2013 en 4.830 ha (3,64%), donde la categoría de arbustales y herbazales presentaron pérdidas en área, con tasas de cambio anual negativa (-2,67 y -0,75 respectivamente). Las coberturas antrópicas localizadas en pendientes menores al 25% y en los alrededores del lago de Tota, estuvieron representadas por pastizales y mosaicos de pastos y cultivos con valores cercanos a 51.000 ha en ambos años (Figuras 2a, 2b y 2c).
Tabla 3 Categorías de cobertura del uso del suelo (ha) y porcentaje para 1992, 2000 y 2013 en la cuenca del lago de Tota (Boyacá)

Datos: interpretación de imágenes Landsat TM 1992, Landsat 7 ETM 2000 y Landsat 8 2013.
La matriz de transición (Tabla 4) mostró que los cambios más importantes a nivel regional se dieron en las categorías de pastos y mosaico de pastos y cultivos para ambos periodos de estudio (1,49 y 2,98% para el primer periodo y 18,78% y 9,54% para el segundo periodo). El segundo periodo (2000 a 2013) presentó las mayores tasas de cambio, donde los cultivos transitorios tuvieron el mayor valor (10,28%) con una ganancia del 3,04%, mientras que el mosaico de pastos y cultivos tuvo una tasa negativa del -6,71%. Los cuerpos de agua presentaron una menor dinámica, con una leve pérdida del cuerpo lagunar (municipios de Cuítiva y Tota), mientras que las áreas urbanas tuvieron un mayor crecimiento (municipio de Sogamoso) con un 3,75% (Figura 2b).
Tabla 4 Matriz de transición del área de estudio como porcentaje (%) en las diferentes categorías de uso del suelo entre 1992-2000 y 2000-2013

Datos: derivados de mapas de cobertura del suelo a escala 1:100.000, basados en interpretación de imágenes Landsat TM 1992, Landsat 7 ETM 2000 y Landsat 8 2013; y resultados de Land Change Modeler (LCM).
Nota: los valores sin negrita son del periodo 1992-2000, y los valores con negrita son del periodo 2000-2013.

Datos: interpretación de imágenes Landsat TM 1992, Landsat 7 ETM 2000 y Landsat 8 2013, escala 1:100.000. Nota: en color gris se observan los sectores con mayor dinámica de cambios de cobertura del suelo durante el periodo de estudio 1993-2013 (Figura 2c).
Figura 2 Mapas de cobertura del suelo de 1992 (a), 2013 (b) y mapa de persistencia 1992-2013 (c).
No se presentaron diferencias significativas en la dinámica de cobertura del suelo en los periodos analizados (w= 37, p value= 0,34) en relación con la persistencia, la cual para el primer periodo fue del 96,31% (127.537 ha) con un cambio neto del 7,38%, mientras que para el segundo periodo descendió al 68,65% (90.915 ha) con un cambio neto de 18,66%, donde las categorías de pastos y mosaico de pastos y cultivos aportaron a este cambio (5,19% y 5,86% respectivamente) (Tabla 4 y Figura 2d). Respecto a la matriz de cambio (Tabla 5), se encontró que las categorías de pastos y mosaico de pastos y cultivos representaron las transiciones sistemáticas que inciden en la dinámica de uso, donde los mayores aportes en ganancia provinieron de las categorías de arbustales y herbazales; es decir, hay una presión sobre los ecosistemas naturales.
Tabla 5 Matriz de cambio periodo 1992-2000 y 2000-2013

Datos: derivados de mapas de cobertura del suelo a escala 1:100.000, basados en interpretación de imágenes Landsat TM 1992, Landsat 7 ETM 2000 y Landsat 8 2013; y resultados de Land Change Modeler (LCM).
Nota: los valores sin negrita son del periodo 1992-2000, y los valores con negrita son del periodo 2000-2013. Los valores de la fila Total indican las categorías con mayores ganancias, en el total por columnas se señalan los valores más altos en pérdidas.
A nivel municipal, se presentaron diferencias significativas en las tasas de cambio y la persistencia para Aquitania (p= 0,001), Cuítiva (p=0,007) y Tota (p=0,001). Aquitania y Sogamoso se caracterizaron por un predominio de herbazales y pastos, mientras que en Tota y Cuítiva predominó la categoría de mosaico de pastos y cultivos. La persistencia en el primer periodo fue mayor para el municipio de Tota (98,47%, 19.308 ha), seguido de Aquitania (97,32%, 85.211 ha), Cuítiva (91,72%, 4004 ha) y, finalmente, Sogamoso (71,87%, 15.011 ha). En el segundo periodo la persistencia disminuyó en cerca del 40% para los municipios de Tota (11.431 ha) y Cuítiva (1.746 ha), en un 17% para Sogamoso (11.290 ha) y Aquitania (71.357 ha).
Patrón de paisaje
La Tabla 6, presenta los índices del paisaje en los años de estudio, donde la tendencia de las métricas es similar, con un pequeño incremento de NP, SHAPE y CONTAG, así como un incremento de LPI asociado a la dominancia de la categoría de herbazales. Para el 2013 hubo un incremento en el NP, disminución del LPI y del índice de forma, atribuible a los pastizales y valores más bajos de CONTAG. El SHEI permaneció estable con valores cercanos a 0,8.
Tabla 6 Análisis de los índices de paisaje para el área de estudio

Datos: derivados de mapas de cobertura del suelo a escala 1:100.000 y procesados mediante el programa Fragstats.
Nota: número de parches (NP), tamaño del parche más largo (LPI), índice de forma promedio (SHAPE MN), índice de contagio (CONTAG), índice de uniformidad de Shannon (SHEI).
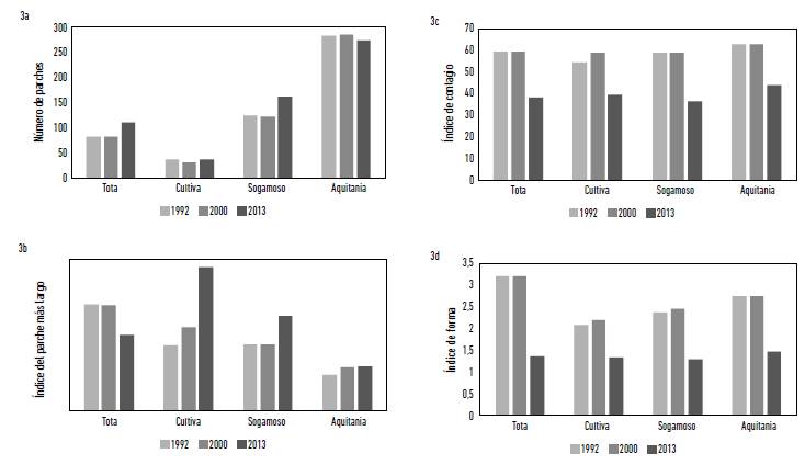
A nivel de municipio se observó una tendencia similar que a nivel regional. Entre 1992 y 2013, el NP aumentó en Tota (82 a 111) y Sogamoso (123 a 162), mientras que para Aquitania y Cuítiva fue similar (Figura 3a). Para el 2013, el índice del parche más largo se presentó en Cuítiva (47,51%) y estuvo asociado a la categoría de pastos y mosaico de pastos y cultivos, mientras que el menor valor correspondió a Aquitania (14,84%), asociado a herbazales (Figura 3b). El índice de contagio y de forma muestran que los municipios presentaron condiciones similares con una tendencia a la disminución para el 2013; el índice de uniformidad indicó que los cuatro municipios son semejantes con un rango de 0,77 a 0,86; es decir, presentan abundancias de clases de coberturas en proporciones similares (Figuras 3c y 3d).
Factores de cambio
El análisis de componentes principales arrojó que para el primer periodo de estudio, el IIUc y el tamaño de predios mayores a 10 ha fueron los factores de cambio que más aportaron en sentido positivo a la dinámica de la cobertura; y, con el tamaño de predios menores a 5 ha que aportaron en sentido negativo, explicaron un 74% de la varianza. Los aspectos demográficos relacionados con la población total fueron un factor importante en la segunda componente, explicando el 20,6% de la varianza (Figura 4a). Para el segundo periodo, los dos primeros componentes explicaron el 92,2% de la varianza; el tamaño de predios y el porcentaje de área natural fueron las variables que más aportaron al primer componente (68,7%); mientras que la segunda componente se asoció al índice de necesidades básicas insatisfechas (NBI) y población total (Figura 4b).

Figura 4 Análisis de componentes principales a nivel municipal para el periodo 1993-2000 (a) y 2000-2013 (b).
Se evidenció que los municipios se relacionaron con diferentes factores de cambio: Aquitania se asoció al porcentaje de áreas naturales por encima del 50% de pendientes; Tota no presentó alta relación con las áreas naturales, pero sí, con las necesidades básicas insatisfechas; Sogamoso se relacionó con la población total y Aquitania con el IIUc(Figura 4). Se observó también que el IIUc presentó incremento en los periodos analizados para los municipios de Aquitania (0,32 a 0,57) y Cuítiva (0,2 a 0,5), con una leve disminución en Tota (0,28 a 0,25) y una reducción de 0,7 a 0,5 en Sogamoso.
Discusión
El cambio de la cobertura del suelo en términos generales no presentó una dinámica alta en la región, debido a que la persistencia del paisaje asociada con las coberturas naturales y las coberturas de pastos y mosaico de pastos y cultivos fue mayor que las transiciones entre diferentes categorías de cobertura; esto puede explicar el hecho de no haberse encontrado a nivel regional diferencias significativas en la dinámica de cambio. Estos resultados coinciden con lo encontrado por Mateus (2014) para el periodo 1995-2010 para la misma región, y difieren de lo reportado por Rodríguez, Armenteras y Alumbreros (2013) para los Andes colombianos, quienes asociaron la dinámica de cobertura a cambios entre categorías de bosques a pastizales por procesos de deforestación. Igualmente, las transiciones sistemáticas asociadas a las coberturas de pastos y mosaico de pastos y cultivos es un patrón consistente con lo hallado por Sánchez-Cuervo et ál. (2012), quienes atribuyeron a prácticas tradicionales de rotación de cultivos de corta duración, pastos y áreas de descanso, la dinámica del uso del suelo en los departamentos de Santander y Boyacá.
La estructura del paisaje fue muy similar a lo largo del estudio debido a la alta persistencia de las coberturas. Los cambios de incremento de parches, aislamientos y contagio se asociaron a coberturas antrópicas y a la presencia de dos patrones de configuración espacial en la región, relacionados a factores biofísicos, económicos y de tenencia de la tierra: i) paisaje de minifundio, con cultivos económicamente rentables (cebolla y papa); y ii) paisaje natural, que por restricciones biofísicas y de protección no son aptas para la expansión de la frontera agrícola. En este último no se evidenciaron, a la escala del estudio, procesos de pérdida de hábitat y fragmentación significativos, pero sí el inicio de procesos de perforación de la matriz que, a futuro, pueden repercutir en la persistencia de especies asociadas tanto al lago de Tota como a los herbazales (Páramos).
Se encontró que, pese a la persistencia, el cambio en la dinámica de las coberturas del suelo varió en el espacio, especialmente en cercanías al lago de Tota, como producto de las transiciones sistemáticas halladas; probablemente estos cambios se asocian a condiciones sociales y económicas a lo largo del tiempo (Lambin y Meyfroidt 2010). Lo anterior puede explicar las diferencias de la dinámica de cambio a nivel municipal, principalmente en el segundo periodo, donde la relación entre el alto índice de intensidad de uso de los cultivos en áreas cercanas al lago de Tota y la evidencia de cambios en la configuración espacial del paisaje (Figura 2d) puede ser explicada por factores biofísicos (disponibilidad de suelos, agua y condiciones de relieve); dichas diferencias pueden influir en el desarrollo de cultivos con una mayor producción, inversión en insumos y generación de posibles impactos en el recurso hídrico y de suelos, tal como lo plantean Kühling, Broll y Trautz (2016). En este sentido, es necesario simular el efecto de estas transiciones a futuro sobre la biodiversidad y servicios ecosistémicos asociados al humedal.
De acuerdo a los resultados obtenidos, en la región se evidenciaron varias fases de transición de cobertura del suelo según los modelos propuestos por Foley et ál. (2005) y Lambin y Meyfroidt (2010): la primera asociada a tamaños de predios menores a 10 ha, con pendientes superiores al 50%, una mayor área de ecosistemas naturales (páramos) e IIUc altos, la cual se presentó en el municipio de Aquitania. Una segunda fase que se asoció a los municipios de Tota y Cuítiva, caracterizada por pendientes menores al 12%, tamaños prediales entre 5 y 10 ha, altos valores de necesidades básicas insatisfechas e IIUc medios. Así como una última fase que presentó una mayor densidad poblacional, áreas con predios menores a 5 ha y bajos IIUc en el municipio de Sogamoso.
Estas fases pueden ser explicadas en términos de legados históricos de uso del suelo en la región (Pérez-Preciado 1976; Reina-Aranza y Rubio-Ramírez 2016) y, específicamente, con el contexto socioeconómico y cultural del departamento de Boyacá, el cual ha sido típicamente una región minifundista con un alto porcentaje de propietarios (IGAC 2012). Esta particularidad se ve reflejada en los patrones de uso del suelo, basada en sistemas de rotación que coinciden con las transiciones sistemáticas encontradas; así, el acceso al mercado se da a través de cultivos económicamente rentables, la tenencia de la tierra y condiciones de acceso al recurso de agua que impulsan las decisiones de los habitantes hacia el establecimiento de una intensificación de uso del suelo (categorías de cultivos transitorios, mosaico de pastos y cultivos), tal como lo plantean Erb 2012 y van der Sluis et ál. 2016. Por otra parte, en zonas con menor productividad (bosques, herbazales y arbustales), se establecen políticas de conservación (Grau y Aide 2008).
Los municipios de Cuítiva y Tota, no presentaron un desarrollo urbano durante los años de estudio; la base de su economía es la agricultura de subsistencia y tiende posiblemente a la intensificación del uso del suelo por pequeños agricultores en áreas cercanas al lago de Tota. El municipio de Aquitania presentó una agricultura de tipo intensivo alrededor del cuerpo de agua, basada en cultivos de alto valor comercial y mayores rendimientos de la producción; en zonas marginales, se da presencia de ecosistemas naturales. El municipio de Sogamoso representó y representa un polo de desarrollo de la región, con procesos importantes de industrialización y crecimiento poblacional; dadas estas características, se encuentra en una transición de uso de vía de desarrollo económico, como lo plantean Foley et ál. (2005), Grau y Aide (2008), y Lambin y Meyfroidt (2010).
Finalmente, las diferencias a nivel municipal de las dinámicas de cobertura fueron producto de una combinación de factores de tipo biofísico, sociocultural, económico, tecnológico e institucional, que definieron las transiciones de uso. Para el caso del área de estudio se asociaron a transiciones que se pueden enmarcar en el paso de una sociedad rural (Cuítiva y Tota) a una sociedad urbana (Sogamoso), como lo evidenciaron los estudios de Erb (2012) y Kühling, Broll y Trautz (2016).
Conclusiones
Si bien el área de influencia del lago de Tota representa, en gran medida, el promedio de los procesos de transformación de la región andina del país, el estudio permitió mejorar la comprensión sobre la dinámica espacio-temporal de paisajes agrícolas. Así, se demostró una estabilización en su dinámica y un acercamiento a los modelos de transiciones de uso del suelo propuestos por Foley et ál. (2005) y Lambin y Meyfroidt (2010) a nivel municipal. Esto es posible a partir del análisis de componentes principales, donde las variables relacionadas con población total, intensidad de cultivos, tamaño de los predios y porcentaje de áreas naturales son las más importantes para discriminar estos modelos.
Las transiciones sistemáticas centradas en categorías de coberturas antrópicas, si bien responden a patrones identificados en los Andes colombianos, dejan entrever la existencia de variabilidad intrarregional. Para nuestra zona de estudio, se asocian con procesos de rotación e intensificación agropecuaria, a diferencia de otras zonas donde los factores responsables de estas transiciones obedecen a procesos de abandono por conflictos sociales o deforestación por ampliación de la frontera agrícola. Dados los procesos de intensificación, es importante evaluar el impacto que estos tienen sobre el cuerpo de agua de Tota, en especial con la cantidad y calidad del recurso.
Si bien se encontró una persistencia de las coberturas naturales, donde aún no existe un proceso de fragmentación per se, sí se evidencian procesos de perforación que pueden conducir a una degradación en la función que cumplen dichas coberturas para el mantenimiento del lago. De ahí que sea importante evaluar el paisaje y sus elementos con énfasis en la prestación (oferta y demanda) de los servicios ecosistémicos, principalmente los relacionados con regulación hídrica y el ciclo de nutrientes en el suelo; muchas de estas medidas están insertas en el CONPES 3801 del 2014 y la autoridad ambiental Corpoboyacá deberá liderar acciones de gestión y manejo integral del lago de Tota.
Futuros estudios sobre dinámicas de uso en paisajes altamente transformados como el nuestro, deberán enfocarse en los contextos socioecológicos y socioeconómicos desde un punto de vista funcional, que permitan identificar las fuerzas que direccionan los cambios, evaluar la intensidad de uso y conocer los efectos cascada de las actividades antrópicas sobre los ecosistemas, con el fin de implementar medidas nacionales, regionales y de gobernanza para una gestión adecuada de recursos tan importantes como el agua.


















